Personalized Risk-Based Screening Design for Comparative Two-Arm Group Sequential Clinical Trials
Abstract
:1. Introduction
2. Personalized Risk-Based Screening Design
2.1. Motivating Trial
2.2. Design Structure
2.3. Probability Model
2.4. Personalized Allocation for Adaptive Randomization
2.5. Group Sequential Test in Personalized Randomization
- At each interim , the trial is terminated for superiority if , or the trial is terminated for futility if .
- When (i.e., at final analysis), we argue that A is superior to B if , and otherwise, A is not superior to B.
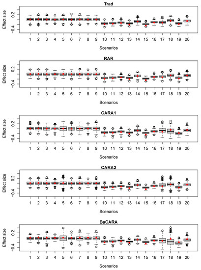
3. Simulation Study
3.1. Type I Error Rate Inflation
3.2. Evaluation of the Proposed Design: Preservation of Type I Error Rate
4. Discussion
Funding
Institutional Review Board Statement
Informed Consent Statement
Data Availability Statement
Conflicts of Interest
Appendix A. Calculation of Posterior Probability
References
- Slamon, D.J.; Leyland-Jones, B.; Shak, S.; Fuchs, H.; Paton, V.; Bajamonde, A.; Fleming, T.; Eiermann, W.; Wolter, J.; Pegram, M.; et al. Use of chemotherapy plus a monoclonal antibody against HER2 for metastatic breast cancer that overexpresses HER2. N. Engl. J. Med. 2001, 344, 783–792. [Google Scholar] [CrossRef]
- Gajria, D.; Chandarlapaty, S. HER2-amplified breast cancer: Mechanisms of trastuzumab resistance and novel targeted therapies. Expert Rev. Anticancer Ther. 2011, 11, 263–275. [Google Scholar] [CrossRef] [PubMed] [Green Version]
- Scagliotti, G.; Stahel, R.A.; Rosell, R.; Thatcher, N.; Soria, J.C. ALK translocation and crizotinib in non-small cell lung cancer: An evolving paradigm in oncology drug development. Eur. J. Cancer 2012, 48, 961–973. [Google Scholar] [CrossRef] [PubMed]
- Gandhi, L.; Jänne, P.A. Crizotinib for ALK-rearranged non–small cell lung cancer: A new targeted therapy for a new target. Clin. Cancer Res. 2012, 18, 3737–3742. [Google Scholar] [CrossRef] [PubMed] [Green Version]
- Piperdi, B.; Perez-Soler, R. Role of Erlotinib in the Treatment of Non-Small Cell Lung Cancer. Drugs 2012, 72, 11–19. [Google Scholar] [CrossRef] [Green Version]
- Landi, L.; Cappuzzo, F. Experience with erlotinib in the treatment of non-small cell lung cancer. Ther. Adv. Respir. Dis. 2015, 9, 146–163. [Google Scholar] [CrossRef] [PubMed]
- Park, Y. Review of Phase II Basket Trials for Precision Medicine. Ann. Biostat. Biom. Appl. 2019, 2. [Google Scholar] [CrossRef]
- Mandrekar, S.J.; Sargent, D.J. Clinical trial designs for predictive biomarker validation: One size does not fit all. J. Biopharm. Stat. 2009, 19, 530–542. [Google Scholar] [CrossRef] [Green Version]
