Who to Be Treated: Nomogram Using Self-Reported Periodontal Screening Instrument among English-Speaking Adults in Multi-Ethnic Singapore
Abstract
:1. Introduction
2. Materials and Methods
2.1. The Setting, Study Population and Sample Size
2.2. Study Design
2.3. Telephone Interview Survey
2.4. Clinical Examination
2.5. Statistical Analysis
2.6. Ethical Issues
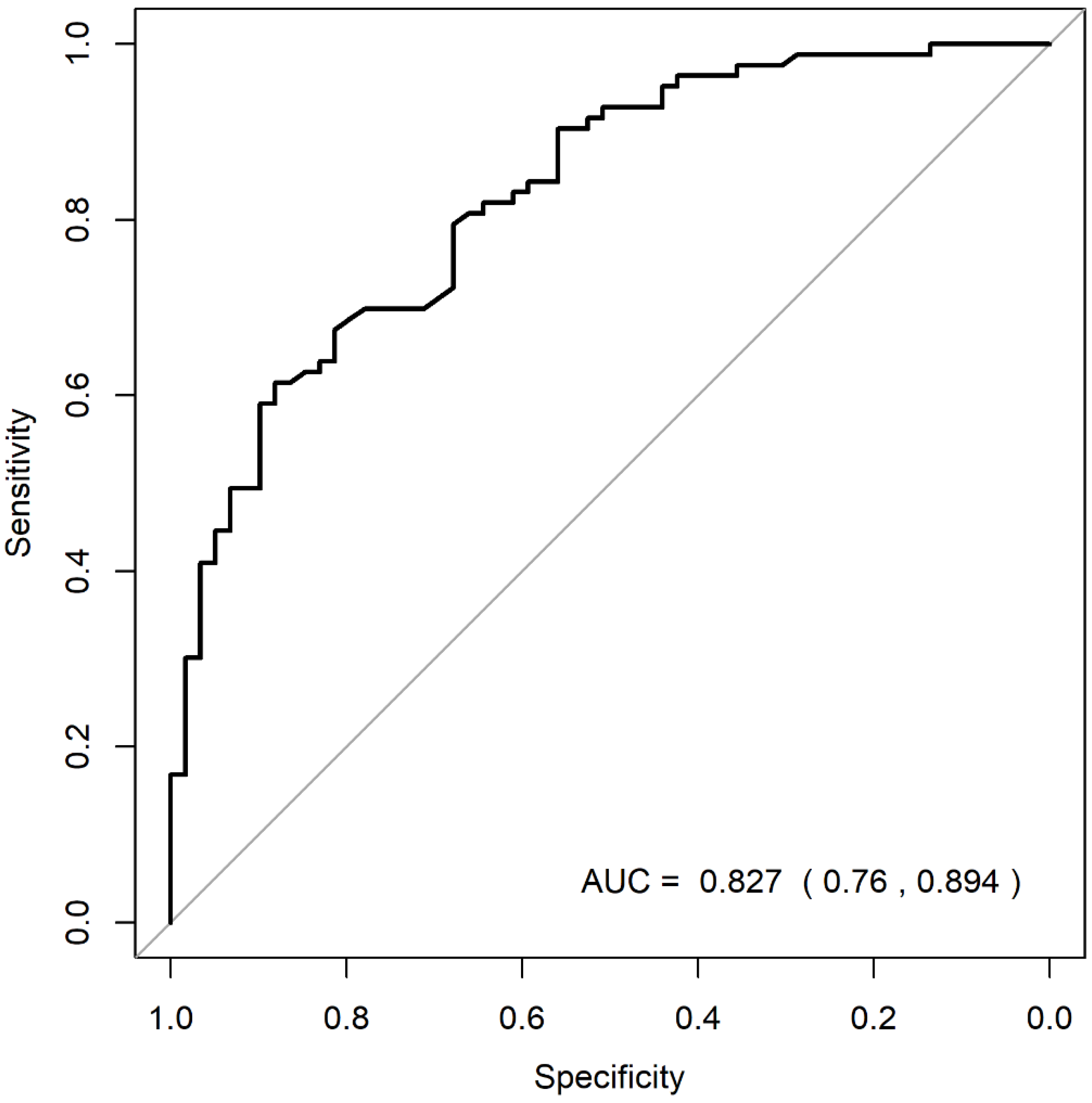
3. Results
4. Discussion
5. Conclusions
Author Contributions
Funding
Institutional Review Board Statement
Informed Consent Statement
Data Availability Statement
Acknowledgments
Conflicts of Interest
References
- GBD 2016 Disease and Injury Incidence and Prevalence Collaborators. Global, regional, and national incidence, prevalence, and years lived with disability for 328 diseases and injuries for 195 countries, 1990–2016: A systematic analysis for the Global Burden of Disease Study 2016. Lancet 2017, 390, 1211–1259. [Google Scholar] [CrossRef] [Green Version]
- Janakiram, C.; Dye, B.A. A public health approach for prevention of periodontal disease. Periodontology 2000 2020, 84, 202–214. [Google Scholar] [CrossRef] [PubMed]
- Papapanou, P.N.; Susin, C. Periodontitis epidemiology: Is periodontitis under-recognized, over-diagnosed, or both? Periodontology 2000 2017, 75, 45–51. [Google Scholar] [CrossRef]
- Hajishengallis, G.; Chavakis, T. Local and systemic mechanisms linking periodontal disease and inflammatory comorbidities. Nat. Rev. Immunol. 2021, 21, 426–440. [Google Scholar] [CrossRef] [PubMed]
- Sanz, M.; Ceriello, A.; Buysschaert, M.; Chapple, I.; Demmer, R.T.; Graziani, F.; Herrera, D.; Jepsen, S.; Lione, L.; Madianos, P.; et al. Scientific evidence on the links between periodontal diseases and diabetes: Consensus report and guidelines of the joint workshop on periodontal diseases and diabetes by the International Diabetes Federation and the European Federation of Periodontology. J. Clin. Periodontol. 2018, 45, 138–149. [Google Scholar] [CrossRef] [PubMed]
- Sanz, M.; Marco Del Castillo, A.; Jepsen, S.; Gonzalez-Juanatey, J.R.; D’Aiuto, F.; Bouchard, P.; Chapple, I.; Dietrich, T.; Gotsman, I.; Graziani, F.; et al. Periodontitis and cardiovascular diseases: Consensus report. J. Clin. Periodontol. 2020, 47, 268–288. [Google Scholar] [CrossRef]
- Teixeira, F.C.F.; Marin-Leon, L.; Gomes, E.P.; PedrÃo, A.M.N.; Pereira, A.D.C.; Francisco, P. Relationship between periodontitis and subclinical risk indicators for chronic non-communicable diseases. Braz. Oral Res. 2020, 34, e058. [Google Scholar] [CrossRef] [PubMed]
