mRNA Detection in Anal Cytology: A Feasible Approach for Anal Cancer Screening in Men Who Have Sex with Men Living With HIV
Abstract
1. Introduction
2. Materials and Methods
2.1. Study Design and Case Selection
2.2. Cytology Sampling, High-Resulution Anoscopy and Biopsy
2.3. Liquid-Based Cytology, Histological Diagnosis and HPV Testing
2.4. RNA Isolation, Reverse Transcriptase PCR (RT-PCR) and qPCR
2.5. Data Analysis
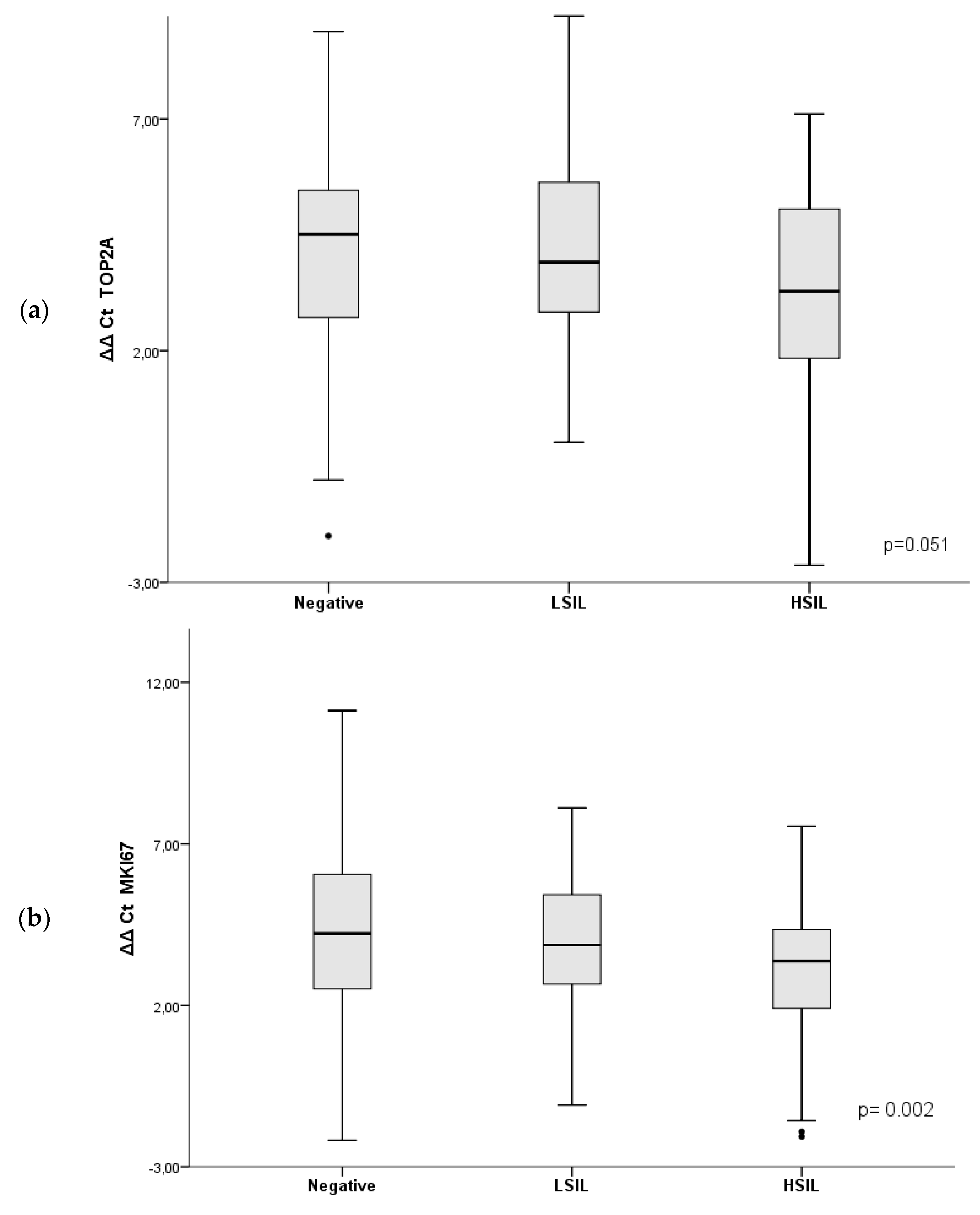
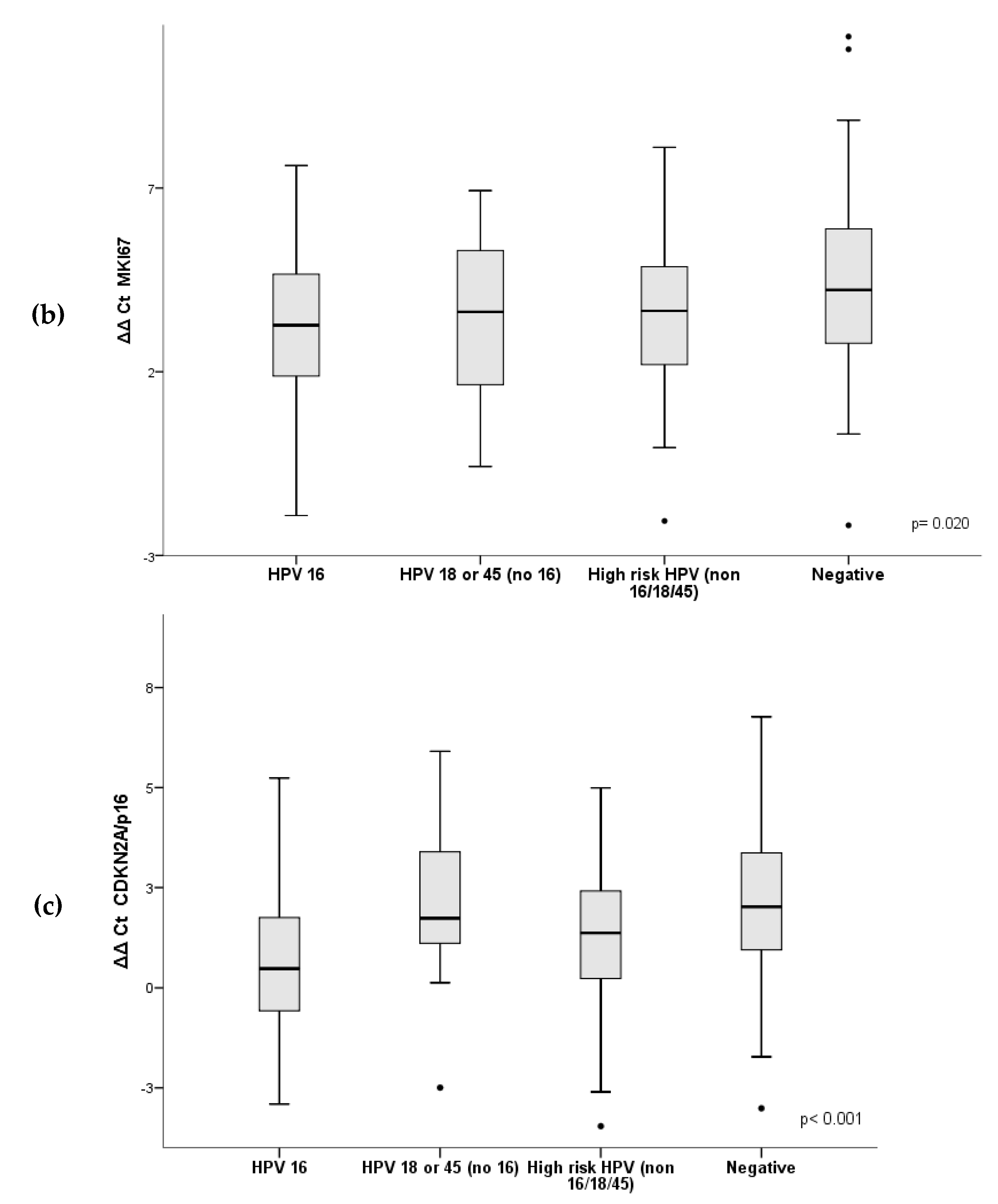
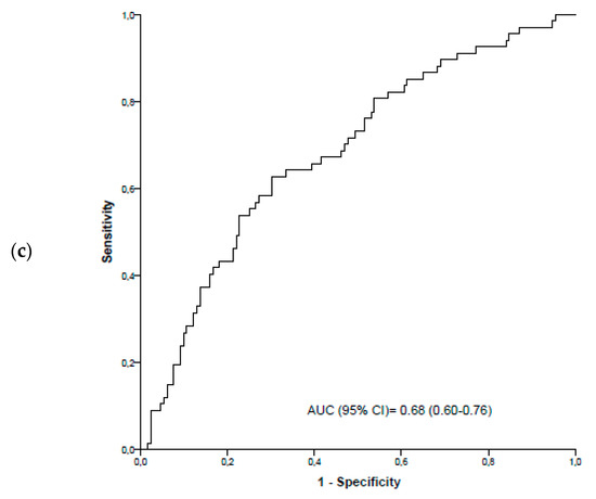
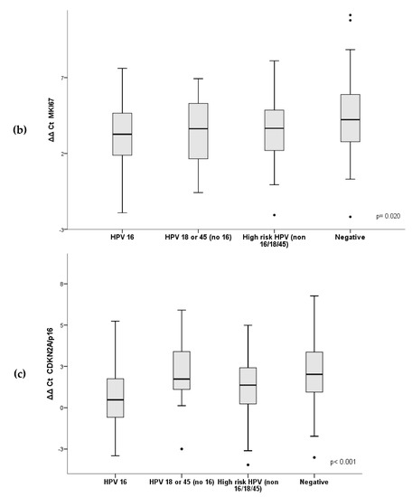
3. Results
4. Discussion
Author Contributions
Funding
Acknowledgments
Conflicts of Interest
References
- Clarke, M.A.; Wentzensen, N. Strategies for Screening and Early Detection of Anal Cancers: A Narrative and Systematic Review and Meta-Analysis of Cytology, HPV Testing, and Other Biomarkers. Cancer Cytopathol. 2018, 126, 447–460. [Google Scholar] [CrossRef] [PubMed]
