A Novel Surrogate Nomogram Capable of Predicting OncotypeDX Recurrence Score©
Abstract
:1. Introduction
2. Methods
2.1. Study Design
2.2. Diagnosis and Staging
2.3. Histopathology Tumor Assessment
2.4. Statistical Analysis
3. Results
3.1. Clinicopathological Dataset
3.2. Nomogram Model Development
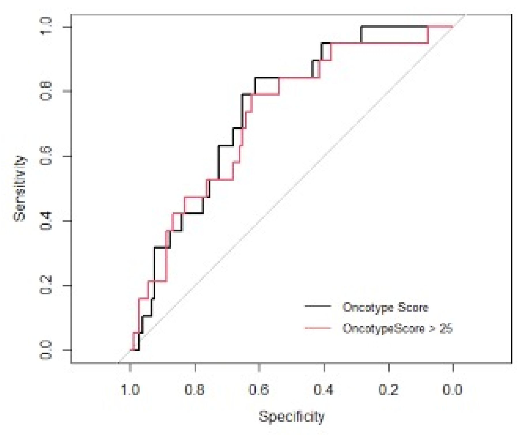
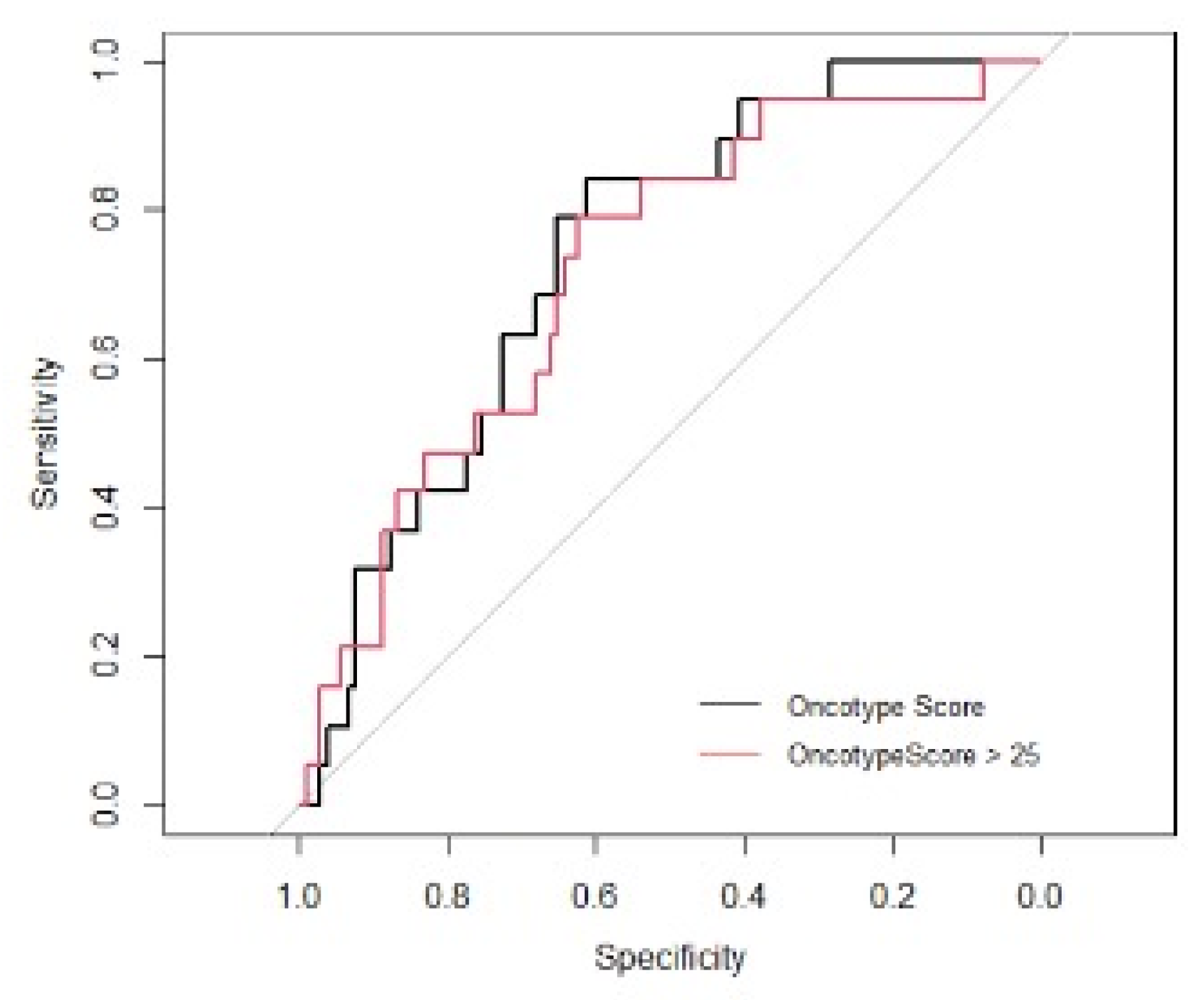
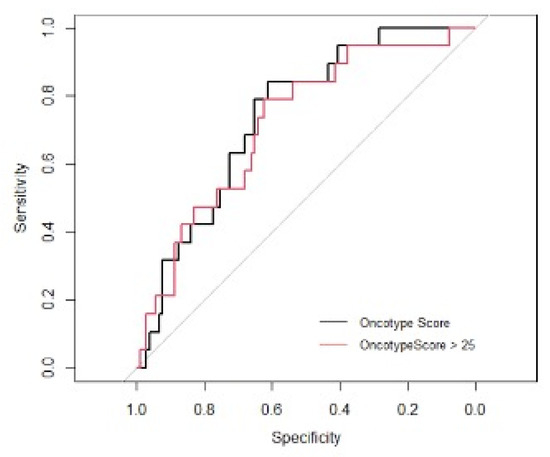
3.3. Performance of Nomogram Models
4. Discussion
Author Contributions
Funding
Institutional Review Board Statement
Informed Consent Statement
Data Availability Statement
Conflicts of Interest
References
- Paik, S.; Shak, S.; Tang, G.; Kim, C.; Baker, J.; Cronin, M.; Baehner, F.L.; Walker, M.G.; Watson, D.; Park, T.; et al. A Multigene Assay to Predict Recurrence of Tamoxifen-Treated, Node-Negative Breast Cancer. N. Engl. J. Med. 2004, 351, 2817–2826. [Google Scholar] [CrossRef] [PubMed] [Green Version]
- Sparano, J.A.; Gray, R.J.; Makower, D.F.; Pritchard, K.I.; Albain, K.S.; Hayes, D.F.; Geyer, C.E., Jr.; Dees, E.C.; Goetz, M.P.; Olson, J.A.; et al. Adjuvant Chemotherapy Guided by a 21-Gene Expression Assay in Breast Cancer. N. Engl. J. Med. 2018, 379, 111–121. [Google Scholar] [CrossRef] [PubMed] [Green Version]
- Kalinsky, K.; Barlow, W.E.; Gralow, J.R.; Meric-Bernstam, F.; Albain, K.S.; Hayes, D.F.; Lin, N.U.; Perez, E.A.; Goldstein, L.J.; Chia, S.K.; et al. 21-Gene Assay to Inform Chemotherapy Benefit in Node-Positive Breast Cancer. N. Engl. J. Med. 2021, 385, 2336–2347. [Google Scholar] [CrossRef] [PubMed]
