Cluster-Based Immunization Patterns in Diabetes Mellitus: Insights for Personalized Preventive Care
Abstract
1. Introduction
2. Materials and Methods
Statistical Analysis
3. Results
3.1. Comparison of All Risk Clusters
3.2. Cluster 2 Reports Worse Immunization Status—Individual Comparison of Each Cluster
3.3. Association of Preventive Care/Immunization Status and Risk Clusters
4. Discussion
5. Conclusions
Supplementary Materials
Author Contributions
Funding
Institutional Review Board Statement
Informed Consent Statement
Data Availability Statement
Conflicts of Interest
References
- IDF. IDF Diabetes Atlas 11th Edition. 2025. Available online: https://diabetesatlas.org/resources/idf-diabetes-atlas-2025/#:~:text=The%20IDF%20Diabetes%20Atlas%2011th,territory%2C%20for%202024%20and%202050 (accessed on 29 August 2025).
- The Lancet. Global, regional, and national age-sex specific all-cause and cause-specific mortality for 240 causes of death, 1990–2013: A systematic analysis for the Global Burden of Disease Study 2013. Lancet 2015, 385, 117–171. [Google Scholar] [CrossRef]
- World Health Organization. Diabetes. 2024. Available online: https://www.who.int/news-room/fact-sheets/detail/diabetes#:~:text=In%202021%2C%20diabetes%20was%20the,of%20cardiovascular%20deaths%20(1) (accessed on 17 December 2024).
- Gregg, E.W.; Zhuo, X.; Cheng, Y.J.; Albright, A.L.; Narayan, K.M.; Thompson, T.J. Trends in lifetime risk and years of life lost due to diabetes in the USA, 1985–2011: A modelling study. Lancet Diabetes Endocrinol. 2014, 2, 867–874. [Google Scholar] [CrossRef]
- Federation, I.D. IDF Diabetes Atlas. Available online: https://diabetesatlas.org (accessed on 20 September 2020).
- Litwak, L.; Goh, S.Y.; Hussein, Z.; Malek, R.; Prusty, V.; Khamseh, M.E. Prevalence of diabetes complications in people with type 2 diabetes mellitus and its association with baseline characteristics in the multinational A1chieve study. Diabetol. Metab. Syndr. 2013, 5, 57. [Google Scholar] [CrossRef]
- Gregg, E.W.; Sattar, N.; Ali, M.K. The changing face of diabetes complications. Lancet Diabetes Endocrinol. 2016, 4, 537–547. [Google Scholar] [CrossRef]
- Leutner, M.; Haug, N.; Bellach, L.; Dervic, E.; Kautzky, A.; Klimek, P.; Kautzky-Willer, A. Risk of Typical Diabetes-Associated Complications in Different Clusters of Diabetic Patients: Analysis of Nine Risk Factors. J. Pers. Med. 2021, 11, 328. [Google Scholar] [CrossRef] [PubMed]
- Coughlin, S.S.; Calle, E.E.; Teras, L.R.; Petrelli, J.; Thun, M.J. Diabetes mellitus as a predictor of cancer mortality in a large cohort of US adults. Am. J. Epidemiol. 2004, 159, 1160–1167. [Google Scholar] [CrossRef] [PubMed]
- Hammer, M.; Storey, S.; Hershey, D.S.; Brady, V.J.; Davis, E.; Mandolfo, N.; Bryant, A.L.; Olausson, J. Hyperglycemia and Cancer: A State-of-the-Science Review. Oncol. Nurs. Forum 2019, 46, 459–472. [Google Scholar] [CrossRef] [PubMed]
