Test–Retest Reliability and Inter-Scanner Reproducibility of Improved Spinal Diffusion Tensor Imaging
Abstract
1. Introduction
2. Materials and Methods
2.1. Healthy Study Participants
2.2. Spinal DTI Protocol
2.3. MRI Post-Processing and Data Analysis
2.4. Statistical Analysis
3. Results
3.1. Evaluation of sDTI Parameters in Healthy Study Participants

3.2. Within-Participant Intra-Class Correlation
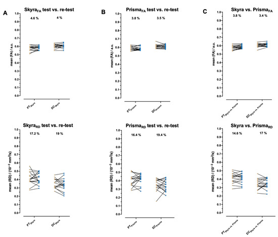
3.3. Within-Participant Variation

3.4. Bland–Altman (BA) Analysis Between Test and Retest



4. Discussion
5. Conclusions
Supplementary Materials
Author Contributions
Funding
Institutional Review Board Statement
Informed Consent Statement
Data Availability Statement
Acknowledgments
Conflicts of Interest
Abbreviations
| AD | axial or longitudinal diffusivity |
| AH | anterior horn |
| CSF | cerebrospinal fluid |
| CV | coefficients of variation |
| DC | dorsal columns |
| DTI | diffusion tensor imaging |
| FA | fractional anisotropy |
| GM | gray matter |
| ICC | intraclass correlation coefficients |
| MD | mean diffusivity |
| PT | pyramidal tracts |
| RD | radial or perpendicular diffusivity |
| ROI | region of interest |
| sDTI | spinal diffusion tensor imaging |
| T | Tesla |
References
- Xu, J.; Shimony, J.S.; Klawiter, E.C.; Snyder, A.Z.; Trinkaus, K.; Naismith, R.T.; Benzinger, T.L.; Cross, A.H.; Song, S.K. Improved in vivo diffusion tensor imaging of human cervical spinal cord. Neuroimage 2013, 67, 64–76. [Google Scholar] [CrossRef]
- Chan, T.Y.; Li, X.; Mak, K.C.; Cheung, J.P.; Luk, K.D.; Hu, Y. Normal values of cervical spinal cord diffusion tensor in young and middle-aged healthy Chinese. Eur. Spine J. 2015, 24, 2991–2998. [Google Scholar] [CrossRef]
- Miraldi, F.; Lopes, F.C.; Costa, J.V.; Alves-Leon, S.V.; Gasparetto, E.L. Diffusion tensor magnetic resonance imaging may show abnormalities in the normal-appearing cervical spinal cord from patients with multiple sclerosis. Arq. Neuropsiquiatr. 2013, 71, 580–583. [Google Scholar] [CrossRef]
- Pessoa, F.M.; Lopes, F.C.; Costa, J.V.; Leon, S.V.; Domingues, R.C.; Gasparetto, E.L. The cervical spinal cord in neuromyelitis optica patients: A comparative study with multiple sclerosis using diffusion tensor imaging. Eur. J. Radiol. 2012, 81, 2697–2701. [Google Scholar] [CrossRef]
- Mueller-Mang, C.; Law, M.; Mang, T.; Fruehwald-Pallamar, J.; Weber, M.; Thurnher, M.M. Diffusion tensor MR imaging (DTI) metrics in the cervical spinal cord in asymptomatic HIV-positive patients. Neuroradiology 2011, 53, 585–592. [Google Scholar] [CrossRef]
- Budzik, J.F.; Balbi, V.; Le Thuc, V.; Duhamel, A.; Assaker, R.; Cotten, A. Diffusion tensor imaging and fibre tracking in cervical spondylotic myelopathy. Eur. Radiol. 2011, 21, 426–433. [Google Scholar] [CrossRef] [PubMed]