- McVeigh, T.P.; Hughes, L.M.; Miller, N.; Sheehan, M.; Keane, M.; Sweeney, K.J.; Kerin, M. The impact of Oncotype DX testing on breast cancer management and chemotherapy prescribing patterns in a tertiary referral centre. Eur. J. Cancer 2014, 50, 2763–2770. [Google Scholar] [CrossRef] [PubMed] [Green Version]
- Andre, F.; Ismaila, N.; Henry, N.L.; Somerfield, M.R.; Bast, R.C.; Barlow, W.; Collyar, D.E.; Hammond, M.E.; Kuderer, N.M.; Liu, M.C.; et al. Use of Biomarkers to Guide Decisions on Adjuvant Systemic Therapy for Women with Early-Stage Invasive Breast Cancer: ASCO Clinical Practice Guideline Update—Integration of Results From TAILORx. J. Clin. Oncol. 2019, 37, 1956–1964. [Google Scholar] [CrossRef] [Green Version]
- Crolley, V.E.; Marashi, H.; Rawther, S.; Sirohi, B.; Parton, M.; Graham, J.; Vinayan, A.; Sutherland, S.; Rigg, A.; Wadhawan, A.; et al. The impact of Oncotype DX breast cancer assay results on clinical practice: A UK experience. Breast Cancer Res. Treat. 2020, 180, 809–817. [Google Scholar] [CrossRef] [Green Version]
- Senkus, E.; Kyriakides, S.; Ohno, S.; Penault-Llorca, F.; Poortmans, P.; Rutgers, E.; Zackrisson, S.; Cardoso, F. Primary breast cancer: ESMO Clinical Practice Guidelines for diagnosis, treatment and follow-up. Ann. Oncol. 2015, 26 (Suppl. S5), v8–v30. [Google Scholar] [CrossRef]
- National Institute for Health and Care Excellence. Gene Expression Profiling and Expanded Immunohistochemistry Tests for Guiding Adjuvant Chemotherapy Decisions in Early Breast Cancer Management: MammaPrint, Oncotype DX, IHC4 and Mammostrat. 2013. Available online: https://www.nice.org.uk/guidance/dg10 (accessed on 1 March 2022).
