Radiation-Driven Stellar Eruptions
Abstract
1. Super-Eddington Events in Massive Stars
- Their ratios are near or above the Eddington Limit.
- Outflow speeds are usually between 100 and 800 km s.
- The eruptive photosphere temperatures range from 6000 to 20,000 K, providing enough free electrons for substantial opacity.
- Observed durations are much longer than relevant dynamical timescales.
2. A Checkered History
3. Categories and Examples
3.1. LBV’s
- LBV1 outbursts, described above, may cause enough mass loss to limit the star’s later evolution. Given the quoted rates and outburst durations, this idea seems only marginally adequate.
- Or perhaps the crucial mass loss occurs in rare, more extreme LBV eruptions. P Cygni’s dramatic brightening about 400 years ago may have been an instance [35], and such an event may have created AG Car’s massive ejecta nebula mentioned above.
- Conceivably the most important phenomenon occurs just before the LBV1 stage [36,37,38,39,40]. In this scenario, the star first evolves across the LBV strip without incident, and then becomes violently unstable at a stage near or beyond the empirical boundary. A giant eruption occurs, ejecting so much mass that the star moves back to the left in the HR Diagram and becomes an LBV. The pre-LBV evolutionary episode would be too brief for us to have any known examples—though P Cyg and/or Car might conceivably fill that role (see below). In this view LBV’s are results of the boundary, not its cause.
3.2. Giant Eruptions
- The flow is opaque during most of the event—i.e., the continuum photosphere is located in the outflow.
- Photospheric temperatures are usually in the range 6000–20,000 K defined in a particular way, Section 4.1 below.
- Outflow speeds are typically a few hundred km s, not thousands, and there are no conspicuous shock waves. Small amounts of material may attain higher speeds at the beginning of the eruption, but they are relatively faint.
- H and other bright emission lines have recognizable Thomson-scattered profiles as described in Section 4.2 below. This fact is useful for indicating the nature of the eruption.
3.3. Eta Carinae
- It ionizes much of the primary wind, greatly affecting the observed spectrum.
- The periastron separation [64] is so close that it would presumably destabilize the orbit of any third object within 20 AU of the primary star.
- Tidal friction near periastron may transfer orbital angular momentum to the primary star’s outer layers. If so, the equilibrium rotation period would be in the range 50–150 days. The star may be highly vulnerable to tidal effects because it is close to the Eddington Limit, but this possibility needs a careful quantitative analysis (see Section 6 below).
- Many authors have noted that the companion star may have triggered the Great Eruption via tidal influence near periastron [58]; but we must not confuse a trigger with the instability mechanism. Perhaps the nearly-unstable primary star gradually expanded until the other star’s tidal influence tipped it over the edge. But this idea is not simple, since there is evidence for earlier episodes [26,65] and the present-day orbit eccentricity is too large to be caused entirely by the 19th-century mass loss [58,64]. Incidentally, the present-day orbital period cannot be used to estimate periastron times for the era of the Great Eruption. If we try to extrapolate back to about 1840, the gradual period change due to mass loss causes a phase uncertainty of the order of a year.
- The companion star may be the main reason why Car’s eruption was fainter and more protracted than most supernova impostors [58]. For several years the second star was inside the radius of the eruption photosphere, and near periastron it may have stirred the instability. During the great eruption, and for many years afterward, the secondary star probably accreted some material from the primary’s outflow [58,62,66,67,68,69]. Possible consequences for the orbit have not yet been examined.
- As noted in Section 6 below, various authors have speculated that Car was originally a triple system and two of the stars merged. Models of that type have a large number of assumed parameters, they do not agree with each other, and there is no demonstrated need to postulate a third star.
4. The Spectrum of an Opaque Outflow
4.1. The Continuum
4.2. Distinctive Emission Line Profiles
4.3. Cautionary Remarks about Absorption Features
4.4. Why a Real Outflow Spectrum is Exceedingly Difficult to Calculate
- Real opacities depend on photon energy, and no form of average over is fully consistent with all of the radiative transfer equations. The model should include -dependences.
- Standard LTE opacities are very unreliable in the region with , because it is far from thermodynamic equilibrium. Existing NLTE codes do not adequately include some effects, e.g., items 4 and 5 below.
- A realistic model needs a good velocity law , and the functional form used for line-driven stellar winds is probably wrong for an opaque flow. A valid is surprisingly difficult to calculate, because of item 4 below [83,84,85]. This fact becomes even worse when we note that opacities due to Fe and other complex species depend on many spectral lines whose interactions depend on item 4 as well as !
- A radiation-driven outflow is obviously unstable—“a light fluid pushing a heavier one”—and breaks up into condensations, greatly complicating the radiative transfer problem [83,84,86]. Modern codes employ a position-dependent “clumping factor” (e.g., [25]) which entails several assumptions and free parameters that are very uncertain. Hence the resulting models are useful guides but there is no reason to assume that they are correct. If each condensation is not transparent, then radiation tends to escape via the easiest paths between condensations. (This definitely happened in Car’s giant eruption [83].) The words “porosity” and “granulation” are often used in this context. Results depend on the condensation sizes, densities, and even shapes. A practical technique, analogous to mixing length theory for convection, is needed for inhomogeneous radiative transfer. Perhaps a recipe can be developed from a large number of specialized three-dimensional simulations. See [85,87].
- As Car notoriously shows, spherical symmetry may be a poor approximation. Moreover, since a spherical model maximally entraps the radiation, it represents an extreme case, not typical or average. And the spectrum of a non-spherical outflow depends on the observer’s viewing direction.
4.5. Are LBV’s Relevant?
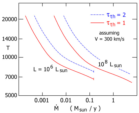
- The rapid decline of opacity below 8500 K encourages the eruptive photosphere to choose a temperature near that value. In other words, for a case with , the basic parameters of the subphotospheric inflated region would need to become unreasonable in order to push substantially below 8000 K.
- Due to the role of continuum radiation in the initial acceleration, the sonic point is related to the photosphere. Consequently the outflow speed at is where is of the order of 0.1.
- Therefore .