- Clark, C.A.; Werring, D.J. Diffusion tensor imaging in spinal cord: Methods and applications—A review. NMR Biomed. 2002, 15, 578–586. [Google Scholar] [CrossRef] [PubMed]
- Barker, G.J. Diffusion-weighted imaging of the spinal cord and optic nerve. J. Neurol. Sci. 2001, 186 (Suppl. S1), S45–S49. [Google Scholar] [CrossRef]
- Maier, S.E. Examination of spinal cord tissue architecture with magnetic resonance diffusion tensor imaging. Neurotherapeutics 2007, 4, 453–459. [Google Scholar] [CrossRef] [PubMed]
- Mamata, H.; Jolesz, F.A.; Maier, S.E. Apparent diffusion coefficient and fractional anisotropy in spinal cord: Age and cervical spondylosis-related changes. J. Magn. Reson. Imaging 2005, 22, 38–43. [Google Scholar] [CrossRef]
- Ellingson, B.M.; Ulmer, J.L. Schmit, B.D. Optimal diffusion tensor indices for imaging the human spinal cord. Biomed. Sci. Instrum. 2007, 43, 128–133. [Google Scholar]
- Rossi, C.; Boss, A.; Lindig, T.M.; Martirosian, P.; Steidle, G.; Maetzler, W.; Claussen, C.D.; Klose, U.; Schick, F. Diffusion tensor imaging of the spinal cord at 1.5 and 3.0 Tesla. Rofo 2007, 179, 219–224. [Google Scholar] [CrossRef]
- Lindig, T.; Ruff, C.; Rattay, T.W.; Konig, S.; Schols, L.; Schule, R.; Nagele, T.; Ernemann, U.; Klose, U.; Bender, B. Detection of spinal long fiber tract degeneration in HSP: Improved diffusion tensor imaging. Neuroimage Clin. 2022, 36, 103213. [Google Scholar] [CrossRef]
- Stejskal, E.O.; Tanner, J.E. Spin Diffusion Measurements: Spin Echoes in the Presence of a Time-Dependent Field Gradient. J. Chem. Phys. 1965, 42, 288–292. [Google Scholar] [CrossRef]
- Cicchetti, D.V. Multiple Comparison Methods—Establishing Guidelines for Their Valid Application in Neuropsychological Research. J. Clin. Exp. Neuropsychol. 1994, 16, 155–161. [Google Scholar] [CrossRef]
- Koo, T.K.; Li, M.Y. A Guideline of Selecting and Reporting Intraclass Correlation Coefficients for Reliability Research. J. Chiropr. Med. 2016, 15, 155–163. [Google Scholar] [CrossRef] [PubMed]
- Shrout, P.E.; Fleiss, J.L. Intraclass Correlations—Uses in Assessing Rater Reliability. Psychol. Bull. 1979, 86, 420–428. [Google Scholar] [CrossRef]
- Marenco, S.; Rawlings, R.; Rohde, G.K.; Barnett, A.S.; Hone, R.A.; Pierpaoli, C.; Weinberger, D.R. Regional distribution of measurement error in diffusion tensor imaging. Psychiatry Res.-Neuroimaging 2006, 147, 69–78. [Google Scholar] [CrossRef] [PubMed]
- Carlson, H.L.; Laliberté, C.; Brooks, B.L.; Hodge, J.; Kirton, A.; Bello-Espinosa, L.; Hader, W.; Sherman, E.M.S. Reliability and variability of diffusion tensor imaging (DTI) tractography in pediatric epilepsy. Epilepsy Behav. 2014, 37, 116–122. [Google Scholar] [CrossRef] [PubMed]