- Goldhirsch, A.; Wood, W.C.; Coates, A.S.; Gelber, R.D.; Thürlimann, B.; Senn, H.J. Strategies for subtypes--dealing with the diversity of breast cancer: Highlights of the St. Gallen International Expert Consensus on the Primary Therapy of Early Breast Cancer Annals of oncology. Off. J. Eur. Soc. Med. Oncol. 2011, 22, 1736–1747. [Google Scholar] [CrossRef]
- Kondo, M.; Hoshi, S.-L.; Yamanaka, T.; Ishiguro, H.; Toi, M. Economic evaluation of the 21-gene signature (Oncotype DX®) in lymph node-negative/positive, hormone receptor-positive early-stage breast cancer based on Japanese validation study (JBCRG-TR03). Breast Cancer Res. Treat. 2011, 127, 739–749. [Google Scholar] [CrossRef]
- Loncaster, J.; Armstrong, A.; Howell, S.; Wilson, G.; Welch, R.; Chittalia, A.; Valentine, W.; Bundred, N. Impact of Oncotype DX breast Recurrence Score testing on adjuvant chemotherapy use in early breast cancer: Real world experience in Greater Manchester, UK. Eur. J. Surg. Oncol. EJSO 2017, 43, 931–937. [Google Scholar] [CrossRef] [Green Version]
- Wang, S.-Y.; Dang, W.; Richman, I.; Mougalian, S.S.; Evans, S.B.; Gross, C.P. Cost-Effectiveness Analyses of the 21-Gene Assay in Breast Cancer: Systematic Review and Critical Appraisal. J. Clin. Oncol. 2018, 36, 1619–1627. [Google Scholar] [CrossRef] [PubMed]
- Wang, S.-Y.; Chen, T.; Dang, W.; Mougalian, S.S.; Evans, S.B.; Gross, C.P. Incorporating Tumor Characteristics to Maximize 21-Gene Assay Utility: A Cost-Effectiveness Analysis. J. Natl. Compr. Cancer Netw. 2019, 17, 39–46. [Google Scholar] [CrossRef] [PubMed] [Green Version]
- McVeigh, T.P.; Kerin, M. Clinical use of the Oncotype DX genomic test to guide treatment decisions for patients with invasive breast cancer. Breast Cancer Dove Med. Press 2017, 9, 393–400. [Google Scholar] [CrossRef] [PubMed] [Green Version]
- Jensen, N.; Kelly, A.H.; Avendano, M. The COVID-19 pandemic underscores the need for an equity-focused global health agenda. Humanit. Soc. Sci. Commun. 2021, 8, 15. [Google Scholar] [CrossRef]
- Orucevic, A.; Heidel, R.E.; Bell, J.L. Utilization and impact of 21-gene recurrence score assay for breast cancer in clinical practice across the United States: Lessons learned from the 2010 to 2012 National Cancer Data Base analysis. Breast Cancer Res. Treat. 2016, 157, 427–435. [Google Scholar] [CrossRef] [Green Version]
- Albanell, J.; Svedman, C.; Gligorov, J.; Holt, S.H.; Bertelli, G.; Blohmer, J.U.; Rouzier, R.; Lluch, A.; Eiermann, W. Pooled analysis of prospective European studies assessing the impact of using the 21-gene Recurrence Score assay on clinical decision making in women with oestrogen receptor-positive, human epidermal growth factor receptor 2-negative early-stage breast cancer. Eur. J. Cancer 2016, 66, 104–113. [Google Scholar]
- Dinan, M.A.; Mi, X.; Reed, S.D.; Hirsch, B.R.; Lyman, G.H.; Curtis, L.H. Initial Trends in the Use of the 21-Gene Recurrence Score Assay for Patients with Breast Cancer in the Medicare Population, 2005–2009. JAMA Oncol. 2015, 1, 158–166. [Google Scholar] [CrossRef]
- Roberts, M.C.; Weinberger, M.; Dusetzina, S.B.; Dinan, M.A.; Reeder-Hayes, K.E.; Carey, L.A.; Troester, M.A.; Wheeler, S.B. Racial Variation in the Uptake of Oncotype DX Testing for Early-Stage Breast Cancer. J. Clin. Oncol. 2016, 34, 130–138. [Google Scholar] [CrossRef] [Green Version]
- Guth, A.A.; Fineberg, S.; Fei, K.; Franco, R.; Bickell, N.A. Utilization of Oncotype DX in an Inner City Population: Race or Place? Int. J. Breast Cancer 2013, 2013, 653805. [Google Scholar] [CrossRef] [Green Version]
