Influence of Renal Impairment on the Success of Reconstruction Using Microvascular Grafts—A Retrospective Study of 251 Free Flaps
Abstract
1. Introduction
2. Materials and Methods
2.1. Inclusion Criteria
2.2. Patients’ Data Acquisition
- Patient data (name, age, date of birth, gender)
- Preoperative (previous operations, concomitant diseases/pretreatments with possible effect on wound healing, etiology of the defect, histology of the defect, preoperative radiological findings, localization of the defect, blood parameters)
- Surgery (date, type of graft resection limits, ischemia time, duration of surgery, surgical technique, graft, complications during anastomosis)
- Inpatient stay (wound healing process, complications, length of stay)
- Postoperative course (sensitivity disorders, pain, pressure sensitivity, skin conditions, scar conditions, complications, blood parameters)
2.3. Statistical Analysis
3. Results
3.1. Descriptives
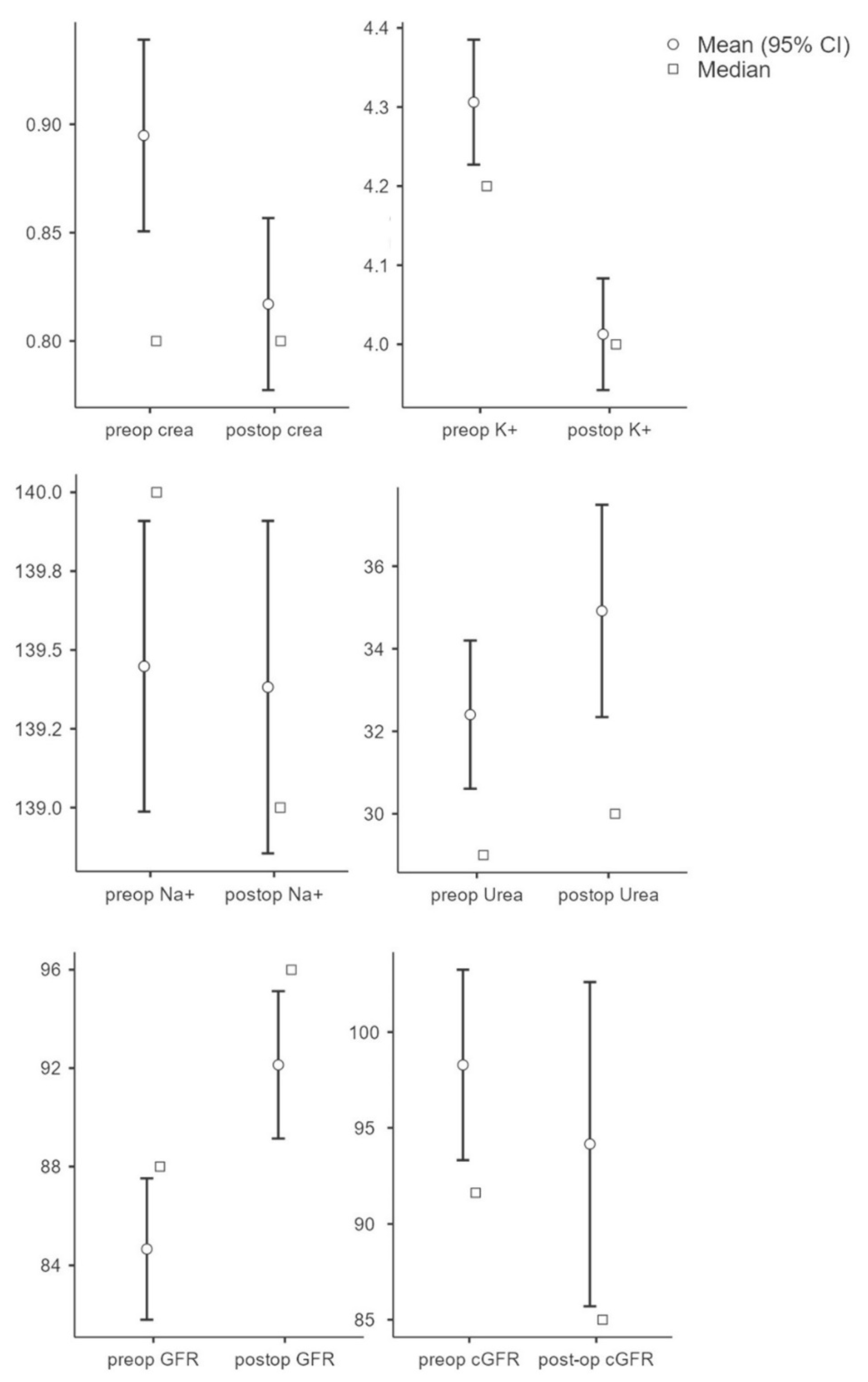
3.2. Comparison of Pre- and Postoperative Values
3.3. Predictive Power of the Parameters
3.4. Cut-off Creatinine 1.2 mg/dL
3.5. Creatinine
4. Discussion
5. Conclusions
Author Contributions
Funding
Institutional Review Board Statement
Informed Consent Statement
Data Availability Statement
Conflicts of Interest
References
- Nagel, T.H.; Hayden, R.E. Mayo Clinic Experience with Unfavorable Results After Free Tissue Transfer to Head and Neck. Clin. Plast. Surg. 2016, 43, 669–682. [Google Scholar] [CrossRef] [PubMed]
- Grammatica, A.; Piazza, C.; Paderno, A.; Taglietti, V.; Marengoni, A.; Nicolai, P. Free flaps in head and neck reconstruction after oncologic surgery: Expected outcomes in the elderly. Otolaryngol. Head Neck Surg. 2015, 152, 796–802. [Google Scholar] [CrossRef] [PubMed]
- Genden, E.M.; Rinaldo, A.; Suárez, C.; Wei, W.I.; Bradley, P.J.; Ferlito, A. Complications of free flap transfers for head and neck reconstruction following cancer resection. Oral Oncol. 2004, 40, 979–984. [Google Scholar] [CrossRef]
- Talbot, S.G.; Pribaz, J.J. First aid for failing flaps. J. Reconstr. Microsurg. 2010, 26, 513–515. [Google Scholar] [CrossRef]
- Ishimaru, M.; Ono, S.; Suzuki, S.; Matsui, H.; Fushimi, K.; Yasunaga, H. Risk Factors for Free Flap Failure in 2,846 Patients with Head and Neck Cancer: A National Database Study in Japan. J. Oral Maxillofac. Surg. 2016, 74, 1265–1270. [Google Scholar] [CrossRef]
