Clinical Outcome of Colorectal Cancer Patients with Concomitant Hypertension: A Systematic Review and Meta-Analysis
Abstract
1. Introduction
2. Materials and Methods
2.1. Data Sources and Search Strategy
2.2. Selection Criteria
2.3. Data Extraction
2.4. Quality Assessment
2.5. Outcome Measures
2.6. Statistical Analysis
3. Results
3.1. Identification of Studies
3.2. Characteristics of Included Studies
3.3. Quality Assessment
3.4. Progression-Free Survival
3.5. Overall Survival
3.6. Overall Response Rate
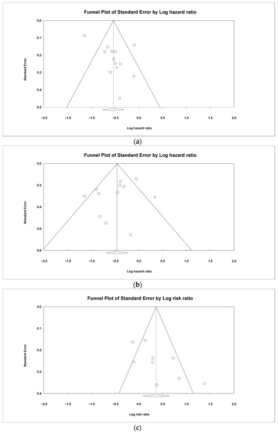
3.7. Publication Bias
3.8. Subgroup Analysis
3.9. Sensitivity Analysis
4. Discussion
5. Conclusions
Supplementary Materials
Author Contributions
Funding
Institutional Review Board Statement
Informed Consent Statement
Data Availability Statement
Acknowledgments
Conflicts of Interest
References
- GBD 2019 Colorectal Cancer Collaborators. Colorectal Cancer Collaborators. Global, regional, and national burden of colorectal cancer and its risk factors, 1990-2019: A systematic analysis for the Global Burden of Disease Study 2019. Lancet Gastroenterol. Hepatol. 2022, 7, 627–647. [Google Scholar] [CrossRef]
- Mancia, G.; Kreutz, R.; Brunström, M.; Burnier, M.; Grassi, G.; Januszewicz, A.; Muiesan, M.L.; Tsioufis, K.; Agabiti-Rosei, E.; Algharably, E.A.E.; et al. 2023 ESH Guidelines for the management of arterial hypertension The Task Force for the management of arterial hypertension of the European Society of Hypertension: Endorsed by the International Society of Hypertension (ISH) and the European Renal Association (ERA). J. Hypertens. 2023, 41, 1874–2071. [Google Scholar] [CrossRef]
- Scartozzi, M.; Galizia, E.; Chiorrini, S.; Giampieri, R.; Berardi, R.; Pierantoni, C.; Cascinu, S. Arterial hypertension correlates with clinical outcome in colorectal cancer patients treated with first-line bevacizumab. Ann. Oncol. 2009, 20, 227–230. [Google Scholar] [CrossRef]
- van Dorst, D.C.; Dobbin, S.J.; Neves, K.B.; Herrmann, J.; Herrmann, S.M.; Versmissen, J.; Mathijssen, R.H.; Danser, A.J.; Lang, N.N. Hypertension and Prohypertensive Antineoplastic Therapies in Cancer Patients. Circ. Res. 2021, 128, 1040–1061. [Google Scholar] [CrossRef]
- Maitland, M.L.; Bakris, G.L.; Black, H.R.; Chen, H.X.; Durand, J.-B.; Elliott, W.J.; Ivy, S.P.; Leier, C.V.; Lindenfeld, J.; Liu, G.; et al. Initial assessment, surveillance, and management of blood pressure in patients receiving vascular endothelial growth factor signaling pathway inhibitors. J. Natl. Cancer Inst. 2010, 102, 596–604. [Google Scholar] [CrossRef]