5. Physical Causes of the Eruptions
5.1. The Modified Eddington Limit
5.2. The Photosphere, Bistability, and Surface Activity
- What is the state of the outer regions during a major event when 10000 K? The most elaborate spectral analyses [25,90] focus instead on models with 15000 K, close to the bistability jump. The cooler state is more difficult but also more consequential. Moreover, all 1-D models disallow some effects that are probably essential [34].
- Why and when does an LBV eruption end? The star does not merely evolve into an inflated state and remain there until further evolution occurs. Instead it jumps unpredictably back and forth between differing states. Does a major LBV event cease when a critical amount of mass or energy or angular momentum has been lost, or are the reasons chaotic or related to inconspicuous changes in the stellar interior?
- Is the photospheric opacity behavior sufficient to cause an LBV event? Or is the deeper iron opacity peak (Section 5.2 below) needed?
- The central LBV problem concerns mass loss, not the star’s radius. What factors determine the increased ? Do they resemble the conjectures in Section 4.5 above? Conventional line-driven wind theory is probably inadequate in this parameter regime (Section 4.4 above). A Monte Carlo radiative transfer technique predicts credible values for LBV’s in their hotter phases [94], but it omits many intricate effects seen in a 3-D simulation [34].
- What determines the timescale of a transition to the LBV-event state? Is it a thermal timescale for some relevant set of outer layers?
- How large is the cumulative amount of mass loss? Does it vary greatly or randomly among LBV’s with a given luminosity?
- How strongly do these answers depend on rotation as well as chemical composition? And how much do the LBV eruptions alter the surface rotation and composition?
- Do more extreme LBV eruptions occasionally occur, violent enough to substantially increase the luminosity while ejecting far more mass than usual? Observed ejecta nebulae, e.g., around AG Car, may be relics of such events. They might account for most of the cumulative mass loss.
5.3. The Iron Opacity Peak
- Strange modes are essentially dynamical rather than thermal. They resemble accoustic waves, in contrast to thermodynamic Carnot-cycle pulsations driven by the mechanism in lower-mass stars.
- Hence they are fundamentally non-adiabatic. They become especially strong if the local thermal timescale is shorter than the dynamical timescale.
- They occur if radiation pressure exceeds gas pressure.
- The density dependence of opacity, , is critical; but is not.
- Purely radial strange modes can occur, but non-radial modes may be more important.
5.4. Instabilities in and Near the Stellar Core
6. Other Issues
Funding
Acknowledgments
Conflicts of Interest
References
- Humphreys, R.M.; Davidson, K. Luminous Blue Variables: Astrophysical Geysers. Publ. Astron. Soc. Pac. 1994, 106, 1025–1051. [Google Scholar] [CrossRef]
- Zwicky, F. Supernovae. In Stellar Structure, Stars and Stellar Systems vol. VIII; Aller, L., McLaughlin, D.B., Eds.; University of Chicago Press: Chicago, IL, USA, 1965; pp. 367–424. [Google Scholar]
- Kochanek, C.S.; Szczygiel, D.M.; Stanek, K.Z. The Supernova Impostor SN 1961V: Spitzer Shows That Zwicky Was Right (Again). Astrophys. J. 2011, 737, 76. [Google Scholar] [CrossRef]
- van Dyk, S.D.; Matheson, T. It’s Alive! The Supernova Impostor 1961V. Astrophys. J. 2012, 746, 179. [Google Scholar] [CrossRef][Green Version]
- Humphreys, R.M.; Davidson, K. Studies of Luminous Stars in Nearby Galaxies. III. The Evolution of the Most Massive Stars in the Milky Way and the Large Magellanic Cloud. Astrophys. J. 1979, 232, 409–420. [Google Scholar] [CrossRef]
- Fullerton, A.W.; Massa, D.L.; Prinja, R.K. The Discordance of Mass-Loss Estimates for Galactic O-type Stars. Astrophys. J. 2006, 637, 1025–1039. [Google Scholar] [CrossRef]
- Smith, N.; Owocki, S.P. On the Role of Continuum-driven Eruptions in the Evolution of Very Massive Stars. Astrophys. J. 2006, 645, L45–L48. [Google Scholar] [CrossRef]
- Van Dyk, S.D. The η Carinae Analogs. In The Fate of the Most Massive Stars, A.S.P.Conf. 332; Humphreys, R.M., Stanek, K.Z., Eds.; Astronomical Society of the Pacific: San Francisco, CA, USA, 2005; pp. 47–57. ISBN 1-58381-195-8. [Google Scholar]
- Van Dyk, S.D.; Matheson, T. The Supernova Impostors. In Eta Carinae and the Supernova Impostors, ASSL 384; Davidson, K., Humphreys, R.M., Eds.; Springer: New York, NY, USA, 2012; pp. 249–274. ISBN 978-1-4614-2274-7. [Google Scholar]
