Cognitive Processes during Recovery: Moving toward Personalized Spine Surgery Outcomes
Abstract
1. Introduction
2. Materials and Methods
2.1. Sample and Design
2.2. Measures
2.3. Statistical Analysis
3. Results
3.1. Sample
3.2. Change in Outcomes over Time
3.3. Association of Appraisal with ODI
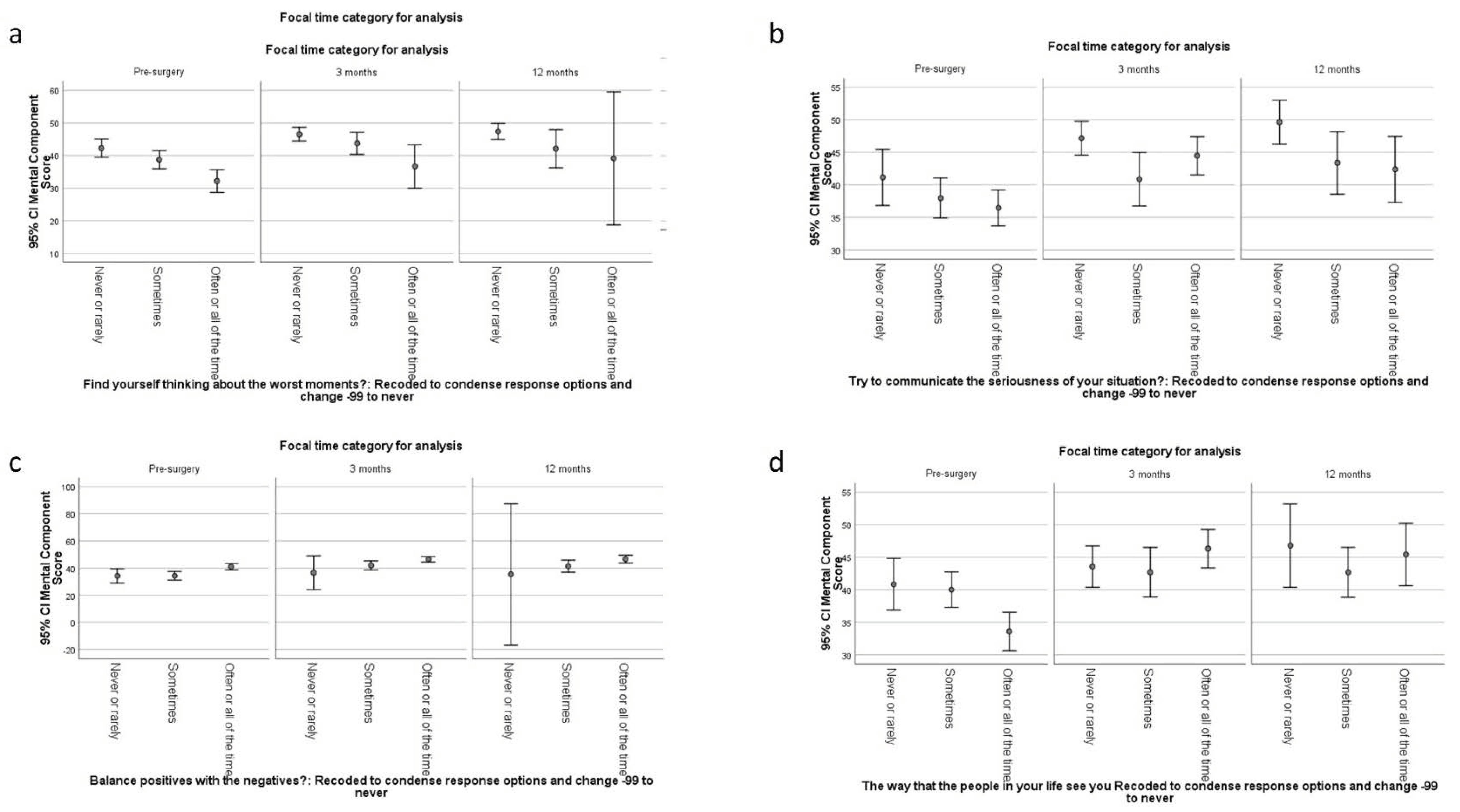
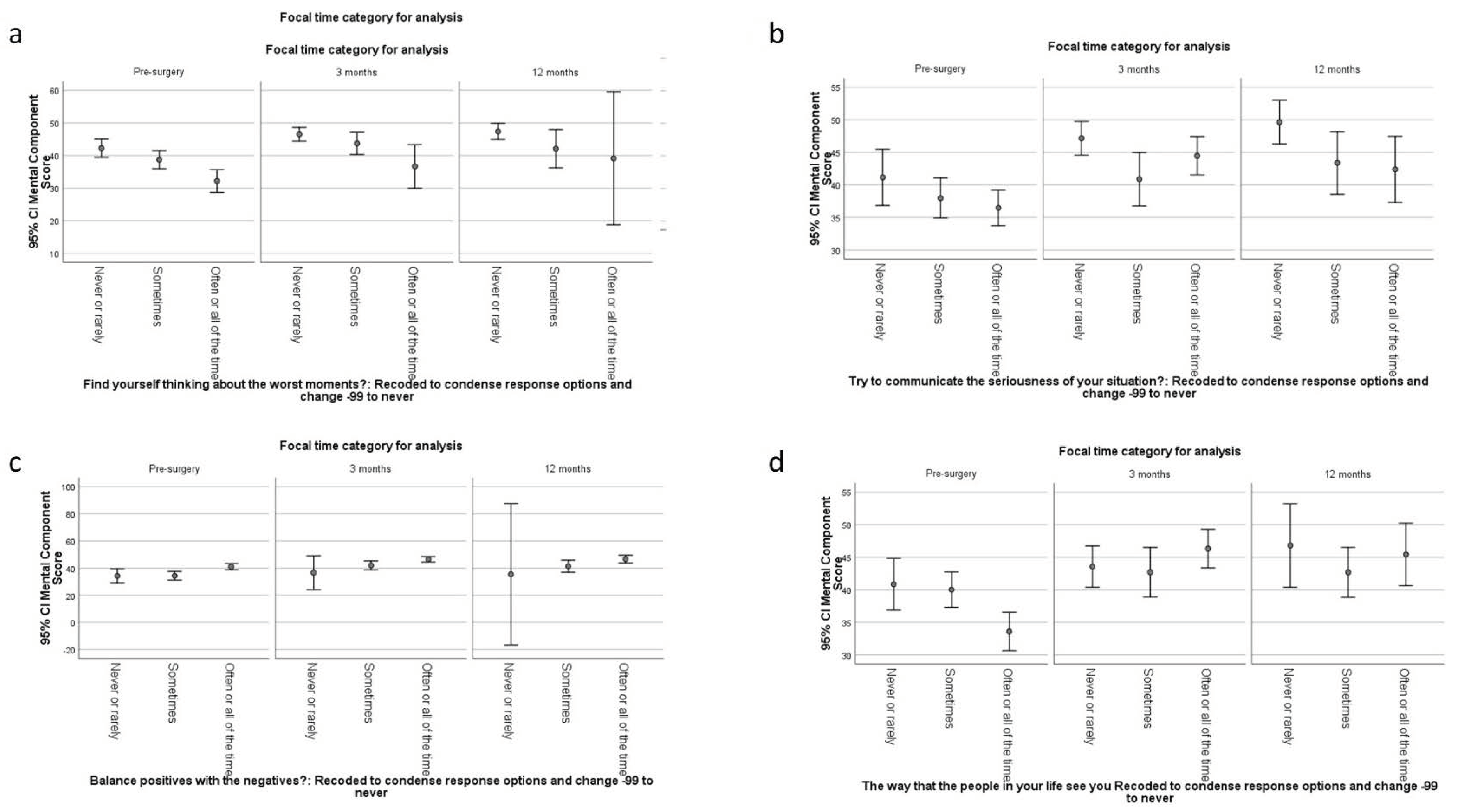
3.4. Association of Appraisal with MCS Mental-Health Functioning
4. Discussion
5. Clinical Implications
6. Limitations
7. Conclusions
Author Contributions
Funding
Institutional Review Board Statement
Informed Consent Statement
Data Availability Statement
Acknowledgments
Conflicts of Interest
References
- Charlton, V. Stratified, personalised or P4 medicine: A new direction for placing the patient at the centre of healthcare and health education. In Forum Academy of Medical Sciences; Academy of Medical Sciences: London, UK, May 2015. [Google Scholar]
- Cirillo, D.; Valencia, A. Big data analytics for personalized medicine. Curr. Opin. Biotechnol. 2019, 58, 161–167. [Google Scholar] [CrossRef] [PubMed]
- Goetz, L.H.; Schork, N.J. Personalized medicine: Motivation, challenges, and progress. Fertil. Steril. 2018, 109, 952–963. [Google Scholar] [CrossRef]
- Lorenzo-Luaces, L.; Peipert, A.; Romero, R.D.J.; Rutter, L.A.; Rodriguez-Quintana, N. Personalized Medicine and Cognitive Behavioral Therapies for Depression: Small Effects, Big Problems, and Bigger Data. Int. J. Cogn. Ther. 2020, 14, 59–85. [Google Scholar] [CrossRef]