- Williams, B.; Mancia, G.; Spiering, W.; Agabiti Rosei, E.; Azizi, M.; Burnier, M.; Clement, D.L.; Coca, A.; de Simone, G.; Dominiczak, A.; et al. 2018 ESC/ESH Guidelines for the management of arterial hypertension. Eur Heart J 2018, 39, 3021–3104. [Google Scholar] [CrossRef]
- Jain, M.; Townsend, R.R. Chemotherapy agents and hypertension: A focus on angiogenesis blockade. Curr. Hypertens. Rep. 2007, 9, 320–328. [Google Scholar] [CrossRef]
- Alcala, K.; Mariosa, D.; Smith-Byrne, K.; Nesheli, D.N.; Carreras-Torres, R.; Aicua, E.A.; Bondonno, N.P.; Bonet, C.; Brunström, M.; Bueno-De-Mesquita, B.; et al. The relationship between blood pressure and risk of renal cell carcinoma. Int. J. Epidemiol. 2022, 51, 1317–1327. [Google Scholar] [CrossRef]
- Copland, E.; Canoy, D.; Nazarzadeh, M.; Bidel, Z.; Ramakrishnan, R.; Woodward, M.; Chalmers, J.; Teo, K.K.; Pepine, C.J.; Davis, B.R.; et al. Antihypertensive treatment and risk of cancer: An individual participant data meta-analysis. Lancet Oncol. 2021, 22, 558–570. [Google Scholar] [CrossRef]
- Liberati, A.; Altman, D.G.; Tetzlaff, J.; Mulrow, C.; Gøtzsche, P.C.; Ioannidis, J.P.A.; Clarke, M.; Devereaux, P.J.; Kleijnen, J.; Moher, D. The PRISMA statement for reporting systematic reviews and meta-analyses of studies that evaluate health care interventions: Explanation and elaboration. PLoS Med. 2009, 6, e1000100. [Google Scholar] [CrossRef]
- Stroup, D.F.; Berlin, J.A.; Morton, S.C.; Olkin, I.; Williamson, G.D.; Rennie, D.; Moher, D.; Becker, B.J.; Sipe, T.A.; Thacker, S.B. Meta-analysis of observational studies in epidemiology: A proposal for reporting. Meta-analysis Of Observational Studies in Epidemiology (MOOSE) group. JAMA 2000, 283, 2008–2012. [Google Scholar] [CrossRef]
- Stang, A. Critical evaluation of the Newcastle-Ottawa scale for the assessment of the quality of nonrandomized studies in meta-analyses. Eur. J. Epidemiol. 2010, 25, 603–605. [Google Scholar] [CrossRef]
- Therasse, P.; Arbuck, S.G.; Eisenhauer, E.A.; Wanders, J.; Kaplan, R.S.; Rubinstein, L.; Verweij, J.; Van Glabbeke, M.; van Oosterom, A.T.; Christian, M.C.; et al. New guidelines to evaluate the response to treatment in solid tumors. European Organization for Research and Treatment of Cancer, National Cancer Institute of the United States, National Cancer Institute of Canada. J. Natl. Cancer Inst. 2000, 92, 205–216. [Google Scholar] [CrossRef]
- US Department of Health and Human Services. Common Terminology Criteria for Adverse Events (CTCAE). Available online: https://ctep.cancer.gov/protocoldevelopment/electronic_applications/docs/ctcae_v5_quick_reference_8.5x11.pdf (accessed on 10 February 2024).