- Pastorello, A.; Cappellaro, E.; Inserra, C.; Smartt, S.J.; Pignata, G.; Benetti, S.; Valenti, S.; Fraser, M.; Takats, K.; Benitez, S.; et al. Interacting Supernovae and Supernova Impostors: SN 2009ip, is this the End? Astrophys. J. 2013, 767. [Google Scholar] [CrossRef]
- Margutti, R.; Milisavljevic, D.; Soderberg, A.M.; Chornock, R.; Zauderer, B.A.; Murase, K.; Guidorzi, C.; Sanders, N.E.; Kuin, P.; Fransson, C.; et al. A Panchromatic View of the Restless SN 2009ip Reveals the Explosive Ejection of a Massive Star Envelope. Astrophys. J. 2014, 780, 21. [Google Scholar] [CrossRef]
- Humphreys, R.M.; Weis, K.; Davidson, K.; Gordon, M.S. On the Social Traits of Luminous Blue Variables. Astrophys. J. 2016, 825, 64. [Google Scholar] [CrossRef]
- Davidson, K.; Humphreys, R.M.; Weis, K. LBVs and Statistical Inference. arXiv 2016, arXiv:1608.02007. [Google Scholar]
- Weis, K.; Bomans, D. Luminous Blue Variables. Galaxies 2019, 8. 20. [Google Scholar] [CrossRef]
- Vink, J.S. Eta Carinae and the Luminous Blue Variables. In Eta Carinae and the Supernova Impostors, ASSL 384; Davidson, K., Humphreys, R.M., Eds.; Springer: New York, NY, USA, 2012; pp. 221–247. ISBN 978-1-4614-2274-7. [Google Scholar]
- Wolf, B. Empirical Amplitude-luminosity Relation of S Doradus Variables and Extragalactic Distances. Astron. Astrophys. 1989, 217, 87–91. [Google Scholar]
- Kudritzki, R.P.; Gabler, A.; Gabler, R.; Groth, H.G.; Pauldrach, A.W.A.; Puls, J. Model Atmospheres and Quantitative Spectroscopy of Luminous Blue Stars Physics of Luminous Blue Variables, ASSP 157; Davidson, K., Moffat, A., Lamers, H., Eds.; Kluwer: Dordrecht, The Netherlands, 1989; pp. 67–82. [Google Scholar] [CrossRef]
- Pauldrach, A.W.A.; Puls, J. Radiation-driven Winds of Hot Luminous Stars. VIII. The Bistable Wind of P Cygni. Astron. Astrophys. 1990, 237, 409–424. [Google Scholar]
- Stahl, O.; Wolf, B.; Kare, G.; Juettner, A.; Cassatella, A. Observations of the New Luminous Blue Variable R 110. Astron. Astrophys. 1990, 228, 379–386. [Google Scholar]
- Sterken, C.; Gosset, E.; Juttner, A.; Stahl, O.; Wolf, B.; Axer, M. HD 160529: A New Galactic Luminous Blue Variable. Astron. Astrophys. 1991, 247, 383–392. [Google Scholar]
- Vink, J.S.; de Koter, A. Predictions of Variable Mass Loss for Luminous Blue Variables. Astron. Astrophys. 2002, 393, 543–553. [Google Scholar] [CrossRef]
- Aadland, E.; Massey, P.; Neugent, K.F.; Drout, M.R. Shedding Light on the Isolation of Luminous Blue Variables. Astron. J. 2016, 156, 294. [Google Scholar] [CrossRef]
- Stahl, O.; Jankovics, I.; Ková, J.; Wolf, B.; Schmutz, W.; Kaufer, A.; Rivinius, Th.; Szeifert, Th. Long-term Spectroscopic Monitoring of the Luminous Blue Variable AG Carinae. Astron. Astrophys. 2001, 375, 54–69. [Google Scholar] [CrossRef]
- Groh, J.H.; Hillier, D.J.; Damineli, A.; Whitelock, P.A.; Marang, F.; Rossi, C. On the Nature of the Prototype Luminous Blue Variable AG Carinae. Astrophys. J. 2009, 698, 1698–1720. [Google Scholar] [CrossRef]
- Groh, J.H.; Hillier, D.J.; Damineli, A. On the Nature of the Prototype Luminous Blue Variable AG Carinae. II. Witnessing a Massive Star Evolving Close to the Eddington and Bistability Limits. Astrophys. J. 2011, 736, 46. [Google Scholar] [CrossRef]
- Weis, K. The Outer Ejecta. In Eta Carinae and the Supernova Impostors, ASSL 384; Davidson, K., Humphreys, R.M., Eds.; Springer: New York, NY, USA, 2012; pp. 171–194. ISBN 978-1-4614-2274-7. [Google Scholar]
- Thackeray, A.D. Some Southern Stars Involved in Nebulosity. Mon. Not. R. Astron. Soc. 1950, 110, 524–530. [Google Scholar] [CrossRef]
- Nota, A.; Livio, M.; Clampin, M.; Schulte-Ladbeck, R. Nebulae around Luminous Blue Variables: A Unified Picture. Astrophys. J. 1995, 448, 788–796. [Google Scholar] [CrossRef]
- Smith, L.J.; Stroud, M.P.; Esteban, C.; Vichez, J.M. The AG Carinae Nebula: Abundant Evidence for a Red Supergiant Progenitor? Mon. Not. R. Astron. Soc. 1997, 290, 265–275. [Google Scholar] [CrossRef]
- Vamvatira-Nakou, C.; Hutsemékers, D.; Royer, P.; Cox, N.L.J.; Nazé, Y.; Rauw, G.; Waelkens, C.; Groenewegen, M.A.T. The Herschel View of the Nebula around AG Carinae. Astron. Astrophys. 2015, 578, A108. [Google Scholar] [CrossRef]
- Wolf, B.; Appenzeller, I.; Stahl, O. IUE and Ground-based Spectroscopic Observations of the S Dor-type LMCvariable R71 During Minimum State. Astron. Astrophys. 1981, 103, 94–102. [Google Scholar]
- Mehner, A.; Baade, D.; Rivinius, T.; Lennon, D.J.; Martayan, C.; Stahl, O.; Stefl, S. Broad-band Spectroscopy of the Ongoing Large Eruption of the Luminous Blue Variable R71. Astron. Astrophys. 2013, 555, A116. [Google Scholar] [CrossRef]
