Naïve Inflammatory Proteome Profiles of Glucocorticoid Responsive Polymyalgia Rheumatica and Rheumatic Arthritis Patients—Links to Triggers and Proteomic Manifestations
Abstract
1. Introduction
2. Materials and Methods
2.1. Experimental Strategy
2.2. Patient Information, Study Design, and Clinical Characteristics
2.3. Diagnostic Tests
2.4. Pro-Inflammatory Cytokine Measurements
2.5. Cell-Free DNA Levels in Serum
2.6. Mass Spectrometry-Based Proteomics
2.7. Proteomics Data Processing and Protein Informatics Investigation
3. Results
3.1. Patient Population and Treatment Response
3.2. Proteomics Profiling of Serum Identifies Normalization of PMR-Induced Inflammation
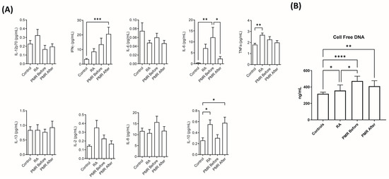
3.3. Profiling of Pro-Inflammatory Cytokines by Multiplex Measurements and Cell-Free DNA
4. Discussion
5. Conclusions
Supplementary Materials
Author Contributions
Funding
Institutional Review Board Statement
Informed Consent Statement
Data Availability Statement
Acknowledgments
Conflicts of Interest
References
- Espígol-Frigolé, G.; Dejaco, C.; Mackie, S.L.; Salvarani, C.; Matteson, E.L.; Cid, M.C. Polymyalgia Rheumatica. Lancet 2023, 402, 1459–1472. [Google Scholar] [CrossRef]
- Wu, J.; Yang, F.; Ma, X.; Lin, J.; Chen, W. Elderly-Onset Rheumatoid Arthritis vs. Polymyalgia Rheumatica: Differences in Pathogenesis. Front. Med. 2022, 9, 1083879. [Google Scholar] [CrossRef] [PubMed]
- Carvajal Alegria, G.; Nicolas, M.; van Sleen, Y. Biomarkers in the Era of Targeted Therapy in Giant Cell Arteritis and Polymyalgia Rheumatica: Is It Possible to Replace Acute-Phase Reactants? Front. Immunol. 2023, 14, 1202160. [Google Scholar] [CrossRef] [PubMed]
- Black, R.J.; Cross, M.; Haile, L.M.; Culbreth, G.T.; Steinmetz, J.D.; Hagins, H.; Kopec, J.A.; Brooks, P.M.; Woolf, A.D.; Ong, K.L.; et al. Global, Regional, and National Burden of Rheumatoid Arthritis, 1990–2020, and Projections to 2050: A Systematic Analysis of the Global Burden of Disease Study 2021. Lancet Rheumatol. 2023, 5, e594. [Google Scholar] [CrossRef] [PubMed]
- Crowson, C.S.; Matteson, E.L.; Myasoedova, E.; Michet, C.J.; Ernste, F.C.; Warrington, K.J.; Davis, J.M.; Hunder, G.G.; Therneau, T.M.; Gabriel, S.E. The Lifetime Risk of Adult-Onset Rheumatoid Arthritis and Other Inflammatory Autoimmune Rheumatic Diseases. Arthritis Rheum. 2011, 63, 633–639. [Google Scholar] [CrossRef]
- Sharma, A.; Mohammad, A.; Turesson, C. Incidence and Prevalence of Giant Cell Arteritis and Polymyalgia Rheumatica: A Systematic Literature Review. Semin. Arthritis Rheum. 2020, 50, 1040–1048. [Google Scholar] [CrossRef]
- Birkelund, S.; Bennike, T.B.; Kastaniegaard, K.; Lausen, M.; Poulsen, T.B.G.; Kragstrup, T.W.; Deleuran, B.W.; Christiansen, G.; Stensballe, A. Proteomic Analysis of Synovial Fluid from Rheumatic Arthritis and Spondyloarthritis Patients. Clin. Proteom. 2020, 17, 29. [Google Scholar] [CrossRef]
