Flexor Tendon Repair Using a New Looped Six- and Eight-Strand Technique—A Biomechanical Analysis
Abstract
1. Introduction
2. Materials and Methods
- Group I:
- 4-strand cruciate (Adelaide) without epitenon suture
- Group II:
- 4-strand cruciate (Adelaide) with epitenon suture
- Group III:
- 6-strand double loop without epitenon suture
- Group IV:
- 6-strand double loop with epitenon suture
- Group V:
- 8-strand double loop cruciate without epitenon suture
- Group VI:
- 8-strand double loop cruciate with epitenon suture
3. Results
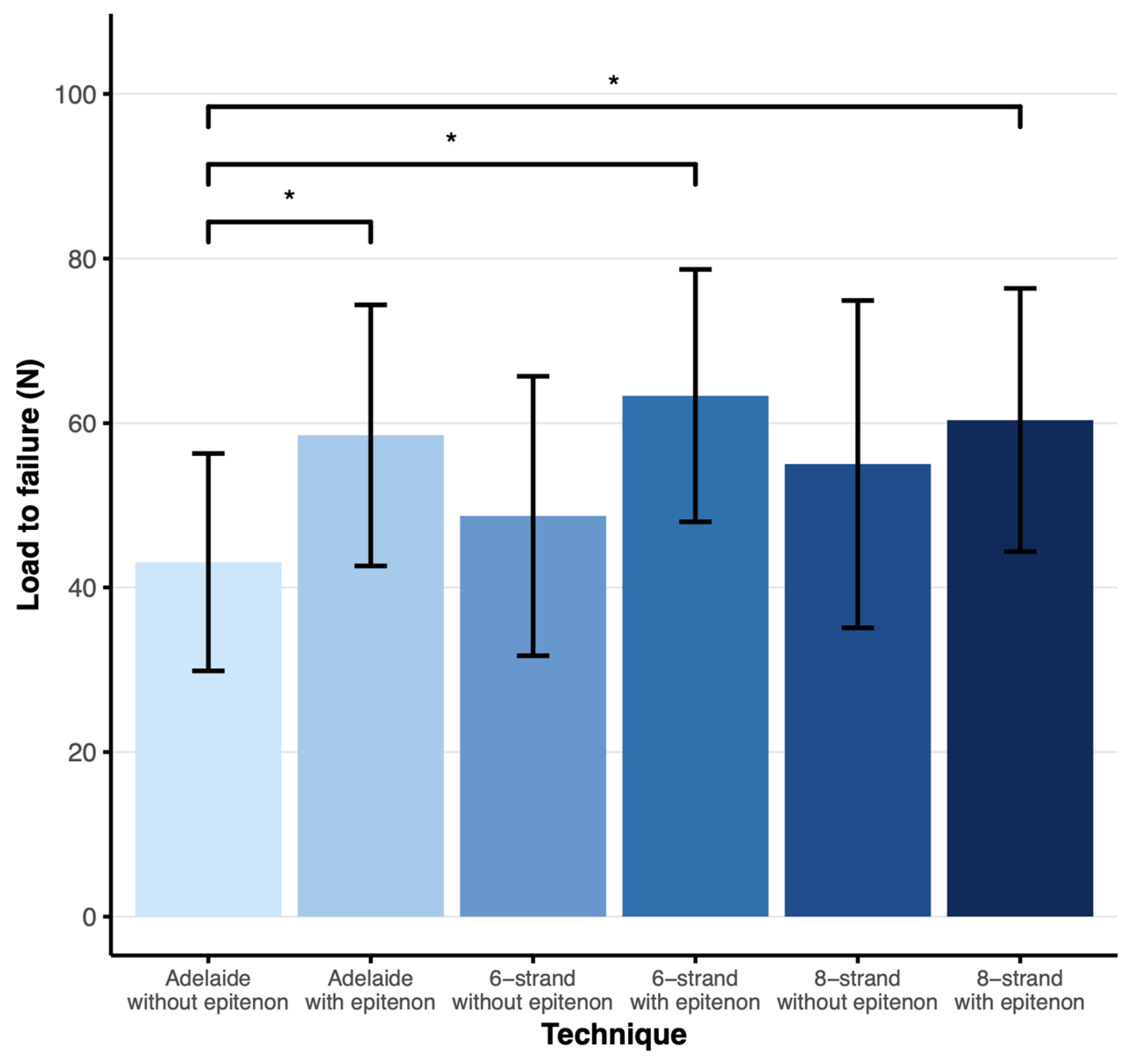
3.1. Load to Failure
3.2. Failure Cause
3.3. CSA Data
4. Discussion
5. Conclusions
Author Contributions
Funding
Institutional Review Board Statement
Informed Consent Statement
Data Availability Statement
Acknowledgments
Conflicts of Interest
Abbreviations
| FDP | Flexor Digitorum Profundus |
| N | Newton |
| CSA | Cross-Sectional Area |
| SD | Standard Deviation |
| CI | Confidence Interval |
References
- Gordon, A.M.; Malik, A.T.; Goyal, K.S. Trends of hand injuries presenting to US emergency departments: A 10-year national analysis. Am. J. Emerg. Med. 2021, 50, 466–471. [Google Scholar] [CrossRef]
- de Jong, J.P.; Nguyen, J.T.; Sonnema, A.J.M.; Nguyen, E.C.; Amadio, P.C.; Moran, S.L. The incidence of acute traumatic tendon injuries in the hand and wrist: A 10-year population-based study. Clin. Orthop. Surg. 2014, 6, 196–202. [Google Scholar] [CrossRef]
- Manninen, M.; Karjalainen, T.; Määttä, J.; Flinkkilä, T. Epidemiology of Flexor Tendon Injuries of the Hand in a Northern Finnish Population. Scand. J. Surg. 2017, 106, 278–282. [Google Scholar] [CrossRef] [PubMed]
- Mawhinney, J.A.; Wormald, J.C.; Ng, M.; Furniss, D.; Lane, J.C. Epidemiology of acute flexor tendon injury and an analysis of outcomes—A study of 91,239 patients in England and Wales. J. Hand Surg. Eur. Vol. 2025, 50, 1470–1477. [Google Scholar] [CrossRef]
- Mehrzad, R.; Mookerjee, V.; Schmidt, S.; Jehle, C.C.; Kiwanuka, E.; Liu, P.Y. The Economic Impact of Flexor Tendon Lacerations of the Hand in the United States. Ann. Plast. Surg. 2019, 83, 419–423. [Google Scholar] [CrossRef] [PubMed]
- Peters, S.E.; Jha, B.; Ross, M. Rehabilitation following surgery for flexor tendon injuries of the hand. Cochrane Database Syst. Rev. 2021, 1, CD012479. [Google Scholar] [CrossRef] [PubMed]
- Neiduski, R.L.; Powell, R.K. Flexor tendon rehabilitation in the 21st century: A systematic review. J. Hand Ther. 2019, 32, 165–174. [Google Scholar] [CrossRef]
