Astronomical Seeing at Maidanak Observatory during the Year 2018
Abstract
1. Introduction
- -
- The current value of astronomical seeing;
- -
- Whether the astronomical seeing has changed or not;
- -
- How much the astronomical seeing has changed;
- -
- Causes of astronomical seeing changes;
- -
- The monitoring of astronomical seeing on several hills at the Maidanak Observatory;
- -
- The selection of a suitable location for the telescope;
- -
- The increase of the efficiency of the telescope.
2. Materials and Methods
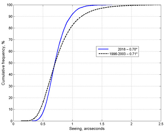
3. Results
4. Conclusions
Author Contributions
Funding
Institutional Review Board Statement
Informed Consent Statement
Data Availability Statement
Acknowledgments
Conflicts of Interest
References
- Ehgamberdiev, S.A. Modern astronomy at the Maidanak observatory in Uzbekistan. Nat. Astron. 2018, 2, 349–351. [Google Scholar] [CrossRef]
- Antier, S.; Agayeva, S.; Aivazyan, V.; Alishov, S.; Arbouch, E.; Baransky, A.; Barynova, K.; Bai, J.M.; Basa, S.; Beradze, S.; et al. The first six months of the Advanced LIGO’s and Advanced Virgo’s third observing run with GRANDMA. Mon. Not. R. Astron. Soc. 2020, 492, 3904–3927. [Google Scholar] [CrossRef]
- Antier, S.; Agayeva, S.; Almualla, M.; Awiphan, S.; Baransky, A.; Barynova, K.; Beradze, S.; Blazek, M.; Boer, M.; Burkhonov, O.; et al. GRANDMA observations of advanced LIGO’s and advanced Virgo’s third observational campaign. Mon. Not. R. Astron. Soc. 2020, 497, 5518–5539. [Google Scholar] [CrossRef]
- Goicoechea, L.J.; Artamonov, B.P.; Shalyapin, V.N.; Sergeyev, A.V.; Burkhonov, O.A.; Akhunov, T.A.; Asfandiyarov, I.M.; Bruevich, V.V.; Ehgamberdiev, S.A.; Shimanovskaya, E.V.; et al. Liverpool-Maidanak monitoring of the Einstein Cross in 20062019-I. Light curves in the gVrRI optical bands and microlensing signatures. Astron. Astrophys. 2020, 637, A89. [Google Scholar] [CrossRef]
- Gaynullina, E.R.; Khalikova, A.V.; Serebryanskiy, A.V.; Karimov, R.G.; Burkhonov, O.A. New variable stars in the fields of AP And and SW Lac. Open Eur. J. Var. Stars 2019, 202, 1–20. [Google Scholar]
- Raiteri, C.M.; Villata, M.; Carosati, D.; Benítez, E.; Kurtanidze, S.O.; Gupta, A.C.; Mirzaqulov, D.O.; D’Ammando, F.; Larionov, V.M.; Pursimo, T.; et al. The dual nature of blazar fast variability: Space and ground observations of S5 0716+714. Mon. Not. R. Astron. Soc. 2021, 501, 1100–1115. [Google Scholar] [CrossRef]
- Xiang, D.; Wang, X.; Lin, W.; Mo, J.; Lin, H.; Burke, J.; Hiramatsu, D.; Hosseinzadeh, G.; Howell, D.A.; McCully, C.; et al. The Peculiar Transient AT2018cow: A Possible Origin of a Type Ibn/IIn Supernova. Astrophys. J. 2021, 910, 42. [Google Scholar] [CrossRef]
- Scheirich, P.; Pravec, P.; Kušnirák, P.; Hornoch, K.; McMahon, J.; Scheeres, D.; Čapek, D.; Pray, D.; Kučáková, H.; Galád, A.; et al. A satellite orbit drift in binary near-Earth asteroids (66391) 1999 KW4 and (88710) 2001 SL9—Indication of the BYORP effect. Icarus 2021, 360, 114321. [Google Scholar] [CrossRef]
- Tokovinin, A.; Kornilov, V.; Conan, R.; Ziad, A.; Martin, F.; Ilyasov, S.; Ehgamberdiev, S.; Tillaev, Y.; Sultanov, K.; Sarazin, M. Report on the Maidanak Site Testing Campaign in July 1998 (Maidanak-98), 1998. Available online: https://www.researchgate.net/profile/Andrei-Tokovinin/publication/2715686_Report_on_the_Maidanak_site_testing_campaign_in_July_1998_Maidanak-98/links/56aa125308ae2df82166c02e/Report-on-the-Maidanak-site-testing-campaign-in-July-1998-Maidanak-98.pdf (accessed on 19 May 2021).
