Open Retrograde Stenting of Proximal Innominate and Common Carotid Artery Stenosis
Abstract
1. Introduction
2. Methods
2.1. Data Collection and Study Population
2.2. Ethics Approval
2.3. Diagnostics and Treatment Indications
2.4. Procedure Technique and Postoperative Course
2.5. Outcome Parameters and Definitions
2.6. Statistical Analysis
3. Results
3.1. Study Population and Patient Characteristics
3.2. Procedural Details
3.3. Early Results (Perioperative)
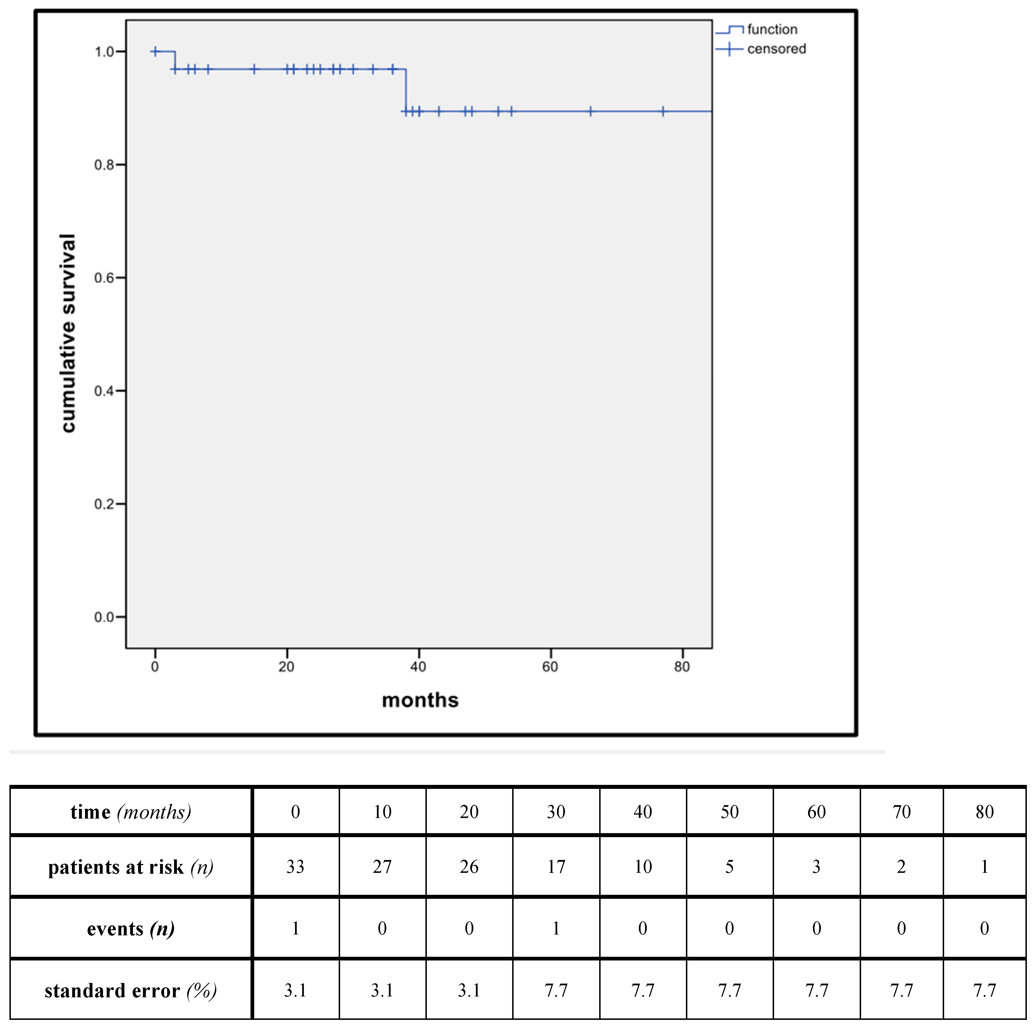
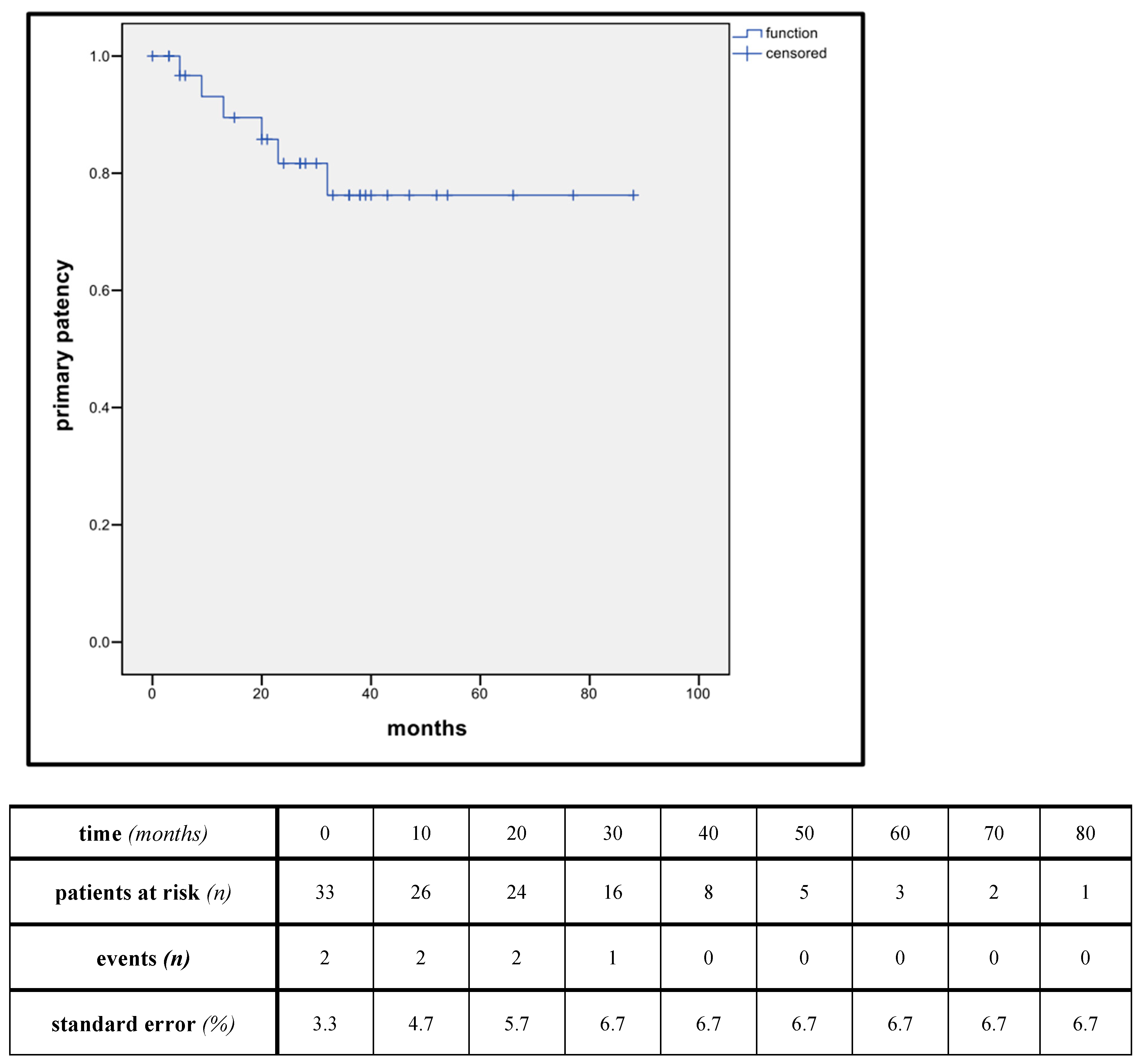
3.4. Follow-Up
4. Discussion
5. Conclusions
Author Contributions
Funding
Institutional Review Board Statement
Informed Consent Statement
Data Availability Statement
Conflicts of Interest
References
- Przewlocki, T.; Kablak-Ziembicka, A.; Pieniazek, P.; Musialek, P.; Kadzielski, A.; Zalewski, J.; Kozanecki, A.; Tracz, W. Determinants of immediate and long-term results of subclavian and innominate artery angioplasty. Catheter. Cardiovasc. Interv. 2006, 67, 519–526. [Google Scholar] [CrossRef] [PubMed]
- Rouleau, P.A.; Huston, J., III; Gilbertson, J.; Brown, R.D., Jr.; Meyer, F.B.; Bower, T.C. Carotid artery tandem lesions: Frequency of angiographic detection and consequences for endarterectomy. AJNR Am. J. Neuroradiol. 1999, 20, 621–625. [Google Scholar] [PubMed]
- Makaloski, V.; von Deimling, C.; Mordasini, P.; Gralla, J.; Do, D.D.; Schmidli, J.; Wyss, T.R. Transcarotid Approach for Retrograde Stenting of Proximal Innominate and Common Carotid Artery Stenosis. Ann. Vasc. Surg. 2017, 43, 242–248. [Google Scholar] [CrossRef] [PubMed]
- Sfyroeras, G.S.; Karathanos, C.; Antoniou, G.A.; Saleptsis, V.; Giannoukas, A.D. A meta-analysis of combined endarterectomy and proximal balloon angioplasty for tandem disease of the arch vessels and carotid bifurcation. J. Vasc. Surg. 2011, 54, 534–540. [Google Scholar] [CrossRef] [PubMed]
- Zacharias, N.; Goodney, P.P.; DeSimone, J.P.; Stone, D.H.; Wanken, Z.J.; Suckow, B.D.; Columbo, J.A.; Powell, R.J. Outcomes of Innominate Artery Revascularization Through Endovascular, Hybrid, or Open Approach. Ann. Vasc. Surg. 2020, 69, 190–196. [Google Scholar] [CrossRef]
- Clouse, W.D.; Ergul, E.A.; Cambria, R.P.; Brewster, D.C.; Kwolek, C.J.; LaMuraglia, G.M.; Patel, V.I.; Conrad, M.F. Retrograde stenting of proximal lesions with carotid endarterectomy increases risk. J. Vasc. Surg. 2016, 63, 1517–1523. [Google Scholar] [CrossRef]