- Thibodeau, S.; Voutsadakis, I.A. Prediction of Oncotype Dx recurrence score using clinical parameters: A comparison of available tools and a simple predictor based on grade and progesterone receptor. Hematol. Stem Cell Ther. 2019, 12, 89–96. [Google Scholar] [CrossRef]
- Klein, M.E.; Dabbs, D.J.; Shuai, Y.; Brufsky, A.M.; Jankowitz, R.; Puhalla, S.L.; Bhargava, R. Prediction of the Oncotype DX recurrence score: Use of pathology-generated equations derived by linear regression analysis. Mod. Pathol. 2013, 26, 658–664. [Google Scholar] [CrossRef] [PubMed] [Green Version]
- Allison, K.H.; Kandalaft, P.L.; Sitlani, C.M.; Dintzis, S.M.; Gown, A.M. Routine pathologic parameters can predict Oncotype DX recurrence scores in subsets of ER positive patients: Who does not always need testing? Breast Cancer Res. Treat. 2012, 131, 413–424. [Google Scholar] [CrossRef] [PubMed]
- Davey, M.G.; Ryan, É.J.; Abd Elwahab, S.; Elliott, J.A.; McAnena, P.F.; Sweeney, K.J.; Malone, C.M.; McLaughlin, R.; Barry, M.K.; Keane, M.M.; et al. Clinicopathological correlates, oncological impact, and validation of Oncotype DX™ in a European Tertiary Referral Centre. Breast J. 2021, 27, 521–528. [Google Scholar] [CrossRef] [PubMed]
- Amin, M.B.; Greene, F.L.; Edge, S.B.; Compton, C.C.; Gershenwald, J.E.; Brookland, R.K.; Meyer, L.; Gress, D.M.; Byrd, D.R.; Winchester, D.P. The Eighth Edition AJCC Cancer Staging Manual: Continuing to build a bridge from a population-based to a more “personalized” approach to cancer staging. CA Cancer J. Clin. 2017, 67, 93–99. [Google Scholar] [CrossRef]
- Allred, D.C. Issues and updates: Evaluating estrogen receptor-α, progesterone receptor, and HER2 in breast cancer. Mod. Pathol. 2010, 23, S52–S59. [Google Scholar] [CrossRef] [Green Version]
- Moelans, C.; de Weger, R.; Van der Wall, E.; van Diest, P.J. Current technologies for HER2 testing in breast cancer. Crit. Rev. Oncol. 2011, 80, 380–392. [Google Scholar] [CrossRef]
- Kostopoulou, E.; Vageli, D.; Kaisaridou, D.; Nakou, M.; Netsika, M.; Vladica, N.; Daponte, A.; Koukoulis, G. Comparative evaluation of non-informative HER-2 immunoreactions (2+) in breast carcinomas with FISH, CISH and QRT-PCR. Breast 2007, 16, 615–624. [Google Scholar] [CrossRef]
- Davey, M.G.; Kerin, E.; O’Flaherty, C.; Maher, E.; Richard, V.; McAnena, P.F.; McLaughlin, R.P.; Sweeney, K.J.; Barry, M.K.; Malone, C.M.; et al. Clinicopathological response to neoadjuvant therapies and pathological complete response as a biomarker of survival in human epidermal growth factor receptor-2 enriched breast cancer—A retrospective cohort study. Breast 2021, 59, 67–75. [Google Scholar] [CrossRef]
- Meyer, J.S.; Alvarez, C.; Milikowski, C.; Olson, N.; Russo, I.; Russo, J.; Glass, A.; Zehnbauer, B.A.; Lister, K.; Parwaresch, R. Breast carcinoma malignancy grading by Bloom-Richardson system vs. proliferation index: Reproducibility of grade and advantages of proliferation index. Mod. Pathol. 2005, 18, 1067–1078. [Google Scholar] [CrossRef]
- Elston, C.; Ellis, I. Pathological prognostic factors in breast cancer. I. The value of histological grade in breast cancer: Experience from a large study with long-term follow-up. Histopathology 1991, 19, 403–410. [Google Scholar] [CrossRef]
- Delong, E.R.; Delong, D.M.; Clarke-Pearson, D.L. Comparing the Areas under Two or More Correlated Receiver Operating Characteristic Curves: A Nonparametric Approach. Biometrics 1988, 44, 837–845. [Google Scholar] [CrossRef] [PubMed]
- Steyerberg, E.W. Clinical Prediction Models—A Practical Approach to Development, Validation, and Updating; Springer: Berlin/Heidelberg, Germany, 2009. [Google Scholar]
- Davey, M.G.; Jalaji, A. Surrogate Nomogram for OncotypeDX(C) Recurrence Score. 2021. Available online: https://mattdavey93.shinyapps.io/RSsurrogate/ (accessed on 14 December 2021).