- Silverberg, M.J.; Lau, B.; Justice, A.C.; Engels, E.; Gill, M.J.; Goedert, J.J.; Kirk, G.D.; D’Souza, G.; Bosch, R.J.; Brooks, J.T.; et al. Risk of anal cancer in HIV-infected and HIV-uninfected individuals in North America. Clin. Infect. Dis. 2012, 54, 1026–1034. [Google Scholar] [CrossRef] [PubMed]
- D’Souza, G.; Wiley, D.J.; Li, X.; Chmiel, J.S.; Margolick, J.B.; Cranston, R.D.; Jacobson, L.P. Incidence and epidemiology of anal cancer in the Multicenter AIDS Cohort Study (MACS). J. Acquir. Immune Defic. Syndr. 2008, 48, 491–499. [Google Scholar] [CrossRef] [PubMed]
- Bregar, A.J.; Cronin, B.; Luis, C.; Disilvestro, P.; Schechter, S.; Pisharodi, L.; Raker, C.; Clark, M.; Robison, K. Anal and Cervical High-Risk Human Papillomavirus Genotyping in Women with and Without Genital Neoplasia. J. Low. Genit. Tract Dis. 2018, 22, 115–119. [Google Scholar] [CrossRef]
- Robison, K.; Cronin, B.; Bregar, A.; Luis, C.; Disilvestro, P.; Schechter, S.; Pisharodi, L.; Raker, C.; Clark, M. Anal cytology and human papillomavirus genotyping in women with a history of lower genital tract neoplasia compared with low-risk women. Obstet. Gynecol. 2015, 126, 1294–1300. [Google Scholar] [CrossRef] [PubMed]
- Ferlay, J.; Soerjomataram, I.; Ervik, M.; Dikshit, R.; Eser, S.; Mathers, C.; Rebelo, M.; Parkin, D.M.; Forman, D.; Bray, F. GLOBOCAN 2012 v1.0, Cancer Incidence and Mortality Worldwide: IARC CancerBase. No. 11. International Agency for Research on Cancer: Lyon, France. Available online: http://globocan.iarc.fr (accessed on 2 November 2019).