- Robertson, V.; Poli, F.; Saratzis, A.; Divall, P.; Naylor, A.R. A Systematic Review of Procedural Outcomes in Patients With Proximal Common Carotid or Innominate Artery Disease With or Without Tandem Ipsilateral Internal Carotid Artery Disease. Eur. J. Vasc. Endovasc. Surg. 2020, 60, 817–827. [Google Scholar] [CrossRef]
- Clouse, W.D.; Ergul, E.A.; Wanken, Z.J.; Kleene, J.; Stone, D.H.; Darling, R.C., III; Cambria, R.P.; Conrad, M.F. Risk and outcome profile of carotid endarterectomy with proximal intervention is concerning in multi-institutional assessment. J. Vasc. Surg. 2018, 68, 760–769. [Google Scholar] [CrossRef]
- Sullivan, T.M.; Gray, B.H.; Bacharach, J.M.; Perl, J., II; Childs, M.B.; Modzelewski, L.; Beven, E.G. Angioplasty and primary stenting of the subclavian, innominate, and common carotid arteries in 83 patients. J. Vasc. Surg. 1998, 28, 1059–1065. [Google Scholar] [CrossRef]
- Wang, L.J.; Ergul, E.A.; Conrad, M.F.; Malas, M.B.; Kashyap, V.S.; Goodney, P.P.; Patel, V.I.; Clouse, W.D. Addition of proximal intervention to carotid endarterectomy increases risk of stroke and death. J. Vasc. Surg. 2019, 69, 1102–1110. [Google Scholar] [CrossRef]
- Stewart, L.M.; Spangler, E.L.; Sutzko, D.C.; Pearce, B.J.; McFarland, G.E.; Passman, M.A.; Patterson, M.A.; Novak, Z.; Beck, A.W. Carotid endarterectomy with concomitant distal endovascular intervention is associated with increased rates of stroke and death. J. Vasc. Surg. 2021, 73, 960–967.e1. [Google Scholar] [CrossRef]
- Popieluszko, P.; Henry, B.M.; Sanna, B.; Hsieh, W.C.; Saganiak, K.; Pękala, P.A.; Walocha, J.A.; Tomaszewski, K.A. A systematic review and meta-analysis of variations in branching patterns of the adult aortic arch. J. Vasc. Surg. 2018, 68, 298–306.e10. [Google Scholar] [CrossRef] [PubMed]
- Mantri, S.S.; Raju, B.; Jumah, F.; Rallo, M.S.; Nagaraj, A.; Khandelwal, P.; Roychowdhury, S.; Kung, D.; Nanda, A.; Gupta, G. Aortic arch anomalies, embryology and their relevance in neuro-interventional surgery and stroke: A review. Interv. Neuroradiol. 2022, 28, 489–498. [Google Scholar] [CrossRef] [PubMed]
- Li, S.; Wen, H.; Liang, M.; Luo, D.; Qin, Y.; Liao, Y.; Ouyang, S.; Bi, J.; Tian, X.; Norwitz, E.R.; et al. Congenital abnormalities of the aortic arch: Revisiting the 1964 Stewart classification. Cardiovasc. Pathol. 2019, 39, 38–50. [Google Scholar] [CrossRef]
