Limited Diagnostic Value of miRNAs in Early Trauma-Induced Liver Injury: Only miRNA-122 Emerges as a Late-Phase Marker
Abstract
1. Introduction
2. Materials and Methods
2.1. Ethics
2.2. Patients
2.3. Study Design
2.4. Sample Collection
2.5. microRNA Analysis
2.6. L-FABP Analysis
2.7. Statistical Analysis
3. Results
3.1. Demographics and Clinical Injury Characteristics
3.2. Laboratory Parameters
3.2.1. Systemic Profile of Inflammatory Marker Interleukin-6
3.2.2. Systemic Profile of Coagulation Parameters
3.2.3. Systemic Profile of Liver Enzymes
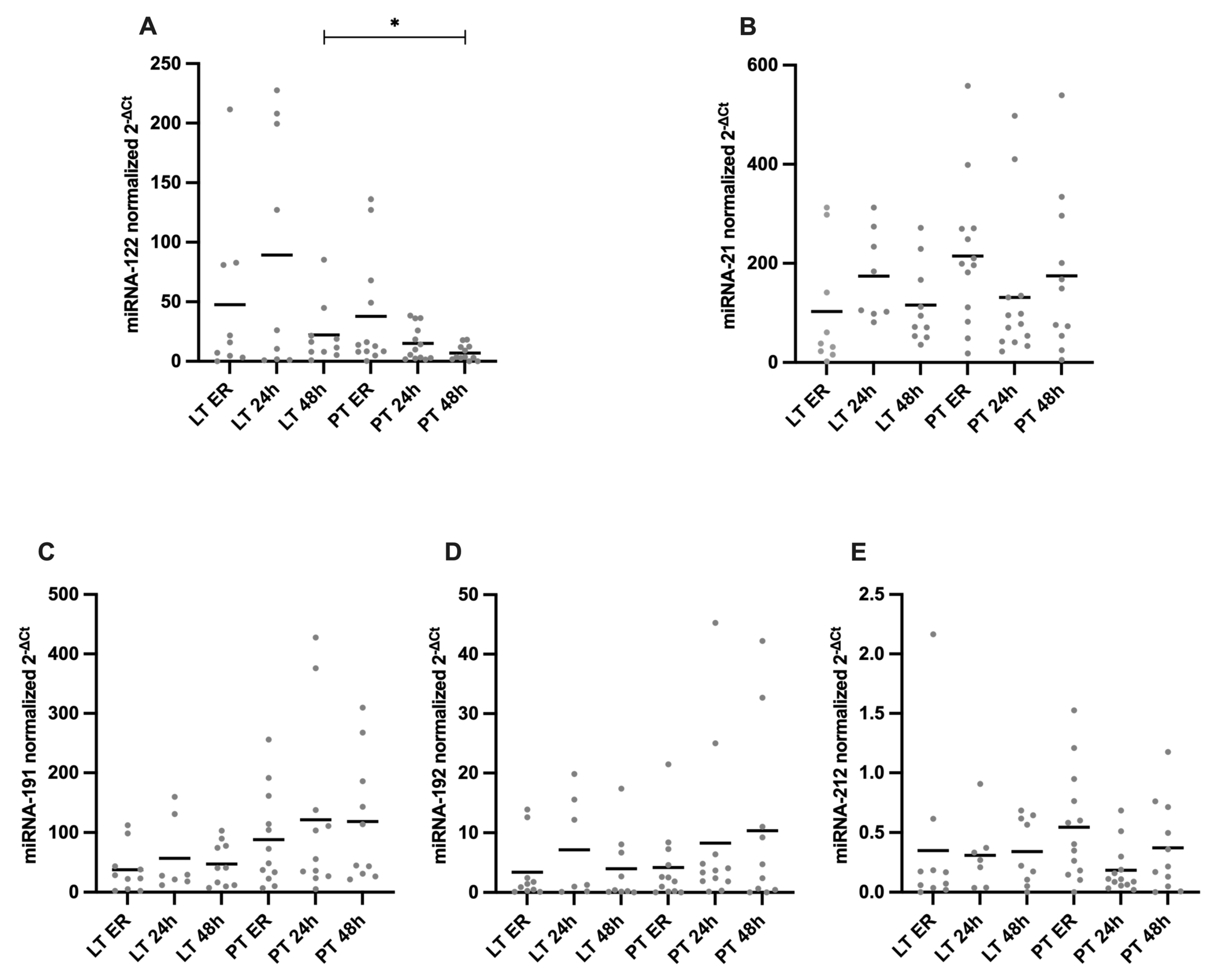
3.3. Systemic Profile of miRNA Expression
3.4. Systemic Profile of L-FABP
3.5. Correlations
3.6. Simple and Multiple Logistic Regression
4. Discussion
5. Conclusions
Author Contributions
Funding
Institutional Review Board Statement
Informed Consent Statement
Data Availability Statement
Conflicts of Interest
References
- Pfeifer, R.; Teuben, M.; Andruszkow, H.; Barkatali, B.M.; Pape, H.C. Mortality Patterns in Patients with Multiple Trauma: A Systematic Review of Autopsy Studies. PLoS ONE 2016, 11, e0148844. [Google Scholar] [CrossRef] [PubMed]
- Badger, S.A.; Barclay, R.; Campbell, P.; Mole, D.J.; Diamond, T. Management of Liver Trauma. World J. Surg. 2009, 33, 2522–2537. [Google Scholar] [CrossRef]
- Trefts, E.; Gannon, M.; Wasserman, D.H. The liver. Curr. Biol. 2017, 27, R1147–R1151. [Google Scholar] [CrossRef] [PubMed]
- Taghavi, S.; Askari, R. Liver Trauma. In StatPearls; StatPearls Publishing: Treasure Island, FL, USA, 2023. Available online: https://www.ncbi.nlm.nih.gov/books/NBK513236/ (accessed on 12 June 2024).
- Zilkens, C.; Friese, J.; Köller, M.; Muhr, G.; Schinkel, C. Hepatic failure after injury—A common pathogenesis with sclerosing cholangitis? Eur. J. Med. Res. 2008, 13, 309–313. [Google Scholar] [PubMed]
- Lala, V.; Zubair, M.; Minter, D.A. Liver Function Tests. In StatPearls; StatPearls Publishing: Treasure Island, FL, USA, 2023. Available online: https://www.ncbi.nlm.nih.gov/books/NBK482489/ (accessed on 12 June 2024).
- Pettersson, J.; Hindorf, U.; Persson, P.; Bengtsson, T.; Malmqvist, U.; Werkström, V.; Ekelund, M. Muscular exercise can cause highly pathological liver function tests in healthy men. Br. J. Clin. Pharmacol. 2008, 65, 253–259. [Google Scholar] [CrossRef]
- Smathers, R.L.; Petersen, D.R. The human fatty acid-binding protein family: Evolutionary divergences and functions. Hum. Genom. 2011, 5, 170. [Google Scholar] [CrossRef] [PubMed]
- Chmurzyńska, A. The multigene family of fatty acid-binding proteins (FABPs): Function, structure and polymorphism. J. Appl. Genet. 2006, 47, 39–48. [Google Scholar] [CrossRef]