- Leutner, M.; Kaleta, M.; Bellach, L.; Kautzky, A.; Thurner, S.; Klimek, P.; Kautzky-Willer, A. Insulin as Monotherapy and in Combination with Other Glucose-Lowering Drugs Is Related to Increased Risk of Diagnosis of Pneumonia: A Longitudinal Assessment over Two Years. J. Pers. Med. 2021, 11, 984. [Google Scholar] [CrossRef]
- Ferlita, S.; Yegiazaryan, A.; Noori, N.; Lal, G.; Nguyen, T.; To, K.; Venketaraman, V. Type 2 Diabetes Mellitus and Altered Immune System Leading to Susceptibility to Pathogens, Especially Mycobacterium tuberculosis. J. Clin. Med. 2019, 8, 2219. [Google Scholar] [CrossRef]
- Stegenga, M.E.; van der Crabben, S.N.; Blümer, R.M.; Levi, M.; Meijers, J.C.; Serlie, M.J.; Tanck, M.W.; Sauerwein, H.P.; van der Poll, T. Hyperglycemia enhances coagulation and reduces neutrophil degranulation, whereas hyperinsulinemia inhibits fibrinolysis during human endotoxemia. Blood 2008, 112, 82–89. [Google Scholar] [CrossRef]
- Stegenga, M.E.; van der Crabben, S.N.; Dessing, M.C.; Pater, J.M.; van den Pangaart, P.S.; de Vos, A.F.; Tanck, M.W.; Roos, D.; Sauerwein, H.P.; van der Poll, T. Effect of acute hyperglycaemia and/or hyperinsulinaemia on proinflammatory gene expression, cytokine production and neutrophil function in humans. Diabet. Med. 2008, 25, 157–164. [Google Scholar] [CrossRef]
- Hand, W.L.; Hand, D.L.; Vasquez, Y. Increased polymorphonuclear leukocyte respiratory burst function in type 2 diabetes. Diabetes Res. Clin. Pract. 2007, 76, 44–50. [Google Scholar] [CrossRef]
- Moretta, A.; Bottino, C.; Mingari, M.C.; Biassoni, R.; Moretta, L. What is a natural killer cell? Nat. Immunol. 2002, 3, 6–8. [Google Scholar] [CrossRef]
- Li, H.; Ping, F.; Li, X.; Wang, Z.; Xiao, J.; Jiang, H.; Xue, Y.; Quan, J.; Yao, H.; Zheng, X.; et al. COVID-19 vaccine coverage, safety, and perceptions among patients with diabetes mellitus in China: A cross-sectional study. Front. Endocrinol. 2023, 14, 1172089. [Google Scholar] [CrossRef]
- Bianchi, F.P.; Stefanizzi, P.; Martinelli, A.; Brescia, N.; Tafuri, S. COVID-19 vaccination hesitancy in people affected by diabetes and strategies to increase vaccine compliance: A systematic narrative review and meta-analysis. Vaccine 2023, 41, 1303–1309. [Google Scholar] [CrossRef] [PubMed]
- Munoz-Farre, A.; Poulakakis-Daktylidis, A.; Kothalawala, D.M.; Rodriguez-Martinez, A. Interpreting deep embeddings for disease progression clustering. arXiv 2023, arXiv:2307.06060. Available online: https://arxiv.org/abs/2307.06060 (accessed on 25 June 2025). [CrossRef]
- Schaar, C.L.a.M.v.d. Temporal Phenotyping using Deep Predictive Clustering of Disease Progression. arXiv 2020, arXiv:2006.08600. Available online: https://arxiv.org/abs/2006.08600 (accessed on 25 June 2025). [CrossRef]
- Mottalib, M.M.; Jones-Smith, J.C.; Sheridan, B.; Beheshti, R. Subtyping patients with chronic disease using longitudinal BMI patterns. IEEE J. Biomed. Health Inform. 2023, 27, 2083–2093. [Google Scholar] [CrossRef] [PubMed]
- Austria, S. Die Österreichische Gesundheitsbefragung. 2020. Available online: https://www.statistik.at/services/tools/services/publikationen/detail/848 (accessed on 19 August 2020).