- Egger, M.; Davey Smith, G.; Schneider, M.; Minder, C. Bias in meta-analysis detected by a simple, graphical test. BMJ 1997, 315, 629–634. [Google Scholar] [CrossRef]
- Duval, S.; Tweedie, R. Trim and fill: A simple funnel-plot-based method of testing and adjusting for publication bias in meta-analysis. Biometrics 2000, 56, 455–463. [Google Scholar] [CrossRef]
- Budai, B.; Nagy, T.; Lang, I.; Hitre, E. The use of high dose d,l-leucovorin in first-line bevacizumab+mFOLFIRI treatment of patients with metastatic colorectal cancer may enhance the antiangiogenic effect of bevacizumab. Angiogenesis 2013, 16, 113–121. [Google Scholar] [CrossRef]
- de Sousa, I.J.D.; Ferreira, J.; Rodrigues, J.; Bonito, N.; Jacinto, P.; Marques, M.; Ribeiro, J.; Pais, A.; Gervásio, H. Association between bevacizumab-related hypertension and response to treatment in patients with metastatic colorectal cancer. ESMO Open 2016, 1, e000045. [Google Scholar] [CrossRef]
- De Stefano, A.; Carlomagno, C.; Pepe, S.; Bianco, R.; De Placido, S. Bevacizumab-related arterial hypertension as a predictive marker in metastatic colorectal cancer patients. Cancer Chemother. Pharmacol. 2011, 68, 1207–1213. [Google Scholar] [CrossRef]
- Dewdney, A.; Cunningham, D.; Barbachano, Y.; Chau, I. Correlation of bevacizumab-induced hypertension and outcome in the BOXER study, a phase II study of capecitabine, oxaliplatin (CAPOX) plus bevacizumab as peri-operative treatment in 45 patients with poor-risk colorectal liver-only metastases unsuitable for upfront resection. Br. J. Cancer 2012, 106, 1718–1721. [Google Scholar] [CrossRef]
- Feliu, J.; Salud, A.; Safont, M.J.; García-Girón, C.; Aparicio, J.; Losa, F.; Bosch, C.; Escudero, P.; Casado, E.; Jorge, M.; et al. Correlation of hypertension and proteinuria with outcome in elderly bevacizumab-treated patients with metastatic colorectal cancer. PLoS ONE 2015, 10, e0116527. [Google Scholar] [CrossRef]
- Khoja, L.; Kumaran, G.; Zee, Y.K.; Murukesh, N.; Swindell, R.; Saunders, M.P.; Clamp, A.R.; Valle, J.W.; Wilson, G.; Jayson, G.C.; et al. Evaluation of hypertension and proteinuria as markers of efficacy in antiangiogenic therapy for metastatic colorectal cancer. J. Clin. Gastroenterol. 2014, 48, 430–434. [Google Scholar] [CrossRef]
- Mir, O.; Coriat, R.; Cabanes, L.; Ropert, S.; Billemont, B.; Alexandre, J.; Durand, J.-P.; Treluyer, J.-M.; Knebelmann, B.; Goldwasser, F. An observational study of bevacizumab-induced hypertension as a clinical biomarker of antitumor activity. Oncologist 2011, 16, 1325–1332. [Google Scholar] [CrossRef]
- Morita, S.; Uehara, K.; Nakayama, G.; Shibata, T.; Oguri, T.; Inada-Inoue, M.; Shimokata, T.; Sugishita, M.; Mitsuma, A.; Ando, Y. Association between bevacizumab-related hypertension and vascular endothelial growth factor (VEGF) gene polymorphisms in Japanese patients with metastatic colorectal cancer. Cancer Chemother. Pharmacol. 2013, 71, 405–411. [Google Scholar] [CrossRef]