- Smith, S.A.; Jones, C.K.; Gifford, A.; Belegu, V.; Chodkowski, B.; Farrell, J.A.; Landman, B.A.; Reich, D.S.; Calabresi, P.A.; McDonald, J.W. Reproducibility of tract-specific magnetization transfer and diffusion tensor imaging in the cervical spinal cord at 3 tesla. NMR Biomed. 2010, 23, 207–217. [Google Scholar] [CrossRef]
- Mohamed, F.B.; Hunter, L.N.; Barakat, N.; Liu, C.S.; Sair, H.; Samdani, A.F.; Betz, R.R.; Faro, S.H.; Gaughan, J.; Mulcahey, M.J. Diffusion tensor imaging of the pediatric spinal cord at 1.5T: Preliminary results. AJNR Am. J. Neuroradiol. 2011, 32, 339–345. [Google Scholar] [CrossRef] [PubMed]
- Barakat, N.; Mohamed, F.B.; Hunter, L.N.; Shah, P.; Faro, S.H.; Samdani, A.F.; Finsterbusch, J.; Betz, R.; Gaughan, J.; Mulcahey, M.J. Diffusion tensor imaging of the normal pediatric spinal cord using an inner field of view echo-planar imaging sequence. AJNR Am. J. Neuroradiol. 2012, 33, 1127–1133. [Google Scholar] [CrossRef] [PubMed]
- Mulcahey, M.J.; Samdani, A.; Gaughan, J.; Barakat, N.; Faro, S.; Betz, R.R.; Finsterbusch, J.; Mohamed, F.B. Diffusion tensor imaging in pediatric spinal cord injury: Preliminary examination of reliability and clinical correlation. Spine (Phila Pa 1976) 2012, 37, E797–E803. [Google Scholar] [CrossRef] [PubMed]
- Barakat, N.; Shah, P.; Faro, S.H.; Gaughan, J.P.; Middleton, D.; Mulcahey, M.J.; Mohamed, F.B. Inter- and intra-rater reliability of diffusion tensor imaging parameters in the normal pediatric spinal cord. World J. Radiol. 2015, 7, 279–285. [Google Scholar] [CrossRef]
- Guan, L.; Chen, X.; Hai, Y.; Ma, X.; He, L.; Wang, G.; Yuan, C.; Guo, H. High-resolution diffusion tensor imaging in cervical spondylotic myelopathy: A preliminary follow-up study. NMR Biomed. 2017, 30, e3769. [Google Scholar] [CrossRef]
- Lee, E.; Lee, J.W.; Bae, Y.J.; Kim, H.J.; Kang, Y.; Ahn, J.M. Reliability of pre-operative diffusion tensor imaging parameter measurements of the cervical spine in patients with cervical spondylotic myelopathy. Sci. Rep. 2020, 10, 17410. [Google Scholar] [CrossRef]
- Peterson, D.J.; Rutman, A.M.; Hippe, D.S.; Jarvik, J.G.; Chokshi, F.H.; Reyes, M.R.; Bombardier, C.H.; Mossa-Basha, M. Test-Retest and Interreader Reproducibility of Semiautomated Atlas-Based Analysis of Diffusion Tensor Imaging Data in Acute Cervical Spine Trauma in Adult Patients. AJNR Am. J. Neuroradiol. 2017, 38, 2015–2020. [Google Scholar] [CrossRef]
- By, S.; Smith, A.K.; Dethrage, L.M.; Lyttle, B.D.; Landman, B.A.; Creasy, J.L.; Pawate, S.; Smith, S.A. Quantifying the impact of underlying measurement error on cervical spinal cord diffusion tensor imaging at 3T. J. Magn. Reson. Imaging 2016, 44, 1608–1618. [Google Scholar] [CrossRef]
- Martin, A.R.; De Leener, B.; Cohen-Adad, J.; Cadotte, D.W.; Kalsi-Ryan, S.; Lange, S.F.; Tetreault, L.; Nouri, A.; Crawley, A.; Mikulis, D.J. Clinically Feasible Microstructural MRI to Quantify Cervical Spinal Cord Tissue Injury Using DTI, MT, and T2*-Weighted Imaging: Assessment of Normative Data and Reliability. AJNR Am. J. Neuroradiol. 2017, 38, 1257–1265. [Google Scholar] [CrossRef]