- Daryabor, G.; Atashzar, M.R.; Kabelitz, D.; Meri, S.; Kalantar, K. The Effects of Type 2 Diabetes Mellitus on Organ Metabolism and the Immune System. Front. Immunol. 2020, 11, 1582. [Google Scholar] [CrossRef]
- Alraddadi, B.M.; Watson, J.T.; Almarashi, A.; Abedi, G.R.; Turkistani, A.; Sadran, M.; Housa, A.; Almazroa, M.A.; Alraihan, N.; Banjar, A.; et al. Risk Factors for Primary Middle East Respiratory Syndrome Coronavirus Illness in Humans, Saudi Arabia, 2014. Emerg. Infect. Dis. 2016, 22, 49–55. [Google Scholar] [CrossRef]
- Yang, J.K.; Feng, Y.; Yuan, M.Y.; Yuan, S.Y.; Fu, H.J.; Wu, B.Y.; Sun, G.Z.; Yang, G.R.; Zhang, X.L.; Wang, L.; et al. Plasma glucose levels and diabetes are independent predictors for mortality and morbidity in patients with SARS. Diabet. Med. 2006, 23, 623–628. [Google Scholar] [CrossRef] [PubMed]
- Villar, L.M.; Geloneze, B.; Vasques, A.C.J.; Pires, M.L.E.; Miguel, J.C.; da Silva, E.F.; Marques, V.A.; Scalioni, L.P.; Lampe, E. Prevalence of hepatitis B and hepatitis C among diabetes mellitus type 2 individuals. PLoS ONE 2019, 14, e0211193. [Google Scholar] [CrossRef]
- Kumar, M.; Roe, K.; Nerurkar, P.V.; Namekar, M.; Orillo, B.; Verma, S.; Nerurkar, V.R. Impaired virus clearance, compromised immune response and increased mortality in type 2 diabetic mice infected with West Nile virus. PLoS ONE 2012, 7, e44682. [Google Scholar] [CrossRef] [PubMed]
- Li, S.; Wang, J.; Zhang, B.; Li, X.; Liu, Y. Diabetes Mellitus and Cause-Specific Mortality: A Population-Based Study. Diabetes Metab. J. 2019, 43, 319–341. [Google Scholar] [CrossRef]
- Alsufyani, S.A. Acceptance Rate of Influenza Vaccination Among Patients with Type II Diabetes. J. Family Med. Prim. Care 2022, 11, 44–52. [Google Scholar] [CrossRef]
- Lee, D.H.; Yang, B.; Gu, S.; Kim, E.G.; Kim, Y.; Kang, H.K.; Choe, Y.H.; Jeon, H.J.; Park, S.; Lee, H. Influenza vaccination trend and related factors among patients with diabetes in Korea: Analysis using a nationwide database. Front. Endocrinol. 2023, 14, 1077846. [Google Scholar] [CrossRef]
- Szőllősi, G.J.; Pataki, J.; Virágh, A.; Bányai, G.; Boruzs, K.; Bíró, K.; Dombrádi, V. Influenza Vaccination Coverage among People with Self-Reported Cardiovascular Diseases-Findings from the Hungarian Implementation of the European Health Interview Survey. Vaccines 2024, 12, 360. [Google Scholar] [CrossRef]
- Sandhofer, M.J.; Robak, O.; Frank, H.; Kulnig, J. Vaccine hesitancy in Austria: A cross-sectional survey. Wien. Klin. Wochenschr. 2017, 129, 59–64. [Google Scholar] [CrossRef] [PubMed]
- Phelan, S.M.; Burgess, D.J.; Yeazel, M.W.; Hellerstedt, W.L.; Griffin, J.M.; van Ryn, M. Impact of weight bias and stigma on quality of care and outcomes for patients with obesity. Obes. Rev. 2015, 16, 319–326. [Google Scholar] [CrossRef]
- Yu, M.C.; Chou, Y.L.; Lee, P.L.; Yang, Y.C.; Chen, K.T. Influenza vaccination coverage and factors affecting adherence to influenza vaccination among patients with diabetes in Taiwan. Hum. Vaccin. Immunother. 2014, 10, 1028–1035. [Google Scholar] [CrossRef]