- Manrique, O.J.; Ciudad, P.; Sharaf, B.; Martinez-Jorge, J.; Moran, S.; Mardini, S.; Chen, H.-C.; Bite, U.; Cheng, H.-T. Free Tissue Transfers for Head and Neck Reconstruction in Patients with End-Stage Renal Disease on Dialysis: Analysis of Outcomes Using the Taiwan National Health Insurance Research Database. J. Reconstr. Microsurg. 2017, 33, 587–591. [Google Scholar] [CrossRef] [PubMed]
- Patel, S.A.; Chang, E.I. Principles and practice of reconstructive surgery for head and neck cancer. Surg. Oncol. Clin. North Am. 2015, 24, 473–489. [Google Scholar] [CrossRef]
- Patel, K.M.; Economides, J.M.; Franklin, B.; Sosin, M.; Attinger, C.; Ducic, I. Correlating patient-reported outcomes and ambulation success following microsurgical lower extremity reconstruction in comorbid patients. Microsurgery 2014, 34, 1–4. [Google Scholar] [CrossRef]
- Kuo, Y.-R.; Jeng, S.-F.; Lin, K.-M.; Hou, S.-J.; Su, C.-Y.; Chien, C.-Y.; Hsueh, K.-L.; Huang, E.-Y. Microsurgical tissue transfers for head and neck reconstruction in patients with alcohol-induced mental disorder. Ann. Surg. Oncol. 2008, 15, 371–377. [Google Scholar] [CrossRef]
- Huang, C.-C.; Chang, C.-H.; Hsu, H.; Mark Chiu, C.-H.; Lin, C.-M.; Lee, J.-T.; Chien, S.-H. Endovascular revascularization and free tissue transfer for lower limb salvage. J. Plast. Reconstr. Aesthet. Surg. 2014, 67, 1407–1414. [Google Scholar] [CrossRef]
- Hsu, H.; Chang, C.-H.; Lee, C.-Y.; Huang, C.-C.; Mark Chiu, C.-H.; Lin, C.-M.; Lee, J.-T.; Chien, S.-H. A comparison between combined open bypass revascularization and free tissue transfer versus endovascular revascularization and free tissue transfer for lower limb preservation. Microsurgery 2015, 35, 518–527. [Google Scholar] [CrossRef]
- Endara, M.; Ducic, I.; Attinger, C. Free Tissue Transfer for Limb Salvage in High-Risk Patients: Worth the Risk. Adv. Wound Care 2013, 2, 63–68. [Google Scholar] [CrossRef] [PubMed]
- Moran, S.L.; Salgado, C.J.; Serletti, J.M. Free tissue transfer in patients with renal disease. Plast. Reconstr. Surg. 2004, 113, 2006–2011. [Google Scholar] [CrossRef]
- Houlton, J.J.; Bevans, S.E.; Futran, N.D. Unfavorable Results After Free Tissue Transfer to Head and Neck: Lessons Learned at the University of Washington. Clin. Plast. Surg. 2016, 43, 683–693. [Google Scholar] [CrossRef] [PubMed]
- Chang, E.I.; Hanasono, M.M.; Butler, C.E. Management of Unfavorable Outcomes in Head and Neck Free Flap Reconstruction: Experience-Based Lessons from the MD Anderson Cancer Center. Clin. Plast. Surg. 2016, 43, 653–667. [Google Scholar] [CrossRef] [PubMed]