- Taso, M.; Girard, O.M.; Duhamel, G.; Le Troter, A.; Feiweier, T.; Guye, M.; Ranjeva, J.P.; Callot, V. Tract-specific and age-related variations of the spinal cord microstructure: A multi-parametric MRI study using diffusion tensor imaging (DTI) and inhomogeneous magnetization transfer (ihMT). Nmr Biomed. 2016, 29, 817–832. [Google Scholar] [CrossRef]
- Brander, A.; Koskinen, E.; Luoto, T.M.; Hakulinen, U.; Helminen, M.; Savilahti, S.; Ryymin, P.; Dastidar, P.; Ohman, J. Diffusion tensor imaging of the cervical spinal cord in healthy adult population: Normative values and measurement reproducibility at 3T MRI. Acta Radiol. 2014, 55, 478–485. [Google Scholar] [CrossRef]
- Wang, K.; Song, Q.; Zhang, F.; Chen, Z.; Hou, C.; Tang, Y.; Chen, S.; Hao, Q.; Shen, H. Age-related changes of the diffusion tensor imaging parameters of the normal cervical spinal cord. Eur. J. Radiol. 2014, 83, 2196–2202. [Google Scholar] [CrossRef]
- Crombe, A.; Alberti, N.; Hiba, B.; Uettwiller, M.; Dousset, V.; Tourdias, T. Cervical Spinal Cord DTI Is Improved by Reduced FOV with Specific Balance between the Number of Diffusion Gradient Directions and Averages. AJNR Am. J. Neuroradiol. 2016, 37, 2163–2170. [Google Scholar] [CrossRef]
- Klawiter, E.C.; Xu, J.; Naismith, R.T.; Benzinger, T.L.; Shimony, J.S.; Lancia, S.; Snyder, A.Z.; Trinkaus, K.; Song, S.K.; Cross, A.H. Increased radial diffusivity in spinal cord lesions in neuromyelitis optica compared with multiple sclerosis. Mult. Scler. 2012, 18, 1259–1268. [Google Scholar] [CrossRef]
- Ciccarelli, O.; Catani, M.; Johansen-Berg, H.; Clark, C.; Thompson, A. Diffusion-based tractography in neurological disorders: Concepts, applications, and future developments. Lancet Neurol. 2008, 7, 715–727. [Google Scholar] [CrossRef] [PubMed]
- Ellingson, B.M.; Ulmer, J.L.; Schmit, B.D. Gray and white matter delineation in the human spinal cord using diffusion tensor imaging and fuzzy logic. Acad. Radiol. 2007, 14, 847–858. [Google Scholar] [CrossRef] [PubMed]
- Samson, R.S.; Levy, S.; Schneider, T.; Smith, A.K.; Smith, S.A.; Cohen-Adad, J.; Wheeler-Kingshott, C.A.G. ZOOM or Non-ZOOM? Assessing Spinal Cord Diffusion Tensor Imaging Protocols for Multi-Centre Studies. PLoS ONE 2016, 11, e0155557. [Google Scholar] [CrossRef]
- Lebel, C.; Benner, T.; Beaulieu, C. Six is enough? Comparison of diffusion parameters measured using six or more diffusion-encoding gradient directions with deterministic tractography. Magn. Reson. Med. 2012, 68, 474–483. [Google Scholar] [CrossRef]