- yyy Mehner, A.; Baade, D.; Groh, J.H.; Rivinius, T.; Hambsch, F.-J.; Bartlett, E.S.; Asmus, D.; Agliozzo, C.; Szeifert, T.; Stahl, O. Spectroscopic and Photometric Oscillatory Envelope Variability during the S Doradus Outburst of the Luminous Blue Variable R71. Astron. Astrophys. 2017, 608, A124. [Google Scholar] [CrossRef]
- Jiang, Y.-F.; Cantiello, M.; Bildsten, L.; Quataert, E.; Blaes, O.; Stone, J. Outbursts of Luminous Blue Variable Stars from Variations in the Helium Opacity. Nature 2018, 561, 498–501. [Google Scholar] [CrossRef]
- de Groot, M.; Sterken, C. (Eds.) P Cygni 2000: 400 Years of Progress, ASP Conf. 233; Astronomical Society of the Pacific: San Francisco, CA, USA, 2001; ISBN 1-58381-070-6. [Google Scholar]
- Stothers, R.B.; Chin, C.-W. Dynamical Instability as the Cause of Massive Outbursts in Eta Carinae and Other Luminous Blue Variables. Astrophys. J. 1993, 408, L85–L88. [Google Scholar] [CrossRef]
- Stothers, R.B.; Chin, C.-W. Luminous Blue Variables at Quiescence: The Zone of Avoidance in the H-R Diagram. Astrophys. J. 1994, 426, L43–L46. [Google Scholar] [CrossRef]
- Stothers, R.B.; Chin, C.-W. The Brightest Supergiants Predicted by Theory. Astrophys. J. 1999, 522, 960–964. [Google Scholar] [CrossRef]
- Lovekin, C.C.; Guzik, J.A. Pulsations as a Driver for LBV Variability. Mon. Not. R. Astron. Soc. 2014, 445, 1766–1773. [Google Scholar] [CrossRef]
- Glatzel, W.; Kiriakidis, M. Stability of Massive Stars and the Humphreys/Davidson Limit. Mon. Not. R. Astron. Soc. 1993, 263, 375–384. [Google Scholar] [CrossRef]
- Roming, P.W.A.; Pritchard, T.A.; Prieto, J.L.; Kochanek, C.S.; Fryer, C.L.; Davidson, K.; Humphreys, R.M.; Bayless, A.J.; Beacom, J.F.; Brown, P.J. The Unusual Temporal and Spectral Evolution of the Type IIn Supernova 2011ht. Astrophys. J. 2012, 751, 92. [Google Scholar] [CrossRef]
- Humphreys, R.M.; Davidson, K.; Jones, T.J.; Pogge, R.W.; Grammer, S.H. The Unusual Temporal and Spectral Evolution of SN2011ht. II. Peculiar Type IIn or Impostor? Astrophys. J. 2012, 760, 93. [Google Scholar] [CrossRef]
- Mauerhan, J.C.; Smith, N.; Silverman, J.M.; Filippenko, A.V.; Morgan, A.N.; Cenko, S.B.; Ganeshalingam, M.; Clubb, K.I.; Bloom, J.S.; Matheson, T.; et al. SN 2011ht: Confirming a class of interacting supernovae with plateau light curves (Type IIn-P). Mon. Not. R. Astron. Soc. 2013, 431, 2599–2611. [Google Scholar] [CrossRef]
- Dessart, L.; Hillier, D.J.; Gezari, S.; Basa, S.; Matheson, T. SN 1994W: An Interacting Supernova or Two Interacting Shells? Mon. Not. R. Astron. Soc. 2009, 394, 21–37. [Google Scholar] [CrossRef]
- Kankare, E.; Ergon, M.; Bufano, F.; Spyromilio, J.; Mattila, S.; Chugai, N.N.; Lundqvist, P.; Pastorello, A.; Kotak, R.; Benetti, S.; et al. SN 2009kn - the twin of the Type IIn supernova 1994W. Mon. Not. R. Astron. Soc. 2012, 424, 855–873. [Google Scholar] [CrossRef]
- Humphreys, R.M.; Davidson, K.; Smith, N. Eta Carinae’s Second Eruption and the Light Curves of the Eta Car Variables. Publ. Astron. Soc. Pac. 1999, 111, 1124–1131. [Google Scholar] [CrossRef]
- Wagner, R.M.; Vrba, F.J.; Henden, A.A.; Canzian, B.; Luginbuhl, C.B.; Filippenko, A.V.; Chornock, R.; Li, W.; Coil, A.L.; Schmidt, G.D.; et al. Discovery and Evolution of an Unusual Luminous Variable Star in NGC 3432 (SN 2000ch). Publ. Astron. Soc. Pac. 2004, 116, 326–336. [Google Scholar] [CrossRef]
- Pastorello, A.; Botticella, M.T.; Trundle, C.; Taubenberger, S.; Mattila, S.; Kankare, E.; Elias-Rosa, N.; Benetti, S.; Duszanowicz, G.; Hermansson, L.; et al. Multiple major outbursts from a restless luminous blue variable in NGC 3432. Mon. Not. R. Astron. Soc. 2010, 408, 181–198. [Google Scholar] [CrossRef]
- Van Dyk, S.D.; Cenko, S.B.; Clubb, K.I.; Fox, O.D.; Zheng, W.; Kelly, P.L.; Filippenko, A.V.; Smith, N. PSN J10524126+3640086 is the Continued Outburst of SN 2000ch. Astron. Telegr. 2013, 4891. [Google Scholar]
- Humphreys, R.M.; Martin, J.C.; Gordon, M.S.; Jones, T.J. Multiple Outflows in the Giant Eruption of a Massive Star. Astrophys. J. 2016, 826, 191. [Google Scholar] [CrossRef]
- Mauerhan, J.C.; Van Dyk, S.D.; Graham, M.L.; Zheng, W.; Clubb, K.I.; Filippenko, A.V.; Valenti, S.; Brown, P.; Smith, N.; Howell, D.A.; et al. SN Hunt 248: A super-Eddington outburst from a massive cool hypergiant. Mon. Not. R. Astron. Soc. 2015, 447, 1922–1934. [Google Scholar] [CrossRef][Green Version]
- Tammann, G.A.; Sandage, A. The Stellar Content and Distance of the Galaxy NGC 2403 in the M81 Group. Astrophys. J. 1968, 151, 825–860. [Google Scholar] [CrossRef]
- Humphreys, R.M.; Davidson, K.; Van Dyk, S.D.; Gordon, M.S. A Tale of Two Impostors: SN2002kg and SN1954J in NGC 2403. Astrophys. J. 2017, 848, 86. [Google Scholar] [CrossRef]