- Etzioni, D.A.; Liu, J.H.; Maggard, M.A.; Ko, C.Y. The aging population and its impact on the surgery workforce. Ann. Surg. 2003, 238, 170–177. [Google Scholar] [CrossRef]
- Crippen, M.M.; Ganti, R.S.; Xu, V.; Swendseid, B.; Tzeng, D.L.; Curry, J. Outcomes in Head and Neck Free Flap Reconstruction Among Patients with a History of Venous Thromboembolism. Otolaryngol. Head Neck Surg. 2022, 166, 267–273. [Google Scholar] [CrossRef]
- Uchino, S.; Kellum, J.A.; Bellomo, R.; Doig, G.S.; Morimatsu, H.; Morgera, S.; Schetz, M.; Tan, I.; Bouman, C.; Macedo, E.; et al. Acute renal failure in critically ill patients: A multinational, multicenter study. JAMA 2005, 294, 813–818. [Google Scholar] [CrossRef] [PubMed]
- Bellomo, R.; Kellum, J.A.; Ronco, C. Acute kidney injury. Lancet 2012, 380, 756–766. [Google Scholar] [CrossRef]
- Hoste, E.A.J.; Bagshaw, S.M.; Bellomo, R.; Cely, C.M.; Colman, R.; Cruz, D.N.; Edipidis, K.; Forni, L.G.; Gomersall, C.D.; Govil, D.; et al. Epidemiology of acute kidney injury in critically ill patients: The multinational AKI-EPI study. Intensive Care Med. 2015, 41, 1411–1423. [Google Scholar] [CrossRef]
- Chawla, L.S.; Amdur, R.L.; Shaw, A.D.; Faselis, C.; Palant, C.E.; Kimmel, P.L. Association between AKI and long-term renal and cardiovascular outcomes in United States veterans. Clin. J. Am. Soc. Nephrol. 2014, 9, 448–456. [Google Scholar] [CrossRef] [PubMed]
- Coca, S.G.; Singanamala, S.; Parikh, C.R. Chronic kidney disease after acute kidney injury: A systematic review and meta-analysis. Kidney Int. 2012, 81, 442–448. [Google Scholar] [CrossRef] [PubMed]
- Liyanage, T.; Ninomiya, T.; Jha, V.; Neal, B.; Patrice, H.M.; Okpechi, I.; Zhao, M.; Lv, J.; Garg, A.X.; Knight, J.; et al. Worldwide access to treatment for end-stage kidney disease: A systematic review. Lancet 2015, 385, 1975–1982. [Google Scholar] [CrossRef]
- Hanasono, M.M.; Matros, E.; Disa, J.J. Important aspects of head and neck reconstruction. Plast. Reconstr. Surg. 2014, 134, 968e–980e. [Google Scholar] [CrossRef] [PubMed]
- Kuo, P.-J.; Wu, S.-C.; Chien, P.-C.; Chang, S.-S.; Rau, C.-S.; Tai, H.-L.; Peng, S.-H.; Lin, Y.-C.; Chen, Y.-C.; Hsieh, H.-Y.; et al. Artificial neural network approach to predict surgical site infection after free-flap reconstruction in patients receiving surgery for head and neck cancer. Oncotarget 2018, 9, 13768–13782. [Google Scholar] [CrossRef] [PubMed]