- Shi, X.; Ma, X.; Wu, W.; Huang, F.; Yuan, C.; Guo, H. Parallel imaging and compressed sensing combined framework for accelerating high-resolution diffusion tensor imaging using inter-image correlation. Magn. Reson. Med. 2015, 73, 1775–1785. [Google Scholar] [CrossRef] [PubMed]
- Wu, Y.; Zhu, Y.J.; Tang, Q.Y.; Zou, C.; Liu, W.; Dai, R.B.; Liu, X.; Wu, E.X.; Ying, L.; Liang, D. Accelerated MR diffusion tensor imaging using distributed compressed sensing. Magn. Reson. Med. 2014, 71, 763–772. [Google Scholar] [CrossRef]
- Barakat, N.; Mulcahey, M.J.; Shah, P.; Samdani, A.; Krisa, L.; Faro, S.; Mohamed, F.B. Diffusion tensor imaging in pediatric transverse myelitis: A case study. J. Pediatr. Rehabil. Med. 2012, 5, 281–286. [Google Scholar] [CrossRef] [PubMed]



| ICC Estimate Based on the 95% CI According to | ICC Classification | |
|---|---|---|
| Cicchetti | Koo et al. | |
| <0.4 | <0.5 | Poor |
| 0.4 < ICC < 0.59 | 0.5 < ICC < 0.75 | Moderate |
| 0.60 < ICC < 0.74 | 0.75 < ICC < 0.9 | Good |
| 0.75 < ICC < 1 | >0.9 | Excellent |
| Parameter | Magnetom Skyra | Bland–Altman Analysis | Within-Participant Coefficient of Variation CV % | Intraclass Correlation Coefficient (ICC) | |||||
|---|---|---|---|---|---|---|---|---|---|
| Test ± SD (CI 95%) | Retest ± SD (CI 95%) | Pooled ± SD (CI 95%) | p Value Test vs. Retest | Difference (D) | LOA | Single (CI 95%) | Average (CI 95%) | ||
| FA | |||||||||
| PT | 0.578 ± 0.031 (0.562–0.595) | 0.581 ± 0.023 (0.569–0.593) | 0.580 ± 0.025 (0.567–0.593) | 0.636 | −0.003 ± 0.023 (−0.015 to 0.010) | −0.048 to 0.042 | 4.6 | 0.652 (0.243–0.863) | 0.789 (0.391–0.927) |
| DC | 0.603 ± 0.023 (0.591–0.615) | 0.607 ± 0.026 (0.594–0.621) | 0.605 ± 0.023 (0.593–0.617) | 0.337 | −0.004 ± 0.017 (−0.013 to 0.005) | −0.038 to 0.029 | 4.0 | 0.751 (0.433–0.905) | 0.858 (0.604–0.95) |
| AH | 0.417 ± 0.037 (0.397–0.437) | 0.411 ± 0.034 (0.393–0.429) | 0.414 ± 0.033 (0.396–0.432) | 0.372 | 0.006 ± 0.027 (−0.008 to 0.020) | −0.046 to 0.058 | 8.6 | 0.726 (0.384–0.894) | 0.841 (0.555–0.944) |
| RD (10−3 mm2/s) | |||||||||
| PT | 0.415 ± 0.076 (0.374–0.455) | 0.410 ± 0.065 (0.375–0.444) | 0.412 ± 0.061 (0.380–0.444) | 0.791 | 0.005 ± 0.074 (−0.034 to 0.044) | −0.140 to 0.150 | 17.2 | 0.472 (−0.032–0.78) | 0.642 (−0.067–0.876) |
| DC | 0.351 ± 0.056 (0.321–0.381) | 0.340 ± 0.075 (0.300–0.380) | 0.345 ± 0.060 (0.314–0.377) | 0.489 | 0.010 ± 0.058 (−0.021 to 0.041) | −0.104 to 0.124 | 19.0 | 0.624 (0.205–0.85) | 0.769 (0.34–0.919) |
| AH | 0.649 ± 0.067 (0.613–0.684) | 0.643 ± 0.078 (0.601–0.684) | 0.646 ± 0.064 (0.612–0.680) | 0.726 | 0.006 ± 0.070 (−0.031 to 0.044) | −0.131 to 0.144 | 11.2 | 0.550 (0.079–0.817) | 0.709 (0.146–0.899) |
| MD (10−3 mm2/s) | |||||||||
| PT | 1.131 ± 0.064 (1.097–1.165) | 1.130 ± 0.072 (1.091–1.169) | 1.130 ± 0.052 (1.102–1.158) | 0.977 | 0.001 ± 0.087 (−0.046 to 0.047) | −0.170 to 0.171 | 6.0 | 0.194 (−0.357–0.627) | 0.324 (−1.111–0.771) |