- Fraser, M.; Inserra, C.; Jerkstrand, A.; Kotak, R.; Pignata, G.; Benetti, S.; Botticella, M.-T.; Bufano, F.; Childress, M.; Mattila, S.; et al. SN 2009ip à la PESSTO: No evidence for core collapse yet. Mon. Not. R. Astron. Soc. 2013, 433, 1312–1337. [Google Scholar] [CrossRef]
- Fraser, M.; Magee, M.; Kotak, R.; Smartt, S.J.; Smith, K.W.; Polshaw, J.; Drake, A.J.; Boles, T.; Lee, C.-H.; Burgett, W.S.; et al. Detection of an Outburst One Year Prior to the Explosion of SN 2011ht. Astrophys. J. Lett. 2013, 779, L8. [Google Scholar] [CrossRef]
- Weis, K.; Bomans, D. SN 2002kg—The brightening of LBV V37 in NGC 2403. Astron. Astrophys. 2005, 429, L13–L16. [Google Scholar] [CrossRef]
- Davidson, K.; Humphreys, R.M. (Eds.) Eta Carinae and the Supernova Impostors, ASSL 384; Springer: New York, NY, USA, 2012; ISBN 978-1-4614-2274-7. [Google Scholar]
- Davidson, K. The Central Star: Instability and Recovery. In Eta Carinae and the Supernova Impostors, ASSL 384; Davidson, K., Humphreys, R.M., Eds.; Springer: New York, NY, USA, 2012; pp. 43–65. ISBN 978-1-4614-2274-7. [Google Scholar]
- Smith, N. All Things Homunculus. In Eta Carinae and the Supernova Impostors, ASSL 384; Davidson, K., Humphreys, R.M., Eds.; Springer: New York, NY, USA, 2012; pp. 145–169. ISBN 978-1-4614-2274-7. [Google Scholar]
- Davidson, K.; Dufour, R.J.; Walborn, N.R.; Gull, T.R. Ultraviolet and Visual Wavelength Spectroscopy of Gas around Eta Carinae. Astrophys. J. 1986, 305, 867–879. [Google Scholar] [CrossRef]
- Dufour, R.J.; Glover, T.W.; Hester, J.J.; Currie, D.G.; van Orsow, D.; Walter, D.K. HST-FOS UV-optical Spectra of Ejecta from η Carinae. In Eta Carinae at the Millenium, ASP Conf. 179; Morse, J.A., Humphreys, R.M., Damineli, A., Eds.; Astronomical Society of the Pacific: San Francisco, CA, USA, 2005; pp. 134–143. ISBN 1-58381-003-X. [Google Scholar]
- Humphreys, R.M.; Davidson, K.; Koppelman, M. The Early Spectra of Eta Carinae 1892 to 1941 and the Onset of its High Excitation Emission Spectrum. Astron. J. 2008, 135, 1249–1263. [Google Scholar] [CrossRef]
- Humphreys, R.M.; Martin, J.C. Eta Carinae from 1600 to the Present. In Eta Carinae and the Supernova Impostors, ASSL 384; Davidson, K., Humphreys, R.M., Eds.; Springer: New York, NY, USA, 2012; pp. 1–24. ISBN 978-1-4614-2274-7. [Google Scholar]
- Davidson, K.; Ishibashi, K.; Martin, J.C. Concerning the Orbit of Eta Carinae. New Astron. 2017, 1, 6. [Google Scholar] [CrossRef]
- Davidson, K.; Humphreys, R.M. Eta Carinae and Its Environment. Annu. Rev. Astron. Astrophys. 1997, 35, 1–32. [Google Scholar] [CrossRef]
- Soker, N. Accretion by the Secondary in η Carinae During the Spectroscopic Event. Astrophys. J. 2005, 635, 540–546. [Google Scholar] [CrossRef]
- Soker, N. Accretion onto the Companion of η Carine During the Spectroscopic Event. Astrophys. J. 2007, 661, 482–489. [Google Scholar] [CrossRef][Green Version]
- Kashi, A.; Soker, N. Possible Implications of Mass Accretion in Eta Carinae. New Astron. 2009, 14, 11–24. [Google Scholar] [CrossRef]
- Davidson, K.; Mehner, A.; Humphreys, R.M.; Martin, J.C.; Ishibashi, K. Eta Carinae’s 2014.6 Spectroscopic Event. Astrophys. J. 2015, 801, L15. [Google Scholar] [CrossRef][Green Version]
- Rybicki, G.B.; Lightman, A.P. Radiative Processes in Astrophysics; Wiley: New York, NY, USA, 1979; pp. 33–45. ISBN 0-471-04815-1. [Google Scholar]
- Davidson, K. The Relation between Apparent Temperature and Mass-Loss Rate in Hypergiant Eruptions. Astrophys. J. 1987, 317, 760–764. [Google Scholar] [CrossRef]
- Owocki, S.P.; Shaviv, N.J. The Spectral Temperature of Optically Thick Outflows with Application to Light Echo Spectra from Eta Carinae’s Giant Eruption. Mon. Not. R. Astron. Soc. 2016, 462, 345–351. [Google Scholar] [CrossRef][Green Version]
- Hummer, D.G.; Rybicki, G.B. Radiative Transfer in Spherically Symmetric Systems. Mon. Not. R. Astron. Soc. 1971, 152, 1–19. [Google Scholar] [CrossRef]
- Badnell, N.R.; Bautista, M.A.; Butler, K.; Delahaye, F.; Mendoza, C.; Palmeri, P.; Zeippen, C.J.; Seaton, M.J. Updated Opacities from the Opacity Project. Mon. Not. R. Astron. Soc. 2005, 360, 458–464. [Google Scholar] [CrossRef]
- Rest, A.; Prieto, J.L.; Walborn, N.R.; Smith, N.; Bianco, F.B.; Chornock, R.; Welch, D.L.; Howell, D.A.; Huber, M.E.; Foley, R.J.; et al. Light Echoes Reveal An Unexpectedly Cool Eta Carinae During Its Great Eruption. Nature 2012, 482, 375–378. [Google Scholar] [CrossRef] [PubMed]
- Prieto, J.L.; Rest, A.; Bianco, F.B.; Matheson, T.; Smith, N.; Walborn, N.R.; Hsiao, E.Y.; Chornock, R.; Paredes Alvarez, L.; Campillay, A.; et al. Light Echoes from Eta Carinae’s Great Eruption. Astrophys. J. 2014, 787, L8. [Google Scholar] [CrossRef]