- Jalali, A.; Alvarez-Iglesias, A.; Roshan, D.; Newell, J. Visualising statistical models using dynamic nomograms. PLoS ONE 2019, 14, e0225253. [Google Scholar] [CrossRef] [PubMed]
- Perou, C.M.; Sørlie, T.; Eisen, M.B.; Van De Rijn, M.; Jeffrey, S.S.; Rees, C.A.; Pollack, J.R.; Ross, D.T.; Johnsen, H.; Akslen, L.A.; et al. Molecular portraits of human breast tumours. Nature 2000, 406, 747–752. [Google Scholar] [CrossRef] [PubMed]
- Sørlie, T. Molecular portraits of breast cancer: Tumour subtypes as distinct disease entities. Eur. J. Cancer 2004, 40, 2667–2675. [Google Scholar] [CrossRef]
- Davey, M.G.; Lowery, A.J.; Miller, N.; Kerin, M.J. MicroRNA Expression Profiles and Breast Cancer Chemotherapy. Int. J. Mol. Sci. 2021, 22, 10812. [Google Scholar] [CrossRef]
- Bath, M.; Bashford, T.; Fitzgerald, J.E. What is ‘global surgery’? Defining the multidisciplinary interface between surgery, anaesthesia and public health. BMJ Glob. Health 2019, 4, e001808. [Google Scholar] [CrossRef] [Green Version]
- Cardoso, F.; Kyriakides, S.; Ohno, S.; Penault-Llorca, F.; Poortmans, P.; Rubio, I.T.; Zackrisson, S.; Senkus, E.; ESMO Guidelines Committee. Early breast cancer: ESMO Clinical Practice Guidelines for diagnosis, treatment and follow-up. Ann. Oncol. 2019, 30, 1194–1220. [Google Scholar] [CrossRef] [Green Version]
- Cardoso, F.; Paluch-Shimon, S.; Senkus, E.; Curigliano, G.; Aapro, M.S.; André, F.; Barrios, C.H.; Bergh, J.; Bhattacharyya, G.S.; Biganzoli, L.; et al. 5th ESO-ESMO international consensus guidelines for advanced breast cancer (ABC 5). Ann. Oncol. 2020, 31, 1623–1649. [Google Scholar] [CrossRef]
- Lee, S.B.; Kim, J.; Sohn, G.; Kim, J.; Chung, I.Y.; Kim, H.J.; Ko, B.S.; Son, B.H.; Ahn, S.H.; Lee, J.W.; et al. A Nomogram for Predicting the Oncotype DX Recurrence Score in Women with T1-3N0-1miM0 Hormone Receptor–Positive, Human Epidermal Growth Factor 2 (HER2)–Negative Breast Cancer. Cancer Res. Treat. 2019, 51, 1073–1085. [Google Scholar] [CrossRef]
- Burstein, H.J.; Curigliano, G.; Loibl, S.; Dubsky, P.; Gnant, M.; Poortmans, P.; Colleoni, M.; Denkert, C.; Piccart-Gebhart, M.; Regan, M.; et al. Estimating the benefits of therapy for early-stage breast cancer: The St. Gallen International Consensus Guidelines for the primary therapy of early breast cancer. Ann. Oncol. 2019, 30, 1541–1557. [Google Scholar] [CrossRef] [Green Version]
- Denduluri, N.; Chavez-MacGregor, M.; Telli, M.L.; Eisen, A.; Graff, S.L.; Hassett, M.J.; Holloway, J.N.; Hurria, A.; King, T.A.; Lyman, G.H.; et al. Selection of Optimal Adjuvant Chemotherapy and Targeted Therapy for Early Breast Cancer: ASCO Clinical Practice Guideline Focused Update. J. Clin. Oncol. 2018, 36, 2433–2443. [Google Scholar] [CrossRef]
- Gradishar, W.J.; Anderson, B.O.; Abraham, J.; Aft, R.; Agnese, D.; Allison, K.H.; Blair, S.L.; Burstein, H.J.; Dang, C.; Elias, A.D.; et al. Breast Cancer, Version 3.2020, NCCN Clinical Practice Guidelines in Oncology. J. Natl. Compr. Cancer Netw. 2020, 18, 452–478. [Google Scholar] [CrossRef] [PubMed] [Green Version]
- Henry, N.L.; Somerfield, M.R.; Abramson, V.G.; Ismaila, N.; Allison, K.H.; Anders, C.K.; Chingos, D.T.; Eisen, A.; Ferrari, B.L.; Openshaw, T.H.; et al. Role of Patient and Disease Factors in Adjuvant Systemic Therapy Decision Making for Early-Stage, Operable Breast Cancer: Update of the ASCO Endorsement of the Cancer Care Ontario Guideline. J. Clin. Oncol. 2019, 37, 1965–1977. [Google Scholar] [CrossRef]