- Machalek, D.; Poynten, M.; Jin, F. Anal human papillomavirus infection and associated neoplastic lesions in men who have sex with men: A systematic review and meta-analysis. Lancet Oncol. 2012, 13, 487–500. [Google Scholar] [CrossRef]
- Wentzensen, N.; Clarke, M.A. From clinical epidemiology to practice recommendations: Knowledge gaps and uncertainty in the management of anal precancers. Cancer 2017, 123, 4530–4534. [Google Scholar] [CrossRef] [PubMed]
- Nowak, R.; Gravitt, P.; He, X.; Ketende, S.; Dauda, W.; Omuhm, H.; Blattner, W.A.; Charurat, M.E. Prevalence of Anal High-Risk Human Papillomavirus Infections Among HIV-Positive and HIV-Negative Men Who Have Sex With Men in Nigeria. Sex Transm. Dis. 2016, 43, 243–248. [Google Scholar] [CrossRef] [PubMed]
- Drabeni, M.; Clemente, L.; Moise, G.M.; Bon, L.; Fontana, F. Anal HPV infection among HIV positive and negative sexually active men who have sex with men. Int. J. STD AIDS 2015, 26, 69. [Google Scholar]
- Lin, C.; Franceschi, S.; Clifford, G.M. Human papillomavirus types from infection to cancer in the anus, according to sex and HIV status: A systematic review and meta-analysis. Lancet Infect. Dis. 2018, 18, 198–206. [Google Scholar] [CrossRef]
- Del Pino, M.; Svanholm-Barrie, C.; Torné, A.; Marimon, L.; Gaber, J.; Sagasta, A.; Persing, D.H.; Ordi, J. mRNA biomarker detection in liquid-based cytology: A new approach in the prevention of cervical cancer. Mod. Pathol. 2015, 28, 312–320. [Google Scholar] [CrossRef] [PubMed]
- Sendagorta, E.; Romero, M.P.; Bernardino, J.I.; Beato, M.J.; Alvarez-Gallego, M.; Herranz, P. Human papillomavirus mRNA testing for the detection of anal high-grade squamous intraepithelial lesions in men who have sex with men infected with HIV. J. Med. Virol. 2015, 87, 1397–1403. [Google Scholar] [CrossRef] [PubMed]
- Dietrich, A.; Hermans, C.; Heppt, M.V.; Ruzicka, T.; Schauber, J.; Reinholz, M. Human papillomavirus status, anal cytology and histopathological outcome in HIV-positive patients. J. Eur. Acad. Dermatol. Venereol. 2015, 29, 2011–2018. [Google Scholar] [CrossRef] [PubMed]
- Roberts, J.M.; Jin, F.; Poynten, I.M.; Law, C.; Templeton, D.J.; Thurloe, J.K. Histological outcomes of anal high-grade cytopredictions. Cancer Cytopathol. 2018, 126, 136–144. [Google Scholar] [CrossRef] [PubMed]
- Molano, M.; Tabrizi, S.N.; Garland, S.M.; Roberts, J.M.; MacHalek, D.A.; Phillips, S.; Chandler, D.; Hillman, R.J.; Grulich, A.E.; Jin, F.; et al. CpG methylation analysis of hpv16 in laser capture microdissected archival tissue and whole tissue sections from high grade anal squamous intraepithelial lesions: A potential disease biomarker. PLoS ONE 2010. [Google Scholar] [CrossRef]
- Mills, A.M.; Dirks, D.C.; Poulter, M.D.; Mills, S.E.; Stoler, M.H. HR-HPV E6/E7 mRNA in situ hybridization. Validation against PCR, DNA in situ hybridization, and p16 immunohistochemistry in 102 samples of cervical, vulvar, anal, and head and neck neoplasia. Am. J. Surg. Pathol. 2017, 41, 607–615. [Google Scholar] [CrossRef]