| DC | 1.119 ± 0.065 (1.084–1.154) | 1.117 ± 0.083 (1.072–1.161) | 1.118 ± 0.066 (1.083–1.153) | 0.9 | 0.002 ± 0.069 (−0.035 to 0.039) | −0.133 to 0.137 | 6.6 | 0.592 (0.138–0.837) | 0.744 (0.243–0.911) |
| AH | 1.064 ± 0.065 (1.030–1.099) | 1.038 ± 0.072 (0.999–1.076) | 1.051 ± 0.054 (1.022–1.080) | 0.222 | 0.027 ± 0.083 (−0.018 to 0.071) | −0.137 to 0.190 | 6.5 | 0.253 (−0.232–0.649) | 0.403 (−0.604–0.787) |
| AD (10−3 mm2/s) | |||||||||
| PT | 2.561 ± 0.165 (2.473–2.649) | 2.571 ± 0.167 (2.482–2.660) | 2.566 ± 0.147 (2.488–2.645) | 0.792 | −0.010 ± 0.154 (−0.092 to 0.072) | −0.312 to 0.291 | 6.5 | 0.586 (0.132–0.834) | 0.739 (0.233–0.91) |
| DC | 2.655 ± 0.206 (2.545–2.765) | 2.670 ± 0.195 (2.566–2.773) | 2.662 ± 0.191 (2.561–2.764) | 0.64 | −0.015 ± 0.126 (−0.082 to 0.052) | −0.261 to 0.231 | 7.5 | 0.812 (0.541–0.93) | 0.896 (0.702–0.964) |
| AH | 1.893 ± 0.148 (1.814–1.972) | 1.831 ± 0.128 (1.763–1.899) | 1.862 ± 0.118 (1.799–1.925) | 0.104 | 0.063 ± 0.145 (−0.015 to 0.140) | −0.221 to 0.346 | 7.4 | 0.425 (−0.026–0.745) | 0.596 (−0.053–0.854) |
| Parameter | Magnetom Prisma | Bland–Altman Analysis | Within-Participant Coefficient of Variation CV% | Intraclass Correlation Coefficient (ICC) | |||||
|---|---|---|---|---|---|---|---|---|---|
| Test ± SD (CI 95%) | Retest ± SD (CI 95%) | Pooled ± SD (CI 95%) | p Value Test vs. Retest | Difference (D) | LOA | Single (CI 95%) | Average (CI 95%) | ||
| FA | |||||||||
| PT | 0.587 ± 0.024 (0.574–0.600) | 0.585 ± 0.020 (0.575–0.596) | 0.586 ± 0.020 (0.576–0.597) | 0.742 | 0.002 ± 0.019 (−0.009 to 0.012) | −0.036 to 0.040 | 3.8 | 0.630 (0.203–0.854) | 0.773 (0.337–0.921) |
| DC | 0.610 ± 0.023 (0.598–0.622) | 0.611 ± 0.020 (0.600–0.622) | 0.611 ± 0.019 (0.600–0.621) | 0.878 | −0.001 ± 0.019 (−0.011 to 0.010) | −0.038 to 0.037 | 3.5 | 0.610 (0.167–0.845) | 0.758 (0.287–0.916) |
| AH | 0.407 ± 0.039 (0.386–0.428) | 0.400 ± 0.036 (0.381–0.420) | 0.404 ± 0.033 (0.386–0.421) | 0.459 | 0.007 ± 0.036 (−0.012 to 0.026) | −0.064 to 0.077 | 9.3 | 0.549 (0.093–0.815) | 0.709 (0.17–0.898) |
| RD (10−3 mm2/s) | |||||||||
| PT | 0.405 ± 0.072 (0.367–0.443) | 0.418 ± 0.063 (0.384–0.452) | 0.411 ± 0.060 (0.380–0.443) | 0.439 | −0.013 ± 0.064 (−0.047 to 0.022) | −0.139 to 0.113 | 16.4 | 0.553 (0.1–0.817) | 0.712 (0.182–0.899) |
| DC | 0.351 ± 0.071 (0.314–0.389) | 0.345 ± 0.064 (0.311–0.379) | 0.348 ± 0.058 (0.317–0.379) | 0.72 | 0.006 ± 0.069 (−0.030 to 0.043) | −0.128 to 0.140 | 19.4 | 0.498 (0.006–0.793) | 0.665 (0.011–0.884) |
| AH | 0.664 ± 0.091 (0.615–0.712) | 0.681 ± 0.061 (0.649–0.714) | 0.673 ± 0.062 (0.639–0.706) | 0.455 | −0.018 ± 0.091 (−0.066 to 0.031) | −0.197 to 0.162 | 11.3 | 0.307 (−0.212–0.688) | 0.469 (−0.539–0.815) |
| MD (10−3 mm2/s) | |||||||||