- Konstantinou, N.; Antonopoulos, C.N.; Tzanis, K.; Kölbel, T.; Peterß, S.; Pichlmaier, M.; Stana, J.; Tsilimparis, N. Systematic Review and Meta-Analysis of Outcomes After Operative Treatment of Aberrant Subclavian Artery Pathologies and Suggested Reporting Items. Eur. J. Vasc. Endovasc. Surg. 2022, 63, 759–767. [Google Scholar] [CrossRef]
- Naylor, R.; Rantner, B.; Ancetti, S.; de Borst, G.J.; De Carlo, M.; Halliday, A.; Kakkos, S.K.; Markus, H.S.; McCabe, D.J.H.; Sillesen, H.; et al. Editor’s Choice—European Society for Vascular Surgery (ESVS) 2023 Clinical Practice Guidelines on the Management of Atherosclerotic Carotid and Vertebral Artery Disease. Eur. J. Vasc. Endovasc. Surg. 2023, 65, 7–111. [Google Scholar] [CrossRef]
- North American Symptomatic Carotid Endarterectomy Trial Collaborators; Barnett, H.J.M.; Taylor, D.W.; Haynes, R.B.; Sackett, D.L.; Peerless, S.J.; Ferguson, G.G.; Fox, A.J.; Rankin, R.N.; Hachinski, V.C.; et al. Beneficial Effect of Carotid Endarterectomy in Symptomatic Patients with High-Grade Carotid Stenosis. N. Engl. J. Med. 1991, 325, 445–453. [Google Scholar]
- Matos, J.M.; Barshes, N.R.; Mccoy, S.; Pisimisis, G.; Felkai, D.; Kougias, P.; Lin, P.H.; Bechara, C.F. Validating common carotid stenosis by duplex ultrasound with carotid angiogram or computed tomography scan. J. Vasc. Surg. 2014, 59, 435–439. [Google Scholar] [CrossRef] [PubMed]
- National Institute of Neurological Disorders and Stroke. NIH Stroke Scale. National Institute of Neurological Disorders and Stroke, Department of Health and Human Services, Bethesda, MD, USA. 2011. Available online: https://www.ninds.nih.gov/health-information/public-education/know-stroke/health-professionals/nih-stroke-scale (accessed on 31 January 2024).
- Dindo, D.; Demartines, N.; Clavien, P.A. Classification of surgical complications: A new proposal with evaluation in a cohort of 6336 patients and results of a survey. Ann. Surg. 2004, 240, 205–213. [Google Scholar] [CrossRef] [PubMed]
- Timaran, C.H.; McKinsey, J.F.; Schneider, P.A.; Littooy, F. Reporting standards for carotid interventions from the Society for Vascular Surgery. J. Vasc. Surg. 2011, 53, 1679–1695. [Google Scholar] [CrossRef]
- Nana, P.N.; Brotis, A.G.; Spanos, K.T.; Kouvelos, G.N.; Matsagkas, M.I.; Giannoukas, A.D. A Systematic Review and Meta-Analysis of Carotid Artery Stenting Using the Trans-Cervical Approach. J. Vasc. Surg. 2020, 72, 1815. [Google Scholar] [CrossRef]