- Kara, M.; Alp, G.; Koç, A.M. Diagnostic Difficulties in Polymyalgia Rheumatica Cases with Normal Erythrocyte Sedimentation Rate and C-Reactive Protein Values. Medicine 2023, 102, e35385. [Google Scholar] [CrossRef]
- Gabay, C.; Kushner, I. Acute-Phase Proteins and Other Systemic Responses to Inflammation. N. Engl. J. Med. 1999, 340, 448–454. [Google Scholar] [CrossRef]
- Carvajal Alegria, G.; Boukhlal, S.; Cornec, D.; Devauchelle-Pensec, V. The Pathophysiology of Polymyalgia Rheumatica, Small Pieces of a Big Puzzle. Autoimmun. Rev. 2020, 19, 102670. [Google Scholar] [CrossRef]
- Hysa, E.; Gotelli, E.; Sammorì, S.; Cimmino, M.A.; Paolino, S.; Pizzorni, C.; Sulli, A.; Smith, V.; Cutolo, M. Immune System Activation in Polymyalgia Rheumatica: Which Balance between Autoinflammation and Autoimmunity? A Systematic Review. Autoimmun. Rev. 2022, 21, 102995. [Google Scholar] [CrossRef]
- Alvarez-Rodríguez, L.; Lopez-Hoyos, M.; Mata, C.; Jose Marin, M.; Calvo-Alen, J.; Blanco, R.; Aurrecoechea, E.; Ruiz-Soto, M.; Martínez-Taboada, V.M. Circulating Cytokines in Active Polymyalgia Rheumatica. Ann. Rheum. Dis. 2010, 69, 263–269. [Google Scholar] [CrossRef]
- Dasgupta, B.; Cimmino, M.A.; Kremers, H.M.; Schmidt, W.A.; Schirmer, M.; Salvarani, C.; Bachta, A.; Dejaco, C.; Duftner, C.; Jensen, H.S.; et al. 2012 Provisional Classification Criteria for Polymyalgia Rheumatica: A European League against Rheumatism/American College of Rheumatology Collaborative Initiative. Arthritis Rheum. 2012, 64, 943–954. [Google Scholar] [CrossRef]
- Yli-Karjanmaa, M.; Clausen, B.H.; Degn, M.; Novrup, H.G.; Ellman, D.G.; Toft-Jensen, P.; Szymkowski, D.E.; Stensballe, A.; Meyer, M.; Brambilla, R.; et al. Topical Administration of a Soluble TNF Inhibitor Reduces Infarct Volume After Focal Cerebral Ischemia in Mice. Front. Neurosci. 2019, 13, 781. [Google Scholar] [CrossRef] [PubMed]
- Kruse Meyer, M.; Andersen, M.; Bennike, T.B.; Birkelund, S.; Andersen, G.N.; Stensballe, A. Effect of IL-6R Inhibition with Tocilizumab on the Proteome of Peripheral Blood Mononuclear Cells from a Rheumatoid Arthritis Patient. J. Proteom. Bioinform. 2015, 8, 12. [Google Scholar] [CrossRef]
- Masuda, T.; Tomita, M.; Ishihama, Y. Phase Transfer Surfactant-Aided Trypsin Digestion for Membrane Proteome Analysis. J. Proteome Res. 2008, 7, 731–740. [Google Scholar] [CrossRef]
- Zhou, Y.; Zhou, B.; Pache, L.; Chang, M.; Khodabakhshi, A.H.; Tanaseichuk, O.; Benner, C.; Chanda, S.K. Metascape Provides a Biologist-Oriented Resource for the Analysis of Systems-Level Datasets. Nat. Commun. 2019, 10, 1523. [Google Scholar] [CrossRef]