- Chien, S.-H.; Huang, C.-C.; Hsu, H.; Chiu, C.-H.M.; Lin, C.-M.; Tsai, J.-P. Free tissue transfers for limb salvage in patients with end-stage renal disease on dialysis. Plast. Reconstr. Surg. 2011, 127, 1222–1228. [Google Scholar] [CrossRef]
- Mlekusch, W.; Exner, M.; Sabeti, S.; Amighi, J.; Schlager, O.; Wagner, O.; Minar, E.; Schillinger, M. Serum creatinine predicts mortality in patients with peripheral artery disease: Influence of diabetes and hypertension. Atherosclerosis 2004, 175, 361–367. [Google Scholar] [CrossRef]
- Shuman, A.G.; Hu, H.M.; Pannucci, C.J.; Jackson, C.R.; Bradford, C.R.; Bahl, V. Stratifying the Risk of Venous Thromboembolism in Otolaryngology. Otolaryngol. Head Neck Surg. 2012, 146, 719–724. [Google Scholar] [CrossRef]
- Lee, Y.K.; Park, K.Y.; Koo, Y.T.; Baek, R.M.; Heo, C.Y.; Eun, S.C.; Lee, T.S.; Lee, K.M.; Kim, B.K. Analysis of multiple risk factors affecting the result of free flap transfer for necrotising soft tissue defects of the lower extremities in patients with type 2 diabetes mellitus. J. Plast. Reconstr. Aesthet. Surg. 2014, 67, 624–628. [Google Scholar] [CrossRef]
- Lin, P.-C.; Kuo, P.-J.; Kuo, S.C.H.; Chien, P.-C.; Hsieh, C.-H. Risk factors associated with postoperative complications of free anterolateral thigh flap placement in patients with head and neck cancer: Analysis of propensity score-matched cohorts. Microsurgery 2020, 40, 538–544. [Google Scholar] [CrossRef]
- Huber, M.; Ozrazgat-Baslanti, T.; Thottakkara, P.; Scali, S.; Bihorac, A.; Hobson, C. Cardiovascular-Specific Mortality and Kidney Disease in Patients Undergoing Vascular Surgery. JAMA Surg. 2016, 151, 441–450. [Google Scholar] [CrossRef] [PubMed]
- Soltanizadeh, S.; Jensen, K.K.; Nordklint, A.K.; Jørgensen, H.L.; Jørgensen, L.N. Even minor alteration of plasma creatinine after open abdominal surgery is associated with 30-day mortality: A single-centre cohort study. J. Visc. Surg. 2021. [Google Scholar] [CrossRef] [PubMed]
- Palevsky, P.M.; Liu, K.D.; Brophy, P.D.; Chawla, L.S.; Parikh, C.R.; Thakar, C.V.; Tolwani, A.J.; Waikar, S.S.; Weisbord, S.D. KDOQI US commentary on the 2012 KDIGO clinical practice guideline for acute kidney injury. Am. J. Kidney Dis. 2013, 61, 649–672. [Google Scholar] [CrossRef] [PubMed]
- Zarbock, A.; Küllmar, M.; Ostermann, M.; Lucchese, G.; Baig, K.; Cennamo, A.; Rajani, R.; McCorkell, S.; Arndt, C.; Wulf, H.; et al. Prevention of Cardiac Surgery-Associated Acute Kidney Injury by Implementing the KDIGO Guidelines in High-Risk Patients Identified by Biomarkers: The PrevAKI-Multicenter Randomized Controlled Trial. Anesth. Analg. 2021, 133, 292–302. [Google Scholar] [CrossRef]