- GBD 2017 Oral Disorders Collaborators; Bernabe, E.; Marcenes, W.; Hernandez, C.R.; Bailey, J.; Abreu, L.G.; Alipour, V.; Amini, S.; Arabloo, J.; Arefi, Z.; et al. Global, Regional, and National Levels and Trends in Burden of Oral Conditions from 1990 to 2017: A Systematic Analysis for the Global Burden of Disease 2017 Study. J. Dent. Res. 2020, 99, 362–373. [Google Scholar] [CrossRef]
- Chen, M.X.; Zhong, Y.J.; Dong, Q.Q.; Wong, H.M.; Wen, Y.F. Global, regional, and national burden of severe periodontitis, 1990–2019: An analysis of the Global Burden of Disease Study 2019. J. Clin. Periodontol. 2021, 48, 1165–1188. [Google Scholar] [CrossRef]
- Blicher, B.; Joshipura, K.; Eke, P. Validation of self-reported periodontal disease: A systematic review. J. Dent. Res. 2005, 84, 881–890. [Google Scholar] [CrossRef]
- Axelsson, G.; Helgadóttir, S. Comparison of oral health data from self-administered questionnaire and clinical examination. Community Dent. Oral Epidemiol. 1995, 23, 365–368. [Google Scholar] [CrossRef] [PubMed]
- Pinelli, C.; de Castro Monteiro Loffredo, L. Reproducibility and validity of self-perceived oral health conditions. Clin. Oral Investig. 2007, 11, 431–437. [Google Scholar] [CrossRef] [PubMed]
- Dietrich, T.; Stosch, U.; Dietrich, D.; Schamberger, D.; Bernimoulin, J.P.; Joshipura, K. The accuracy of individual self-reported items to determine periodontal disease history. Eur. J. Oral Sci. 2005, 113, 135–140. [Google Scholar] [CrossRef]
- Cyrino, R.M.; Miranda Cota, L.O.; Pereira Lages, E.J.; Bastos Lages, E.M.; Costa, F.O. Evaluation of self-reported measures for prediction of periodontitis in a sample of Brazilians. J. Periodontol. 2011, 82, 1693–1704. [Google Scholar] [CrossRef] [PubMed]
- Eke, P.I.; Dye, B.A.; Wei, L.; Slade, G.D.; Thornton-Evans, G.O.; Beck, J.D.; Taylor, G.W.; Borgnakke, W.S.; Page, R.C.; Genco, R.J. Self-reported measures for surveillance of periodontitis. J. Dent. Res. 2013, 92, 1041–1047. [Google Scholar] [CrossRef]
- Eke, P.I.; Genco, R.J. CDC Periodontal Disease Surveillance Project: Background, objectives, and progress report. J. Periodontol. 2007, 78, 1366–1371. [Google Scholar] [CrossRef] [Green Version]
- Slade, G.D. Interim analysis of validity of periodontitis screening questions in the Australian population. J. Periodontol. 2007, 78, 1463–1470. [Google Scholar] [CrossRef]
- Eke, P.I.; Dye, B. Assessment of self-report measures for predicting population prevalence of periodontitis. J. Periodontol. 2009, 80, 1371–1379. [Google Scholar] [CrossRef]
- Eke, P.I.; Thornton-Evans, G.; Dye, B.; Genco, R. Advances in surveillance of periodontitis: The Centers for Disease Control and Prevention periodontal disease surveillance project. J. Periodontol. 2012, 83, 1337–1342. [Google Scholar] [CrossRef]