- Osterlund, P.; Soveri, L.M.; Isoniemi, H.; Poussa, T.; Alanko, T.; Bono, P. Hypertension and overall survival in metastatic colorectal cancer patients treated with bevacizumab-containing chemotherapy. Br. J. Cancer 2011, 104, 599–604. [Google Scholar] [CrossRef]
- Ottaiano, A.; Santorsola, M.; Circelli, L.; Perri, F.; Cascella, M.; Sabbatino, F.; Capuozzo, M.; Granata, V.; Zappavigna, S.; Lombardi, A.; et al. Hypertension, type 2 diabetes, obesity, and p53 mutations negatively correlate with metastatic colorectal cancer patients’ survival. Front. Med. 2023, 10, 1091634. [Google Scholar] [CrossRef]
- Rattner, J.I.; Kopciuk, K.A.; Vogel, H.J.; Tang, P.A.; Shapiro, J.D.; Tu, D.; Jonker, D.J.; Siu, L.L.; O’Callaghan, C.J.; Bathe, O.F. Clinical and metabolomic characterization of Brivanib-Induced hypertension in metastatic colorectal cancer. Cancer Med. 2023, 12, 16019–16031. [Google Scholar] [CrossRef]
- Ryanne Wu, R.; Lindenberg, P.A.; Slack, R.; Noone, A.M.; Marshall, J.L.; He, A.R. Evaluation of hypertension as a marker of bevacizumab efficacy. J. Gastrointest. Cancer 2009, 40, 101–108. [Google Scholar] [CrossRef]
- Saito, Y.; Takekuma, Y.; Komatsu, Y.; Sugawara, M. Severe hypertension development significantly improves progression-free survival in regorafenib treatment for metastatic colorectal cancer. Int. J. Clin. Oncol. 2023, 28, 1183–1190. [Google Scholar] [CrossRef]
- Sud, S.; O’Callaghan, C.; Jonker, C.; Karapetis, C.; Price, T.; Tebbutt, N.; Shapiro, J.; Van Hazel, G.; Pavlakis, N.; Gibbs, P.; et al. Hypertension as a predictor of advanced colorectal cancer outcome and cetuximab treatment response. Curr. Oncol. 2018, 25, e516–e526. [Google Scholar] [CrossRef]
- Tahover, E.; Uziely, B.; Salah, A.; Temper, M.; Peretz, T.; Hubert, A. Hypertension as a predictive biomarker in bevacizumab treatment for colorectal cancer patients. Med. Oncol. 2013, 30, 327. [Google Scholar] [CrossRef]
- Lombardi, P.; Rossini, D.; Crespi, V.; Germani, M.M.; Bergamo, F.; Pietrantonio, F.; Santini, D.; Allegrini, G.; Daniel, F.; Pagani, F.; et al. Bevacizumab-induced hypertension as a predictor of clinical outcome in metastatic colorectal cancer: An individual patient data-based pooled analysis of two randomized studies and a systematic review of the literature. Cancer Treat. Rev. 2022, 103, 102326. [Google Scholar] [CrossRef] [PubMed]
- Xuan, K.; Zhao, T.; Sun, C.; Patel, A.S.; Liu, H.; Chen, X.; Qu, G.; Sun, Y. The association between hypertension and colorectal cancer: A meta-analysis of observational studies. Eur. J. Cancer Prev. 2021, 30, 84–96. [Google Scholar] [CrossRef] [PubMed]
- Dvorak, H.F. Vascular permeability factor/vascular endothelial growth factor: A critical cytokine in tumor angiogenesis and a potential target for diagnosis and therapy. J. Clin. Oncol. 2002, 20, 4368–4380. [Google Scholar] [CrossRef] [PubMed]