- Kaplan, J.E.; Benson, C.; Holmes, K.K.; Brooks, J.T.; Pau, A.; Masur, H.; Pau, A. Guidelines for prevention and treatment of opportunistic infections in HIV-infected adults and adolescents: Recommendations from CDC, the National Institutes of Health, and the HIV Medicine Association of the Infectious Diseases Society of America. MMWR Recomm. Reports Morb. Mortal. Wkly. Report Recomm. Reports 2009, 58, 1–207. [Google Scholar]
- Del Pino, M.; Sierra, A.; Marimon, L.; Delgado, C.M.; Rodriguez-Trujillo, A.; Barnadas, E.; Saco, A.; Torné, A.; Ordi, J. CADM1, MAL, and mir124 promoter methylation as biomarkers of transforming cervical intrapithelial lesions. Int. J. Mol. Sci. 2019. [Google Scholar] [CrossRef]
- Solomon, D.; Davey, D.; Kurman, R.; Moriarty, A.; O’Connor, D.; Prey, M.; Raab, S.; Sherman, M.; Wilbur, D.; Wright, T., Jr.; et al. The 2001 Bethesda System: Terminology for reporting results of cervical cytology. J. Am. Med. Assoc. 2002, 287, 2114–2119. [Google Scholar] [CrossRef]
- Darragh, T.M.; Colgan, T.J.; Cox, J.T.; Heller, D.S.; Henry, M.R.; Luff, R.D.; McCalmont, T.; Nayar, R.; Palefsky, J.M.; Stoler, M.H.; et al. The Lower Anogenital Squamous Terminology Standardization Project for HPV-Associated Lesions: Background and Consensus Recommendations from the College of American Pathologists and the American Society for Colposcopy and Cervical Pathology. Arch. Pathol. Lab. Med. 2012, 136, 1266–1297. [Google Scholar] [CrossRef]
- Darragh, T.M.; Colgan, T.J.; Thomas Cox, J.; Heller, D.S.; Henry, M.R.; Luff, R.D.; McCalmont, T.; Nayar, R.; Palefsky, J.M.; Stoler, M.H.; et al. The Lower Anogenital Squamous Terminology Standardization project for HPV-associated lesions: Background and consensus recommendations from the College of American Pathologists and the American Society for Colposcopy and Cervical Pathology. Int. J. Gynecol. Pathol. 2013, 32, 76–115. [Google Scholar] [CrossRef] [PubMed]
- Clavero, O.; McCloskey, J.; Molina, V.M.; Quirós, B.; Bravo, I.G.; de Sanjosé, S.; Bosch, F.X.; Pimenoff, V.N. Squamous intraepithelial lesions of the anal squamocolumnar junction: Histopathological classification and HPV genotyping. Papillomavirus Res. 2017. [Google Scholar] [CrossRef] [PubMed]
- Cox, J.T.; Castle, P.E.; Behrens, C.M.; Sharma, A.; Wright, T.C.; Cuzick, J. Comparison of cervical cancer screening strategies incorporating different combinations of cytology, HPV testing, and genotyping for HPV 16/18: Results from the ATHENA HPV study. Am. J. Obstet. Gynecol. 2013, 208. [Google Scholar] [CrossRef] [PubMed]
- Schmittgen, T.D.; Zakrajsek, B.A.; Mills, A.G.; Gorn, V.; Singer, M.J.; Reed, M.W. Quantitative reverse transcription-polymerase chain reaction to study mRNA decay: Comparison of endpoint and real-time methods. Anal. Biochem. 2000, 285, 194–204. [Google Scholar] [CrossRef] [PubMed]
- Rao, X.; Huang, X.; Zhou, Z..; Lin, X. An improvement of the 2ˆ(-delta delta CT) method for quantitative real-time polymerase chain reaction data analysis. Biostat. Bioinforma. Biomath. 2013, 3, 71–85. [Google Scholar] [CrossRef]