- Foster Page, L.A.; Thomson, W.M.; Broadbent, J.M. Validity of self-reported periodontal questions in a New Zealand cohort. Clin. Oral Investig. 2016, 20, 563–569. [Google Scholar] [CrossRef]
- Ramos, R.Q.; Bastos, J.L.; Peres, M.A. Validity of periodontitis screening questions in a Brazilian adult population-based study. Braz. Oral Res. 2016, 30, e114. [Google Scholar] [CrossRef] [PubMed] [Green Version]
- Montero, E.; La Rosa, M.; Montanya, E.; Calle-Pascual, A.L.; Genco, R.J.; Sanz, M.; Herrera, D. Validation of self-reported measures of periodontitis in a Spanish Population. J. Periodontal Res. 2020, 55, 400–409. [Google Scholar] [CrossRef] [PubMed]
- Saka-Herrán, C.; Jané-Salas, E.; González-Navarro, B.; Estrugo-Devesa, A.; López-López, J. Validity of a self-reported questionnaire for periodontitis in Spanish population. J. Periodontol. 2020, 91, 1027–1038. [Google Scholar] [CrossRef]
- Reiniger, A.P.P.; Londero, A.B.; Ferreira, T.G.M.; da Rocha, J.M.; Moreira, C.H.C.; Kantorski, K.Z. Validity of self-reported measures for periodontitis surveillance in a rural sample. J. Periodontol. 2020, 91, 617–627. [Google Scholar] [CrossRef] [PubMed]
- Heaton, B.; Gordon, N.B.; Garcia, R.I.; Rosenberg, L.; Rich, S.; Fox, M.P.; Cozier, Y.C. A Clinical Validation of Self-Reported Periodontitis Among Participants in the Black Women’s Health Study. J. Periodontol. 2017, 88, 582–592. [Google Scholar] [CrossRef] [PubMed]
- Micu, I.C.; Bolboacă, S.D.; Caracostea, G.V.; Grigor, D.; Ciurea, A.; Iozon, S.; Soancă, A.; Mureșan, D.; Roman, A. Self-reported and clinical periodontal conditions in a group of Eastern European postpartum women. PLoS ONE 2020, 15, e0237510. [Google Scholar] [CrossRef]
- Wu, X.; Weng, H.; Lin, X. Self-reported questionnaire for surveillance of periodontitis in Chinese patients from a prosthodontic clinic: A validation study. J. Clin. Periodontol. 2013, 40, 616–623. [Google Scholar] [CrossRef]
- Ueno, M.; Shimazu, T.; Sawada, N.; Tsugane, S.; Kawaguchi, Y. Validity of Self-Reported Periodontitis in Japanese Adults: The Japan Public Health Center-Based Prospective Study for the Next-Generation Oral Health Study. Asia Pac. J. Public Health 2020, 32, 346–353. [Google Scholar] [CrossRef]
- Tonetti, M.S.; Greenwell, H.; Kornman, K.S. Staging and grading of periodontitis: Framework and proposal of a new classification and case definition. J. Clin. Periodontol. 2018, 45 (Suppl. 20), S149–S161. [Google Scholar] [CrossRef] [Green Version]
- Yang, D. Build Prognostic Nomograms for Risk Assessment Using SAS. In Proceedings of the SAS Global Forum, San Francisco, CA, USA, 28 April–1 May 2013. [Google Scholar]