- Jimenez-Trujillo, I.; López-de Andrés, A.; Hernández-Barrera, V.; Carrasco-Garrido, P.; Santos-Sancho, J.M.; Jiménez-García, R. Influenza vaccination coverage rates among diabetes sufferers, predictors of adherence and time trends from 2003 to 2010 in Spain. Hum. Vaccin. Immunother. 2013, 9, 1326–1332. [Google Scholar] [CrossRef][Green Version]
- Pugliese, G.; Liccardi, A.; Graziadio, C.; Barrea, L.; Muscogiuri, G.; Colao, A. Obesity and infectious diseases: Pathophysiology and epidemiology of a double pandemic condition. Int. J. Obes. 2022, 46, 449–465. [Google Scholar] [CrossRef]
- Harpsøe, M.C.; Nielsen, N.M.; Friis-Møller, N.; Andersson, M.; Wohlfahrt, J.; Linneberg, A.; Nohr, E.A.; Jess, T. Body Mass Index and Risk of Infections Among Women in the Danish National Birth Cohort. Am. J. Epidemiol. 2016, 183, 1008–1017. [Google Scholar] [CrossRef]
- Pérez-Cruz, E.; Castañón-González, J.A.; Ortiz-Gutiérrez, S.; Garduño-López, J.; Luna-Camacho, Y. Impact of obesity and diabetes mellitus in critically ill patients with SARS-CoV-2. Obes. Res. Clin. Pract. 2021, 15, 402–405. [Google Scholar] [CrossRef]
- Shi, L.Z.; Wang, R.; Huang, G.; Vogel, P.; Neale, G.; Green, D.R.; Chi, H. HIF1alpha-dependent glycolytic pathway orchestrates a metabolic checkpoint for the differentiation of TH17 and Treg cells. J. Exp. Med. 2011, 208, 1367–1376. [Google Scholar] [CrossRef]
- Cheng, H.Y.; Gaddis, D.E.; Wu, R.; McSkimming, C.; Haynes, L.D.; Taylor, A.M.; McNamara, C.A.; Sorci-Thomas, M.; Hedrick, C.C. Loss of ABCG1 influences regulatory T cell differentiation and atherosclerosis. J. Clin. Investig. 2016, 126, 3236–3246. [Google Scholar] [CrossRef]
- Bensinger, S.J.; Tontonoz, P. Integration of metabolism and inflammation by lipid-activated nuclear receptors. Nature 2008, 454, 470–477. [Google Scholar] [CrossRef] [PubMed]
- Cai, T.; Zhang, Y.; Ho, Y.L.; Link, N.; Sun, J.; Huang, J.; Cai, T.A.; Damrauer, S.; Ahuja, Y.; Honerlaw, J.; et al. Association of Interleukin 6 Receptor Variant With Cardiovascular Disease Effects of Interleukin 6 Receptor Blocking Therapy: A Phenome-Wide Association Study. JAMA Cardiol. 2018, 3, 849–857. [Google Scholar] [CrossRef] [PubMed]
- Carranza-Leon, D.A.; Oeser, A.; Wu, Q.; Stein, C.M.; Ormseth, M.J.; Chung, C.P. Ambulatory blood pressure in patients with systemic lupus erythematosus: Association with markers of immune activation. Lupus 2020, 29, 1683–1690. [Google Scholar] [CrossRef] [PubMed]
- Petrak, F.; Baumeister, H.; Skinner, T.C.; Brown, A.; Holt, R.I.G. Depression and diabetes: Treatment and health-care delivery. Lancet Diabetes Endocrinol. 2015, 3, 472–485. [Google Scholar] [CrossRef]
- Baek, S.U.; Yoon, J.H. Association between depressive symptoms and participation in influenza vaccination and health checkups: Findings from the Korea National Health and Nutrition Examination Survey. Gen. Hosp. Psychiatry 2024, 91, 180–185. [Google Scholar] [CrossRef] [PubMed]
- Nguyen, K.H.; Chen, S.; Morris, K.; Chui, K.; Allen, J.D. Mental health symptoms and association with COVID-19 vaccination receipt and intention to vaccinate among adults, United States. Prev. Med. 2022, 154, 106905. [Google Scholar] [CrossRef]
- Wittman, J.T.; Bullard, K.M.; Benoit, S.R. Trends in Preventive Care Services Among U.S. Adults With Diagnosed Diabetes, 2008-2020. Diabetes Care 2023, 46, 2285–2291. [Google Scholar] [CrossRef] [PubMed]