- Tang, J.B.; Lalonde, D.; Fernandes, C.H.; Sadek, A.F.; Besmens, I.S. The IFSSH consensus and current guidelines on flexor tendon repairs and reconstruction. J. Hand Surg. Eur. Vol. 2026, 51, 127–138. [Google Scholar] [CrossRef]
- Linden, L.R.; Reisdorf, R.; Selim, O.; Berglund, L.; Zhao, C. The effect of the number of strands and knot throws of core suture techniques on the mechanical properties of the repaired flexor tendon. J. Orthop. Res. 2024, 42, 2382–2389. [Google Scholar] [CrossRef]
- Lim, B.H.; Tsai, T.-M. The six-strand technique for flexor tendon repair. Atlas Hand Clin. 1996, 1, 65–76. [Google Scholar]
- Verdan, C.E. Primary Repair of Flexor Tendons. J. Bone Jt. Surg. 1960, 42, 647–657. [Google Scholar] [CrossRef]
- Schellnegger, M.; Lin, A.C.; Holzer-Geissler, J.C.J.; Haenel, A.; Pirrung, F.; Hecker, A.; Kamolz, L.P.; Hammer, N.; Girsch, W. Biomechanical Comparison of Three Modified Kessler Techniques for Flexor Tendon Repair: Implications in Surgical Practice and Early Active Mobilization. J. Clin. Med. 2024, 13, 5766. [Google Scholar] [CrossRef]
- Christen, S.; Larsson, P.; Hainich, J.; Gruenert, J.; Brodbeck, M. Biomechanical analysis of a new 8-strand technique for flexor tendon repair. Hand Surg. Rehabil. 2020, 39, 442–447. [Google Scholar] [CrossRef] [PubMed]
- Lee, H.I.; Lee, J.S.; Kim, T.H.; Chang, S.-H.; Park, M.J.; Lee, G.J. Comparison of Flexor Tendon Suture Techniques Including 1 Using 10 Strands. J. Hand Surg. 2015, 40, 1369–1376. [Google Scholar] [CrossRef] [PubMed]
- Tang, J.B. New Developments Are Improving Flexor Tendon Repair. Plast. Reconstr. Surg. 2018, 141, 1427–1437. [Google Scholar] [CrossRef]
- Myer, C.; Fowler, J.R. Flexor Tendon Repair: Healing, Biomechanics, and Suture Configurations. Orthop. Clin. N. Am. 2016, 47, 219–226. [Google Scholar] [CrossRef]
- Chang, M.K.; Lim, Z.Y.; Wong, Y.R.; Tay, S.C. A review of cyclic testing protocols for flexor tendon repairs. Clin. Biomech. 2019, 62, 42–49. [Google Scholar] [CrossRef]
- Moriya, K.; Maki, Y.; Koda, H.; Kuroda, T.; Tsubokawa, N. Influence of the Tendon Grasping Technique on Tensile Strength in 6-strand Sutures. J. Hand Surg. Glob. Online 2025, 7, 100719. [Google Scholar] [CrossRef]
- Takeuchi, N.; Mitsuyasu, H.; Kikuchi, K.; Shimoto, T.; Higaki, H.; Iwamoto, Y. The biomechanical assessment of gap formation after flexor tendon repair using partial interlocking cross-stitch peripheral sutures. J. Hand Surg. Eur. Vol. 2011, 36, 584–589. [Google Scholar] [CrossRef]