- Relja, B.; Szermutzky, M.; Henrich, D.; Maier, M.; de Haan, J.J.; Lubbers, T.; Buurman, W.A.; Marzi, I. Intestinal-FABP and Liver-FABP: Novel Markers for Severe Abdominal Injury. Acad. Emerg. Med. 2010, 17, 729–735. [Google Scholar] [CrossRef]
- Voth, M.; Holzberger, S.; Auner, B.; Henrich, D.; Marzi, I.; Relja, B. I-FABP and L-FABP are early markers for abdominal injury with limited prognostic value for secondary organ failures in the post-traumatic course. Clin. Chem. Lab. Med. (CCLM) 2015, 53, 771–780. [Google Scholar] [CrossRef]
- Voth, M.; Verboket, R.; Henrich, D.; Marzi, I. L-FABP and NGAL are novel biomarkers for detection of abdominal injury and hemorrhagic shock. Injury 2023, 54, 1246–1256. [Google Scholar] [CrossRef]
- Condrat, C.E.; Thompson, D.C.; Barbu, M.G.; Bugnar, O.L.; Boboc, A.; Cretoiu, D.; Suciu, N.; Cretoiu, S.M.; Voinea, S.C. miRNAs as Biomarkers in Disease: Latest Findings Regarding Their Role in Diagnosis and Prognosis. Cells 2020, 9, 276. [Google Scholar] [CrossRef] [PubMed]
- Jopling, C. Liver-specific microRNA-122: Biogenesis and function. RNA Biol. 2012, 9, 137–142. [Google Scholar] [CrossRef]
- Starckx, S.; Batheja, A.; Verheyen, G.R.; Jonghe, S.D.; Steemans, K.; Dijck, B.V.; Singer, M.; Bogdan, N.; Snoeys, J.; Vinken, P.; et al. Evaluation of miR-122 and Other Biomarkers in Distinct Acute Liver Injury in Rats. Toxicol. Pathol. 2013, 41, 795–804. [Google Scholar] [CrossRef]
- Starkey Lewis, P.J.; Dear, J.; Platt, V.; Simpson, K.J.; Craig, D.G.; Antoine, D.J.; French, N.S.; Dhaun, N.; Webb, D.J.; Costello, E.M.; et al. Circulating microRNAs as potential markers of human drug-induced liver injury. Hepatology 2011, 54, 1767–1776. [Google Scholar] [CrossRef] [PubMed]
- Satishchandran, A.; Ambade, A.; Rao, S.; Hsueh, Y.C.; Iracheta-Vellve, A.; Tornai, D.; Lowe, P.; Gyongyosi, B.; Li, J.; Catalano, D.; et al. MicroRNA 122, Regulated by GRLH2, Protects Livers of Mice and Patients from Ethanol-Induced Liver Disease. Gastroenterology 2018, 154, 238–252.e7. [Google Scholar] [CrossRef]
- Ha, S.Y.; Yu, J.I.; Choi, C.; Kang, S.Y.; Joh, J.W.; Paik, S.W.; Kim, S.; Kim, M.; Park, H.C.; Park, C.K. Prognostic significance of miR-122 expression after curative resection in patients with hepatocellular carcinoma. Sci. Rep. 2019, 9, 14738. [Google Scholar] [CrossRef]
- Schult, P.; Roth, H.; Adams, R.L.; Mas, C.; Imbert, L.; Orlik, C.; Ruggieri, A.; Pyle, A.M.; Lohmann, V. microRNA-122 amplifies hepatitis C virus translation by shaping the structure of the internal ribosomal entry site. Nat. Commun. 2018, 9, 2613. [Google Scholar] [CrossRef] [PubMed]
- von Elm, E.; Altman, D.G.; Egger, M.; Pocock, S.J.; Gøtzsche, P.C.; Vandenbroucke, J.P. The Strengthening the Reporting of Observational Studies in Epidemiology (STROBE) statement: Guidelines for reporting observational studies. J. Clin. Epidemiol. 2008, 61, 344–349. [Google Scholar] [CrossRef] [PubMed]