- Mi, H.; Muruganujan, A.; Thomas, P.D. PANTHER in 2013: Modeling the Evolution of Gene Function, and Other Gene Attributes, in the Context of Phylogenetic Trees. Nucleic Acids Res. 2013, 41, D377–D386. [Google Scholar] [CrossRef] [PubMed]
- Szklarczyk, D.; Kirsch, R.; Koutrouli, M.; Nastou, K.; Mehryary, F.; Hachilif, R.; Gable, A.L.; Fang, T.; Doncheva, N.T.; Pyysalo, S.; et al. The STRING Database in 2023: Protein–Protein Association Networks and Functional Enrichment Analyses for Any Sequenced Genome of Interest. Nucleic Acids Res. 2023, 51, D638. [Google Scholar] [CrossRef]
- Milacic, M.; Beavers, D.; Conley, P.; Gong, C.; Gillespie, M.; Griss, J.; Haw, R.; Jassal, B.; Matthews, L.; May, B.; et al. The Reactome Pathway Knowledgebase 2024. Nucleic Acids Res. 2024, 52, D672–D678. [Google Scholar] [CrossRef]
- Arnett, F.C.; Edworthy, S.M.; Bloch, D.A.; McShane, D.J.; Fries, J.F.; Cooper, N.S.; Healey, L.A.; Kaplan, S.R.; Liang, M.H.; Luthra, H.S. The American Rheumatism Association 1987 Revised Criteria for the Classification of Rheumatoid Arthritis. Arthritis Rheum. 1988, 31, 315–324. [Google Scholar] [CrossRef][Green Version]
- Kermani, T.A.; Warrington, K.J. Advances and Challenges in the Diagnosis and Treatment of Polymyalgia Rheumatica. Ther. Adv. Musculoskelet. Dis. 2014, 6, 8–19. [Google Scholar] [CrossRef] [PubMed]
- Lundberg, I.E.; Sharma, A.; Turesson, C.; Mohammad, A.J. An Update on Polymyalgia Rheumatica. J. Intern. Med. 2022, 292, 717–732. [Google Scholar] [CrossRef]
- Guggino, G.; Ferrante, A.; Macaluso, F.; Triolo, G.; Ciccia, F. Pathogenesis of Polymyalgia Rheumatica. Reumatismo 2018, 70, 10–17. [Google Scholar] [CrossRef] [PubMed]
- Surinova, S.; Schiess, R.; Hüttenhain, R.; Cerciello, F.; Wollscheid, B.; Aebersold, R. On the Development of Plasma Protein Biomarkers. J. Proteome Res. 2011, 10, 5–16. [Google Scholar] [CrossRef]
- Anderson, N.L. The Human Plasma Proteome: History, Character, and Diagnostic Prospects. Mol. Cell. Proteom. 2002, 1, 845–867. [Google Scholar] [CrossRef] [PubMed]
- Catrina, A.I.; Ytterberg, A.J.; Reynisdottir, G.; Malmström, V.; Klareskog, L. Lungs, Joints and Immunity against Citrullinated Proteins in Rheumatoid Arthritis. Nat. Rev. Rheumatol. 2014, 10, 645–653. [Google Scholar] [CrossRef]
- Bennike, T.B.; Ellingsen, T.; Glerup, H.; Bonderup, O.K.; Carlsen, T.G.; Meyer, M.K.; Bøgsted, M.; Christiansen, G.; Birkelund, S.; Andersen, V.; et al. Proteome Analysis of Rheumatoid Arthritis Gut Mucosa. J. Proteome Res. 2017, 16, 346–354. [Google Scholar] [CrossRef] [PubMed]
- Ortea, I.; Roschitzki, B.; Ovalles, J.G.; Longo, J.L.; de la Torre, I.; González, I.; Gómez-Reino, J.J.; González, A. Discovery of Serum Proteomic Biomarkers for Prediction of Response to Infliximab (a Monoclonal Anti-TNF Antibody) Treatment in Rheumatoid Arthritis: An Exploratory Analysis. J. Proteom. 2012, 77, 372–382. [Google Scholar] [CrossRef]