- Barrecheguren, M.; Bourbeau, J. Self-management strategies in chronic obstructive pulmonary disease: A first step toward personalized medicine. Curr. Opin. Pulm. Med. 2018, 24, 191–198. [Google Scholar] [CrossRef]
- Hollister, B.; Bonham, V.L. Should electronic health record-derived social and behavioral data be used in precision medicine research? AMA J. Ethics 2018, 20, 873–880. [Google Scholar]
- Li, Y.; Rapkin, B.D. Classification and regression tree analysis to identify complex cognitive paths underlying quality of life response shifts: A study of individuals living with HIV/AIDS. J. Clin. Epidemiol. 2009, 62, 1138–1147. [Google Scholar] [CrossRef] [PubMed]
- Rapkin, B.D.; Schwartz, C.E. Distilling the essence of appraisal: A mixed methods study of people with multiple sclerosis. Qual. Life Res. 2015, 25, 793–805. [Google Scholar] [CrossRef]
- Rapkin, B.; Weiss, E.; Chhabra, R.; Ryniker, L.; Patel, S.; Carness, J.; Adsuar, R.; Kahalas, W.; DeLaMarter, C.; Feldman, I.; et al. Beyond satisfaction: Using the Dynamics of Care assessment to better understand patients’ experiences in care. Health Qual. Life Outcomes 2008, 6, 20. [Google Scholar] [CrossRef]
- Schwartz, C.E.; Michael, W.; Rapkin, B.D. Resilience to health challenges is related to different ways of thinking: Mediators of physical and emotional quality of life in a heterogeneous rare-disease cohort. Qual. Life Res. 2017, 26, 3075–3088. [Google Scholar] [CrossRef]
- Schwartz, C.E.; Powell, V.E.; Rapkin, B.D. When global rating of change contradicts observed change: Examining appraisal processes underlying paradoxical responses over time. Qual. Life Res. 2016, 26, 847–857. [Google Scholar] [CrossRef]