- Mandrekar, S.J.; Sargent, D.J. Clinical trial designs for predictive biomarker validation: Theoretical considerations and practical challenges. J. Clin. Oncol. 2009, 27, 4027–4034. [Google Scholar] [CrossRef] [Green Version]
- Trippa, L.; Alexander, B.M. Bayesian Baskets: A Novel Design for Biomarker-Based Clinical Trials. J. Clin. Oncol. 2017, 35, 681–687. [Google Scholar] [CrossRef]
- Hu, C.; Dignam, J.J. Biomarker-driven oncology clinical trials: Key design elements, types, features, and practical considerations. JCO Precis. Oncol. 2019, 1, 1–12. [Google Scholar] [CrossRef] [PubMed]
- Simon, N.; Simon, R. Adaptive enrichment designs for clinical trials. Biostatistics 2013, 14, 613–625. [Google Scholar] [CrossRef] [PubMed]
- Park, Y.; Liu, S.; Thall, P.; Yuan, Y. Bayesian group sequential enrichment designs based on adaptive regression of response and survival time on baseline biomarkers. Biometrics 2021, 1–12. [Google Scholar] [CrossRef] [PubMed]
- Wei, L.; Durham, S. The randomized play-the-winner rule in medical trials. J. Am. Stat. Assoc. 1978, 73, 840–843. [Google Scholar] [CrossRef]
- Eisele, J.R. The doubly adaptive biased coin design for sequential clinical trials. J. Stat. Plan. Inference 1994, 38, 249–261. [Google Scholar] [CrossRef]
- Hu, F.; Zhang, L.X. Asymptotic properties of doubly adaptive biased coin designs for multitreatment clinical trials. Ann. Stat. 2004, 32, 268–301. [Google Scholar] [CrossRef]
- Villar, S.S.; Rosenberger, W.F. Covariate-adjusted response-adaptive randomization for multi-arm clinical trials using a modified forward looking Gittins index rule. Biometrics 2018, 74, 49–57. [Google Scholar] [CrossRef] [Green Version]
- Neyman, J. On the Two Different Aspects of the Representative Method: The Method of Stratified Sampling and the Method of Purposive Selection. J. R. Stat. Soc. 1934, 97, 558–606. [Google Scholar] [CrossRef]
- Rosenberger, W.F.; Stallard, N.; Ivanova, A.; Harper, C.N.; Ricks, M.L. Optimal adaptive designs for binary response trials. Biometrics 2001, 57, 909–913. [Google Scholar] [CrossRef]
- Tymofyeyev, Y.; Rosenberger, W.F.; Hu, F. Implementing optimal allocation in sequential binary response experiments. J. Am. Stat. Assoc. 2007, 102, 224–234. [Google Scholar] [CrossRef]
- Rosenberger, W.F.; Vidyashankar, A.; Agarwal, D.K. Covariate-adjusted response-adaptive designs for binary response. J. Biopharm. Stat. 2001, 11, 227–236. [Google Scholar] [CrossRef] [PubMed]
- Thall, P.F.; Wathen, J.K. Covariate-adjusted adaptive randomization in a sarcoma trial with multi-stage treatments. Stat. Med. 2005, 24, 1947–1964. [Google Scholar] [CrossRef] [PubMed]