- Balceniuk, M.D.; Hosn, M.A.; Corn, R.S.; DerDerian, T.; Grimsley, B.R.; Long, P.; Moore, W.S.; Rossi, P.J.; Shakir, H.J.; Siddiqui, A.H.; et al. Endovascular stenting of supra-aortic lesions using a transcarotid retrograde approach and flow reversal: A multicenter case series. J. Vasc. Surg. 2020, 71, 2012–2020.e18. [Google Scholar] [CrossRef] [PubMed]
- Beach, J.M.; Sharma, S.; Bena, J.; Kang, J.; Clair, D.G.; Smolock, C.J. Concomitant ipsilateral carotid endarterectomy and stenting is an effective treatment for tandem carotid artery lesions. J. Vasc. Surg. 2020, 71, 1579–1586. [Google Scholar] [CrossRef] [PubMed]
- Flynn, S.; Roderick, E.; Lane, J.; Barleben, A. Initial Results of Selected Use of Covered Stents in Transcarotid Artery Revascularization. Ann. Vasc. Surg. 2020, 68, 22–27. [Google Scholar] [CrossRef]
- Ricotta, J.J., 2nd; Upchurch, G.R., Jr.; Landis, G.S.; Kenwood, C.T.; Siami, F.S.; Tsilimparis, N.; Ricotta, J.J.; White, R.A. The influence of contralateral occlusion on results of carotid interventions from the Society for Vascular Surgery Vascular Registry. J. Vasc. Surg. 2014, 60, 958–964, discussion 964–965. [Google Scholar] [CrossRef] [PubMed][Green Version]
- Bazan, H.A.; Sheahan, M.; Dardik, A. Carotid endarterectomy with simultaneous retrograde common carotid artery stenting: Technical Considerations. Catheter. Cardiovasc. Interv. 2008, 72, 1003–1007. [Google Scholar] [CrossRef] [PubMed]
- Sahara, M.; Kirigaya, H.; Oikawa, Y.; Yajima, J.; Nagashima, K.; Hara, H.; Ogasawara, K.; Aizawa, T. Soft plaque detected on intravascular ultrasound is the strongest predictor of in-stent restenosis: An intravascular ultrasound study. Eur. Heart J. 2004, 25, 2026–2033. [Google Scholar] [CrossRef] [PubMed]
- Takao, N.; Hagiwara, Y.; Shimizu, T.; Soga, K.; Tsuchihashi, Y.; Otsubo, H.; Tatsuno, K.; Takaishi, S.; Usuki, N.; Yoshie, T.; et al. Preprocedural Carotid Plaque Echolucency as a Predictor of In-Stent Intimal Restenosis after Carotid Artery Stenting. J. Stroke Cerebrovasc. Dis. 2020, 29, 105339. [Google Scholar] [CrossRef] [PubMed]
- Mwipatayi, B.P.; Sharma, S.; Daneshmand, A.; Thomas, S.D.; Vijayan, V.; Altaf, N.; Garbowski, M.; Jackson, M.; Benveniste, G.; Denton, M.; et al. Durability of the balloon-expandable covered versus bare-metal stents in the Covered versus Balloon Expandable Stent Trial (COBEST) for the treatment of aortoiliac occlusive disease. J. Vasc. Surg. 2016, 64, 83–94.e1. [Google Scholar] [CrossRef] [PubMed]