| PT | 1.158 ± 0.066 (1.123–1.193) | 1.182 ± 0.056 (1.152–1.212) | 1.170 ± 0.053 (1.142–1.198) | 0.141 | −0.024 ± 0.061 (−0.056 to 0.009) | −0.143 to 0.096 | 5.2 | 0.483 (0.036–0.778) | 0.651 (0.069–0.875) |
| DC | 1.171 ± 0.059 (1.140–1.202) | 1.169 ± 0.060 (1.138–1.201) | 1.170 ± 0.047 (1.145–1.195) | 0.933 | 0.002 ± 0.073 (−0.038 to 0.041) | −0.142 to 0.146 | 5.1 | 0.245 (−0.305–0.657) | 0.393 (−0.877–0.793) |
| AH | 1.069 ± 0.085 (1.023–1.114) | 1.086 ± 0.054 (1.057–1.115) | 1.078 ± 0.056 (1.048–1.107) | 0.438 | −0.018 ± 0.088 (−0.064 to 0.029) | −0.190 to 0.155 | 6.5 | 0.247 (−0.274–0.653) | 0.396 (−0.753–0.79) |
| AD (10−3 mm2/s) | |||||||||
| PT | 2.666 ± 0.136 (2.593–2.738) | 2.710 ± 0.114 (2.649–2.771) | 2.688 ± 0.119 (2.624–2.751) | 0.042 | −0.044 ± 0.080 (−0.087 to −0.002) | −0.200 to 0.112 | 4.6 | 0.760 (0.406–0.912) | 0.864 (0.578–0.954) |
| DC | 2.812 ± 0.125 (2.745–2.878) | 2.818 ± 0.131 (2.749–2.888) | 2.815 ± 0.114 (2.754–2.876) | 0.822 | −0.007 ± 0.115 (−0.068 to 0.055) | −0.232 to 0.218 | 4.5 | 0.610 (0.169–0.845) | 0.758 (0.289–0.916) |
| AH | 1.880 ± 0.126 (1.812–1.947) | 1.897 ± 0.133 (1.827–1.968) | 1.888 ± 0.113 (1.828–1.948) | 0.592 | −0.018 ± 0.128 (−0.086 to 0.051) | −0.268 to 0.233 | 6.9 | 0.524 (0.048–0.804) | 0.688 (0.092–0.892) |
| Parameter | Values | Bland–Altman Analysis | Within-Participant Coefficient of Variation CV % | Intraclass Correlation Coefficient (ICC) | ||||
|---|---|---|---|---|---|---|---|---|
| Skyrapooled ± SD (CI 95%) | Prismapooled ± SD (CI 95%) | p Skyrapooled vs. Prismapooled | Difference (D) | LOA | Single (CI 95%) | Average (CI 95%) | ||
| FA | ||||||||
| PT | 0.580 ± 0.025 (0.567–0.593) | 0.586 ± 0.020 (0.576–0.597) | 0.104 | −0.007 ± 0.015 (−0.015 to 0.002) | −0.036 to 0.023 | 3.8 | 0.755 (0.432–0.907) | 0.860 (0.603–0.951) |
| DC | 0.605 ± 0.023 (0.593–0.617) | 0.611 ± 0.019 (0.600–0.621) | 0.219 | −0.006 ± 0.017 (−0.015 to 0.004) | −0.039 to 0.028 | 3.4 | 0.653 (0.268–0.862) | 0.790 (0.422–0.926) |
| AH | 0.414 ± 0.033 (0.396–0.432) | 0.404 ± 0.033 (0.386–0.421) | 0.239 | 0.010 ± 0.033 (−0.008 to 0.028) | −0.055 to 0.075 | 8.1 | 0.493 (0.037–0.785) | 0.661 (0.071–0.88) |
| RD (10−3 mm2/s) | ||||||||
| PT | 0.412 ± 0.061 (0.380–0.444) | 0.411 ± 0.060 (0.380–0.443) | 0.924 | 0.001 ± 0.032 (−0.017 to 0.018) | −0.063 to 0.064 | 14.6 | 0.863 (0.649–0.95) | 0.926 (0.787–0.974) |
| DC | 0.345 ± 0.060 (0.314–0.377) | 0.348 ± 0.058 (0.317–0.379) | 0.82 | −0.003 ± 0.046 (−0.027 to 0.022) | −0.093 to 0.087 | 17 | 0.709 (0.337–0.888) | 0.830 (0.505–0.941) |
| AH | 0.646 ± 0.064 (0.612–0.680) | 0.673 ± 0.062 (0.639–0.706) | 0.092 | −0.027 ± 0.060 (−0.059 to 0.005) | −0.144 to 0.090 | 9.6 | 0.518 (0.083–0.796) | 0.683 (0.152–0.886) |
| MD (10−3 mm2/s) | ||||||||