- Iasonos, A.; Schrag, D.; Raj, G.V.; Panageas, K.S. How to build and interpret a nomogram for cancer prognosis. J. Clin. Oncol. 2008, 26, 1364–1370. [Google Scholar] [CrossRef]
- Kattan, M.W.; Marasco, J. What is a real nomogram? Semin. Oncol. 2010, 37, 23–26. [Google Scholar] [CrossRef] [PubMed]
- Lim, L.P.; Wong, M.L.; Tay, F.B.K.; Gunaratnam, M.; Ong, M.; Chan, S.P. Correlates of periodontal health status of Singaporean adults. In Proceedings of the International Association for Dental Research (SEA Division), Malacca, Malaysia, 5 September 2005. [Google Scholar]
- Harrell, F.E. Regression modeling strategies: With Applications to Linear Models, Logistic and Ordinal Regression, and Survival Analysis, 2nd ed.; Springer: Heidelberg, Germany, 2016. [Google Scholar]
- Papapanou, P.N.; Sanz, M.; Buduneli, N.; Dietrich, T.; Feres, M.; Fine, D.H.; Flemmig, T.F.; Garcia, R.; Giannobile, W.V.; Graziani, F.; et al. Periodontitis: Consensus report of workgroup 2 of the 2017 World Workshop on the Classification of Periodontal and Peri-Implant Diseases and Conditions. J. Periodontol. 2018, 89 (Suppl. 1), S173–S182. [Google Scholar] [CrossRef] [PubMed] [Green Version]
- Hosmer, D.W.; Lemeshow, S. Assessing the Fit of the Model. In Applied Logistic Regression, 2nd ed.; John Wiley & Sons, Inc.: New York, NY, USA, 2000; pp. 143–202. [Google Scholar] [CrossRef]
- Steyerberg, E.W.; Vergouwe, Y. Towards better clinical prediction models: Seven steps for development and an ABCD for validation. Eur. Heart J. 2014, 35, 1925–1931. [Google Scholar] [CrossRef] [Green Version]
- Vickers, A.J.; Elkin, E.B. Decision curve analysis: A novel method for evaluating prediction models. Med. Decis. Mak. 2006, 26, 565–574. [Google Scholar] [CrossRef] [Green Version]
- R Core Team. R: A Language and Environment for Statistical Computing; R Foundation for Statistical Computing: Vienna, Austria, 2018. [Google Scholar]
- Checchi, L.; Montevecchi, M.; Gatto, M.R.; Trombelli, L. Retrospective study of tooth loss in 92 treated periodontal patients. J. Clin. Periodontol. 2002, 29, 651–656. [Google Scholar] [CrossRef] [PubMed]
- Fardal, Ø.; Johannessen, A.C.; Linden, G.J. Tooth loss during maintenance following periodontal treatment in a periodontal practice in Norway. J. Clin. Periodontol. 2004, 31, 550–555. [Google Scholar] [CrossRef]
- Abbood, H.M.; Hinz, J.; Cherukara, G.; Macfarlane, T.V. Validity of Self-Reported Periodontal Disease: A Systematic Review and Meta-Analysis. J. Periodontol. 2016, 87, 1474–1483. [Google Scholar] [CrossRef]