- Ettehad, D.; Emdin, C.A.; Kiran, A.; Anderson, S.G.; Callender, T.; Emberson, J.; Chalmers, J.; Rodgers, A.; Rahimi, K. Blood pressure lowering for prevention of cardiovascular disease and death: A systematic review and meta-analysis. Lancet 2016, 387, 957–967. [Google Scholar] [CrossRef]
- Thomopoulos, C.; Parati, G.; Zanchetti, A. Effects of blood pressure lowering on outcome incidence in hypertension: 4. Effects of various classes of antihypertensive drugs--overview and meta-analyses. J. Hypertens. 2015, 33, 195–211. [Google Scholar] [CrossRef]





| Author (Year) Country | Sample Size | Mean Age | Gender (M/F) | Primary Tumour Location | Liver Metastases vs. No Metastases | Patients with HTN n (%) | Oncological Treatment | HTN Criteria | HTN Cut-Off in Controls | Median PFS (Months) HTN/Non-HTN | Median OS (Months) HTN/Non-HTN | ORR (%) HTN/Non-HTN |
|---|---|---|---|---|---|---|---|---|---|---|---|---|
| Budai et al. (2013) [17] Hungary | 232 | 56.5 | 126/106 | Colon: 90 Rectum: 142 | 315/135 | NA | Bevacizumab + mFOLFIRI | CTC AE V3.0 | Grade ≤ 1 | NA | NA | NA |
| Dionisio de Sousa et al. (2016) [18] Portugal | 79 | 60.3 | 53/26 | Colon: 50 Rectum: 29 | 58/43 | 41 (51.9) | Bevacizumab + FOLFOX or FOLFIRI (1st line treatment) | CTC AE V4.0 | Grade ≤ 1 | NA | 33/21 | NA |
| De Stefano et al. (2011) [19] Italy | 74 | 58 | 42/32 | Colon: ND Rectum: ND | 38/36 | 13 (17.6) | Bevacizumab + FOLFIRI or XELIRI or FOLFOX or XELOX or FOLFOXIRI | CTC AE V3.0 | Grade = 0 | 15.1/8.3 | 35.5/26.7 | 84.6/42.6 |
| Dewdney et al. (2012) [20] UK | 45 | NA | NA | Colon: ND Rectum: ND | ND | 7 (15.6) | Bevacizumab + XELOX (before and after liver metastasis resection) | CTC AE V3.0 | Grade = 0 | NA | NA | 71/78 |
| Feliu et al. (2015) [21] Italy | 127 | 76 | 78/49 | Colon: ND Rectum: ND | ND | 20 (15.7) | Bevacizumab + capecitabine or XELOX | CTC AE V2.0 | Grade = 0 | NA | NA/16.9 | NA |
| Khoja et al. (2014) [22] UK | 50 | 61 | NA | Colon: ND Rectum: ND | 40/51 | 7 (14) | Bevacizumab or TKI + chemotherapy | CTC AE V3.0 | Grade ≤ 1 | 10.9/9.4 | 25.2/21.6 | NA |
| Mir et al. (2011) [23] France * | 119 | 61 | 63/56 | Colon: ND Rectum: ND | ND | 65 (54.6) | Bevacizumab + 5-FU combination chemotherapy | CTC AE V3.0 | Grade = 0 | NA | NA | 76.9/79.6 |
| Morita et al. (2013) [24] Japan | 60 | 62 | 38/22 | Colon: ND Rectum: ND | ND | 16 (26.7) | Bevacizumab + chemotherapy (mFOLFOX6 or FOLFIRI or LV5FU2 or XELOX) | CTC AE V4.0 | Grade ≤ 2 | NA | NA | NA |
| Osterlund et al. (2011) [25] UK | 101 | 59 | 54/47 | Colon: 56 Rectum: 45 | ND | 57 (56.4) | Bevacizumab + chemotherapy (FOLFIRI or XELIRI or irinotecan or oxaliplatin-based therapy or 5-FU-based therapy) | CTC AE V3.0 | Grade = 0 | 10.5/5.3 | 25.8/11.7 | 52.6/45.5 |