- Ehgamberdiev, S.; Baijumanov, A.; Ilyasov, S.; Sarazin, M.; Tillayev, Y.; Tokovinin, A.; Ziad, A. The astroclimate of Maidanak Observatory in Uzbekistan. Astron. Astrophys. Suppl. Ser. 2000, 145, 93–304. [Google Scholar]
- Sarazin, M.; Roddier, F. The ESO differential image motion monitor. Astron. Astrophys. 1990, 227, 294–300. [Google Scholar]
- Ilyasov, S.; Tillayev, Y. The atmospheric conditions of the Maidanak Observatory in Uzbekistan for ground-based observations. Proc. SPIE Int. Soc. Opt. Eng. 2010, 7651, 76511N. [Google Scholar]
- Tokovinin, T. From Differential Image Motion to Seeing. Astron. Soc. Pacific 2002, 114, 1156–1166. [Google Scholar] [CrossRef]
- Tokovinin, A.; Bustos, E.; Schwarz, H.; Long, N. RoboDIMM, a Robotic Seeing Monitor for Astronomical Observatories. 2001. Available online: https://www.researchgate.net/publication/318038368_RoboDIMM_a_robotic_seeing_monitor_for_astronomical_observatories (accessed on 19 May 2021).
- Tokovinin, A.; Kornilov, V. Accurate seeing measurements with MASS and DIMM. Mon. Not. R. Astron. Soc. 2007, 381, 1179–1189. [Google Scholar] [CrossRef]



| Star | Apparent Magnitude (m) | Right Ascension (α, 2000) | Declination (δ, 2000) |
|---|---|---|---|
| α And | 2.05 | 00h08m23s.25 | +29°05′25″.55 |
| β Peg | 2.48 | 23h03m46s.45 | +28°04′58″.02 |
| α Cyg | 1.33 | 20h41m25s.91 | +45°16′49″.21 |
| α Lyr | 0.09 | 18h36m56s.33 | +38°47′01″.29 |
| α Ari | 2.00 | 02h07m10s.29 | +23°27′45″.94 |
| Months | 25% | Median | 75% | Average |
|---|---|---|---|---|
| August | 0.67 | 0.77 | 0.87 | 0.78 |
| September | 0.58 | 0.66 | 0.77 | 0.69 |
| October | 0.56 | 0.65 | 0.78 | 0.68 |
| November | 0.61 | 0.75 | 0.91 | 0.78 |
| Total | 0.60 | 0.70 | 0.83 | 0.73 |
| Months | 1996–2003 (εFWHM, Arcseconds) | 2018 (εFWHM, Arcseconds) | Difference |
|---|---|---|---|
| August | 0.72 | 0.77 | +0.05 |
| September | 0.70 | 0.66 | −0.04 |
| October | 0.69 | 0.65 | −0.03 |
| November | 0.65 | 0.75 | +0.10 |
| Total | 0.71 | 0.70 | −0.01 |
Publisher’s Note: MDPI stays neutral with regard to jurisdictional claims in published maps and institutional affiliations. |
© 2021 by the authors. Licensee MDPI, Basel, Switzerland. This article is an open access article distributed under the terms and conditions of the Creative Commons Attribution (CC BY) license (https://creativecommons.org/licenses/by/4.0/).
Share and Cite
Tillayev, Y.; Azimov, A.; Hafizov, A. Astronomical Seeing at Maidanak Observatory during the Year 2018. Galaxies 2021, 9, 38. https://doi.org/10.3390/galaxies9020038
Tillayev Y, Azimov A, Hafizov A. Astronomical Seeing at Maidanak Observatory during the Year 2018. Galaxies. 2021; 9(2):38. https://doi.org/10.3390/galaxies9020038
Chicago/Turabian StyleTillayev, Yusufjon, Azimjon Azimov, and Aktam Hafizov. 2021. "Astronomical Seeing at Maidanak Observatory during the Year 2018" Galaxies 9, no. 2: 38. https://doi.org/10.3390/galaxies9020038
APA StyleTillayev, Y., Azimov, A., & Hafizov, A. (2021). Astronomical Seeing at Maidanak Observatory during the Year 2018. Galaxies, 9(2), 38. https://doi.org/10.3390/galaxies9020038