- Gisinger, T.; Kautzky-Willer, A.; Leutner, M. Need for improving immunization status and preventive care in diabetes mellitus patients. Wien. Klin. Wochenschr. 2022, 135, 336–342. [Google Scholar] [CrossRef]
- Kizilkaya, M.C.; Kilic, S.S.; Oncel, D.; Mamidanna, S.; Daliparty, V.; Yilmaz, S.; Bozkurt, M.A.; Sibic, O.; Sayan, M. Barriers to Coronavirus Disease 19 vaccination in patients wit h obesity. Am. J. Surg. 2023, 225, 357–361. [Google Scholar] [CrossRef]
- Harris, J.A.; Moniz, M.H.; Iott, B.; Power, R.; Griggs, J.J. Obesity and the receipt of influenza and pneumococcal vaccination: A systematic review and meta-analysis. BMC Obes. 2016, 3, 24. [Google Scholar] [CrossRef]
- Lascar, N.; Brown, J.; Pattison, H.; Barnett, A.H.; Bailey, C.J.; Bellary, S. Type 2 diabetes in adolescents and young adults. Lancet Diabetes Endocrinol. 2018, 6, 69–80. [Google Scholar] [CrossRef] [PubMed]
- Maahs, D.M.; West, N.A.; Lawrence, J.M.; Mayer-Davis, E.J. Epidemiology of type 1 diabetes. Endocrinol. Metab. Clin. N. Am. 2010, 39, 481–497. [Google Scholar] [CrossRef]
- Hintzpeter, B.; Finger, J.D.; Allen, J.; Kuhnert, R.; Seeling, S.; Thelen, J.; Lange, C. European Health Interview Survey (EHIS) 2—Background and study methodology. J. Health Monit. 2019, 4, 66–79. [Google Scholar] [CrossRef]

| Variable | DM (n = 214) | Cluster 1 (n = 215) | Cluster 2 (n = 33) | Cluster 3 (n = 65) | p-Value Chi2 Test |
|---|---|---|---|---|---|
| Age: | <0.001 | ||||
| - 15–49 | 28 13.4% | 2 1% * | 2 6% | 5 7.9% | |
| - 50–74 | 126 59.0% | 119 55.4% * | 22 67% | 31 47.4% | |
| - >74 | 59 27.5% | 93 43.2% * | 9 27% | 29 44.7% | |
| Sex: | <0.001 | ||||
| - male | 130 60.7% | 111 51.6% | 16 48.5% # | 21 32.3% * | |
| - female | 84 39.3% | 104 48.4% | 17 51.5% # | 44 67.7% * | |
| Last influenza shot in the past 12 months | 30 14.0% | 38 17.7% | 6 18.2% | 9 13.8% | 0.704 |
| Intact tetanus immunization | 137 64.0% | 134 62.3% + | 14 42.4% * | 40 61.5% | 0.112 |
| Intact diphtheria immunization | 111 51.9% | 98 45.6% | 9 27.3% *,# | 34 52.3% | 0.047 |
| Intact Polio immunization | 99 46.3% | 94 43.7% | 11 33.3% | 28 43.1% | 0.545 |
| Intact TBE immunization | 126 58.9% | 116 54.0% | 13 39.4% | 30 46.2% | 0.081 |
| Intact pneumococcus immunization | 27 12.6% | 32 14.9% | 3 9.1% | 7 10.8% | 0.781 |
| Last blood pressure measurement in the past 12 months | 192 89.7% | 203 94.4% | 32 97.0% | 61 93.8% | 0.245 |
| Last blood cholesterol measurement in the past 12 months | 194 90.7% | 203 94.4% | 32 97.0% | 61 93.8% | 0.413 |
| Last fecal occult blood test in the past 12 months | 84 39.3% | 109 50.7% * | 15 45.5% | 32 49.2% | 0.108 |
| Last colonoscopy in the past 12 months | 19 8.9% | 25 11.6% + | 8 24.2% * | 5 7.7% | 0.072 |
| Last mammogram in the past 12 months | 22 26.2% | 28 26.9% | 5 29.4% | 13 29.5% | 0.953 |
| Last PAP smear in the past 12 months | 35 41.7% | 30 14.7% | 4 23.5% | 15 34.1% | 0.234 |
| Variable | DM | Cluster 1 | Cluster 2 | Cluster 3 |
|---|---|---|---|---|
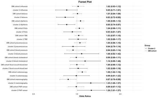
| Last influenza shot in the past 12 months | 1.02 [0.93–1.12] (0.688) | 1.12 [1.00–1.26] (0.059) | 0.85 [0.71–1.01] (0.064) | 1.39 [0.97–1.97] (0.077) |