| Ottaiano et al. (2023) [26] Italy | 244 | 64 | 127/117 | Colon: ND Rectum: ND | ND | 110 (45.1) | Bevacizumab + chemotherapy | ACC/AHA | Normal, less than 120/80 mm Hg | NA | 26/42 | NA |
| Rattner et al. (2023) [27] Canada | 750 | 63.3 | 481/268 | Colon: 438 Rectum: 165 Colon and rectum: 146 | 572/886 | 127 (17) | Cetuximab ± brivantinib (TKI) | CTC AE V3.0 | Grade = 0 | 3.65/3.71 | 8.9/7.8 | NA |
| Ryanne Wu et al. (2009) [28] USA | 84 | NA | 42/42 | Colon: NA Rectum: NA | NA | 36 (42.9) | Bevacizumab + chemotherapy | CTC AE V3.0 | Grade = 0 | NA | NA | NA |
| Saito et al. (2023) [29] Japan | 100 | 65 | 56/44 | Colon: 56 Rectum: 35 | 66/100 | 30 (30) | Regorafenib | CTC AE V5.0 | Grade < 2 | 53/56 days | 205/187 days | NA |
| Scartozzi et al. (2009) [3] Italy | 84 | 55.5 | 25/14 | Colon: 30 Rectum: 9 | 32/25 | 8 (20.5) | Bevacizumab + FOLFIRI (only 1st line treatment) | CTC AE V2.0 | Grade < 2 | 14.5/3.1 | NA/15.1 | 75/32 |
| Sud et al. (2018) [30] Canada | 572 | 64.2 | 368/204 | Colon: 332 Rectum: 133 Colon and rectum: 107 | ND | 149 (26) | Cetuximab | NA | NA | 3.5/1.8 | 7.3/5.7 | NA |
| Tahover et al. (2013) [31] USA | 181 | 61.82 | 95/86 | Colon: 125 Rectum: 56 | ND | 81 (44.8) | Bevacizumab + 1st or 2nd line chemotherapy | CTC AE V4.0 | Grade ≤ 1 | 17.2/29.9 | 36.8/NA | NA |
| Study | Selection | Comparability | Outcome | Total Quality Score | Quality Assessment |
|---|---|---|---|---|---|
| Budai et al. (2013) [17] | ★★★★ | ★ | ★★ | 6 | Fair |
| Dionisio de Sousa et al. (2016) [18] | ★★★★ | ★★ | ★★★ | 9 | Good |
| De Stefano et al. (2011) [19] | ★★★ | ★★ | ★★★ | 8 | Good |
| Dewdney et al. (2012) [20] | ★★★ | ★ | ★★ | 6 | Fair |
| Feliu et al. (2015) [21] | ★★★★ | ★★ | ★★ | 8 | Good |
| Khoja et al. (2014) [22] | ★★★★ | ★★ | ★★ | 8 | Good |
| Mir et al. (2011) [23] | ★★★ | ★★ | ★★★ | 8 | Good |
| Morita et al. (2013) [24] | ★★★ | ★★ | ★★ | 7 | Good |
| Osterlund et al. (2011) [25] | ★★★★ | ★★ | ★★★ | 9 | Good |
| Ottaiano et al. (2023) [26] | ★★ | ★ | ★★★ | 6 | Fair |
| Rattner et al. (2023) [27] | ★★★★ | ★★ | ★★★ | 9 | Good |
| Ryanne Wu et al. (2009) [28] | ★★★ | ★ | ★★ | 6 | Fair |
| Saito et al. (2023) [29] | ★★★★ | ★★ | ★★★ | 9 | Good |
| Scartozzi et al. (2009) [3] | ★★★ | ★★ | ★★★ | 8 | Good |
| Sud et al. (2018) [30] | ★★★ | ★ | ★★★ | 7 | Good |
| Tahover et al. (2013) [31] | ★★★★ | ★★ | ★★★ | 9 | Good |
| Outcome | Groups | Subgroups | Number of Studies | Hazard/Risk Ratio [95%CI], p | Subgroups Heterogeneity |
|---|---|---|---|---|---|
| PFS | Geographic origin | Europe | 7 | 0.418 [0.368, 0.474], p ≤ 0.001 | p = 0.000 |
| America | 4 | 0.677 [0.569, 0.805], p ≤ 0.001 | |||
| Asia | 2 | 0.643 [0.468, 0.859], p = 0.003 | |||
| No. of patients | <100 | 7 | 0.417 [0.365, 0.476], p ≤ 0.001 | p = 0.000 | |
| ≥100 | 6 | 0.635 [0.551, 0.732], p ≤ 0.001 | |||
| Hypertension criteria | CTCAE V2.0 | 2 | 0.374 [0.295, 0.408], p ≤ 0.001 | p = 0.000 | |
| CTCAE V3.0 | 6 | 0.662 [0.563, 0.778], p ≤ 0.001 | |||