- Eickhoff, J.C.; Kim, K.; Beach, J.; Kolesar, J.M.; Gee, J.R. A Bayesian adaptive design with biomarkers for targeted therapies. Clin. Trials 2010, 7, 546–556. [Google Scholar] [CrossRef] [PubMed] [Green Version]
- Hu, J.; Zhu, H.; Hu, F. A unified family of covariate-adjusted response-adaptive designs based on efficiency and ethics. J. Am. Stat. Assoc. 2015, 110, 357–367. [Google Scholar] [CrossRef] [PubMed] [Green Version]
- Lee, C.; McCaskill-Stevens, W. Tomosynthesis mammographic Imaging Screening Trial (TMIST): An invitation and opportunity for the National Medical Association Community to shape the future of precision screening for breast cancer. J. Natl. Med Assoc. 2020, 112, 613–618. [Google Scholar] [CrossRef] [PubMed]
- Wu, Y.; Fan, J.; Peissig, P.; Berg, R.; Tafti, A.P.; Yin, J.; Yuan, M.; Page, D.; Cox, J.; Burnside, E.S. Quantifying predictive capability of electronic health records for the most harmful breast cancer. In Medical Imaging 2018: Image Perception, Observer Performance, and Technology Assessment; International Society for Optics and Photonics: Houston, TX, USA, 2018; Volume 10577, p. 105770J. [Google Scholar]
- Tice, J.A.; Cummings, S.R.; Smith-Bindman, R.; Ichikawa, L.; Barlow, W.E.; Kerlikowske, K. Using clinical factors and mammographic breast density to estimate breast cancer risk: Development and validation of a new predictive model. Ann. Intern. Med. 2008, 148, 337–347. [Google Scholar] [CrossRef] [Green Version]
- Feld, S.I.; Fan, J.; Yuan, M.; Wu, Y.; Woo, K.M.; Alexandridis, R.; Burnside, E.S. Utility of genetic testing in addition to mammography for determining risk of breast cancer depends on patient age. AMIA Summits Transl. Sci. Proc. 2018, 2018, 81. [Google Scholar]
- Mavaddat, N.; Rebbeck, T.R.; Lakhani, S.R.; Easton, D.F.; Antoniou, A.C. Incorporating tumour pathology information into breast cancer risk prediction algorithms. Breast Cancer Res. 2010, 12, R28. [Google Scholar] [CrossRef] [Green Version]
- Black, M.H.; Li, S.; LaDuca, H.; Chen, J.; Hoiness, R.; Gutierrez, S.; Lu, H.M.; Dolinsky, J.S.; Xu, J.; Vachon, C.; et al. Polygenic risk score for breast cancer in high-risk women. J. Clin. Oncol. 2018, 36, 1508. [Google Scholar] [CrossRef]
- Van den Broek, J.J.; Schechter, C.B.; van Ravesteyn, N.T.; Janssens, A.C.J.; Wolfson, M.C.; Trentham-Dietz, A.; Simard, J.; Easton, D.F.; Mandelblatt, J.S.; Kraft, P.; et al. Personalizing breast cancer screening based on polygenic risk and family history. JNCI J. Natl. Cancer Inst. 2021, 113, 434–442. [Google Scholar] [CrossRef]
- Thall, P.; Fox, P.; Wathen, J. Statistical controversies in clinical research: Scientific and ethical problems with adaptive randomization in comparative clinical trials. Ann. Oncol. 2015, 26, 1621–1628. [Google Scholar] [CrossRef] [PubMed]