- Taylor, G.W.; Borgnakke, W.S. Self-reported periodontal disease: Validation in an epidemiological survey. J. Periodontol. 2007, 78, 1407–1420. [Google Scholar] [CrossRef] [Green Version]
- Burt, B.; Research, Science and Therapy Committee of the American Academy of Periodontology. Position Paper: Epidemiology of Periodontal Diseases. J. Periodontol. 2005, 76, 1406–1419. [Google Scholar]
- Vickers, A.J.; Van Calster, B.; Steyerberg, E.W. Net benefit approaches to the evaluation of prediction models, molecular markers, and diagnostic tests. BMJ 2016, 352, i6. [Google Scholar] [CrossRef] [Green Version]
- Duan, S.; Li, M.; Zhao, J.; Yang, H.; He, J.; Lei, L.; Cheng, R.; Hu, T. A predictive nomogram: A cross-sectional study on a simple-to-use model for screening 12-year-old children for severe caries in middle schools. BMC Oral Health 2021, 21, 457. [Google Scholar] [CrossRef] [PubMed]
- Jiao, J.; Jing, W.D.; Hou, J.X.; Li, X.T.; Wang, X.X.; Xu, X.; Mao, M.X.; Xu, L. Nomogram prediction of vulnerable periodontal condition before orthodontic treatment in the anterior teeth of Chinese patients with skeletal Class III malocclusion. Acta Odontol. Scand. 2021, 79, 536–544. [Google Scholar] [CrossRef] [PubMed]
- Shi, S.; Meng, Y.; Li, W.; Jiao, J.; Meng, H.; Feng, X. A nomogram prediction for mandibular molar survival in Chinese patients with periodontitis: A 10-year retrospective cohort study. J. Clin. Periodontol. 2020, 47, 1121–1131. [Google Scholar] [CrossRef] [PubMed]
- Zhang, H.; Li, W.; Zhang, L.; Yan, X.; Shi, D.; Meng, H. A nomogram prediction of peri-implantitis in treated severe periodontitis patients: A 1-5-year prospective cohort study. Clin. Implant Dent. Relat. Res. 2018, 20, 962–968. [Google Scholar] [CrossRef]
- Ravidà, A.; Troiano, G.; Qazi, M.; Saleh, M.H.A.; Lo Russo, L.; Greenwell, H.; Giannobile, W.V.; Wang, H.L. Development of a nomogram for the prediction of periodontal tooth loss using the staging and grading system: A long-term cohort study. J. Clin. Periodontol. 2020, 47, 1362–1370. [Google Scholar] [CrossRef]
- Steyerberg, E.W.; Harrell, F.E., Jr. Prediction models need appropriate internal, internal-external, and external validation. J. Clin. Epidemiol. 2016, 69, 245–247. [Google Scholar] [CrossRef] [Green Version]




| Participant’s Demographic and Risk Factor Status | Description |
|---|---|
| D1. Age | What is your gender? |
| D2. Gender | Could you tell me your age and date of birth please? |
| D3. Ethnicity | What is your current ethnicity according to your National Registration Identity Card? |
| D4. Education | What is your highest education level? |