- Davey, M.G.; Hynes, S.O.; Kerin, M.J.; Miller, N.; Lowery, A.J. Ki-67 as a Prognostic Biomarker in Invasive Breast Cancer. Cancers 2021, 13, 4455. [Google Scholar] [CrossRef]
- Aleskandarany, M.A.; Sonbul, S.N.; Mukherjee, A.; Rakha, E.A. Molecular Mechanisms Underlying Lymphovascular Invasion in Invasive Breast Cancer. Pathobiology 2015, 82, 113–123. [Google Scholar] [CrossRef] [PubMed]
- Houvenaeghel, G.; Cohen, M.; Classe, J.; Reyal, F.; Mazouni, C.; Chopin, N.; Martinez, A.; Daraï, E.; Coutant, C.; Colombo, P.; et al. Lymphovascular invasion has a significant prognostic impact in patients with early breast cancer, results from a large, national, multicenter, retrospective cohort study. ESMO Open 2021, 6, 100316. [Google Scholar] [CrossRef] [PubMed]
- Yoo, S.H.; Kim, T.-Y.; Kim, M.; Lee, K.-H.; Lee, E.; Lee, H.-B.; Moon, H.-G.; Han, W.; Noh, D.-Y.; Han, S.-W.; et al. Development of a Nomogram to Predict the Recurrence Score of 21-Gene Prediction Assay in Hormone Receptor–Positive Early Breast Cancer. Clin. Breast Cancer 2020, 20, 98–107.e1. [Google Scholar] [CrossRef]
- Yu, J.; Wu, J.; Huang, O.; He, J.; Zhu, L.; Chen, W.; Li, Y.; Chen, X.; Shen, K. A nomogram to predict the high-risk RS in HR+/HER2-breast cancer patients older than 50 years of age. J. Transl. Med. 2021, 19, 75. [Google Scholar] [CrossRef]
- Sahebjam, S.; Aloyz, R.; Pilavdzic, D.; Brisson, M.-L.; Ferrario, C.; Bouganim, N.; Cohen, V.; Miller, W.H.; Panasci, L.C. Ki 67 is a major, but not the sole determinant of Oncotype Dx recurrence score. Br. J. Cancer 2011, 105, 1342–1345. [Google Scholar] [CrossRef] [Green Version]
- Thakur, S.S.; Li, H.; Chan, A.M.Y.; Tudor, R.; Bigras, G.; Morris, D.; Enwere, E.K.; Yang, H. The use of automated Ki67 analysis to predict Oncotype DX risk-of-recurrence categories in early-stage breast cancer. PLoS ONE 2018, 13, e0188983. [Google Scholar] [CrossRef] [Green Version]
- Xin, L.; Liu, Y.-H.; Martin, T.A.; Jiang, W.G. The Era of Multigene Panels Comes? The Clinical Utility of Oncotype DX and MammaPrint. World J. Oncol. 2017, 8, 34–40. [Google Scholar] [CrossRef] [PubMed] [Green Version]
- Nielsen, T.O.; Leung, S.C.Y.; Rimm, D.L.; Dodson, A.; Acs, B.; Badve, S.; Denkert, C.; Ellis, M.J.; Fineberg, S.; Flowers, M.; et al. Assessment of Ki67 in Breast Cancer: Updated Recommendations from the International Ki67 in Breast Cancer Working Group. JNCI J. Natl. Cancer Inst. 2021, 113, 808–819. [Google Scholar] [CrossRef] [PubMed]
- Orucevic, A.; Bell, J.L.; McNabb, A.; Heidel, R.E. Oncotype DX breast cancer recurrence score can be predicted with a novel nomogram using clinicopathologic data. Breast Cancer Res. Treat. 2017, 163, 51–61. [Google Scholar] [CrossRef] [PubMed]
- Orucevic, A.; Bell, J.L.; King, M.; McNabb, A.; Heidel, R.E. Nomogram update based on TAILORx clinical trial results—Oncotype DX breast cancer recurrence score can be predicted using clinicopathologic data. Breast 2019, 46, 116–125. [Google Scholar] [CrossRef] [Green Version]
- Kalinsky, K.; Barlow, W.E.; Meric-Bernstam, F.; Gralow, J.R.; Albain, K.S.; Hayes, D.; Lin, N.; Perez, E.A.; Goldstein, L.J.; Chia, S.; et al. Abstract GS3-00: First results from a phase III randomized clinical trial of standard adjuvant endocrine therapy (ET) +/− chemotherapy (CT) in patients (pts) with 1–3 positive nodes, hormone receptor-positive (HR+) and HER2-negative (HER2-) breast cancer (BC) with recurrence score (RS) < 25: SWOG S1007 (RxPonder). Cancer Res. 2021, 81, GS3-00. [Google Scholar]
- Carr, D.N.; Vera, N.; Sun, W.; Lee, M.C.; Hoover, S.; Fulp, W.; Acs, G.; Laronga, C. Menopausal status does not predict Oncotype DX recurrence score. J. Surg. Res. 2015, 198, 27–33. [Google Scholar] [CrossRef]