- Obry, A.; Lequerré, T.; Hardouin, J.; Boyer, O.; Fardellone, P.; Philippe, P.; Le Loët, X.; Cosette, P.; Vittecoq, O. Identification of S100A9 as Biomarker of Responsiveness to the Methotrexate/Etanercept Combination in Rheumatoid Arthritis Using a Proteomic Approach. PLoS ONE 2014, 9, e115800. [Google Scholar] [CrossRef]
- Ortea, I.; Roschitzki, B.; López-Rodríguez, R.; Tomero, E.G.; Ovalles, J.G.; López-Longo, J.; de la Torre, I.; González-Alvaro, I.; Gómez-Reino, J.J.; González, A. Independent Candidate Serum Protein Biomarkers of Response to Adalimumab and to Infliximab in Rheumatoid Arthritis: An Exploratory Study. PLoS ONE 2016, 11, e0153140. [Google Scholar] [CrossRef] [PubMed]
- Lualdi, M.; Fasano, M. Statistical Analysis of Proteomics Data: A Review on Feature Selection. J. Proteom. 2019, 198, 18–26. [Google Scholar] [CrossRef] [PubMed]
- Raheel, S.; Shbeeb, I.; Crowson, C.S.; Matteson, E.L. Epidemiology of Polymyalgia Rheumatica 2000–2014 and Examination of Incidence and Survival Trends Over 45 Years: A Population-Based Study. Arthritis Care Res. 2017, 69, 1282–1285. [Google Scholar] [CrossRef] [PubMed]
- Zámocký, M.; Ferianc, P. Discovering the Deep Evolutionary Roots of Serum Amyloid A Protein Family. Int. J. Biol. Macromol. 2023, 252, 126537. [Google Scholar] [CrossRef] [PubMed]
- Li, H.; Meng, D.; Jia, J.; Wei, H. PGLYRP2 as a Novel Biomarker for the Activity and Lipid Metabolism of Systemic Lupus Erythematosus. Lipids Health Dis. 2021, 20, 95. [Google Scholar] [CrossRef] [PubMed]
- Huang, F.; Liu, X.; Cheng, Y.; Sun, X.; Li, Y.; Zhao, J.; Cao, D.; Wu, Q.; Pan, X.; Deng, H.; et al. Antibody to Peptidoglycan Recognition Protein (PGLYRP)-2 as a Novel Biomarker in Rheumatoid Arthritis. Clin. Exp. Rheumatol. 2021, 39, 988–994. [Google Scholar] [CrossRef] [PubMed]
- O’Neill, L.; Rooney, P.; Molloy, D.; Connolly, M.; McCormick, J.; McCarthy, G.; Veale, D.J.; Murphy, C.C.; Fearon, U.; Molloy, E. Regulation of Inflammation and Angiogenesis in Giant Cell Arteritis by Acute-Phase Serum Amyloid A. Arthritis Rheumatol. 2015, 67, 2447–2456. [Google Scholar] [CrossRef] [PubMed]
- Lausen, M.; Poulsen, T.B.G.; Christiansen, G.; Kastaniegaard, K.; Stensballe, A.; Birkelund, S. Proteomic Analysis of Lipopolysaccharide Activated Human Monocytes. Mol. Immunol. 2018, 103, 257–269. [Google Scholar] [CrossRef] [PubMed]
- Yu, S.; Nakashima, N.; Xu, B.H.; Matsuda, T.; Izumihara, A.; Sunahara, N.; Nakamura, T.; Tsukano, M.; Matsuyama, T. Pathological Significance of Elevated Soluble CD14 Production in Rheumatoid Arthritis: In the Presence of Soluble CD14, Lipopolysaccharides at Low Concentrations Activate RA Synovial Fibroblasts. Rheumatol. Int. 1998, 17, 237–243. [Google Scholar] [CrossRef]