- De Campos, R.P.; Schultz, I.C.; de Andrade Mello, P.; Davies, S.; Gasparin, M.S.; Bertoni, A.P.; Buffon, A.; Wink, M.R. Cervical cancer stem-like cells: Systematic review and identification of reference genes for gene expression. Cell Biol. Int. 2018. [Google Scholar] [CrossRef]
- Fu, J.; Cheng, J.; Liu, X.; Li, J.; Wei, C.; Zheng, X.; He, T.; Fu, J. Evaluation genotypes of cancer cell lines HCC1954 and SiHa by short tandem repeat (STR) analysis and DNA sequencing. Mol. Biol. Rep. 2018. [Google Scholar] [CrossRef]
- Jin, F.; Grulich, A.E.; Poynten, I.M.; Hillman, R.J.; Templeton, D.J.; Law, C.L.H.; Farnsworth, A.; Garland, S.M.; Fairley, C.K.; Roberts, J.M.; et al. The performance of anal cytology as a screening test for anal HSILs in homosexual men. Cancer Cytopathol. 2016, 124, 415–424. [Google Scholar] [CrossRef]
- Wentzensen, N.; Arbyn, M.; Berkhof, J.; Bower, M.; Canfell, K.; Einstein, M.; Farley, C.; Monsonego, J.; Franceschi, S. Eurogin 2016 Roadmap: How HPV knowledge is changing screening practice. Int. J. Cancer 2017, 140, 2192–2200. [Google Scholar] [CrossRef]
- Wentzensen, N.; Follansbee, S.; Borgonovo, S.; Tokugawa, D.; Schwartz, L.; Lorey, T.S.; Sahasrabuddhe, V.V.; Lamere, B.; Gage, J.C.; Fetterman, B.; et al. HPV genotyping, HPV mRNA expression, and p16/Ki-67 cytology to detect anal cancer precursors in HIV-infected men who have sex with men. AIDS 2012, 26, 2185–2192. [Google Scholar] [CrossRef]
- Phanuphak, N.; Teeratakulpisarn, N.; Keelawat, S.; Pankam, T.; Barisri, J.; Triratanachat, S.; Deesua, A.; Rodbamrung, P.; Wongsabut, J.; Tantbirojn, P.; et al. Use of human papillomavirus DNA, E6/E7 mRNA, and p16 immunocytochemistry to detect and predict anal high-grade squamous intraepithelial lesions in HIV-positive and HIV-negative men who have sex with men. PLoS ONE 2013. [Google Scholar] [CrossRef] [PubMed]
- Cuschieri, K.S.; Beattie, G.; Hassan, S.; Robertson, K.; Cubie, H. Assessment of human papillomavirus mRNA detection over time in cervical specimens collected in liquid based cytology medium. J. Virol. Methods 2005, 124, 211–215. [Google Scholar] [CrossRef] [PubMed]
- Martin, C.M.; Astbury, K.; McEvoy, L.; O’Toole, S.; Sheils, O.; O’Leary, J.J. Gene expression profiling in cervical cancer: Identification of novel markers for disease diagnosis and therapy. Methods Mol. Biol. 2009, 511, 333–359. [Google Scholar] [CrossRef] [PubMed]
- Alemany, L.; Saunier, M.; Alvarado-Cabrero, I.; Quirõs, B.; Salmeron, J.; Shin, H.R.; Pirog, E.C.; Guimerà, N.; Hernandez-Suarez, G.; Felix, A.; et al. Human papillomavirus DNA prevalence and type distribution in anal carcinomas worldwide. Int. J. Cancer 2015, 136, 98–107. [Google Scholar] [CrossRef] [PubMed]
- Hoots, B.E.; Palefsky, J.M.; Pimenta, J.M.; Smith, J.S. Human papillomavirus type distribution in anal cancer and anal intraepithelial lesions. Int. J. Cancer 2009, 124, 2375–2383. [Google Scholar] [CrossRef] [PubMed]
- González-Hernández, L.A.; Flores-Miramontes, M.G.; Aguilar-Lemarroy, A.; Quintanilla-Peña, K.S.; Martin-Amaya-Barajas, F.L.; Ramos-Solano, M.; Gómez, L.F.E.; Andrade-Villanueva, J.F.; Jave-Suárez, L.F. HPV genotypes detected by linear array and next-generation sequencing in anal samples from HIV positive men who have sex with men in Mexico. Arch. Virol. 2018, 163, 925–935. [Google Scholar] [CrossRef] [PubMed]