- Clemons, M.; Simmons, C. Identifying menopause in breast cancer patients: Considerations and implications. Breast Cancer Res. Treat. 2007, 104, 115–120. [Google Scholar] [CrossRef]
- Lu, Y.-S.; Wong, A.; Kim, H.-J. Ovarian Function Suppression with Luteinizing Hormone-Releasing Hormone Agonists for the Treatment of Hormone Receptor-Positive Early Breast Cancer in Premenopausal Women. Front. Oncol. 2021, 11, 700722. [Google Scholar] [CrossRef]
- Abubakar, M.; Figueroa, J.; Ali, H.R.; Blows, F.; Lissowska, J.; Caldas, C.; Easton, D.F.; Sherman, M.E.; Garcia-Closas, M.; Dowsett, M.; et al. Combined quantitative measures of ER, PR, HER2, and KI67 provide more prognostic information than categorical combinations in luminal breast cancer. Mod. Pathol. 2019, 32, 1244–1256. [Google Scholar] [CrossRef]
- Davey, M.G.; Ryan, J.; Boland, M.R.; McAnena, P.F.; Lowery, A.J.; Kerin, M.J. Is radiomic MRI a feasible alternative to OncotypeDX® recurrence score testing? A systematic review and meta-analysis. BJS Open 2021, 5, zrab081. [Google Scholar] [CrossRef]
- Li, H.; Zhu, Y.; Burnside, E.S.; Drukker, K.; Hoadley, K.; Fan, C.; Conzen, S.D.; Whitman, G.J.; Sutton, E.J.; Net, J.M.; et al. MR Imaging Radiomics Signatures for Predicting the Risk of Breast Cancer Recurrence as Given by Research Versions of MammaPrint, Oncotype DX, and PAM50 Gene Assays. Radiology 2016, 281, 382–391. [Google Scholar] [CrossRef] [PubMed] [Green Version]
- Van Timmeren, J.E.; Cester, D.; Tanadini-Lang, S.; Alkadhi, H.; Baessler, B. Radiomics in medical imaging—“How-to” guide and critical reflection. Insights Into Imaging 2020, 11, 91. [Google Scholar] [CrossRef] [PubMed]
- McVeigh, T.P.; McVeigh, U.M.; Sweeney, K.J.; Kerin, M.J.; Miller, N. A genetic variant at 12p11 significantly modifies breast cancer risk in a genetically homogenous island population. Breast Cancer Res. Treat. 2014, 149, 41–47. [Google Scholar] [CrossRef]
- Novembre, J.; Johnson, T.; Bryc, K.; Kutalik, Z.; Boyko, A.R.; Auton, A.; Indap, A.; King, K.S.; Bergmann, S.; Nelson, M.R.; et al. Genes mirror geography within Europe. Nature 2008, 456, 98–101. [Google Scholar] [CrossRef] [PubMed] [Green Version]



| Overall (n = 448) | Train Set (n = 315) | Test Set (n = 133) | |
|---|---|---|---|
| Age at Diagnosis | 58 (51, 64) | 59 (51, 64) | 58 (51, 65) |
| Menopause Status | |||
| Premenopausal (0) | 137 (31%) | 91 (29%) | 46 (35%) |
| Postmenopausal (1) | 311 (69%) | 224 (71%) | 87 (65%) |
| Diagnostic pathway | |||
| Symptomatic (0) | 289 (65%) | 208 (66%) | 81 (61%) |
| Screening Detected (1) | 159 (35%) | 107 (34%) | 52 (39%) |
| Main Tumor Size | 20 (14, 26) | 20 (15, 26) | 19 (13, 26) |
| Tumor Stage | |||
| T1 | 219 (49%) | 148 (47%) | 71 (53%) |
| T2 | 218 (49%) | 159 (50%) | 59 (44%) |
| T3 | 11 (2.5%) | 8 (2.5%) | 3 (2.3%) |
| Histological Subtype | |||
| IDC | 341 (76%) | 243 (77%) | 98 (74%) |
| ILC | 82 (18%) | 52 (17%) | 30 (23%) |
| Other | 25 (5.6%) | 20 (6.3%) | 5 (3.8%) |
| Tumor Grade | |||
| Grade 1 | 44 (10%) | 28 (9.5%) | 16 (13%) |
| Grade 2 | 296 (70%) | 206 (70%) | 90 (71%) |
| Grade 3 | 82 (19%) | 62 (21%) | 20 (16%) |
| ER Score | |||
| 2 | 2 (0.4%) | 1 (0.3%) | 1 (0.8%) |
| 3 | 2 (0.4%) | 1 (0.3%) | 1 (0.8%) |
| 4 | 2 (0.4%) | 2 (0.6%) | 0 (0%) |
| 5 | 3 (0.7%) | 1 (0.3%) | 2 (1.5%) |
| 6 | 16 (3.6%) | 12 (3.8%) | 4 (3.0%) |
| 7 | 56 (12%) | 43 (14%) | 13 (9.8%) |
| 8 | 367 (82%) | 255 (81%) | 112 (84%) |
| PgR Score | |||