- Smith, N.; Rest, A.; Andrews, J.E.; Matheson, T.; Bianco, F.B.; Prieto, J.L.; James, D.J.; Smith, R.C.; Strampelli, G.M.; Zenteno, A. Exceptionally Fast Ejecta Seen in Light Echos of Eta Carinae’s Great Eruption. Mon. Not. R. Astron. Soc. 2018, 480, 1457–1465. [Google Scholar] [CrossRef]
- Davidson, K.; Humphreys, R.M. The Great Eruption of Eta Carinae. Nature 2012, 486, E1. [Google Scholar] [CrossRef]
- Weymann, R.J. Electron-Scattering Line Profiles in Nuclei of Seyfert Galaxies. Astrophys. J. 1970, 160, 31–41. [Google Scholar] [CrossRef]
- Davidson, K.; Ebbets, D.; Weigelt, G.; Humphreys, R.M.; Hajian, A.R.; Walborn, N.R.; Rosa, M. HST/FOS Spectroscopy of Eta Carinae. Astron. J. 1995, 109, 1784–1796. [Google Scholar] [CrossRef]
- Chugai, N.N. Broad Emission Lines from the Opaque Electron-Scattering Environment of SN 1998S. Mon. Not. R. Astron. Soc. 2001, 326, 1448–1454. [Google Scholar] [CrossRef]
- Mehner, A.; Davidson, K.; Humphreys, R.M.; Walter, F.M.; Baade, D.; de Wit, W.J.; Martin, J.; Ishibashi, K.; Rivinius, T.; Martayan, C.; et al. Eta Carinae’s 2014.6 Spectroscopic Event. Astron. Astrophys. 2015, 578, A122. [Google Scholar] [CrossRef]
- Shaviv, N.J. The Porous Atmosphere of Eta Carinae. Astrophys. J. 2000, 532, L137–L140. [Google Scholar] [CrossRef]
- Owocki, S.P.; Shaviv, N.J. Instability and Mass Loss Near the Eddington Limit. In Eta Carinae and the Supernova Impostors, ASSL 384; Davidson, K., Humphreys, R.M., Eds.; Springer: New York, NY, USA, 2012; pp. 275–299. ISBN 978-1-4614-2274-7. [Google Scholar]
- Guzik, J.A.; Fryer, C.; Urbatsch, T.J.; Owocki, S.P. Radiation Transport Through Super-Eddington Winds. In Third BRITE Science Conference; Wade, G.A., Baade, D., Guzik, J.A., Smolec, R., Eds.; Polish Astronomical Society: Warsaw, Poland, 2018; pp. 33–36. ISBN 978-83-540430-1-7. [Google Scholar]
- Shaviv, N.J. The Nature of the Radiative Hydrodynamic Instabilities in Radiatively Supported Thomson Atmospheres. Astrophys. J. 2001, 549, 1093–1110. [Google Scholar] [CrossRef]
- Owocki, s.P.; Hirai, R.; Podsiadlowski, P.; Schneider, F.R.N. Hydrodynamic Simulations and Similarity Relations for Eruptive Mass Loss from Massive Stars. Mon. Not. R. Astron. Soc. 2019, 485, 988–1000. [Google Scholar] [CrossRef]
- Leitherer, C.; Schmutz, W.; Abbott, D.C.; Hamann, W.-R.; Wessolowski, U. Atmospheric Models for Luminous Blue Variables. Astrophys. J. 1989, 346, 919–931. [Google Scholar] [CrossRef]
- de Koter, A.; Lamers, H.J.G.L.M.; Schmutz, W. Variability of Luminous Blue Variables II. Parameter Study. Astron. Astrophys. 1996, 306, 501–518. [Google Scholar]
- Gräfener, G.; Owocki, S.P.; Vink, J.S. Stellar Envelope Inflation near the Eddington Limit. Astron.. Astrophys. 2012, 538, A40. [Google Scholar] [CrossRef]
- Sanyal, D.; Grassitelli, L.; Langer, N.; Bestenlehner, J.M. Massive Main-sequence Stars Evolving at the Eddington Limit. Astron. Astrophys. 2015, 580, A20. [Google Scholar] [CrossRef]
- Shore, S.N. An Introduction to Astrophysical Hydrodynamics; Academic Press: San Diego, CA, USA, 1992; pp. 260–273. ISBN 0-12-640670-7. [Google Scholar]
- Lamers, H.J.G.L.M.; Cassinelli, J.P. Introduction to Stellar Winds; Cambridge University Press: Cambridge, UK, 1999; ISBN 0-521-59398-0. [Google Scholar]
- Vink, J.S. Fast & Slow Winds from Supergiants and Luminous Blue Variables. Astron. Astrophys. 2018, 619, A54. [Google Scholar] [CrossRef]
- Schwarzschild, M.; Härm, R. On the Maximum Mass of Stable Stars. Astrophys. J. 1959, 129, 637–646. [Google Scholar] [CrossRef]
- Stothers, R.B. A Semiempirical Test for Dynamical Instability in Luminous Blue Variables. Astrophys. J. 1999, 516, 366–368. [Google Scholar] [CrossRef]
- Glatzel, W. Instabilities in the Most Massive Evolved Stars. In The Fate of the Most Massive Stars, ASP Conf. 332; Humphreys, R., Stanek, K., Eds.; Astronomical Society of the Pacific: San Francisco, CA, USA, 2005; pp. 22–32. ISBN 1-58381-195-8. [Google Scholar]
- Humphreys, R.M.; Davidson, K. The Most Luminous Stars. Science 1984, 223, 243–249. [Google Scholar] [CrossRef]
- Appenzeller, I. Instability in Massive Stars - An Overview. In Luminous Stars and Associations in Galaxies, IAU Symp. 116; De Loore, C.W.H., Willis, A.J., Laskarides, P., Eds.; Reidel: Dordrecht, The Netherlands, 1986; pp. 139–149. [Google Scholar]
- Lamers, H.J.G.L.M. P Cygni Type Stars - Evolution and Physical Processes. In Luminous Stars and Associations in Galaxies, IAU Symp. 116; De Loore, C.W.H., Willis, A.J., Laskarides, P., Eds.; Reidel: Dordrecht, The Netherlands, 1986; pp. 157–178. [Google Scholar]