- Schwartz, C.E.; Zhang, J.; Rapkin, B.D.; Finkelstein, J.A. Reconsidering the minimally important difference: Evidence of instability over time and across groups. Spine J. 2018, 19, 726–734. [Google Scholar] [CrossRef] [PubMed]
- Finkelstein, J.A. Measurement of appraisal is a valuable adjunct to the current spine outcome tools: A clinician’s perspective on the Rapkin and Schwartz commentary. Qual. Life Res. 2019, 28, 2631–2632. [Google Scholar] [CrossRef]
- Turk, D.C. Understanding pain sufferers: The role of cognitive processes. Spine J. 2004, 4, 1–7. [Google Scholar] [CrossRef]
- Finkelstein, J.A.; Stark, R.B.; Lee, J.; Schwartz, C.E. Patient factors that matter in predicting spine surgery outcomes: A machine learning approach. J. Neurosurgery Spine 2021, 35, 127–136. [Google Scholar] [CrossRef] [PubMed]
- Sniderman, J.; Stark, R.B.; Schwartz, C.E.; Imam, H.; Finkelstein, J.A.; Nousiainen, M.T. Patient Factors That Matter in Predicting Hip Arthroplasty Outcomes: A Machine-Learning Approach. J. Arthroplast. 2021, 36, 2024–2032. [Google Scholar] [CrossRef]
- Rapkin, B.D.; Schwartz, C.E. Advancing quality-of-life research by deepening our understanding of response shift: A unifying theory of appraisal. Qual. Life Res. 2019, 28, 2623–2630. [Google Scholar] [CrossRef] [PubMed]
- Schwartz, C.E.; Quaranto, B.R.; Rapkin, B.D.; Healy, B.C.; Vollmer, T.; Sprangers, M.A.G. Fluctuations in appraisal over time in the context of stable versus non-stable health. Qual. Life Res. 2013, 23, 9–19. [Google Scholar] [CrossRef]