- Aletto, C.; Aicale, R.; Oliva, F.; Maffulli, N. Hand Flexor Tendon Repair: From Biology to Surgery and Rehabilitation. Hand Clin. 2023, 39, 215–225. [Google Scholar] [CrossRef]
- Wieskötter, B.; Herbort, M.; Langer, M.; Raschke, M.J.; Wähnert, D. The impact of different peripheral suture techniques on the biomechanical stability in flexor tendon repair. Arch. Orthop. Trauma Surg. 2018, 138, 139–145. [Google Scholar] [CrossRef] [PubMed]
- Pan, Z.J.; Pan, L.; Xu, Y.F.; Ma, T.; Yao, L.H. Outcomes of 200 digital flexor tendon repairs using updated protocols and 30 repairs using an old protocol: Experience over 7 years. J. Hand Surg. Eur. Vol. 2020, 45, 56–63. [Google Scholar] [CrossRef] [PubMed]
- Tang, J.B.; Pan, Z.J.; Munz, G.; Besmens, I.S.; Harhaus, L. Flexor Tendon Repair Techniques: M-Tang Repair. Hand Clin. 2023, 39, 141–149. [Google Scholar] [CrossRef] [PubMed]
- Berry, C.E.; Mazzucchelli, L.; Reisdorf, R.L.; Moran, S.L.; Zhao, C. The Effects of the TSOL Knot on the Repair Strength and Gliding Resistance Following Flexor Tendon Repair. J. Bone Jt. Surg. Am. 2022, 104, 2000–2007. [Google Scholar] [CrossRef]
- Matheson, G.; Nicklin, S.; Gianoutsous, M.; Walsh, W. Comparison of zone II flexor tendon repairs using an in vitro linear cyclic testing protocol. Clin. Biomech. 2005, 20, 718–722. [Google Scholar] [CrossRef]
- Barrie, K.A.; Tomak, S.L.; Cholewicki, J.; Wolfe, S.W. The role of multiple strands and locking sutures on gap formation of flexor tendon repairs during cyclical loading. J. Hand Surg. 2000, 25, 714–720. [Google Scholar] [CrossRef]
- Killian, M.L.; Cavinatto, L.; Galatz, L.M.; Thomopoulos, S. The role of mechanobiology in tendon healing. J. Shoulder Elb. Surg. 2012, 21, 228–237. [Google Scholar] [CrossRef]
- Wu, Y.F.; Tang, J.B. Effects of tension across the tendon repair site on tendon gap and ultimate strength. J. Hand Surg. Am. 2012, 37, 906–912. [Google Scholar] [CrossRef]
- Karamitros, G.; Grant, M.P.; Lamaris, G.A. Associations in Medical Research Can Be Misleading: A Clinician’s Guide to Causal Inference. J. Surg. Res. 2025, 310, 145–154. [Google Scholar] [CrossRef]



| Suture Technique | FDP 2 | FDP 3 | FDP 4 | FDP 5 | Total Tendons |
|---|---|---|---|---|---|
| Adelaide without epitenon | 5 | 5 | 5 | 5 | 20 |
| Adelaide with epitenon | 5 | 5 | 5 | 5 | 20 |
| 6-strand without epitenon | 4 | 5 | 5 | 5 | 19 |
| 6-strand with epitenon | 5 | 5 | 5 | 5 | 20 |
| 8-strand without epitenon | 5 | 5 | 5 | 5 | 20 |