- Park, Y. Challenges and Opportunities in Biomarker-Driven Trial Design: Adaptive Randomization (accepted). Ann. Transl. Med. 2022. [Google Scholar] [CrossRef]
- Park, Y.; Fullerton, H.J.; Elm, J.J. A pragmatic, adaptive clinical trial design for a rare disease: The FOcal Cerebral Arteriopathy Steroid (FOCAS) trial. Contemp. Clin. Trials 2019, 86, 105852. [Google Scholar] [CrossRef] [PubMed] [Green Version]
- Zhu, H.; Yu, Q. A Bayesian sequential design using alpha spending function to control type I error. Stat. Methods Med. Res. 2017, 26, 2184–2196. [Google Scholar] [CrossRef] [PubMed]
- Murray, T.A.; Thall, P.F.; Yuan, Y.; McAvoy, S.; Gomez, D.R. Robust treatment comparison based on utilities of semi-competing risks in non-small-cell lung cancer. J. Am. Stat. Assoc. 2017, 112, 11–23. [Google Scholar] [CrossRef] [Green Version]
- Murray, T.A.; Thall, P.F.; Yuan, Y. Utility-based designs for randomized comparative trials with categorical outcomes. Stat. Med. 2016, 35, 4285–4305. [Google Scholar] [CrossRef] [PubMed] [Green Version]
- Shi, H.; Yin, G. Control of type I error rates in Bayesian sequential designs. Bayesian Anal. 2019, 14, 399–425. [Google Scholar] [CrossRef]
- Wathen, J.K.; Thall, P.F. A simulation study of outcome adaptive randomization in multi-arm clinical trials. Clin. Trials 2017, 14, 432–440. [Google Scholar] [CrossRef]
- Villar, S.S.; Wason, J.; Bowden, J. Response-adaptive randomization for multi-arm clinical trials using the forward looking Gittins index rule. Biometrics 2015, 71, 969–978. [Google Scholar] [CrossRef] [PubMed]
- Ryan, E.G.; Lamb, S.E.; Williamson, E.; Gates, S. Bayesian adaptive designs for multi-arm trials: An orthopaedic case study. Trials 2020, 21, 83. [Google Scholar] [CrossRef] [Green Version]
- Viele, K.; Broglio, K.; McGlothlin, A.; Saville, B.R. Comparison of methods for control allocation in multiple arm studies using response adaptive randomization. Clin. Trials 2020, 17, 52–60. [Google Scholar] [CrossRef] [PubMed]
- Albert, J.H.; Chib, S. Bayesian analysis of binary and polychotomous response data. J. Am. Stat. Assoc. 1993, 88, 669–679. [Google Scholar] [CrossRef]
- Held, L.; Holmes, C.C. Bayesian auxiliary variable models for binary and multinomial regression. Bayesian Anal. 2006, 1, 145–168. [Google Scholar] [CrossRef]


| sc. | Overall | |||||||||||||||
|---|---|---|---|---|---|---|---|---|---|---|---|---|---|---|---|---|
| 1 | 0 | 0 | 0 | 0 | 0 | 0 | 0.500 | 0.498 | 0.496 | 0.493 | 0.503 | 0.502 | 0.500 | 0.500 | 0.499 | 0.498 |