- Rapkin, B.D.; Garcia, I.; Michael, W.; Zhang, J.; Schwartz, C.E. Distinguishing appraisal and personality influences on quality of life in chronic illness: Introducing the quality-of-life Appraisal Profile version 2. Qual. Life Res. 2017, 26, 2815–2829. [Google Scholar] [CrossRef]
- Rapkin, B.D.; Schwartz, C.E. Toward a theoretical model of quality-of-life appraisal: Implications of findings from studies of response shift. Health Qual. Life Outcomes 2004, 2, 14. [Google Scholar] [CrossRef]
- Schwartz, C.E.; Stark, R.B.; Rapkin, B.D. Capturing patient experience: Does quality-of-life appraisal entail a new class of measurement? J. Patient-Rep. Outcomes 2020, 4, 85. [Google Scholar] [CrossRef]
- Schwartz, C.E.; Finkelstein, J.A.; Rapkin, B.D. Appraisal assessment in patient-reported outcome research: Methods for uncovering the personal context and meaning of quality of life. Qual. Life Res. 2016, 26, 545–554. [Google Scholar] [CrossRef] [PubMed]
- Ghogawala, Z.; Dziura, J.; Butler, W.E.; Dai, F.; Terrin, N.; Magge, S.N.; Coumans, J.-V.C.; Harrington, J.F.; Amin-Hanjani, S.; Schwartz, J.S.; et al. Laminectomy plus Fusion versus Laminectomy Alone for Lumbar Spondylolisthesis. N. Engl. J. Med. 2016, 374, 1424–1434. [Google Scholar] [CrossRef] [PubMed]
- Försth, P.; Ólafsson, G.; Carlsson, T.; Frost, A.; Borgström, F.; Fritzell, P.; Öhagen, P.; Michaëlsson, K.; Sandén, B. A randomized, controlled trial of fusion surgery for lumbar spinal stenosis. NEJM 2016, 374, 1413–1423. [Google Scholar] [CrossRef] [PubMed]
- Alchemer. com; Alchemer: Boulder, CO, USA, 2019.