| PT | 1.130 ± 0.052 (1.102–1.158) | 1.170 ± 0.053 (1.142–1.198) | 0.021 | −0.040 ± 0.062 (−0.073 to −0.007) | −0.161 to 0.081 | 4.6 | 0.255 (−0.145–0.628) | 0.407 (−0.339–0.771) |
| DC | 1.118 ± 0.066 (1.083–1.153) | 1.170 ± 0.047 (1.145–1.195) | 0.003 | −0.052 ± 0.059 (−0.084 to −0.021) | −0.168 to 0.063 | 4.9 | 0.341 (−0.093–0.694) | 0.509 (−0.206–0.819) |
| AH | 1.051 ± 0.054 (1.022–1.080) | 1.078 ± 0.056 (1.048–1.107) | 0.095 | −0.027 ± 0.060 (−0.059 to 0.005) | −0.144 to 0.091 | 5.2 | 0.382 (−0.069–0.72) | 0.552 (−0.149–0.837) |
| AD (10−3 mm2/s) | ||||||||
| PT | 2.566 ± 0.147 (2.488–2.645) | 2.688 ± 0.119 (2.624–2.751) | 0.011 | −0.122 ± 0.168 (−0.211 to −0.032) | −0.450 to 0.207 | 5.1 | 0.158 (−0.186–0.54) | 0.273 (−0.457–0.702) |
| DC | 2.662 ± 0.191 (2.561–2.764) | 2.815 ± 0.114 (2.754–2.876) | 0.002 | −0.153 ± 0.164 (−0.240 to −0.066) | −0.473 to 0.168 | 5.6 | 0.318 (−0.104–0.677) | 0.482 (−0.232–0.807) |
| AH | 1.862 ± 0.118 (1.799–1.925) | 1.888 ± 0.113 (1.828–1.948) | 0.439 | −0.026 ± 0.132 (−0.097 to 0.044) | −0.285 to 0.233 | 6.1 | 0.349 (−0.163–0.712) | 0.518 (−0.389–0.832) |
Disclaimer/Publisher’s Note: The statements, opinions and data contained in all publications are solely those of the individual author(s) and contributor(s) and not of MDPI and/or the editor(s). MDPI and/or the editor(s) disclaim responsibility for any injury to people or property resulting from any ideas, methods, instructions or products referred to in the content. |
© 2025 by the authors. Licensee MDPI, Basel, Switzerland. This article is an open access article distributed under the terms and conditions of the Creative Commons Attribution (CC BY) license (https://creativecommons.org/licenses/by/4.0/).
Share and Cite
Ruff, C.; König, S.; Rattay, T.W.; Gohla, G.; Ernemann, U.; Bender, B.; Klose, U.; Lindig, T. Test–Retest Reliability and Inter-Scanner Reproducibility of Improved Spinal Diffusion Tensor Imaging. Diagnostics 2025, 15, 2057. https://doi.org/10.3390/diagnostics15162057
Ruff C, König S, Rattay TW, Gohla G, Ernemann U, Bender B, Klose U, Lindig T. Test–Retest Reliability and Inter-Scanner Reproducibility of Improved Spinal Diffusion Tensor Imaging. Diagnostics. 2025; 15(16):2057. https://doi.org/10.3390/diagnostics15162057
Chicago/Turabian StyleRuff, Christer, Stephan König, Tim W. Rattay, Georg Gohla, Ulrike Ernemann, Benjamin Bender, Uwe Klose, and Tobias Lindig. 2025. "Test–Retest Reliability and Inter-Scanner Reproducibility of Improved Spinal Diffusion Tensor Imaging" Diagnostics 15, no. 16: 2057. https://doi.org/10.3390/diagnostics15162057
APA StyleRuff, C., König, S., Rattay, T. W., Gohla, G., Ernemann, U., Bender, B., Klose, U., & Lindig, T. (2025). Test–Retest Reliability and Inter-Scanner Reproducibility of Improved Spinal Diffusion Tensor Imaging. Diagnostics, 15(16), 2057. https://doi.org/10.3390/diagnostics15162057