| Intact tetanus immunization | 1.01 [0.94–1.08] (0.836) | 1.04 [0.94–1.14] (0.465) | 0.83 [0.72–0.95] (0.009) | 1.02 [0.79–1.30] (0.901) |
| Intact diphtheria immunization | 1.06 [0.99–1.12] (0.077) | 1.05 [0.95–1.14] (0.343) | 0.85 [0.74–0.97] (0.018) | 1.12 [0.88–1.44] (0.363) |
| Intact Polio immunization | 1.04 [0.98–1.11] (0.183) | 1.03 [0.94–1.13] (0.529) | 0.93 [0.81–1.07] (0.293) | 1.05 [0.82–1.36] (0.685) |
| Intact TBE immunization | 1.03 [0.97–1.10] (0.324) | 0.98 [0.90–1.08] (0.739) | 1.02 [0.88–1.17] (0.830) | 0.90 [0.71–1.15] (0.417) |
| Intact pneumococcus immunization | 1.05 [0.96–1.15] (0.270) | 1.09 [0.97–1.23] (0.148) | 0.94 [0.79–1.14] (0.547) | 1.33 [0.89–1.99] (0.173) |
| Last blood pressure measurement in the past 12 months | 0.94 [0.85–1.05] (0.278) | 1.15 [0.95–1.39] (0.166) | 1.08 [0.82–1.42] (0.600) | 1.14 [0.75–1.73] (0.551) |
| Last blood cholesterol measurement in the past 12 months | 0.99 [0.90–1.10] (0.947) | 1.18 [0.96–1.45] (0.114) | 1.14 [0.89–1.46] (0.308) | 1.06 [0.72–1.56] (0.777) |
| Last fecal occult blood test in the past 12 months | 1.00 [0.90–1.12] (0.963) | 1.52 [1.15–2.01] (0.004) | 1.02 [0.72–1.35] (0.729) | 1.34 [1.05–1.71] (0.021) |
| Last colonoscopy in the past 12 months | 1.09 [1.02–1.16] (0.012) | 1.14 [1.05–1.25] (0.003) | 0.99 [0.81–1.22] (0.937) | 0.78 [0.53–1.15] (0.218) |
| Last mammogram in the past 12 months | 0.87 [0.76–0.99] (0.049) | 1.07 [0.95–1.20] (0.258) | 1.25 [1.00–1.57] (0.053) | 1.20 [0.87–1.65] (0.276) |
| Last PAP smear in the past 12 months | 0.99 [0.87–1.12] (0.852) | 1.07 [0.95–1.20] (0.258) | 1.26 [1.01–1.57] (0.042) | 1.22 [0.92–1.63] (0.185) |
Disclaimer/Publisher’s Note: The statements, opinions and data contained in all publications are solely those of the individual author(s) and contributor(s) and not of MDPI and/or the editor(s). MDPI and/or the editor(s) disclaim responsibility for any injury to people or property resulting from any ideas, methods, instructions or products referred to in the content. |
© 2025 by the authors. Licensee MDPI, Basel, Switzerland. This article is an open access article distributed under the terms and conditions of the Creative Commons Attribution (CC BY) license (https://creativecommons.org/licenses/by/4.0/).
Share and Cite
Gisinger, T.; Kautzky-Willer, A.; Leutner, M. Cluster-Based Immunization Patterns in Diabetes Mellitus: Insights for Personalized Preventive Care. J. Pers. Med. 2025, 15, 441. https://doi.org/10.3390/jpm15090441
Gisinger T, Kautzky-Willer A, Leutner M. Cluster-Based Immunization Patterns in Diabetes Mellitus: Insights for Personalized Preventive Care. Journal of Personalized Medicine. 2025; 15(9):441. https://doi.org/10.3390/jpm15090441
Chicago/Turabian StyleGisinger, Teresa, Alexandra Kautzky-Willer, and Michael Leutner. 2025. "Cluster-Based Immunization Patterns in Diabetes Mellitus: Insights for Personalized Preventive Care" Journal of Personalized Medicine 15, no. 9: 441. https://doi.org/10.3390/jpm15090441
APA StyleGisinger, T., Kautzky-Willer, A., & Leutner, M. (2025). Cluster-Based Immunization Patterns in Diabetes Mellitus: Insights for Personalized Preventive Care. Journal of Personalized Medicine, 15(9), 441. https://doi.org/10.3390/jpm15090441