- Fairbank, J.C.; Pynsent, P.B. The Oswestry Disability Index. Spine 2000, 25, 2940–2952. [Google Scholar] [CrossRef]
- Ware, J.E., Jr.; Sherbourne, C.D. The MOS 36-item short-form health survey (SF-36). I. Conceptual framework and item selection. Med. Care 1992, 30, 473–483. [Google Scholar] [CrossRef]
- Hays, R.D.; Sherbourne, C.D.; Mazel, R.M. The rand 36-item health survey 1.0. Health Econ. 1993, 2, 217–227. [Google Scholar] [CrossRef]
- Hays, R.D.; Morales, L.S. The RAND-36 measure of health-related quality of life. Ann. Med. 2001, 33, 350–357. [Google Scholar] [CrossRef]
- Ware, J.E.J.; Kosinski, M.; Dewey, J.E. How to Score Version 2 of the SF-36 Health Survey (Standard & Acute Forms); Quality Metric INCORPORATED: Johnston, RI, USA, 2001. [Google Scholar]
- Hays, R.D.; Prince-Embury, S.; Chen, H. RAND-36 Health Status Inventory; Psychological Corporation: San Antonio, TX, USA, 1998. [Google Scholar]
- Schwartz, C.E.; Stark, R.B.; Rapkin, B.D. Creating idiometric short-form measures of cognitive appraisal: Balancing theory and pragmatics. J. Patient-Rep. Outcomes 2021, 5, 1–15. [Google Scholar] [CrossRef]
- Sangha, O.; Stucki, G.; Liang, M.H.; Fossel, A.H.; Katz, J.N. The self-administered comorbidity questionnaire: A new method to assess comorbidity for clinical and health services research. Arthritis Care Res. 2003, 49, 156–163. [Google Scholar] [CrossRef]
- Cohen, J. A power primer. Psych. Bull. 1992, 112, 155–159. [Google Scholar] [CrossRef]
- IBM. IBM SPSS Statistics for Windows, 26th ed.; IBM Corp: Armonk, NY, USA, 2019. [Google Scholar]
- Nilsdotter, A.K.; Lohmander, L.S.; Klässbo, M.; Roos, E.M. Hip disability and osteoarthritis outcome score (HOOS)–validity and responsiveness in total hip replacement. BMC Musculoskelet. Disord. 2003, 4, 10–18. [Google Scholar] [CrossRef] [PubMed]
- Schwartz, C.E.; Rapkin, B.D.; Sniderman, J.; Finkelstein, J.A. Appraisal and patient-reported outcomes following total hip arthroplasty: A longitudinal cohort study. J. Patient-Rep. Outcomes 2022, 6, 1–13. [Google Scholar] [CrossRef] [PubMed]
- Burgess, L.C.; Arundel, J.; Wainwright, T.W. The Effect of Preoperative Education on Psychological, Clinical and Economic Outcomes in Elective Spinal Surgery: A Systematic Review. Healthcare 2019, 7, 48. [Google Scholar] [CrossRef] [PubMed]
- Ljungqvist, O.; Scott, M.; Fearon, K.C. Enhanced recovery after surgery: A review. JAMA Surg. 2017, 152, 292–298. [Google Scholar] [CrossRef] [PubMed]
- Elsarrag, M.; Soldozy, S.; Patel, P.; Norat, P.; Sokolowski, J.D.; Park, M.S.; Tvrdik, P.; Kalani, M.Y.S. Enhanced recovery after spine surgery: A systematic review. Neurosurg. Focus 2019, 46, E3. [Google Scholar] [CrossRef]
- Woby, S.R.; Roach, N.K.; Urmston, M.; Watson, P.J. Outcome following a physiotherapist-led intervention for chronic low back pain: The important role of cognitive processes. Physiotherapy 2008, 94, 115–124. [Google Scholar] [CrossRef]
- Wynter-Blyth, V.; Moorthy, K. Prehabilitation: Preparing patients for surgery. BMJ 2017, 358, j3702. [Google Scholar] [CrossRef]
- Ditmyer, M.M.; Topp, R.; Pifer, M. Prehabilitation in Preparation for Orthopaedic Surgery. Orthop. Nurs. 2002, 21, 43–54. [Google Scholar] [CrossRef]
- Scheede-Bergdahl, C.; Minnella, E.; Carli, F. Multi-modal prehabilitation: Addressing the why, when, what, how, who and where next? Anaesthesia 2019, 74, 20–26. [Google Scholar] [CrossRef]