- Lustenberger, T.; Lefering, R. Focus on “The German TraumaRegister DGU® (TR-DGU)”. Eur. J. Trauma Emerg. Surg. 2020, 46, 447–448. [Google Scholar] [CrossRef]
- Relja, B.; Huber-Lang, M.; van Griensven, M.; Hildebrand, F.; Maegele, M.; Nienaber, U.; Brucker, D.P.; Sturm, R.; Marzi, I. A nationwide fluidics biobank of polytraumatized patients: Implemented by the Network “Trauma Research” (NTF) as an expansion to the TraumaRegister DGU® of the German Trauma Society (DGU). Eur. J. Trauma Emerg. Surg. 2020, 46, 499–504. [Google Scholar] [CrossRef]
- Polytrauma Guideline Update Group. Level 3 guideline on the treatment of patients with severe/multiple injuries: AWMF Register-Nr. 012/019. Eur. J. Trauma Emerg. Surg. 2018, 44, 3–271. [Google Scholar] [CrossRef]
- Baker, S.P.; O’Neill, B.; Haddon, W.; Long, W.B. The injury severity score: A method for describing patients with multiple injuries and evaluating emergency care. J. Trauma 1974, 14, 187–196. [Google Scholar] [CrossRef] [PubMed]
- Osler, T.; Baker, S.P.; Long, W. A Modification of the Injury Severity Score That Both Improves Accuracy and Simplifies Scoring. J. Trauma Inj. Infect. Crit. Care 1997, 43, 922–926. [Google Scholar] [CrossRef] [PubMed]
- Palmer, C.S.; Gabbe, B.J.; Cameron, P.A. Defining major trauma using the 2008 Abbreviated Injury Scale. Injury 2016, 47, 109–115. [Google Scholar] [CrossRef] [PubMed]
- Schindler, C.R.; Woschek, M.; Vollrath, J.T.; Kontradowitz, K.; Lustenberger, T.; Störmann, P.; Marzi, I.; Henrich, D. miR-142-3p Expression Is Predictive for Severe Traumatic Brain Injury (TBI) in Trauma Patients. Int. J. Mol. Sci. 2020, 21, 5381. [Google Scholar] [CrossRef]
- Livak, K.J.; Schmittgen, T.D. Analysis of Relative Gene Expression Data Using Real-Time Quantitative PCR and the 2−ΔΔCT Method. Methods 2001, 25, 402–408. [Google Scholar] [CrossRef]
- Velmahos, G.C.; Toutouzas, K.G.; Radin, R.; Chan, L.; Demetriades, D. Nonoperative treatment of blunt injury to solid abdominal organs: A prospective study. Arch. Surg. 2003, 138, 844–851. [Google Scholar] [CrossRef] [PubMed]
- Ward, J.; Alarcon, L.; Peitzman, A.B. Management of blunt liver injury: What is new? Eur. J. Trauma Emerg. Surg. 2015, 41, 229–237. [Google Scholar] [CrossRef]
- Morales, C.; Barrera, L.; Moreno, M.; Villegas, M.; Correa, J.; Sucerquia, L.; Sanchez, W. Efficacy and safety of non-operative management of blunt liver trauma. Eur. J. Trauma Emerg. Surg. 2011, 37, 591–596. [Google Scholar] [CrossRef]
- Cadili, A.; Gates, J. The Role of Angioembolization in Hepatic Trauma. Am. Surg. 2021, 87, 1793–1801. [Google Scholar] [CrossRef]