| Total | |
|---|---|
| Age | |
| Years (Mean ±SD) | 61.4 ± 14.9 |
| Gender | |
| Male | 136 (54.2%) |
| Female | 115 (45.8.6%) |
| Diagnosis | |
| tumor disease | 68.5% (n = 172) |
| secondary reconstruction | 20.7% (n = 52) |
| osteoradionecrosis, | 6.8% (n = 17) |
| osteomyelitis | 1.2% (n = 3) |
| MONJ | 1.2% (n = 3) |
| no further classification | 1.6% (n = 4) |
| Flap design | |
| Fascio-cutaneous, musculocutaneous | 13.1% (n = 33) 24.3% (n = 61) |
| osteo-musculocutaneous | 62.5% (n = 157) |
| Anastomosis | |
| arterial anastomosis end-to-end end-to-side venous anastomosis | 98.8% (n = 248) 1.2% (n = 3) |
| end-to-end | 80.5% (n = 202) |
| end-to-side | 19.5% (n = 50) |
| Complications | |
| Pedicle thrombosis | 31.1% (n = 78) |
| Ischemia | 46.8% (n = 36) |
| Congestion Graft failure Mortality | 53.2% (n = 41) 19.5% (n = 49) 5.2% (n = 13) |
| Hospital stay (days) | |
| Mean ± SD | 37.4 ± 33.3 |
| Maximum | 7 |
| Minimum | 246 |
| Model Coefficients—Complications | Model Fit Measures | Predictive Measures * | |||||||||||||
|---|---|---|---|---|---|---|---|---|---|---|---|---|---|---|---|
| 95% Confidence Interval | Overall Model Test | ||||||||||||||
| Predictor | Estimate | SE | Z | p | Odds Ratio | Lower | Upper | Model | R2N | χ2 | df | p | Accuracy | Specificity | Sensitivity |
| Intercept | 0.321 | 0.381 | 0.843 | 0.399 | 1.379 | 0.653 | 2.91 | ||||||||
| preop creatinine | −0.68 | 0.411 | −1.66 | 0.098 | 0.507 | 0.227 | 1.13 | 1 | 0.0163 | 3.07 | 1 | 0.08 | 0.566 | 0.986 | 0.00926 |
| Intercept | −2.378 | 1.031 | −2.31 | 0.021 | 0.0927 | 0.0123 | 0.7 | ||||||||
| preop potassium | 0.485 | 0.238 | 2.04 | 0.042 | 1.6242 | 1.0182 | 2.591 | 1 | 0.0242 | 4.47 | 1 | 0.04 | 0.589 | 0.929 | 0.133 |
| Intercept | 13.843 | 5.3817 | 2.57 | 0.01 | 1,030,000 | 26.99 | 39,200,000,000.00 | ||||||||
| preop sodium | −0.101 | 0.0386 | −2.63 | 0.009 | 0.904 | 0.838 | 0.975 | 1 | 0.0387 | 7.2 | 1 | 0.01 | 0.614 | 0.865 | 0.276 |
| Intercept | 0.0429 | 0.3201 | 0.134 | 0.893 | 1.044 | 0.557 | 1.95 | ||||||||
| preop urea | −0.0103 | 0.009 | −1.15 | 0.252 | 0.99 | 0.972 | 1.01 | 1 | 0.00735 | 1.35 | 1 | 0.25 | 0.577 | 1 | 0.00952 |
| Intercept | −1.2114 | 0.514 | −2.36 | 0.018 | 0.298 | 0.109 | 0.816 | ||||||||
| preop GFR | 0.0107 | 0.0058 | 1.85 | 0.064 | 1.011 | 0.999 | 1.022 | 1 | 0.0192 | 3.52 | 1 | 0.06 | 0.582 | 0.929 | 0.115 |