- Palefsky, J. Human papillomavirus and anal neoplasia. Curr. HIV/AIDS Rep. 2008. [Google Scholar] [CrossRef]
- Burgos, J.; Hernández-Losa, J.; Landolfi, S.; Guelar, A.; Dinares, M.A.; Villar, J.; Navarro, J.; Ribera, E.; Falcó, V.; Curran, A. The role of oncogenic human papillomavirus determination for diagnosis of high-grade anal intraepithelial neoplasia in HIV-infected MSM. AIDS 2017, 31, 2227–2233. [Google Scholar] [CrossRef]
- Pernot, S.; Boucheron, P.; Péré, H.; Lucas, M.L.; Veyer, D.; Fathallah, N.; de Parades, V.; Pavie, J.; Netter, J.; Collias, L.; et al. Comparison of anal cancer screening strategies including standard anoscopy, anal cytology, and HPV genotyping in HIV-positive men who have sex with men. Br. J. Cancer 2018, 119, 381–386. [Google Scholar] [CrossRef]
- González, C.; Torres, M.; Benito, A.; Del Romero, J.; Rodríguez, C.; Fontillón, M.; Trastoy, M.; Viciana, P.; del Amo, J.; Ortiz, M.; et al. Anal squamous intraepithelial lesions are frequent among young HIV-infected men who have sex with men followed up at the Spanish AIDS Research Network Cohort (CoRIS-HPV). Int. J. Cancer 2013, 133, 1164–1172. [Google Scholar] [CrossRef]
- Weis, S.E.; Vecino, I.; Pogoda, J.M.; Susa, J.S.; Nevoit, J.; Radaford, D.; McNeely, P.; Colquitt, C.A.; Adams, E. Prevalence of anal intraepithelial neoplasia defined by anal cytology screening and high-resolution anoscopy in a primary care population of HIV-infected men and women. Dis. Colon. Rectum. 2011, 54, 433–441. [Google Scholar] [CrossRef] [PubMed]
- Andersson, E.; Kärrberg, C.; Rådberg, T.; Blomqvist, L.; Zetterqvist, B.M.; Ryd, W.; Lindh, M.; Horal, P. Type-dependent E6/E7 mRNA expression of single and multiple high-risk human papillomavirus infections in cervical neoplasia. J. Clin. Virol. 2012, 54, 61–65. [Google Scholar] [CrossRef] [PubMed]
- Leeman, A.; Jenkins, D.; Marra, E.; van Zummeren, M.; Pirog, E.C.; van de Sandt, M.M.; van Eeden, A.; Schim van der Loeff, M.F.; Doorbar, J.; de Vries, H.J.C.; et al. Grading immunohistochemical markers p16 INK4a and HPV E4 identifies productive and transforming lesions caused by low- and high-risk HPV within high-grade anal squamous intraepithelial lesions. Br. J. Dermatol. 2019. [Google Scholar] [CrossRef] [PubMed]
- Donà, M.G.; Benevolo, M.; Latini, A.; Rollo, F.; Colafigli, M.; Frasca, M.; Zaccarelli, M.; Giglio, A.; Moretto, D.; Pescarmona, E.; et al. Anal Cytological Lesions and HPV Infection in Individuals at Increased Risk for Anal Cancer. Cancer Cytopathol. 2018, 126, 461–470. [Google Scholar] [CrossRef] [PubMed]







| Target Gene | Source | |
|---|---|---|
| CDKN2A | F: 5′-CATAGATGCCGCGGAAGGT-3′ | Life Technologies |
| R: 5′-CCCGAGGTTTCTCAGAGCCT-3′ | ||
| P: FAM-CCTCAGACATCCCCGATTGAAAGAACC-TAMRA | ||
| MKI67 | MKI67 (Hs010332443_m1 | Life Technologies |
| TOP2A | TOP2A (Hs03063307_m1) | Life Technologies |
| GUSB | GUSB (Hs99999908_m1) | Life Technologies |