- Bekken, J.A.; Vroegindeweij, D.; Vos, J.A.; de Vries, J.P.P.; Lardenoije, J.W.H.; Petri, B.J.; Pierie, M.E.; van Weel, V.; Teijink, J.A.; Fioole, B. Editor’s Choice—Two Year Results of the Randomised DISCOVER Trial Comparing Covered Versus Bare Metal Stents in the Common Iliac Artery. Eur. J. Vasc. Endovasc. Surg. 2023, 65, 359–368. [Google Scholar] [CrossRef]
- Li, J.; Shen, C.; Zhang, Y.; Fang, J.; Qu, C.; Teng, L. Outcomes of covered vs bare metal stents for the treatment of aortoiliac occlusive disease. J. Vasc. Surg. 2024, 79, 330–338. [Google Scholar] [CrossRef] [PubMed]



| Variable * | n = 33 (%) |
| Demographic data | |
| Age (years) | 67.12 ± 9.1 |
| Sex (male/female) | 18/15 (54.5/45.5) |
| Risk factors and comorbidities | |
| Chronic kidney disease ** | 7 (21.2) |
| Heart failure (>NYHA II) | 6 (18.2) |
| Atrial fibrillation | 6 (18.2) |
| Hypertension | 33 (100) |
| CHD | 14 (42.4) |
| peripheral artery disease (≥Fontaine IIb) | 13 (39.4) |
| COPD | 13 (39.4) |
| Diabetes mellitus | 14 (42.4) |
| Nicotine abuse (active) | 17 (51.5) |
| Nicotine abuse (history) | 5 (15.2) |
| Tumor disease | 4 (12.1) |
| Previous carotid artery surgery | 1 (3) |
| Preoperative medication | |
| Platelet inhibition | 28 (84.8) |
| Oral anticoagulation | 7 (21.2) |
| Statins | 21 (63.6) |
| Variables | n = 33 (%) |
| Stenosis degree of target vessel | |
| >60% and <70% stenosis | 2 (6.1) |
| >70% stenosis | 27 (81.8) |
| Occlusion | 4 (12.1) |
| Vessel location | |
| Innominate artery (IA) | 11 (33.3) |
| Right common carotid artery | 5 (15.2) |
| Left common carotid artery | 17 (51.5) |
| Concomitant significant internal carotid artery stenosis (ICA) | 20 (60.6) |
| Concomitant contra lateral internal carotid artery stenosis (ICA) | 8 (24.2) |
| Preoperative symptomatic | 19 (57.6) |
| Transient ischemic attack (TIA) | 4 (12.1) |
| Minor stroke (NIHSS 1–4) | 8 (24.2) |
| Major stroke (NIHSS ≥ 5) | 3 (9.1) |
| Subclavian steal syndrom | 3 (9.1) |
| Acute arm ischemia (TASC I) | 2 (6.1) |
| asymptomatic | 14 (42.2) |
| Variables * | n = 33 (%) |
| Approach | |
| Cervical | 33 (100) |
| Brachial (right) | 3 (9.1) |
| Simultaneous ipsilateral carotid endarterectomy | 20(60.6) |
| Reconstruction after carotid endarterectomy | |
| Bovine pericardial patch | 15 (45.5) |
| Eversion endarterectomy | 5 (15.5) |
| Shunt | 4(12.1) |
| Primary | 3 (9.1) |
| Secondary | 1 (3) |
| Endovascular procedures | 33(100) |
| Kissing stents | 3 (9.1) |
| Balloon-expandable stents | 41 (100) |