- Kang, M.J.; Park, Y.-J.; You, S.; Yoo, S.-A.; Choi, S.; Kim, D.-H.; Cho, C.-S.; Yi, E.C.; Hwang, D.; Kim, W.-U. Urinary Proteome Profile Predictive of Disease Activity in Rheumatoid Arthritis. J. Proteome Res. 2014, 13, 5206–5217. [Google Scholar] [CrossRef]
- Baerlecken, N.T.; Linnemann, a.; Gross, W.L.; Moosig, F.; Vazquez-Rodriguez, T.R.; Gonzalez-Gay, M.A.; Martin, J.; Kotter, I.; Henes, J.C.; Melchers, I.; et al. Association of Ferritin Autoantibodies with Giant Cell Arteritis/Polymyalgia Rheumatica. Ann. Rheum. Dis. 2012, 71, 943–947. [Google Scholar] [CrossRef] [PubMed]
- Tsukamoto, H.; Takeuchi, S.; Kubota, K.; Kobayashi, Y.; Kozakai, S.; Ukai, I.; Shichiku, A.; Okubo, M.; Numasaki, M.; Kanemitsu, Y.; et al. Lipopolysaccharide (LPS)-Binding Protein Stimulates CD14-Dependent Toll-like Receptor 4 Internalization and LPS-Induced TBK1–IKKϵ–IRF3 Axis Activation. J. Biol. Chem. 2018, 293, 10186–10201. [Google Scholar] [CrossRef]
- Shrestha, S.; Hong, C.W. Extracellular Mechanisms of Neutrophils in Immune Cell Crosstalk. Immune Netw. 2023, 23, e38. [Google Scholar] [CrossRef]
- Smolen, J.S.; Aletaha, D.; Choy, E.H.; Jones, S.A.; Takeuchi, T.; McInnes, I. Targeting IL-6: A Review of Data. Consid. Med. 2018, 2, 12–18. [Google Scholar] [CrossRef]
- Manzo, C. Polymyalgia Rheumatica and Remitting Seronegative Symmetrical Synovitis with Pitting Edema Following Intravesical Instillation of Bacillus Calmette-Guerin. Reumatologia 2019, 57, 249–252. [Google Scholar] [CrossRef] [PubMed]
- Cutolo, M.; Montecucco, C.M.; Cavagna, L.; Caporali, R.; Capellino, S.; Montagna, P.; Fazzuoli, L.; Villaggio, B.; Seriolo, B.; Sulli, A. Serum Cytokines and Steroidal Hormones in Polymyalgia Rheumatica and Elderly-Onset Rheumatoid Arthritis. Ann. Rheum. Dis. 2006, 65, 1438–1443. [Google Scholar] [CrossRef] [PubMed]
- Devauchelle-pensec, V.; Berthelot, J.M.; Cornec, D.; Renaudineau, Y.; Marhadour, T.; Jousse-joulin, S.; Querellou, S.; Garrigues, F.; De Bandt, M.; Gouillou, M.; et al. Efficacy of First-Line Tocilizumab Therapy in Early Polymyalgia Rheumatica: A Prospective Longitudinal Study. J. Fur Miner. 2016, 23, 60. [Google Scholar] [CrossRef]
- Lally, L.; Forbess, L.; Hatzis, C.; Spiera, R. Brief Report: A Prospective Open-Label Phase IIa Trial of Tocilizumab in the Treatment of Polymyalgia Rheumatica. Arthritis Rheumatol. 2016, 68, 2550–2554. [Google Scholar] [CrossRef] [PubMed]
- Chaudhari, K.; Rizvi, S.; Syed, B.A. Rheumatoid Arthritis: Current and Future Trends. Nat. Rev. Drug Discov. 2016, 15, 305–306. [Google Scholar] [CrossRef]
- Unizony, S.; Arias-Urdaneta, L.; Miloslavsky, E.; Arvikar, S.; Khosroshahi, A.; Keroack, B.; Stone, J.R.; Stone, J.H. Tocilizumab for the Treatment of Large-Vessel Vasculitis (Giant Cell Arteritis, Takayasu Arteritis) and Polymyalgia Rheumatica. Arthritis Care Res. 2012, 64, 1720–1729. [Google Scholar] [CrossRef]