- Davidson, K. Giant Outbursts of the Eta Carinae—P Cygni Type. In Instabilities in Luminous Early Type Stars, ASSL 136; Lamers, H.J.G.L.M., de Loore, W.H., Eds.; Reidel: Dordrecht, The Netherlands, 1987; pp. 127–141. [Google Scholar] [CrossRef]
- Appenzeller, I. The Role of Radiation Pressure in LBV Atmospheres. In Physics of Luminous Blue Variables, IAU Colloq. 113; Davidson, K., Moffat, A.F.J., Lamers, H.J.G.L.M., Eds.; Kluwer: Dordrecht, The Netherlands, 1989; pp. 195–204. ISBN 0-7923-0443-8. [Google Scholar]
- Asplund, M. The Stability of Late-type Stars Close to the Eddington Limit. Astron. Astrophys. 1998, 330, 641–650. [Google Scholar]
- Joss, P.C.; Salpeter, E.E.; Ostriker, J.P. On the Critical Luminosity in Stellar Interiors. Astrophys. J. 1973, 181, 429–438. [Google Scholar] [CrossRef]
- Lamers, H.J.G.L.M.; Fitzpatrick, E.L. The Relationship between the Eddington Limit, the Observed Upper Luminosity Limit for Massive Stars, and the Luminous Blue Variables. Astrophys. J. 1988, 324, 279–287. [Google Scholar] [CrossRef]
- Gustafsson, B.; Plez, B. Can Classical Model Atmospheres be of Any Use for the Study of Hypergiants? In Instabilities and Evolved Supergiants and Hypergiants; de Jager, C., Nieuwenhuijzen, Eds.; North-Holland: Amsterdam, The Netherlands, 1992; pp. 86–97. [Google Scholar]
- Ulmer, A.; Fitzpatrick, E.L. Revisiting the Modified Eddington Limit for Massive Stars. Astrophys. J. 1998, 504, 200–206. [Google Scholar] [CrossRef]
- Lamers, H.J.G.L.M.; Snow, T.P.; Lindholm, D.M. Terminal Velocities and the Bistability of Stellar Winds. Astrophys. J. 1995, 455, 269–285. [Google Scholar] [CrossRef]
- Vink, J.S.; de Koter, A.; Lamers, H.J.G.L.M. On the Nature of the Bi-stability Jump in the Winds of Early-type Supergiants. Astron. Astrophys. 1999, 350, 181–196. [Google Scholar]
- Jiang, Y.-F.; Cantiello, M.; Bildsten, L.; Quataert, E.; Blaes, O. Local Radiation Hydrodynamic Simulations of Massive Star Envelopes at the Iron Opacity Peak. Astrophys. J. 2015, 813, 74. [Google Scholar] [CrossRef]
- Gautschy, A.; Glatzel, W. On Highly Non-Adiabatic Stellar Pulsations and the Origin of Strange Modes. Mon. Not. R. Astron. Soc. 1990, 245, 597–613. [Google Scholar]
- Saio, H. Strange Modes. In Communications in Asteroseismology, Vol. 158, Proceedings of 38th Liege International Astrophysical Colloquium; Noels, A., Aerts, C., Montalban, J., Miglio, A., Briquet, M., Eds.; Springer: Berlin, Germany, 2009; pp. 245–250. [Google Scholar]
- Guzik, J.A.; Lovekin, C.C. Pulsations and Hydrodynamics of Luminous Blue Variable Stars. arXiv 2014, arXiv:1402.0257. [Google Scholar] [CrossRef]
- Onifer, A.J.; Guzik, J.A. Pulsation-Initiated Mass Loss in Luminous Blue Variables: A Parameter Study. In Massive Stars as Cosmic Engines, IAU Symp. 250; International Astronomical Union: Paris, France, 2005; pp. 83–88. [Google Scholar] [CrossRef][Green Version]
- Lovekin, C.C.; Guzik, J.A. Behaviour of Pulsations in Hydrodynamic Models of Massive Stars. In New Windows on Massive Stars, IAU Symp. 307; International Astronomical Union: Paris, France, 2014; pp. 176–181. [Google Scholar] [CrossRef]
- Jiang, Y.-F.; Cantiello, M.; Bildsten, L.; Quataert, E.; Blaes, O.; Stone, J. Three Dimensional Radiation Hydrodynamic Simulations of Massive Star Envelopes. arXiv 2018, arXiv:1809.10187. [Google Scholar]
- Quataert, E.; Fernández, R.; Kasen, D.; Klion, H.; Paxton, W. Super-Eddington Stellar Winds Driven by Near-Surface Energy Deposition. Mon. Not. R. Astron. Soc. 2016, 458, 1214–1233. [Google Scholar] [CrossRef]
- Guzik, J.A. Instability Considerations for Massive Star Eruptions. In The Fate of the Most Massive Stars, A.S.P.Conf. 332; Humphreys, R.M., Stanek, K.Z., Eds.; Astronomical Society of the Pacific: San Francisco, CA, USA, 2005; pp. 204–210. ISBN 1-58381-195-8. [Google Scholar]
- Guzik, J.A.; Cox, A.N.; Despain, K.M. Pulsation-driven Outflows in Luminous Blue Variables. In Eta Carinae at the Millenium, ASP Conf. 179; Morse, J.A., Humphreys, R.M., Damineli, A., Eds.; Astronomical Society of the Pacific: San Francisco, CA, USA, 2005; pp. 347–353. ISBN 1-58381-003-X. [Google Scholar]
- Arnett, D.W.; Smith, N. Preparing for an Explosion: Hydrodynamic Instabilities and Turbulence in Presupernovae. Astrophys. J. 2014, 785, 82. [Google Scholar] [CrossRef]
- Chugai, N.N.; Blinnikov, S.I.; Cumming, R.J.; Lundqvist, P.; Bragaglia, A.; Filippenko, A.V.; Leonard, D.C.; Matheson, T.; Sollerman, J. The Type IIn Supernova 1994W: Evidence for the Explosive Ejection of a Circumstellar Envelope. Mon. Not. R. Astron. Soc. 2004, 352, 1213–1231. [Google Scholar] [CrossRef]