| 2 | −0.5 | 0.5 | 0 | 0 | 0 | 0 | 0.407 | 0.398 | 0.502 | 0.488 | 0.497 | 0.499 | 0.318 | 0.302 | 0.310 | 0.296 |
| 3 | −0.5 | 1 | 0 | 0 | 0 | 0 | 0.499 | 0.499 | 0.695 | 0.689 | 0.691 | 0.694 | 0.313 | 0.300 | 0.299 | 0.309 |
| 4 | −1 | 0 | 0.5 | 0 | 0 | 0 | 0.231 | 0.233 | 0.302 | 0.311 | 0.157 | 0.155 | 0.312 | 0.312 | 0.155 | 0.157 |
| 5 | −1 | 0 | 2 | 0 | 0 | 0 | 0.501 | 0.496 | 0.845 | 0.836 | 0.159 | 0.157 | 0.844 | 0.838 | 0.156 | 0.152 |
| 6 | −0.5 | 0.5 | 0.5 | 0 | 0 | 0 | 0.498 | 0.500 | 0.689 | 0.696 | 0.499 | 0.503 | 0.500 | 0.493 | 0.303 | 0.308 |
| 7 | −0.5 | 1 | 1 | 0 | 0 | 0 | 0.658 | 0.656 | 0.932 | 0.931 | 0.695 | 0.698 | 0.688 | 0.692 | 0.314 | 0.305 |
| 8 | −0.5 | −0.5 | 0.5 | 0 | 0 | 0 | 0.321 | 0.319 | 0.312 | 0.304 | 0.159 | 0.159 | 0.500 | 0.497 | 0.303 | 0.312 |
| 9 | −0.5 | −1 | 1 | 0 | 0 | 0 | 0.344 | 0.345 | 0.313 | 0.309 | 0.069 | 0.070 | 0.699 | 0.695 | 0.300 | 0.312 |
| 10 | 0 | 0 | 0 | −0.5 | 0 | 0 | 0.312 | 0.499 | 0.310 | 0.505 | 0.311 | 0.501 | 0.315 | 0.497 | 0.309 | 0.491 |
| 11 | −0.5 | 0.5 | 0 | −0.5 | 0 | 0 | 0.235 | 0.404 | 0.304 | 0.503 | 0.314 | 0.501 | 0.158 | 0.308 | 0.158 | 0.305 |
| 12 | −0.5 | −0.2 | 0 | −0.5 | 0 | 0 | 0.138 | 0.276 | 0.114 | 0.242 | 0.115 | 0.240 | 0.158 | 0.307 | 0.163 | 0.317 |
| 13 | −0.5 | 0 | 0 | −0.5 | −0.5 | 0 | 0.112 | 0.311 | 0.067 | 0.315 | 0.069 | 0.318 | 0.160 | 0.304 | 0.150 | 0.303 |
| 14 | −0.5 | 0 | 0 | −0.5 | 0.5 | 0 | 0.234 | 0.309 | 0.306 | 0.307 | 0.315 | 0.308 | 0.156 | 0.309 | 0.164 | 0.312 |
| 15 | −0.5 | 0.5 | 0 | −0.5 | −0.5 | 0 | 0.158 | 0.401 | 0.156 | 0.493 | 0.158 | 0.498 | 0.155 | 0.304 | 0.159 | 0.310 |
| 16 | −1 | 0 | 0.5 | −0.5 | 0 | 0 | 0.113 | 0.233 | 0.158 | 0.306 | 0.069 | 0.158 | 0.156 | 0.309 | 0.067 | 0.157 |
| 17 | −1 | 0 | 2 | −0.5 | 0 | 0 | 0.378 | 0.504 | 0.685 | 0.842 | 0.068 | 0.166 | 0.691 | 0.841 | 0.065 | 0.159 |
| 18 | −1 | 0 | 2 | −0.5 | 0 | 0.5 | 0.453 | 0.500 | 0.837 | 0.839 | 0.071 | 0.161 | 0.841 | 0.837 | 0.068 | 0.161 |
| 19 | 0.5 | 0.5 | −0.5 | −0.5 | 0.5 | −0.5 | 0.500 | 0.680 | 0.499 | 0.692 | 0.841 | 0.839 | 0.160 | 0.494 | 0.497 | 0.694 |
| 20 | 0.5 | 0.5 | −0.5 | −0.65 | 0.5 | 0.5 | 0.625 | 0.680 | 0.802 | 0.692 | 0.800 | 0.840 | 0.444 | 0.491 | 0.449 | 0.690 |
| sc. | (, ) | Trad | RAR | CARA1 | CARA2 | BaCARA |
|---|---|---|---|---|---|---|
| 1 | (0.500, 0.498) | 0.056 | 0.046 | 0.055 | 0.061 | 0.040 |
| 2 | (0.407, 0.398) | 0.054 | 0.052 | 0.073 | 0.059 | 0.038 |
| 3 | (0.499, 0.499) | 0.051 | 0.046 | 0.127 | 0.048 | 0.040 |
| 4 | (0.231, 0.233) | 0.044 | 0.035 | 0.075 | 0.052 | 0.031 |
| 5 | (0.501, 0.496) | 0.038 | 0.053 | 0.380 | 0.173 | 0.059 |
| 6 | (0.498, 0.500) | 0.054 | 0.056 | 0.105 | 0.046 | 0.037 |