- Stone, J.H.; Tuckwell, K.; Dimonaco, S.; Klearman, M.; Aringer, M.; Blockmans, D.; Brouwer, E.; Cid, M.C.; Dasgupta, B.; Rech, J.; et al. Efficacy and Safety of Tocilizumab in Patients with Giant Cell Arteritis: Primary and Secondary Outcomes from a Phase 3, Randomized, Double-Blind, Placebo-Controlled Trial. Proc. Arthritis Rheumatol. 2016, 68 (Suppl. 10), 2016. [Google Scholar]
- Weyand, C.M.; Goronzy, J.J. Immune Mechanisms in Medium and Large-Vessel Vasculitis. Nat. Rev. Rheumatol. 2013, 9, 731–740. [Google Scholar] [CrossRef]
- Gould, T.J.; Vu, T.T.; Swystun, L.L.; Dwivedi, D.J.; Mai, S.H.C.; Weitz, J.I.; Liaw, P.C. Neutrophil Extracellular Traps Promote Thrombin Generation through Platelet-Dependent and Platelet-Independent Mechanisms. Arter. Arterioscler. Thromb. Vasc. Biol. 2014, 34, 1977–1984. [Google Scholar] [CrossRef]
- Dunaeva, M.; Buddingh’, B.C.; Toes, R.E.M.; Luime, J.J.; Lubberts, E.; Pruijn, G.J.M. Decreased Serum Cell-Free DNA Levels in Rheumatoid Arthritis. Auto. Immun. Highlights 2015, 6, 23–30. [Google Scholar] [CrossRef]
- Buzas, E.I. The Roles of Extracellular Vesicles in the Immune System. Nat. Rev. Immunol. 2023, 23, 236–250. [Google Scholar] [CrossRef]
- Revenfeld, A.L.S.; Bæk, R.; Nielsen, M.H.; Stensballe, A.; Varming, K.; Jørgensen, M. Diagnostic and Prognostic Potential of Extracellular Vesicles in Peripheral Blood. Clin. Ther. 2014, 36, 830–846. [Google Scholar] [CrossRef] [PubMed]
- Deutsch, E.W.; Bandeira, N.; Sharma, V.; Perez-Riverol, Y.; Carver, J.J.; Kundu, D.J.; García-Seisdedos, D.; Jarnuczak, A.F.; Hewapathirana, S.; Pullman, B.S.; et al. The ProteomeXchange Consortium in 2020: Enabling ‘Big Data’ Approaches in Proteomics. Nucleic Acids Res. 2020, 48, D1145. [Google Scholar] [CrossRef] [PubMed]




| Measure/Unit (Reference Values for Healthy People) | PMR Pretreatment 1 | PMR Active Treatment 1 | RA 1 | Controls 1 |
|---|---|---|---|---|
| Population | n = 9 | n = 9 | n = 14 | n = 10 |
| Age (years) | 70 (10) | 58 (15) | 52 (12) | |
| Ultrasound verified synovitis | 9 | |||
| CT abdomen negative | 9 | |||
| Chest X-ray negative | 9 | |||
| CRP; mg/L (<8) | 45 (27) | 0 (6) | 11 (31) | |
| Erythrocyte sedimentation rate; mm (<20) | 40 (11) | 6 (7) | 17 (29) | |
| Hemoglobin; mmol/L (7.3–9.5) | 7.8 (0.69) | 8.6 (0.65) | 8.3 (1) | |
| Thrombocytes; ×109 (165–400) | 303 (121) | 286 (62) | 385 (140) | |
| Leucocytes; ×109 (3.5–10.0) | 8.3 (3.74) | 9.8 (1.46) | 9.9 (1.75) | |
| Neutrophils; ×109/L (2.00–7.00) | 5.18 (2.43) | 7.3 (1.63) | 7.03 (1.68) | |
| Lymphocytes; ×109/L (1.30–3.350) | 2.59 (0.61) | 1.74 (0.51) | 2.16 (0.48) | |
| Monocytes; ×109/L (0.2–0.7) | 0.59 (0.20) | 0.43 (0.05) | 0.5 (0.22) | |
| Eosinophils; ×109/L (<0.50) | 0.18 (0.07) | 0.05 (0.07) | 0.12 (0.12) | |