- Chevalier, R.A.; Irwin, C.M. Shock Breakout in Dense Mass Loss: Luminous Supernovae. Astrophys. J. Lett. 2011, 729, L6. [Google Scholar] [CrossRef]
- Moriya, T.J.; Tominaga, N. Diversity of Luminous Supernovae from Non-steady Mass Loss. Astrophys. J. 2012, 747, 113. [Google Scholar] [CrossRef]
- Woosley, S.E.; Blinnikov, S.; Heger, A. Pulsational Pair Instability as an Explanation for the Most Luminous Supernovae. Nature 2007, 450, 390–392. [Google Scholar] [CrossRef]
- Heger, A. The Final Stages of Massive Star Evolution and Their Supernovae. In Eta Carinae and the Supernova Impostors, ASSL 384; Davidson, K., Humphreys, R.M., Eds.; Springer: New York, NY, USA, 2012; pp. 299–326. ISBN 978-1-4614-2274-7. [Google Scholar]
- Chatzopoulos, E.; Wheeler, J.C. Hydrogen-poor Circumstellar Shells from Pulsational Pair-instability Supernovae with Rapidly Rotating Progenitors. Astrophys. J. 2012, 760, 154. [Google Scholar] [CrossRef]
- Leung, S.-C.; Nomoto, K.; Blinnikov, S. Pulsational Pair-instability Supernovae. I. Pre-collapse Evolution and Pulsational Mass Ejection. Astrophys. J. 2019, 887, 72. [Google Scholar] [CrossRef]
- Arnett, D.W.; Meakin, C. Toward Realistic Progenitors of Core-Collapse Supernovae. Astrophys. J. 2011, 733, 78. [Google Scholar] [CrossRef]
- Quataert, E.; Shiode, J.H. Wave-driven Mass Loss in the Last Year of Stellar Evolution: Setting the Stage for the Most Luminous Core-Collapse Supernovae. Mon. Not. R. Astron. Soc. 2012, 423, L92–L96. [Google Scholar] [CrossRef]
- Shiode, J.H.; Quataert, E. Setting the Stage for Circumstellar Interaction in Core-Collapse Supernovae. II. Wave-driven Mass Loss in Supernova Progenitors. Astrophys. J. 2014, 780, 96. [Google Scholar] [CrossRef]
- Gallagher, J.S. Close Binary Models for Luminous Blue Variable Stars. In Physics of Luminous Blue Variables, ASSP 157; Davidson, K., Moffat, A., Lamers, H., Eds.; Kluwer: Dordrecht, The Netherlands, 1989; pp. 185–194. [Google Scholar] [CrossRef]
- Neugent, K.; Massey, P. The Wolf-Rayet Content of the Galaxies of the Local Group and Beyond. Galaxies 2019, 7, 74. [Google Scholar] [CrossRef]
- Frew, D.J. The Historical Record of η Carinae I. The Visual Light Curve, 1595–2000. J. Astron. Data 2004, 10. [Google Scholar]
- Davidson, K.; Ishibashi, K.; Corcoran, M.F. The Relationship between Two Periodicities Observed in Eta Carinae. New Astron. 1998, 3, 241–245. [Google Scholar] [CrossRef][Green Version]
- Artigau, E.; Martin, J.C.; Humphreys, R.M.; Davidson, K.; Chesneau, O.; Smith, N. Penetrating the Homunculus—Near-IR Adaptive Optics Images of Eta Carinae. Astrophys. J. 2011, 141, 202. [Google Scholar] [CrossRef]
- Livio, M.; Pringle, J.E. Can Eta Carinae be a Triple System? Mon. Not. R. Astron. Soc. 1998, 295, L59–L60. [Google Scholar] [CrossRef]
- Lamers, H.J.G.L.M.; Livio, M.; Panagia, N.; Walborn, N. On the Multiplicity of η Carinae. Astrophys. J. 1998, 505, L131–L133. [Google Scholar] [CrossRef]
- Kundt, W.; Hillemanns, C. Eta Carinae—an Evolved Triple System? Chin. J. Astr. Astrophys. 2003, 3, 349–360. [Google Scholar] [CrossRef]
- Portegies Zwart, S.F.; van den Heuvel, E.P.J. Was the 19th Century Giant Eruption of Eta Car a Merger Event in a Triple System? Mon. Not. R. Astron. Soc. 2016, 456, 3401–3412. [Google Scholar] [CrossRef]
- Smith, N. A Blast Wave from the 1843 Eruption of Eta Carinae. Nature 2008, 201–203. [Google Scholar] [CrossRef]
- Mehner, A.; Davidson, K.; Humphreys, R.M.; Martin, J.C.; Ishibashi, K.; Ferland, G.J.; Walborn, N.R. A Sea Change in Eta Carinae. Astrophys. J. Lett. 2010, 717, L22–L25. [Google Scholar] [CrossRef]
- Davidson, K.; Ishibashi, K.; Martin, J.C.; Humphreys, R.M. Eta Carinae’s Declining Outflow Seen in the UV, 2002–2015. Astrophys. J. 2018, 858, 109. [Google Scholar] [CrossRef]
- Kashi, A.; Davidson, K.; Humphreys, R.M. Recovery from Giant Eruptions n Very Massive Stars. Astrophys. J. 2016, 817, 66. [Google Scholar] [CrossRef]







© 2020 by the author. Licensee MDPI, Basel, Switzerland. This article is an open access article distributed under the terms and conditions of the Creative Commons Attribution (CC BY) license (http://creativecommons.org/licenses/by/4.0/).
Share and Cite
Davidson, K. Radiation-Driven Stellar Eruptions. Galaxies 2020, 8, 10. https://doi.org/10.3390/galaxies8010010
Davidson K. Radiation-Driven Stellar Eruptions. Galaxies. 2020; 8(1):10. https://doi.org/10.3390/galaxies8010010
Chicago/Turabian StyleDavidson, Kris. 2020. "Radiation-Driven Stellar Eruptions" Galaxies 8, no. 1: 10. https://doi.org/10.3390/galaxies8010010
APA StyleDavidson, K. (2020). Radiation-Driven Stellar Eruptions. Galaxies, 8(1), 10. https://doi.org/10.3390/galaxies8010010