| Covered stents | 26 (63.4) |
| Bare-metal stents | 15 (36.6) |
| Number of stents: n = 1 | 25 (78.8) |
| Number of stents: n = 2 | 8 (24.2) |
| Technical success | 33(100) |
| Intraoperative details | |
| Operating time, minuets, mean (SD) | 170 ± 79 |
| Contrast agent, mL, mean (SD) | 76 ± 34 |
| Fluoroscopy time, minuets, mean (SD) | 6.1 ± 5.6 |
| Variables * | n = 33 (%) |
| Procedure-related complications | |
| Access site hematoma | 1 (3) |
| Horner syndrome | 1 (3) |
| Retropharyngeal hematoma | 2 (6.1) |
| Vocal fold paresis | 1 (3) |
| Cerebrovascular | 2 (6.1) |
| Transient ischemic attack (TIA) | 1 (3) |
| Minor stroke (NIHSS 1–4) with delayed recovery | 1 (3) |
| Systemic complications | - |
| Revisions | 1 (3) |
| Hematoma evacuation | 1 (3) |
| In-hospital data | |
| in-hospital mortality | 0 (0) |
| ICU stay, days, mean (SD) | 1 ± 1 |
| Total hospital stay, days, mean (SD) | 10 ± 6 |
Disclaimer/Publisher’s Note: The statements, opinions and data contained in all publications are solely those of the individual author(s) and contributor(s) and not of MDPI and/or the editor(s). MDPI and/or the editor(s) disclaim responsibility for any injury to people or property resulting from any ideas, methods, instructions or products referred to in the content. |
© 2024 by the authors. Licensee MDPI, Basel, Switzerland. This article is an open access article distributed under the terms and conditions of the Creative Commons Attribution (CC BY) license (https://creativecommons.org/licenses/by/4.0/).
Share and Cite
Kapalla, M.; Busch, A.; Wolk, S.; Reeps, C. Open Retrograde Stenting of Proximal Innominate and Common Carotid Artery Stenosis. J. Pers. Med. 2024, 14, 223. https://doi.org/10.3390/jpm14030223
Kapalla M, Busch A, Wolk S, Reeps C. Open Retrograde Stenting of Proximal Innominate and Common Carotid Artery Stenosis. Journal of Personalized Medicine. 2024; 14(3):223. https://doi.org/10.3390/jpm14030223
Chicago/Turabian StyleKapalla, Marvin, Albert Busch, Steffen Wolk, and Christian Reeps. 2024. "Open Retrograde Stenting of Proximal Innominate and Common Carotid Artery Stenosis" Journal of Personalized Medicine 14, no. 3: 223. https://doi.org/10.3390/jpm14030223
APA StyleKapalla, M., Busch, A., Wolk, S., & Reeps, C. (2024). Open Retrograde Stenting of Proximal Innominate and Common Carotid Artery Stenosis. Journal of Personalized Medicine, 14(3), 223. https://doi.org/10.3390/jpm14030223