| PGK1 | PGK1 (Hs99999906_m1) | Life Technologies |
| Diagnosis | |||||||
|---|---|---|---|---|---|---|---|
| Negative | LSIL | HSIL | p | ||||
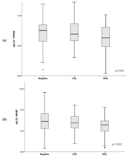
| TOP2A | 4.07 | (3.50–4.65) | 4.00 | (3.44–4.57) | 3.19 | (2.62–3.75) | 0.051 |
| MKI67 | 4.44 | (3.81–5.07) | 3.99 | (3.52–4.46) | 3.08 | (2.54–3.61) | 0.002 |
| CDKN2A/p16 | 2.32 | (1.85–2.80) | 1.59 | (1.13–2.06) | 0.77 | (0.33–1.21) | <0.001 |
| Sensitivity (%) | Cut-Off | Specificity (%) | (95% CI) | |
|---|---|---|---|---|
| TOP2A | 70 | 4.50 | 44.7 | (36.5–53.2) |
| 80 | 6.01 | 20.7 | (14.8–28.2) | |
| 90 | 7.11 | 11.4 | (7.2–17.8) | |
| MKI67 | 70 | 4.01 | 44.7 | (36.5–53.2) |
| 80 | 6.40 | 20.7 | (14.8–28.2) | |
| 90 | 7.60 | 10.7 | (6.6–16.9) | |
| CDKN2A/p16 | 70 | 1.77 | 54.5 | (36.5–53.2) |
| 80 | 2.98 | 30.7 | (23.7–38.8) | |
| 90 | 5.24 | 10.0 | (6.0–16.1) |
| HPV16 | HPV18 or 45 | High-Risk HPV (non 16/18/45) | Negative | p | |||||
|---|---|---|---|---|---|---|---|---|---|
| TOP2A | 2.99 | (2.23–3.75) | 4.20 | (3.24–5.15) | 3.82 | (3.24–4.40) | 4.12 | (3.63–4.62) | 0.040 |
| MKI67 | 3.17 | (2.54–3.80) | 3.61 | (2.43–4.78) | 3.70 | (3.13–4.26) | 4.40 | (3.87–4.94) | 0.020 |
| CDKN2A/p16 | 0.74 | (0.21–1.26) | 2.05 | (0.95–3.16) | 1.26 | (0.76–1.76) | 2.20 | (1.77–2.62) | <0.001 |
© 2019 by the authors. Licensee MDPI, Basel, Switzerland. This article is an open access article distributed under the terms and conditions of the Creative Commons Attribution (CC BY) license (http://creativecommons.org/licenses/by/4.0/).
Share and Cite
del Pino, M.; Martí, C.; Gaber, J.; Svanholm-Barrie, C.; Rodríguez-Carunchio, L.; Rodriguez-Trujillo, A.; Carreras, N.; Fuertes, I.; Barnadas, E.; Marimón, L.; et al. mRNA Detection in Anal Cytology: A Feasible Approach for Anal Cancer Screening in Men Who Have Sex with Men Living With HIV. Diagnostics 2019, 9, 173. https://doi.org/10.3390/diagnostics9040173
del Pino M, Martí C, Gaber J, Svanholm-Barrie C, Rodríguez-Carunchio L, Rodriguez-Trujillo A, Carreras N, Fuertes I, Barnadas E, Marimón L, et al. mRNA Detection in Anal Cytology: A Feasible Approach for Anal Cancer Screening in Men Who Have Sex with Men Living With HIV. Diagnostics. 2019; 9(4):173. https://doi.org/10.3390/diagnostics9040173
Chicago/Turabian Styledel Pino, Marta, Cristina Martí, Jina Gaber, Cecilia Svanholm-Barrie, Leonardo Rodríguez-Carunchio, Adriano Rodriguez-Trujillo, Núria Carreras, Irene Fuertes, Esther Barnadas, Lorena Marimón, and et al. 2019. "mRNA Detection in Anal Cytology: A Feasible Approach for Anal Cancer Screening in Men Who Have Sex with Men Living With HIV" Diagnostics 9, no. 4: 173. https://doi.org/10.3390/diagnostics9040173
APA Styledel Pino, M., Martí, C., Gaber, J., Svanholm-Barrie, C., Rodríguez-Carunchio, L., Rodriguez-Trujillo, A., Carreras, N., Fuertes, I., Barnadas, E., Marimón, L., Blanco, J. L., Persing, D. H., Torné, A., & Ordi, J. (2019). mRNA Detection in Anal Cytology: A Feasible Approach for Anal Cancer Screening in Men Who Have Sex with Men Living With HIV. Diagnostics, 9(4), 173. https://doi.org/10.3390/diagnostics9040173