- Finkelstein, J.A.; Borowiec, K.; Schwartz, C.E. Reconsidering Follow-Up in Spine Surgery Outcomes Research: An Analysis of Attrition and Necessary Length of Follow-Up; International Society of Orthopaedic Centers, Ltd.: Milan, Italy, 2022. [Google Scholar]
- Edwards, N.M.; Varnum, C.; Overgaard, S.; Pedersen, A.B. Impact of socioeconomic status on the 90-and 365-day rate of revision and mortality after primary total hip arthroplasty: A cohort study based on 103,901 patients with osteoarthritis from national databases in Denmark. Acta Orthop. 2021, 92, 581–588. [Google Scholar] [CrossRef]




| Variable | Mean | Standard Deviation (SD) |
|---|---|---|
| Age | 59.5 | 16.0 |
| Range | 18–88 | |
| Comorbidities *, out of 12 presented | 0.8 | 1.2 |
| Range | 0–7 | |
| Follow-up Time in Days | ||
| At 3 months | 88.6 | 8.3 |
| Range | 75–105 | |
| At 12 months | 369.3 | 5.8 |
| Range | 360–380 | |
| Gender | ||
| Male | 120 | 51% |
| Female | 114 | 49% |
| Prefer not to answer | 1 | 0% |
| Diagnoses * | ||
| Disc Herniation | ||
| Yes | 75 | 32% |
| No | 127 | 54% |
| Missing | 33 | 14% |
| Radiculopathy/sciatica | ||
| Yes | 28 | 12% |
| No | 174 | 74% |
| Missing | 33 | 14% |
| Spinal stenosis with neurogenic claudication | ||
| Yes | 129 | 55% |
| No | 73 | 31% |
| Missing | 33 | 14% |
| Spondylolisthesis (Lytic) | ||
| Yes | 9 | 4% |
| No | 193 | 82% |
| Missing | 33 | 14% |
| Spondylolisthesis (degenerative) | ||
| Yes | 42 | 18% |
| No | 160 | 68% |
| Missing | 33 | 14% |
| Primary Procedure | ||
| Lami/disc | 152 | 65% |
| Instr/fusion along | 27 | 11% |
| Instr/fusion w lami disc | 46 | 20% |
| Missing | 10 | 4% |
| Pain Medicine Frequency | ||
| Not at all | 27 | 11% |
| Once a week | 41 | 17% |
| Once every couple days | 15 | 6% |
| Once or twice a day | 55 | 23% |
| 3 or more times a day | 63 | 27% |
| Missing | 34 | 14% |
| Specific Comorbidities * (back pain excluded) | ||
| Anemia | 3 | 1% |
| Cancer | 7 | 3% |
| Depression | 21 | 9% |
| Diabetes | 18 | 8% |
| Heart disease | 14 | 6% |
| High blood pressure | 52 | 22% |
| Kidney disease | 5 | 2% |
| Liver disease | 2 | 1% |
| Lung disease | 5 | 2% |
| Osteoarthritis, degenerative arthritis | 32 | 14% |
| Ulcer or stomach disease | 4 | 2% |
| Smoking Status | ||
| Never smoked/used tobacco | 108 | 46% |
| Used to smoke/use tobacco | 85 | 36% |
| Currently smoke/use tobacco | 22 | 9% |
| Missing | 20 | 9% |
| Level of Education | ||
| Less than high school | 16 | 7% |
| Graduated from high school or GED | 29 | 12% |
| Some college or technical school | 31 | 13% |
| Completed technical school (college) | 7 | 3% |
| Graduated from college | 53 | 23% |
| Postgraduate school or degree | 45 | 19% |
| Missing | 54 | 23% |
| Time Window | |||
|---|---|---|---|
| QOLAPv2-SF Item | Pre-Surgery | 3 Mos. Post Surgery | 12 Mos. Post Surgery |
| Sampling of Experience Items | |||
| Worst moments | 0.06 | 0.00 | 0.05 |
| Emphasize positive | 0.01 | 0.01 | 0.04 |
| Recent few weeks | 0.00 | 0.07 | 0.02 |
| Relevant past 3 mo. | 0.01 | 0.02 | 0.04 |
| Balance positive/negative | 0.01 | 0.06 | 0.03 |
| Recent flare-ups | 0.01 | 0.05 | 0.01 |
| Future | 0.00 | 0.03 | 0.02 |
| Focus on spinal condition | 0.01 | 0.08 | 0.06 |