| Intercept | −0.56957 | 0.3394 | −1.68 | 0.093 | 0.566 | 0.291 | 1.1 | ||||||||
| preop cGFR | 0.00293 | 0.0032 | 0.921 | 0.357 | 1.003 | 0.997 | 1.01 | 1 | 0.00455 | 0.852 | 1 | 0.36 | 0.574 | 0.986 | 0.0278 |
| Model Coefficients—Mortality | Model Fit Measures | Predictive Measures | |||||||||||||
| 95% Confidence Interval | Overall Model Test | ||||||||||||||
| Predictor | Estimate | SE | Z | p | Odds ratio | Lower | Upper | Model | R2N | χ2 | df | p | Accuracy | Specificity | Sensitivity |
| Intercept | −1.026 | 0.357 | −2.87 | 0.004 | 0.358 | 0.178 | 0.722 | ||||||||
| preop creatinine | 0.396 | 0.366 | 1.08 | 0.279 | 1.485 | 0.725 | 3.041 | 1 | 0.00645 | 1.17 | 1 | 0.28 | 0.665 | 1 | 0.0118 |
| Intercept | −2.023 | 1.006 | −2.01 | 0.044 | 0.132 | 0.0184 | 0.95 | ||||||||
| preop potassium | 0.313 | 0.231 | 1.36 | 0.175 | 1.368 | 0.8698 | 2.151 | 1 | 0.0104 | 1.86 | 1 | 0.17 | 0.663 | 0.994 | 0.012 |
| Intercept | 6.0173 | 5.3743 | 1.12 | 0.263 | 410.452 | 0.0109 | 15,400,000.00 | ||||||||
| preop sodium | −0.048 | 0.0386 | −1.24 | 0.213 | 0.953 | 0.8837 | 1.03 | 1 | 0.00868 | 1.55 | 1 | 0.21 | 0.663 | 1 | 0 |
| Intercept | −1.1456 | 0.329 | −3.48 | <0 .001 | 0.318 | 0.167 | 0.606 | ||||||||
| preop urea | 0.0141 | 0.0089 | 1.59 | 0.113 | 1.014 | 0.997 | 1.032 | 1 | 0.0141 | 2.51 | 1 | 0.11 | 0.663 | 0.982 | 0.0361 |
| Intercept | −0.38779 | 0.5113 | −0.76 | 0.448 | 0.679 | 0.249 | 1.85 | ||||||||
| preop GFR | −0.00347 | 0.0059 | −0.59 | 0.554 | 0.997 | 0.985 | 1.01 | 1 | 0.00199 | 0.35 | 1 | 0.55 | 0.664 | 1 | 0 |
| Intercept | −0.32829 | 0.3592 | −0.91 | 0.361 | 0.72 | 0.356 | 1.46 | ||||||||
| preop cGFR | −0.0035 | 0.0035 | −1.01 | 0.311 | 0.997 | 0.99 | 1 | 1 | 0.00582 | 1.06 | 1 | 0.3 | 0.661 | 1 | 0 |
| Model Coefficients—Failure of the graft | Model Fit Measures | Predictive Measures | |||||||||||||
| 95% Confidence Interval | Overall Model Test | ||||||||||||||
| Predictor | Estimate | SE | Z | p | Odds ratio | Lower | Upper | Model | R2N | χ2 | df | p | Accuracy | Specificity | Sensitivity |
| Intercept | −0.527 | 0.364 | −1.45 | 0.148 | 0.591 | 0.289 | 1.2 | ||||||||
| preop creatinine | −0.12 | 0.381 | −0.32 | 0.752 | 0.887 | 0.421 | 1.87 | 1 | 0.00056 | 0.101 | 1 | 0.75 | 0.653 | 1 | 0 |
| Intercept | −2.21 | 1.012 | −2.18 | 0.029 | 0.11 | 0.0151 | 0.798 | ||||||||
| preop potassium | 0.361 | 0.232 | 1.55 | 0.121 | 1.434 | 0.9096 | 2.262 | 1 | 0.0138 | 2.46 | 1 | 0.12 | 0.663 | 0.994 | 0.0238 |