| 0 | 62 (14%) | 46 (15%) | 16 (12%) |
| 2 | 6 (1.3%) | 3 (1.0%) | 3 (2.3%) |
| 3 | 21 (4.7%) | 12 (3.8%) | 9 (6.8%) |
| 4 | 26 (5.8%) | 19 (6.1%) | 7 (5.3%) |
| 5 | 48 (11%) | 36 (11%) | 12 (9.1%) |
| 6 | 62 (14%) | 36 (11%) | 26 (20%) |
| 7 | 73 (16%) | 55 (18%) | 18 (14%) |
| 8 | 148 (33%) | 107 (34%) | 41 (31%) |
| OncotypeDX© Recurrence Score | 17 (13, 22) | 17 (13, 22) | 17 (13, 22) |
| Surrogate RS Model | Beta | 95% CI 1 | p-Value |
|---|---|---|---|
| Age at Diagnosis | −0.01 | −0.02, 0.00 | 0.12 |
| Menopause Status | |||
| Postmenopausal (0) | - | - | - |
| Premenopausal (1) | 0.25 | 0.03, 0.48 | 0.028 |
| Symptomatic Presentation | |||
| Screening Detected (0) | - | - | - |
| Symptomatic (1) | 0.09 | −0.06, 0.23 | 0.2 |
| Tumor Stage | |||
| T1 | - | - | - |
| T2 | 0.03 | −0.10, 0.15 | 0.7 |
| T3 | 0.18 | −0.23, 0.59 | 0.4 |
| Tumor Grade | |||
| Grade 1 | - | - | - |
| Grade 2 | 0.09 | −0.13, 0.30 | 0.4 |
| Grade 3 | 0.28 | 0.03, 0.52 | 0.026 |
| Histological Subtype | 0.99 | 0.50, 1.72 | 0.9 |
| Increasing ER Score | −0.14 | −0.22, −0.06 | 0.001 |
| Increasing PgR Score | −0.02 | −0.04, 0.00 | 0.11 |
| Surrogate RS > 25 Model | OR 1 | 95% CI 1 | p-Value |
|---|---|---|---|
| Age at Diagnosis | 1 | 0.95, 1.05 | >0.9 |
| Menopause Status | |||
| Postmenopausal (0) | - | - | - |
| Premenopausal (1) | 1.4 | 0.40, 5.23 | 0.6 |
| Symptomatic Presentation | |||
| Screening Detected (0) | - | - | - |
| Symptomatic (1) | 0.87 | 0.40, 1.96 | 0.7 |
| Tumor Stage | |||
| T1 | - | - | - |
| T2 | 1.37 | 0.47, 3.99 | 0.6 |
| T3 | 3.99 | 0.07, 164 | 0.5 |
| Tumor Grade | |||
| Grade 1 | - | - | - |
| Grade 2 | 2.22 | 0.57, 14.8 | 0.3 |
| Grade 3 | 5.67 | 1.32, 40.0 | 0.037 |
| Histological Subtype | 0.98 | 0.51, 1.76 | >0.9 |
| Decreasing ER Score | 1.33 | 1.02, 1.66 | 0.05 |
| Decreasing PgR Score | 1.16 | 1.06, 1.25 | 0.002 |
Publisher’s Note: MDPI stays neutral with regard to jurisdictional claims in published maps and institutional affiliations. |
© 2022 by the authors. Licensee MDPI, Basel, Switzerland. This article is an open access article distributed under the terms and conditions of the Creative Commons Attribution (CC BY) license (https://creativecommons.org/licenses/by/4.0/).
Share and Cite
Davey, M.G.; Jalali, A.; Ryan, É.J.; McLaughlin, R.P.; Sweeney, K.J.; Barry, M.K.; Malone, C.M.; Keane, M.M.; Lowery, A.J.; Miller, N.; et al. A Novel Surrogate Nomogram Capable of Predicting OncotypeDX Recurrence Score©. J. Pers. Med. 2022, 12, 1117. https://doi.org/10.3390/jpm12071117
Davey MG, Jalali A, Ryan ÉJ, McLaughlin RP, Sweeney KJ, Barry MK, Malone CM, Keane MM, Lowery AJ, Miller N, et al. A Novel Surrogate Nomogram Capable of Predicting OncotypeDX Recurrence Score©. Journal of Personalized Medicine. 2022; 12(7):1117. https://doi.org/10.3390/jpm12071117
Chicago/Turabian StyleDavey, Matthew G., Amirhossein Jalali, Éanna J. Ryan, Ray P. McLaughlin, Karl J. Sweeney, Michael K. Barry, Carmel M. Malone, Maccon M. Keane, Aoife J. Lowery, Nicola Miller, and et al. 2022. "A Novel Surrogate Nomogram Capable of Predicting OncotypeDX Recurrence Score©" Journal of Personalized Medicine 12, no. 7: 1117. https://doi.org/10.3390/jpm12071117
APA StyleDavey, M. G., Jalali, A., Ryan, É. J., McLaughlin, R. P., Sweeney, K. J., Barry, M. K., Malone, C. M., Keane, M. M., Lowery, A. J., Miller, N., & Kerin, M. J. (2022). A Novel Surrogate Nomogram Capable of Predicting OncotypeDX Recurrence Score©. Journal of Personalized Medicine, 12(7), 1117. https://doi.org/10.3390/jpm12071117