- Wongweerakit, O.; Akaraborworn, O.; Sangthong, B.; Thongkhao, K. Clinical parameters for the early detection of complications in patients with blunt hepatic and/or splenic injury undergoing non-operative management. Eur. J. Trauma Emerg. Surg. 2024, 50, 847–855. [Google Scholar] [CrossRef]
- Choi, D.; Kwon, J.; Jung, K.; Kang, B.H. Improvement of mortality in severe liver injury after trauma center implementation: A propensity score matched study. Eur. J. Trauma Emerg. Surg. 2022, 48, 3349–3355. [Google Scholar] [CrossRef]
- Coccolini, F.; Coimbra, R.; Ordonez, C.; Kluger, Y.; Vega, F.; Moore, E.E.; Biffl, W.; Peitzman, A.; Horer, T.; Abu-Zidan, F.M.; et al. Liver trauma: WSES 2020 guidelines. World J. Emerg. Surg. 2020, 15, 24. [Google Scholar] [CrossRef]
- Tan, K.K.; Bang, S.L.; Vijayan, A.; Chiu, M.T. Hepatic enzymes have a role in the diagnosis of hepatic injury after blunt abdominal trauma. Injury 2009, 40, 978–983. [Google Scholar] [CrossRef] [PubMed]
- Srivastava, A.R.; Kumar, S.; Agarwal, G.G.; Ranjan, P. Blunt abdominal injury: Serum ALT—A marker of liver injury and a guide to assessment of its severity. Injury 2007, 38, 1069–1074. [Google Scholar] [CrossRef] [PubMed]
- Newton, M.; Subramanyam, S. Predicting and grading liver injury in the absence of computed tomographic imaging. J. Fam. Med. Prim. Care 2023, 12, 326–331. [Google Scholar] [CrossRef]
- Shrestha, A.; Neupane, H.C.; Tamrakar, K.K.; Bhattarai, A.; Katwal, G. Role of liver enzymes in patients with blunt abdominal trauma to diagnose liver injury. Int. J. Emerg. Med. 2021, 14, 7. [Google Scholar] [CrossRef] [PubMed]
- Koyama, T.; Hamada, H.; Nishida, M.; Naess, P.A.; Gaarder, C.; Sakamoto, T. Defining the optimal cut-off values for liver enzymes in diagnosing blunt liver injury. BMC Res. Notes 2016, 9, 41. [Google Scholar] [CrossRef]
- Giannini, E.G.; Testa, R.; Savarino, V. Liver enzyme alteration: A guide for clinicians. Can. Med. Assoc. J. 2005, 172, 367–379. [Google Scholar] [CrossRef]
- Cakir, O.O.; Toker, A.; Ataseven, H.; Demir, A.; Polat, H. The Importance of Liver-Fatty Acid Binding Protein in Diagnosis of Liver Damage in Patients with Acute Hepatitis. J. Clin. Diagn. Res. 2017, 11, OC17–OC21. [Google Scholar] [CrossRef]
- Akbal, E.; Köklü, S.; Koçak, E.; Cakal, B.; Güneş, F.; Başar, O.; Tuna, Y.; Senes, M. Liver Fatty Acid-binding Protein Is A Diagnostic Marker to Detect Liver Injury Due to Chronic Hepatitis C Infection. Arch. Med. Res. 2013, 44, 34–38. [Google Scholar] [CrossRef] [PubMed]
- Monbaliu, D.; de Vries, B.; Crabbé, T.; van Heurn, E.; Verwaest, C.; Roskams, T.; Fevery, J.; Pirenne, J.; Buurman, W.A. Liver fatty acid-binding protein: An early and sensitive plasma marker of hepatocellular damage and a reliable predictor of graft viability after liver transplantation from non-heart-beating donors. Transplant. Proc. 2005, 37, 413–416. [Google Scholar] [CrossRef]