| CTCAE V4.0 | 3 | 0.659 [0.505, 0.860], p = 0.002 | |||
| CTCAE V5.0 | 1 | 0.570 [0.403, 0.806], p = 0.001 | |||
| Hypertension cut off in controls | Grade 0 | 6 | 0.724 [0.605, 0.867], p ≤ 0.001 | p = 0.000 | |
| Grade 1/2 | 6 | 0.432 [0.383, 0.488], p ≤ 0.001 | |||
| OS | Geographic origin | Europe | 7 | 0.582 [0.476, 0.713], p ≤ 0.001 | p = 0.001 |
| America | 4 | 0.861 [0.714, 1.039], p = 0.119 | |||
| Asia | 1 | 0.349 [0.212, 0.575], p ≤ 0.001 | |||
| No. of patients | <100 | 5 | 0.823 [0.662, 1.025], p = 0.081 | p = 0.034 | |
| ≥100 | 7 | 0.612 [0.517, 0.723], p ≤ 0.001 | |||
| Hypertension criteria | CTCAE V2.0 | 1 | 0.544 [0.347, 0.853], p = 0.002 | p = 0.056 | |
| CTCAE V3.0 | 7 | 0.769 [0.644, 0.918], p = 0.004 | |||
| CTCAE V4.0 | 2 | 0.662 [0.487, 0.900], p = 0.008 | |||
| CTCAE V5.0 | 1 | 0.320 [0.178, 0.574], p ≤ 0.001 | |||
| Hypertension cut off in controls | Grade 0 | 6 | 0.746 [0.612, 0.910], p = 0.004 | p = 0.477 | |
| Grade 1/2 | 5 | 0.626 [0.512, 0.766], p ≤ 0.001 | |||
| ORR | Geographic origin | Europe | 9 | 1.287 [1.108, 1.495], p = 0.001 | NA |
| America | 0 | NA | |||
| Asia | 0 | NA | |||
| No. of patients | <100 | 5 | 1.468 [1.197, 1.800], p ≤ 0.001 | p = 0.063 | |
| ≥100 | 4 | 1.103 [0.885, 1.376], p = 0.383 | |||
| Hypertension criteria | CTCAE V2.0 | 2 | 1.649 [1.110, 2.452], p = 0.013 | p = 0.001 | |
| CTCAE V3.0 | 6 | 1.155 [0.978, 1.364], p = 0.090 | |||
| CTCAE V4.0 | 1 | 3.970 [1.981, 7.955], p ≤ 0.001 | |||
| Hypertension cut off in controls | Grade 0 | 5 | 1.183 [0.970, 1.441], p = 0.097 | p = 0.198 | |
| Grade 1/2 | 4 | 1.443 [1.147, 1.815], p = 0.002 |
| Outcome | Excluded Study | Hazard/Risk Ratio [95% CI] | p-Value |
|---|---|---|---|
| PFS | Budai et al. (2013) [17] | 0.505 [0.456, 0.560] | <0.001 |
| Dionisio de Sousa et al. (2016) [18] | 0.503 [0.456, 0.555] | <0.001 | |
| De Stefano et al. (2011) [19] | 0.506 [0.458, 0.558] | <0.001 | |
| Dewdney et al. (2012) [20] | 0.505 [0.458, 0.557] | <0.001 | |
| Feliu et al. (2015) [21] | 0.501 [0.454, 0.553] | <0.001 | |
| Morita et al. (2013) [24] | 0.500 [0.453, 0.551] | <0.001 | |
| Osterlund et al. (2011) [25] | 0.503 [0.455, 0.555] | <0.001 | |
| Rattner et al. (2023) [27] | 0.467 [0.421, 0.518] | <0.001 | |
| Ryanne Wu et al. (2009) [28] | 0.503 [0.456, 0.555] | <0.001 | |
| Saito et al. (2023) [29] | 0.502 [0.454, 0.555] | <0.001 | |
| Scartozzi et al. (2009) [3] | 0.630 [0.560, 0.708] | <0.001 | |
| Sud et al. (2018) [30] | 0.508 [0.460, 0.562] | <0.001 | |
| Tahover et al. (2013) [31] | 0.499 [0.451, 0.552] | <0.001 | |
| OSS | Budai et al. (2013) [17] | 0.676 [0.583, 0.784] | <0.001 |
| Dionisio de Sousa et al. (2016) [18] | 0.680 [0.591, 0.781] | <0.001 | |
| De Stefano et al. (2011) [19] | 0.680 [0.594, 0.779] | <0.001 | |
| Dewdney et al. (2012) [20] | 0.675 [0.590, 0.773] | <0.001 | |