| Relationships | 0.03 | 0.02 | 0.03 |
| Doctor told | 0.03 | 0.02 | 0.01 |
| Only for survey | 0.02 | 0.00 | 0.01 |
| First reaction | 0.01 | 0.06 | 0.00 |
| Not complain | 0.02 | 0.01 | 0.00 |
| Seriousness | 0.10 | 0.08 | 0.04 |
| Standards of Comparison Items | |||
| Others with spinal condition | 0.00 | 0.00 | 0.06 |
| Healthy others | 0.02 | 0.02 | 0.13 |
| Doctor said | 0.02 | 0.03 | 0.03 |
| Perfect health | 0.04 | 0.00 | 0.08 |
| Life working for | 0.06 | 0.02 | 0.00 |
| Way others see you | 0.02 | 0.00 | 0.08 |
| People your age | 0.02 | 0.01 | 0.00 |
| Time before health condition | 0.02 | 0.03 | 0.02 |
| Sampling of Experience Average | 0.02 | 0.04 | 0.03 |
| Standards of Comparison Average | 0.03 | 0.01 | 0.05 |
| Time Window | |||
|---|---|---|---|
| QOLAPv2-SF Item | Pre-Surgery | 3 Mos. Post Surgery | 12 Mos. Post Surgery |
| Sampling of Experience Items | |||
| Worst moments | 0.14 | 0.14 | 0.11 |
| Emphasize positive | 0.05 | 0.10 | 0.07 |
| Recent few weeks | 0.02 | 0.04 | 0.09 |
| Relevant past 3 mo. | 0.02 | 0.00 | 0.07 |
| Balance positive/negative | 0.10 | 0.12 | 0.12 |
| Recent flare-ups | 0.05 | 0.05 | 0.06 |
| Future | 0.02 | 0.01 | 0.10 |
| Focus on spinal condition | 0.00 | 0.08 | 0.04 |
| Relationships | 0.02 | 0.04 | 0.05 |
| Doctor told | 0.01 | 0.01 | 0.01 |
| Only for survey | 0.02 | 0.03 | 0.02 |
| First reaction | 0.01 | 0.03 | 0.01 |
| Not complain | 0.03 | 0.07 | 0.04 |
| Seriousness | 0.03 | 0.07 | 0.12 |
| Standards of Comparison Items | |||
| Others with spinal condition | 0.04 | 0.03 | 0.07 |
| Healthy others | 0.03 | 0.00 | 0.08 |
| Doctor said | 0.01 | 0.01 | 0.01 |
| Perfect health | 0.03 | 0.05 | 0.04 |
| Life working for | 0.01 | 0.00 | 0.08 |
| Way others see you | 0.09 | 0.03 | 0.03 |
| People your age | 0.03 | 0.07 | 0.02 |
| Time before health condition | 0.02 | 0.10 | 0.02 |
| Sampling of Experience Average | 0.04 | 0.06 | 0.07 |
| Standards of Comparison Average | 0.03 | 0.04 | 0.05 |
Publisher’s Note: MDPI stays neutral with regard to jurisdictional claims in published maps and institutional affiliations. |
© 2022 by the authors. Licensee MDPI, Basel, Switzerland. This article is an open access article distributed under the terms and conditions of the Creative Commons Attribution (CC BY) license (https://creativecommons.org/licenses/by/4.0/).
Share and Cite
Schwartz, C.E.; Rapkin, B.D.; Borowiec, K.; Finkelstein, J.A. Cognitive Processes during Recovery: Moving toward Personalized Spine Surgery Outcomes. J. Pers. Med. 2022, 12, 1545. https://doi.org/10.3390/jpm12101545
Schwartz CE, Rapkin BD, Borowiec K, Finkelstein JA. Cognitive Processes during Recovery: Moving toward Personalized Spine Surgery Outcomes. Journal of Personalized Medicine. 2022; 12(10):1545. https://doi.org/10.3390/jpm12101545
Chicago/Turabian StyleSchwartz, Carolyn E., Bruce D. Rapkin, Katrina Borowiec, and Joel A. Finkelstein. 2022. "Cognitive Processes during Recovery: Moving toward Personalized Spine Surgery Outcomes" Journal of Personalized Medicine 12, no. 10: 1545. https://doi.org/10.3390/jpm12101545
APA StyleSchwartz, C. E., Rapkin, B. D., Borowiec, K., & Finkelstein, J. A. (2022). Cognitive Processes during Recovery: Moving toward Personalized Spine Surgery Outcomes. Journal of Personalized Medicine, 12(10), 1545. https://doi.org/10.3390/jpm12101545