- Juanola, A.; Graupera, I.; Elia, C.; Piano, S.; Solé, C.; Carol, M.; Pérez-Guasch, M.; Bassegoda, O.; Escudé, L.; Rubio, A.B.; et al. Urinary L-FABP is a promising prognostic biomarker of ACLF and mortality in patients with decompensated cirrhosis. J. Hepatol. 2022, 76, 107–114. [Google Scholar] [CrossRef]
- Wang, K.; Zhang, S.; Marzolf, B.; Troisch, P.; Brightman, A.; Hu, Z.; Hood, L.E.; Galas, D.J. Circulating microRNAs, potential biomarkers for drug-induced liver injury. Proc. Natl. Acad. Sci. USA 2009, 106, 4402–4407. [Google Scholar] [CrossRef] [PubMed]
- Yamaura, Y.; Nakajima, M.; Takagi, S.; Fukami, T.; Tsuneyama, K.; Yokoi, T. Plasma MicroRNA Profiles in Rat Models of Hepatocellular Injury, Cholestasis, and Steatosis. PLoS ONE 2012, 7, e30250. [Google Scholar] [CrossRef] [PubMed]
- Bala, S.; Petrasek, J.; Mundkur, S.; Catalano, D.; Levin, I.; Ward, J.; Alao, H.; Kodys, K.; Szabo, G. Circulating microRNAs in exosomes indicate hepatocyte injury and inflammation in alcoholic, drug-induced, and inflammatory liver diseases. Hepatology 2012, 56, 1946–1957. [Google Scholar] [CrossRef] [PubMed]
- Groven, R.V.M.; Greven, J.; Mert, Ü.; Horst, K.; Zhao, Q.; Blokhuis, T.J.; Huber-Lang, M.; Hildebrand, F.; van Griensven, M. Circulating miRNA expression in extracellular vesicles is associated with specific injuries after multiple trauma and surgical invasiveness. Front. Immunol. 2023, 14, 1273612. [Google Scholar] [CrossRef] [PubMed]
- Afifi, I.; Abayazeed, S.; El-Menyar, A.; Abdelrahman, H.; Peralta, R.; Al-Thani, H. Blunt liver trauma: A descriptive analysis from a level I trauma center. BMC Surg. 2018, 18, 42. [Google Scholar] [CrossRef]
- Tan, Y.; Ge, G.; Pan, T.; Wen, D.; Gan, J. A Pilot Study of Serum MicroRNAs Panel as Potential Biomarkers for Diagnosis of Nonalcoholic Fatty Liver Disease. PLoS ONE 2014, 9, e105192. [Google Scholar] [CrossRef]
- Starlinger, P.; Hackl, H.; Pereyra, D.; Skalicky, S.; Geiger, E.; Finsterbusch, M.; Tamandl, D.; Brostjan, C.; Grünberger, T.; Hackl, M.; et al. Predicting Postoperative Liver Dysfunction Based on Blood-Derived MicroRNA Signatures. Hepatology 2019, 69, 2636–2651. [Google Scholar] [CrossRef] [PubMed]





| Liver Trauma (n = 12) | Polytrauma (n = 14) | p-Value | |
|---|---|---|---|
| Male [%] | 9 (75%) | 9 (64.3%) | 0.683 |
| Age [years] ± SD | 35.3 ± 14.7 | 51.4 ± 22.1 | 0.061 |
| ISS [points] ± SD | 19.1 ± 11.8 | 23.3 ± 8.3 | 0.298 |
| NISS [points] ± SD | 22.8 ± 14.4 | 30.8 ± 12.5 | 0.144 |
| AISAbdomen [points] ± SD | 2.5 ± 0.8 | 0 | <0.0001 |
| SBPpre-hospital [mmHg] ± SD | 117 ± 23.3 | 141.6 ± 29.1 | 0.027 |
| HRpre-hospital [/minute] ± SD | 95.2 ± 20.7 | 91.0 ± 20.0 | 0.607 |
| Cristalloidspre-hospital [mL] ± SD | 883 ± 522 | 982 ± 639 | 0.901 |