| 7 | (0.658, 0.656) | 0.044 | 0.054 | 0.245 | 0.093 | 0.062 |
| 8 | (0.321, 0.319) | 0.040 | 0.063 | 0.094 | 0.045 | 0.039 |
| 9 | (0.344, 0.345) | 0.053 | 0.050 | 0.190 | 0.064 | 0.051 |
| 10 | (0.312, 0.499) | 0.788 | 0.793 | 0.753 | 0.796 | 0.806 |
| 11 | (0.235, 0.404) | 0.758 | 0.741 | 0.723 | 0.746 | 0.739 |
| 12 | (0.138, 0.276) | 0.735 | 0.700 | 0.663 | 0.690 | 0.684 |
| 13 | (0.112, 0.311) | 0.942 | 0.935 | 0.941 | 0.927 | 0.922 |
| 14 | (0.234, 0.309) | 0.227 | 0.230 | 0.243 | 0.220 | 0.230 |
| 15 | (0.158, 0.401) | 0.981 | 0.979 | 0.947 | 0.975 | 0.971 |
| 16 | (0.113, 0.233) | 0.615 | 0.650 | 0.625 | 0.636 | 0.648 |
| 17 | (0.378, 0.504) | 0.416 | 0.392 | 0.516 | 0.234 | 0.671 |
| 18 | (0.453, 0.500) | 0.093 | 0.095 | 0.616 | 0.276 | 0.203 |
| 19 | (0.500, 0.680) | 0.752 | 0.748 | 0.889 | 0.775 | 0.815 |
| 20 | (0.625, 0.680) | 0.149 | 0.136 | 0.267 | 0.175 | 0.189 |
| sc. | Design | Arm | Subgroups Determined by | |||
|---|---|---|---|---|---|---|
| (1,1) | (1,0) | (0,1) | (0,0) | |||
| 5 | Trad | A | 0.248 (0.044) | 0.250 (0.042) | 0.250 (0.041) | 0.252 (0.041) |
| B | 0.250 (0.042) | 0.248 (0.043) | 0.252 (0.043) | 0.250 (0.042) | ||
| RAR | A | 0.252 (0.043) | 0.250 (0.044) | 0.250 (0.043) | 0.248 (0.042) | |
| B | 0.250 (0.041) | 0.248 (0.041) | 0.252 (0.042) | 0.251 (0.042) | ||
| CARA1 | A | 0.247 (0.071) | 0.252 (0.075) | 0.249 (0.074) | 0.252 (0.074) | |
| B | 0.251 (0.071) | 0.252 (0.074) | 0.247 (0.074) | 0.250 (0.074) | ||
| CARA2 | A | 0.249 (0.065) | 0.254 (0.056) | 0.244 (0.064) | 0.253 (0.058) | |
| B | 0.241 (0.066) | 0.255 (0.058) | 0.247 (0.064) | 0.257 (0.059) | ||
| BaCARA | A | 0.250 (0.073) | 0.248 (0.071) | 0.248 (0.073) | 0.254 (0.073) | |
| B | 0.248 (0.082) | 0.253 (0.087) | 0.247 (0.088) | 0.252 (0.085) | ||
| 7 | Trad | A | 0.249 (0.041) | 0.250 (0.042) | 0.251 (0.042) | 0.250 (0.042) |
| B | 0.250 (0.044) | 0.252 (0.044) | 0.250 (0.043) | 0.248 (0.042) | ||
| RAR | A | 0.250 (0.043) | 0.250 (0.041) | 0.250 (0.042) | 0.250 (0.042) | |
| B | 0.250 (0.044) | 0.251 (0.043) | 0.250 (0.041) | 0.250 (0.042) | ||
| CARA1 | A | 0.248 (0.071) | 0.246 (0.073) | 0.254 (0.076) | 0.253 (0.081) | |
| B | 0.243 (0.074) | 0.251 (0.079) | 0.247 (0.079) | 0.259 (0.086) | ||
| CARA2 | A | 0.245 (0.065) | 0.250 (0.061) | 0.249 (0.062) | 0.255 (0.059) | |
| B | 0.246 (0.065) | 0.249 (0.061) | 0.249 (0.062) | 0.256 (0.063) | ||
| BaCARA | A | 0.244 (0.067) | 0.251 (0.067) | 0.250 (0.066) | 0.255 (0.074) | |
| B | 0.252 (0.079) | 0.249 (0.082) | 0.246 (0.081) | 0.253 (0.091) | ||
| sc. | (, ) | Trad | RAR | CARA1 | CARA2 | BaCARA |
|---|---|---|---|---|---|---|
| Difference of the number of patients between A and B | ||||||