| D5. Housing type | What type of house do you live in? |
| D6. Monthly housing income | Over the last 12 months, what has been the total earnings or income (S$) of the household per month? |
| D7. Smoking status | Have you been told by a doctor that you have diabetes? |
| D8. Diabetes status | Which of the following best describes your smoking status (includes cigarettes, cigars and pipes)? |
| Periodontal self-report measures | |
| Q1. Upper tooth count | There are 16 teeth, including wisdom teeth, in the upper jaw. How many teeth do you have remaining in your UPPER jaw? (implants are regarded as missing) |
| Q2. Lower tooth count | There are also 16 teeth, including wisdom teeth, in the lower jaw. How many teeth do you have remaining in your LOWER jaw? (implants are regarded as missing) |
| Q3. Have gum disease | Do you think you have gum disease? |
| Q4. Lost bone | Has a dental professional ever told you that you have lost bone around your teeth? |
| Q5. Gum treatment | Have you ever had scaling, root planning, surgery or other treatment for gum disease |
| Q6. Loose tooth | Have you ever had any teeth that have become loose by themselves without some injury (not baby teeth)? |
| Q7. Tooth doesn’t look right | During the past three months have you noticed that you have a tooth that doesn’t look right |
| Q8. Gum health | How would you rate the health of your gums? |
| Q9. Mouthrinse use | How often in the last 7 days did you use mouthwash or any dental rinse product |
| Q10. Interdental aids | How often during the last 7 days, did you use dental floss, tape, or an interdental brush to clean between your teeth, other than just to remove food particles stuck between your teeth |
| Age < 45 | 45 ≤ Age ≤ 54 | 55 ≤ Age ≤ 64 | Age ≥ 65 | All | ||
|---|---|---|---|---|---|---|
| No of Participants | Unit | 30 | 37 | 49 | 39 | 155 |
| Age | Mean (SD) | 37.77 (5.1) | 50.14 (3.2) | 59.92 (2.8) | 69.72 (4.4) | 55.76 (11.8) |
| Gender | ||||||
| Female | n (%) | 14 (46.7%) | 17 (45.9%) | 24 (49.0%) | 17 (43.6%) | 72 (46.5%) |
| Male | n (%) | 16 (53.3%) | 20 (54.1%) | 25 (51.0%) | 22 (56.4%) | 83 (53.5%) |
| Ethnicity | ||||||
| Chinese | n (%) | 23 (76.7%) | 23 (62.2%) | 37 (75.5%) | 37 (94.9%) | 120 (77.4%) |
| Indian | n (%) | 6 (20.0%) | 9 (24.3%) | 7 (14.3%) | 0 (0.0%) | 22 (14.2%) |
| Malay | n (%) | 1 (3.3%) | 3 (8.1%) | 3 (6.1%) | 1 (2.6%) | 8 (5.2%) |
| Others | n (%) | 0 (0.0%) | 2 (5.4%) | 2 (4.1%) | 1 (2.6%) | 5 (3.2%) |
| Education | ||||||
| Non-tertiary | N (%) | 18 (60.0%) | 26 (70.3%) | 32 (65.3%) | 34 (87.2%) | 110 (71.0%) |
| Tertiary | n (%) | 12 (40.0%) | 11 (29.7%) | 17 (34.7%) | 5 (12.8%) | 45 (29.0%) |