| Intercept | 5.8768 | 5.362 | 1.1 | 0.273 | 356.649 | 0.0097 | 13,100,000.00 | ||||||||
| preop sodium | −0.0469 | 0.0385 | −1.22 | 0.223 | 0.954 | 0.8848 | 1.03 | 1 | 0.0083 | 1.48 | 1 | 0.22 | 0.659 | 1 | 0 |
| Intercept | −0.74203 | 0.3265 | −2.27 | 0.023 | 0.476 | 0.251 | 0.903 | ||||||||
| preop urea | 0.00258 | 0.009 | 0.287 | 0.774 | 1.003 | 0.985 | 1.02 | 1 | 0.00046 | 0.082 | 1 | 0.77 | 0.659 | 1 | 0 |
| Intercept | −0.83085 | 0.5188 | −1.6 | 0.109 | 0.436 | 0.158 | 1.2 | ||||||||
| preop GFR | 0.00198 | 0.0059 | 0.337 | 0.736 | 1.002 | 0.99 | 1.01 | 1 | 0.00065 | 0.114 | 1 | 0.74 | 0.66 | 1 | 0 |
| Intercept | −0.27449 | 0.3576 | −0.77 | 0.443 | 0.76 | 0.377 | 1.53 | ||||||||
| preop cGFR | −0.00369 | 0.0035 | −1.07 | 0.284 | 0.996 | 0.99 | 1 | 1 | 0.0065 | 1.19 | 1 | 0.28 | 0.653 | 1 | 0 |
Publisher’s Note: MDPI stays neutral with regard to jurisdictional claims in published maps and institutional affiliations. |
© 2022 by the authors. Licensee MDPI, Basel, Switzerland. This article is an open access article distributed under the terms and conditions of the Creative Commons Attribution (CC BY) license (https://creativecommons.org/licenses/by/4.0/).
Share and Cite
Moellmann, H.L.; Karnatz, N.; Degirmenci, I.; Gyurova, A.; Sellin, L.; Rana, M. Influence of Renal Impairment on the Success of Reconstruction Using Microvascular Grafts—A Retrospective Study of 251 Free Flaps. J. Pers. Med. 2022, 12, 1744. https://doi.org/10.3390/jpm12101744
Moellmann HL, Karnatz N, Degirmenci I, Gyurova A, Sellin L, Rana M. Influence of Renal Impairment on the Success of Reconstruction Using Microvascular Grafts—A Retrospective Study of 251 Free Flaps. Journal of Personalized Medicine. 2022; 12(10):1744. https://doi.org/10.3390/jpm12101744
Chicago/Turabian StyleMoellmann, Henriette L., Nadia Karnatz, Ilkan Degirmenci, Antonina Gyurova, Lorenz Sellin, and Majeed Rana. 2022. "Influence of Renal Impairment on the Success of Reconstruction Using Microvascular Grafts—A Retrospective Study of 251 Free Flaps" Journal of Personalized Medicine 12, no. 10: 1744. https://doi.org/10.3390/jpm12101744
APA StyleMoellmann, H. L., Karnatz, N., Degirmenci, I., Gyurova, A., Sellin, L., & Rana, M. (2022). Influence of Renal Impairment on the Success of Reconstruction Using Microvascular Grafts—A Retrospective Study of 251 Free Flaps. Journal of Personalized Medicine, 12(10), 1744. https://doi.org/10.3390/jpm12101744