| Feliu et al. (2015) [21] | 0.697 [0.607, 0.801] | <0.001 | |
| Khoja et al. (2014) [22] | 0.683 [0.596, 0.782] | <0.001 | |
| Osterlund et al. (2011) [25] | 0.709 [0.616, 0.816] | <0.001 | |
| Rattner et al. (2023) [27] | 0.652 [0.568, 0.0.748] | <0.001 | |
| Ryanne Wu et al. (2009) [28] | 0.609 [0.522, 0.710] | <0.001 | |
| Saito et al. (2023) [29] | 0.706 [0.615, 0.811] | <0.001 | |
| Sud et al. (2018) [30] | 0.678 [0.587, 0.782] | <0.001 | |
| Tahover et al. (2013) [31] | 0.671 [0.582, 0.774] | <0.001 | |
| ORR | Budai et al. (2013) [17] | 1.434 [1.210, 1.700] | <0.001 |
| Dionisio de Sousa et al. (2016) [18] | 1.218 [1.045, 1.421] | 0.012 | |
| De Stefano et al. (2011) [19] | 1.339 [1.127, 1.591] | 0.001 | |
| Dewdney et al. (2012) [20] | 1.334 [1.140, 1.561] | <0.001 | |
| Feliu et al. (2015) [21] | 1.282 [1.096, 1.500] | 0.002 | |
| Khoja et al. (2014) [22] | 1.219 [1.040, 1.428] | 0.014 | |
| Mir et al. (2011) [23] | 1.281 [1.094, 1.501] | 0.002 | |
| Osterlund et al. (2011) [25] | 1.280 [1.098, 1.492] | 0.002 | |
| Scartozzi et al. (2009) [3] | 1.245 [1.067, 1.452] | 0.005 |
Disclaimer/Publisher’s Note: The statements, opinions and data contained in all publications are solely those of the individual author(s) and contributor(s) and not of MDPI and/or the editor(s). MDPI and/or the editor(s) disclaim responsibility for any injury to people or property resulting from any ideas, methods, instructions or products referred to in the content. |
© 2024 by the authors. Licensee MDPI, Basel, Switzerland. This article is an open access article distributed under the terms and conditions of the Creative Commons Attribution (CC BY) license (https://creativecommons.org/licenses/by/4.0/).
Share and Cite
Sur, D.; Coroama, C.I.; Audisio, A.; Fazio, R.; Coroama, M.; Lungulescu, C.V. Clinical Outcome of Colorectal Cancer Patients with Concomitant Hypertension: A Systematic Review and Meta-Analysis. J. Pers. Med. 2024, 14, 520. https://doi.org/10.3390/jpm14050520
Sur D, Coroama CI, Audisio A, Fazio R, Coroama M, Lungulescu CV. Clinical Outcome of Colorectal Cancer Patients with Concomitant Hypertension: A Systematic Review and Meta-Analysis. Journal of Personalized Medicine. 2024; 14(5):520. https://doi.org/10.3390/jpm14050520
Chicago/Turabian StyleSur, Daniel, Constantin Ionut Coroama, Alessandro Audisio, Roberta Fazio, Maria Coroama, and Cristian Virgil Lungulescu. 2024. "Clinical Outcome of Colorectal Cancer Patients with Concomitant Hypertension: A Systematic Review and Meta-Analysis" Journal of Personalized Medicine 14, no. 5: 520. https://doi.org/10.3390/jpm14050520
APA StyleSur, D., Coroama, C. I., Audisio, A., Fazio, R., Coroama, M., & Lungulescu, C. V. (2024). Clinical Outcome of Colorectal Cancer Patients with Concomitant Hypertension: A Systematic Review and Meta-Analysis. Journal of Personalized Medicine, 14(5), 520. https://doi.org/10.3390/jpm14050520