| Basophils; ×109/L (<0.10) | 0.04 (0.02) | 0.03 (0.01) | 0.05 (0.11) | |
| IgM-RF, positive; Positive (-negative) | 2 (−4) | 13 (−1) | ||
| ACPA, positive; positive (-negative) | 1 (−5) | 14 | ||
| Alkaline phosphatase; Unit/L (35–105) | 89 (30) | 66 (14) | 71 (17) | |
| Fibrinogen; μmol/L (5.0–12) | 14.5 (2.38) | 9.1 0(0.8) | ||
| Serum creatinine; units/L (45–90) | 70 (16) | 73.5 (15) | 62 (7) | |
| Alanine transaminase; units/L (10–45) | 21 (9) | 24 (13) | 18 (4) | |
| ANA positive; positive (-negative) | 1 (−4) | 1 (−11) | ||
| Cell-free DNA; ng/mL | 472.8 (60) | 409.65 (51) * | 356.7 (66) | 317.3 (32) |
Disclaimer/Publisher’s Note: The statements, opinions and data contained in all publications are solely those of the individual author(s) and contributor(s) and not of MDPI and/or the editor(s). MDPI and/or the editor(s) disclaim responsibility for any injury to people or property resulting from any ideas, methods, instructions or products referred to in the content. |
© 2024 by the authors. Licensee MDPI, Basel, Switzerland. This article is an open access article distributed under the terms and conditions of the Creative Commons Attribution (CC BY) license (https://creativecommons.org/licenses/by/4.0/).
Share and Cite
Stensballe, A.; Andersen, J.S.; Aboo, C.; Andersen, A.B.; Ren, J.; Meyer, M.K.; Lambertsen, K.L.; Leutscher, P.D.C. Naïve Inflammatory Proteome Profiles of Glucocorticoid Responsive Polymyalgia Rheumatica and Rheumatic Arthritis Patients—Links to Triggers and Proteomic Manifestations. J. Pers. Med. 2024, 14, 449. https://doi.org/10.3390/jpm14050449
Stensballe A, Andersen JS, Aboo C, Andersen AB, Ren J, Meyer MK, Lambertsen KL, Leutscher PDC. Naïve Inflammatory Proteome Profiles of Glucocorticoid Responsive Polymyalgia Rheumatica and Rheumatic Arthritis Patients—Links to Triggers and Proteomic Manifestations. Journal of Personalized Medicine. 2024; 14(5):449. https://doi.org/10.3390/jpm14050449
Chicago/Turabian StyleStensballe, Allan, Jacob Skallerup Andersen, Christopher Aboo, Anders Borg Andersen, Jie Ren, Michael Kruse Meyer, Kate Lykke Lambertsen, and Peter Derek Christian Leutscher. 2024. "Naïve Inflammatory Proteome Profiles of Glucocorticoid Responsive Polymyalgia Rheumatica and Rheumatic Arthritis Patients—Links to Triggers and Proteomic Manifestations" Journal of Personalized Medicine 14, no. 5: 449. https://doi.org/10.3390/jpm14050449
APA StyleStensballe, A., Andersen, J. S., Aboo, C., Andersen, A. B., Ren, J., Meyer, M. K., Lambertsen, K. L., & Leutscher, P. D. C. (2024). Naïve Inflammatory Proteome Profiles of Glucocorticoid Responsive Polymyalgia Rheumatica and Rheumatic Arthritis Patients—Links to Triggers and Proteomic Manifestations. Journal of Personalized Medicine, 14(5), 449. https://doi.org/10.3390/jpm14050449