| Housing type | ||||||
| Public housing | n (%) | 26 (86.7%) | 28 (75.7%) | 32 (69.6%) | 24 (63.2%) | 110 (72.8%) |
| Private housing | n (%) | 4 (13.3%) | 9 (24.3%) | 14 (30.4%) | 14 (36.8%) | 41 (27.2%) |
| Monthly household income | ||||||
| <SGD $2000 | Mean (SD) | 4 (18.2%) | 3 (9.7%) | 10 (29.4%) | 11 (55.0%) | 28 (26.2%) |
| SGD $2000–9999 | Mean (SD) | 13 (59.1%) | 24 (77.4%) | 18 (52.9%) | 8 (40.0%) | 63 (58.9%) |
| ≥SGD $10,000 | Mean (SD) | 5 (22.7%) | 4 (12.9%) | 6 (17.6%) | 1 (5.0%) | 16 (15.0%) |
| Smoking status | ||||||
| Never | n (%) | 21 (70.0%) | 29 (78.4%) | 44 (89.8%) | 30 (76.9%) | 124 (80.0%) |
| Current | n (%) | 6 (20.0%) | 4 (10.8%) | 1 (2.0%) | 0 (0.0%) | 11 (7.1%) |
| Past | n (%) | 3 (10.0%) | 4 (10.8%) | 4 (8.2%) | 9 (23.1%) | 20 (12.9%) |
| Diabetes status | ||||||
| No | n (%) | 26 (89.7%) | 32 (88.9%) | 38 (77.6%) | 25 (67.6%) | 121 (80.1%) |
| Yes | n (%) | 3 (10.3%) | 4 (11.1%) | 11 (22.4%) | 12 (32.4%) | 30 (19.9%) |
| Tooth count | Mean (SD) | 26.9 (1.56) | 25.32 (3.05) | 23.92 (4.42) | 18.38 (6.29) | 23.44 (5.31) |
| WWC classification | ||||||
| Healthy | n (%) | 8 (26.7%) | 2 (5.4%) | 11 (22.4%) | 1 (2.6%) | 22 (14.2%) |
| Stage I | n (%) | 6 (20.0%) | 7 (18.9%) | 2 (4.1%) | 2 (5.1%) | 17 (11.0%) |
| Stage II | n (%) | 3 (10.0%) | 8 (21.6%) | 11 (22.4%) | 4 (10.3%) | 26 (16.8%) |
| Stage III | n (%) | 12 (40.0%) | 15 (40.5%) | 22 (44.9%) | 19 (48.7%) | 68 (43.9%) |
| Stage IV | n (%) | 1 (3.3%) | 5 (13.5%) | 3 (6.1%) | 13 (33.3%) | 22 (14.2%) |
| Univariable | Multivariable | |||||
|---|---|---|---|---|---|---|
| Non-Severe Periodontal Disease | Severe Periodontal Disease | OR (95% CI) | p-Value | OR (95% CI) | p-Value | |
| Participant’s characteristics | ||||||
| Age | 65 | 90 | 1.04 (1.01, 1.07) | 0.004 | 1.06 (1.02, 1.11) | 0.003 |
| Gender | ||||||
| Female | 40 | 32 | Reference | Reference | ||
| Male | 25 | 58 | 2.90 (1.50, 5.61) | 0.002 | 2.84 (1.26, 6.64) | 0.013 |
| Ethnicity | ||||||
| Chinese | 54 | 66 | Reference | |||
| Non-Chinese | 11 | 24 | 1.79 (0.80, 3.97) | 0.155 | ||
| Housing type | ||||||
| Public | 50 | 60 | Reference | |||
| Private | 15 | 26 | 1.44 (0.69, 3.02) | 0.329 | ||
| Education | ||||||
| Non-Tertiary | 41 | 69 | Reference | Reference | ||
| Tertiary | 24 | 21 | 0.52 (0.26, 1.05) | 0.068 | 0.32 (0.12, 0.81) | 0.020 |
| Smoking status | ||||||
| Never | 52 | 57 | Reference | |||
| Current | 3 | 8 | 2.43 (0.61, 9.66) | 0.206 | ||
| Past | 10 | 25 | 2.28 (1.00, 5.20) | 0.050 | ||
| Diabetes status | ||||||
| No | 56 | 61 | Reference | |||
| Yes | 9 | 28 | 2.86 (1.24, 6.58) | 0.014 | ||
| Self-reported periodontal measures | ||||||