| 10 | (0.312, 0.499) | 0.136 | 3.038 | 41.114 | 8.278 | 28.990 |
| 11 | (0.235, 0.404) | −0.398 | 2.266 | 41.812 | 7.800 | 28.904 |
| 12 | (0.138, 0.276) | 0.852 | 1.606 | 41.994 | 4.584 | 32.122 |
| 13 | (0.112, 0.311) | 0.064 | 3.082 | 48.808 | 5.256 | 27.088 |
| 14 | (0.234, 0.309) | 0.002 | 1.508 | 24.344 | 3.222 | 26.000 |
| 15 | (0.158, 0.401) | 0.924 | 2.772 | 45.148 | 7.508 | 19.454 |
| 16 | (0.113, 0.233) | 0.324 | 1.928 | 44.322 | 4.152 | 33.606 |
| 17 | (0.378, 0.504) | −0.086 | 2.042 | 43.306 | 17.598 | 32.072 |
| 18 | (0.453, 0.500) | −1.176 | 0.732 | 18.972 | 0.316 | 23.070 |
| 19 | (0.500, 0.680) | 0.652 | 2.796 | 34.500 | 9.792 | 23.950 |
| 20 | (0.625, 0.680) | −0.584 | 0.482 | 16.808 | 4.692 | 17.718 |
| Number of failures | ||||||
| 10 | (0.312, 0.499) | 73.02 | 73.31 | 69.39 | 72.81 | 61.07 |
| 11 | (0.235, 0.404) | 58.47 | 58.58 | 55.66 | 58.47 | 49.02 |
| 12 | (0.138, 0.276) | 38.66 | 39.26 | 36.22 | 38.64 | 33.29 |
| 13 | (0.112, 0.311) | 34.86 | 34.44 | 30.12 | 34.32 | 25.82 |
| 14 | (0.234, 0.309) | 55.94 | 55.92 | 53.53 | 55.48 | 48.40 |
| 15 | (0.158, 0.401) | 44.10 | 43.29 | 39.69 | 42.94 | 31.20 |
| 16 | (0.113, 0.233) | 33.47 | 33.21 | 30.78 | 32.73 | 27.54 |
| 17 | (0.378, 0.504) | 87.95 | 87.92 | 80.10 | 89.01 | 72.76 |
| 18 | (0.453, 0.500) | 99.66 | 99.71 | 87.82 | 97.74 | 84.11 |
| 19 | (0.500, 0.680) | 108.95 | 108.80 | 96.76 | 106.50 | 86.62 |
| 20 | (0.625, 0.680) | 135.25 | 134.73 | 130.58 | 133.56 | 116.36 |
Publisher’s Note: MDPI stays neutral with regard to jurisdictional claims in published maps and institutional affiliations. |
© 2022 by the author. Licensee MDPI, Basel, Switzerland. This article is an open access article distributed under the terms and conditions of the Creative Commons Attribution (CC BY) license (https://creativecommons.org/licenses/by/4.0/).
Share and Cite
Park, Y. Personalized Risk-Based Screening Design for Comparative Two-Arm Group Sequential Clinical Trials. J. Pers. Med. 2022, 12, 448. https://doi.org/10.3390/jpm12030448
Park Y. Personalized Risk-Based Screening Design for Comparative Two-Arm Group Sequential Clinical Trials. Journal of Personalized Medicine. 2022; 12(3):448. https://doi.org/10.3390/jpm12030448
Chicago/Turabian StylePark, Yeonhee. 2022. "Personalized Risk-Based Screening Design for Comparative Two-Arm Group Sequential Clinical Trials" Journal of Personalized Medicine 12, no. 3: 448. https://doi.org/10.3390/jpm12030448
APA StylePark, Y. (2022). Personalized Risk-Based Screening Design for Comparative Two-Arm Group Sequential Clinical Trials. Journal of Personalized Medicine, 12(3), 448. https://doi.org/10.3390/jpm12030448