| 8-strand with epitenon | 5 | 5 | 5 | 5 | 20 |
| Suture Technique | FDP 2 | FDP 3 | FDP 4 | FDP 5 | Total Tendons |
|---|---|---|---|---|---|
| Adelaide without epitenon | 4 | 4 | 4 | 4 | 16 |
| Adelaide with epitenon | 4 | 4 | 4 | 4 | 16 |
| 6-strand without epitenon | 4 | 5 | 5 | 5 | 19 |
| 6-strand with epitenon | 5 | 5 | 5 | 5 | 20 |
| 8-strand without epitenon | 4 | 4 | 4 | 4 | 16 |
| 8-strand with epitenon | 5 | 5 | 5 | 5 | 20 |
| Suture Technique | Failure Cause | |
|---|---|---|
| Suture Pullout from Tendon (n; %) | Suture Breakage (n; %) | |
| Adelaide without epitenon | 6; 30% | 14; 70% |
| Adelaide with epitenon | 9; 45% | 11; 55% |
| 6-strand without epitenon | 11; 58% | 8; 42% |
| 6-strand with epitenon | 5; 25% | 15; 75% |
| 8-strand without epitenon | 8; 40% | 12; 60% |
| 8-strand with epitenon | 10; 50% | 10; 50% |
Disclaimer/Publisher’s Note: The statements, opinions and data contained in all publications are solely those of the individual author(s) and contributor(s) and not of MDPI and/or the editor(s). MDPI and/or the editor(s) disclaim responsibility for any injury to people or property resulting from any ideas, methods, instructions or products referred to in the content. |
© 2026 by the authors. Licensee MDPI, Basel, Switzerland. This article is an open access article distributed under the terms and conditions of the Creative Commons Attribution (CC BY) license.
Share and Cite
de Groot, L.G.; Hundepool, C.A.; Koopman, J.E.; Tos, P.; Zuidam, J.M. Flexor Tendon Repair Using a New Looped Six- and Eight-Strand Technique—A Biomechanical Analysis. J. Pers. Med. 2026, 16, 144. https://doi.org/10.3390/jpm16030144
de Groot LG, Hundepool CA, Koopman JE, Tos P, Zuidam JM. Flexor Tendon Repair Using a New Looped Six- and Eight-Strand Technique—A Biomechanical Analysis. Journal of Personalized Medicine. 2026; 16(3):144. https://doi.org/10.3390/jpm16030144
Chicago/Turabian Stylede Groot, Lucas G., Caroline A. Hundepool, Jaimy E. Koopman, Pierluigi Tos, and Jelle M. Zuidam. 2026. "Flexor Tendon Repair Using a New Looped Six- and Eight-Strand Technique—A Biomechanical Analysis" Journal of Personalized Medicine 16, no. 3: 144. https://doi.org/10.3390/jpm16030144
APA Stylede Groot, L. G., Hundepool, C. A., Koopman, J. E., Tos, P., & Zuidam, J. M. (2026). Flexor Tendon Repair Using a New Looped Six- and Eight-Strand Technique—A Biomechanical Analysis. Journal of Personalized Medicine, 16(3), 144. https://doi.org/10.3390/jpm16030144