| Upper tooth count (Q1) | 65 | 90 | 0.97 (0.89, 1.05) | 0.439 | ||
| Lower tooth count (Q2) | 65 | 90 | 0.94 (0.85, 1.04) | 0.243 | ||
| Gum disease (Q3) | ||||||
| No | 47 | 41 | Reference | |||
| Yes | 13 | 37 | 3.26 (1.53, 6.96) | 0.002 | ||
| Lost bone (Q4) | ||||||
| No | 57 | 63 | Reference | Reference | ||
| Yes | 4 | 21 | 4.75 (1.54, 14.67) | 0.007 | 8.52 (2.33, 41.37) | 0.003 |
| Gum treatment (Q5) | ||||||
| No | 61 | 78 | Reference | |||
| Yes | 2 | 11 | 4.30 (0.92, 20.13) | 0.064 | ||
| Loose teeth (Q6) | ||||||
| No | 55 | 57 | Reference | Reference | ||
| Yes | 8 | 32 | 3.86 (1.64, 9.11) | 0.002 | 4.43 (1.65, 13.22) | 0.005 |
| Tooth doesn’t look right (Q7) | ||||||
| No | 49 | 52 | Reference | |||
| Yes | 15 | 33 | 2.07 (1.00, 4.28) | 0.049 | ||
| Gum health (Q8) | ||||||
| Poor/Fair | 21 | 49 | Reference | |||
| Good/Very Good/Excellent | 42 | 39 | 0.40 (0.20, 0.78) | 0.007 | ||
| Mouthrinse use (Q9) | ||||||
| No | 48 | 46 | Reference | Reference | ||
| Yes | 17 | 44 | 2.7 (1.35, 5.39) | 0.005 | 5.60 (2.25, 15.53) | <0.001 |
| Interdental aids (Q10) | ||||||
| No | 43 | 63 | Reference | |||
| Yes | 22 | 27 | 0.84 (0.42, 1.66) | 0.611 | ||
Publisher’s Note: MDPI stays neutral with regard to jurisdictional claims in published maps and institutional affiliations. |
© 2022 by the authors. Licensee MDPI, Basel, Switzerland. This article is an open access article distributed under the terms and conditions of the Creative Commons Attribution (CC BY) license (https://creativecommons.org/licenses/by/4.0/).
Share and Cite
Sim, C.P.C.; Li, H.; Peres, M.A. Who to Be Treated: Nomogram Using Self-Reported Periodontal Screening Instrument among English-Speaking Adults in Multi-Ethnic Singapore. J. Pers. Med. 2022, 12, 931. https://doi.org/10.3390/jpm12060931
Sim CPC, Li H, Peres MA. Who to Be Treated: Nomogram Using Self-Reported Periodontal Screening Instrument among English-Speaking Adults in Multi-Ethnic Singapore. Journal of Personalized Medicine. 2022; 12(6):931. https://doi.org/10.3390/jpm12060931
Chicago/Turabian StyleSim, Christina P. C., Huihua Li, and Marco A. Peres. 2022. "Who to Be Treated: Nomogram Using Self-Reported Periodontal Screening Instrument among English-Speaking Adults in Multi-Ethnic Singapore" Journal of Personalized Medicine 12, no. 6: 931. https://doi.org/10.3390/jpm12060931
APA StyleSim, C. P. C., Li, H., & Peres, M. A. (2022). Who to Be Treated: Nomogram Using Self-Reported Periodontal Screening Instrument among English-Speaking Adults in Multi-Ethnic Singapore. Journal of Personalized Medicine, 12(6), 931. https://doi.org/10.3390/jpm12060931