| GCSER [points] ± SD | 9 ± 6.3 | 10.5 ± 5.9 | 0.692 |
| SBPER [mmHg] ± SD | 135 ± 36.2 | 149 ± 28 | 0.262 |
| HRER [per minute] ± SD | 87.7 ± 17.2 | 86.7 ± 25.6 | 0.914 |
| CristalloidsER [mL] ± SD | 1488 ± 2379 | 946.4 ± 867 | 0.726 |
| HemoglobinER [g/dL] ± SD | 13.2 ± 2.2 | 13.2 ± 1.8 | 0.933 |
| Base ExcessER [mmol/L] ± SD | −3.6 ± 5.1 | −2.1 ± 2.7 | 0.336 |
| PRBCsfirst 24 h [number a 330 mL] ± SD | 0.4 ± 0.9 | 0.7 ± 1.3 | 0.571 |
| Time on ICU/IMC [days] ± SD | 7.1 ± 7.4 | 12.9 ± 11.5 | 0.054 |
| Non-survivors [%] | 0 | 0 |
| Biomarker | Spearman Corr. | AST | ALT | AISAbdomen | ICU Stay | PRBCs 48 h |
|---|---|---|---|---|---|---|
| L-FABP | Rho | 0.788 | 0.873 | 0.291 | 0.763 | 0.526 |
| p-value | 0.0056 | 0.0009 | 0.384 | 0.0086 | 0.109 | |
| miRNA-122 | Rho | 0.442 | 0.455 | 0.599 | 0.207 | 0.607 |
| p-value | 0.174 | 0.164 | 0.056 | 0.539 | 0.055 |
Disclaimer/Publisher’s Note: The statements, opinions and data contained in all publications are solely those of the individual author(s) and contributor(s) and not of MDPI and/or the editor(s). MDPI and/or the editor(s) disclaim responsibility for any injury to people or property resulting from any ideas, methods, instructions or products referred to in the content. |
© 2025 by the authors. Licensee MDPI, Basel, Switzerland. This article is an open access article distributed under the terms and conditions of the Creative Commons Attribution (CC BY) license (https://creativecommons.org/licenses/by/4.0/).
Share and Cite
Hörauf, J.-A.; Singh, A.; Voth, M.; Moheimani, H.; Schindler, C.R.; Relja, B.; Leppik, L.; Marzi, I.; Henrich, D. Limited Diagnostic Value of miRNAs in Early Trauma-Induced Liver Injury: Only miRNA-122 Emerges as a Late-Phase Marker. Diagnostics 2025, 15, 179. https://doi.org/10.3390/diagnostics15020179
Hörauf J-A, Singh A, Voth M, Moheimani H, Schindler CR, Relja B, Leppik L, Marzi I, Henrich D. Limited Diagnostic Value of miRNAs in Early Trauma-Induced Liver Injury: Only miRNA-122 Emerges as a Late-Phase Marker. Diagnostics. 2025; 15(2):179. https://doi.org/10.3390/diagnostics15020179
Chicago/Turabian StyleHörauf, Jason-Alexander, Amit Singh, Maika Voth, Hamed Moheimani, Cora Rebecca Schindler, Borna Relja, Liudmila Leppik, Ingo Marzi, and Dirk Henrich. 2025. "Limited Diagnostic Value of miRNAs in Early Trauma-Induced Liver Injury: Only miRNA-122 Emerges as a Late-Phase Marker" Diagnostics 15, no. 2: 179. https://doi.org/10.3390/diagnostics15020179
APA StyleHörauf, J.-A., Singh, A., Voth, M., Moheimani, H., Schindler, C. R., Relja, B., Leppik, L., Marzi, I., & Henrich, D. (2025). Limited Diagnostic Value of miRNAs in Early Trauma-Induced Liver Injury: Only miRNA-122 Emerges as a Late-Phase Marker. Diagnostics, 15(2), 179. https://doi.org/10.3390/diagnostics15020179

