Optical Coherence Tomography as a Diagnosis-Assisted Tool for Guiding the Treatment of Melasma: A Case Series Study
Abstract
1. Introduction
2. Materials and Methods
2.1. Chief Complaints
2.2. Medical History
2.3. OCT Assessment
2.4. Treatment Procedure
2.5. Outcomes of Treatment
2.6. Statistical Analysis
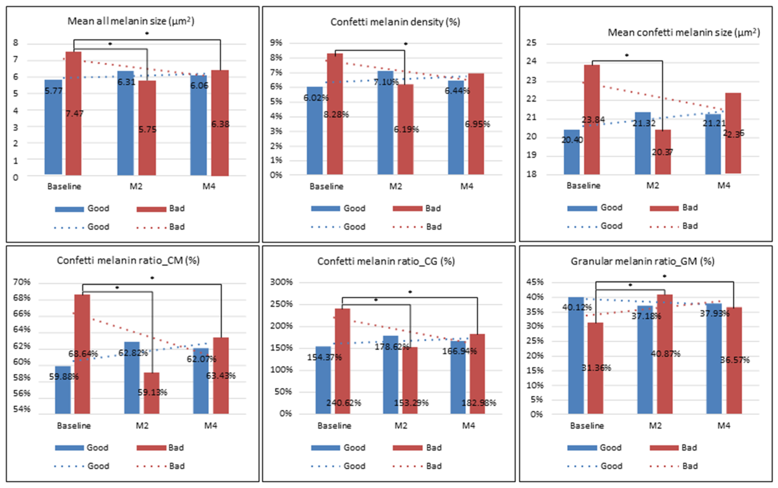
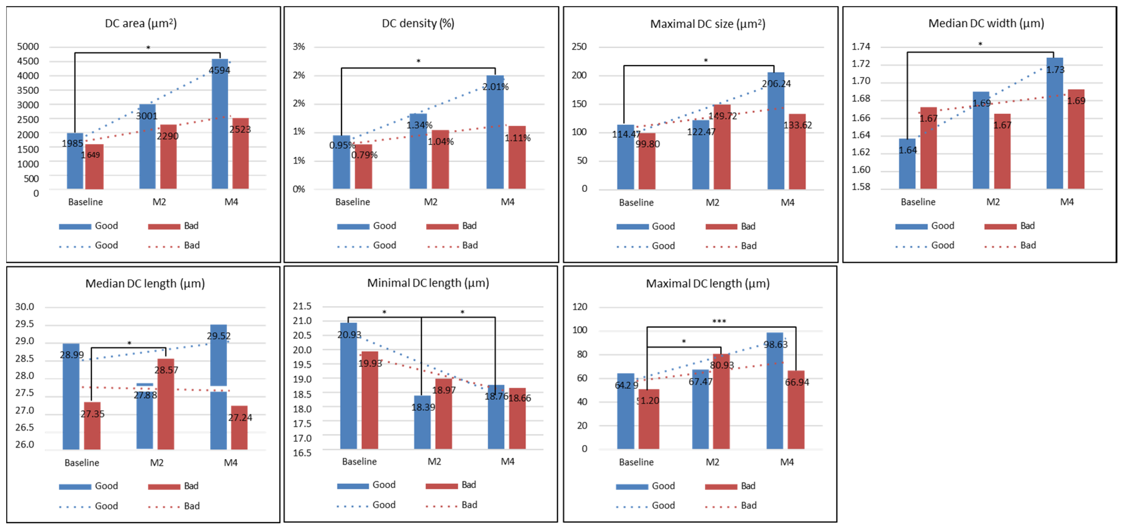
3. Results
4. Discussion
5. Conclusions
Supplementary Materials
Author Contributions
Funding
Institutional Review Board Statement
Informed Consent Statement
Data Availability Statement
Acknowledgments
Conflicts of Interest
References
- Bavarsad, N.; Mapar, M.A.; Safaezadeh, M.; Latifi, S.M. A double-blind, placebo-controlled randomized trial of skin-lightening cream containing lycopene and wheat bran extract on melasma. J. Cosmet. Dermatol. 2021, 20, 1795–1800. [Google Scholar] [CrossRef] [PubMed]
- McKesey, J.; Tovar-Garza, A.; Pandya, A.G. Melasma Treatment: An Evidence-Based Review. Am. J. Clin. Dermatol. 2020, 21, 173–225. [Google Scholar] [CrossRef]
- Sheth, V.M.; Pandya, A.G. Melasma: A comprehensive update: Part I. J. Am. Acad. Dermatol. 2011, 65, 689–697. [Google Scholar] [CrossRef]
- Kwon, S.H.; Na, J.I.; Choi, J.Y.; Park, K.C. Melasma: Updates and perspectives. Exp. Dermatol. 2019, 28, 704–708. [Google Scholar] [CrossRef] [PubMed]
- Artzi, O.; Horovitz, T.; Bar-Ilan, E.; Shehadeh, W.; Koren, A.; Zusmanovitch, L.; Mehrabi, J.N.; Salameh, F.; Isman Nelkenbaum, G.; Zur, E.; et al. The pathogenesis of melasma and implications for treatment. J. Cosmet. Dermatol. 2021, 20, 3432–3445. [Google Scholar] [CrossRef] [PubMed]
- Park, T.J.; Kim, M.; Kim, H.; Park, S.Y.; Park, K.C.; Ortonne, J.P.; Kang, H.Y. Wnt inhibitory factor (WIF)-1 promotes melanogenesis in normal human melanocytes. Pigment. Cell Melanoma Res. 2014, 27, 72–81. [Google Scholar] [CrossRef]
- Kang, W.H.; Yoon, K.H.; Lee, E.S.; Kim, J.; Lee, K.B.; Yim, H.; Sohn, S.; Im, S. Melasma: Histopathological characteristics in 56 Korean patients. Br. J. Dermatol. 2002, 146, 228–237. [Google Scholar] [CrossRef]
- Thomas, N.E.; Kricker, A.; From, L.; Busam, K.; Millikan, R.C.; Ritchey, M.E.; Armstrong, B.K.; Lee-Taylor, J.; Marrett, L.D.; Anton-Culver, H.; et al. Associations of cumulative sun exposure and phenotypic characteristics with histologic solar elastosis. Cancer Epidemiol. Biomark. Prev. 2010, 19, 2932–2941. [Google Scholar] [CrossRef]
- Torres-Alvarez, B.; Mesa-Garza, I.G.; Castanedo-Cazares, J.P.; Fuentes-Ahumada, C.; Oros-Ovalle, C.; Navarrete-Solis, J.; Moncada, B. Histochemical and immunohistochemical study in melasma: Evidence of damage in the basal membrane. Am. J. Dermatopathol. 2011, 33, 291–295. [Google Scholar] [CrossRef]
- Bakos, R.M.; Blumetti, T.P.; Roldan-Marin, R.; Salerni, G. Noninvasive Imaging Tools in the Diagnosis and Treatment of Skin Cancers. Am. J. Clin. Dermatol. 2018, 19 (Suppl. S1), 3–14. [Google Scholar] [CrossRef]
- Kislevitz, M.; Akgul, Y.; Wamsley, C.; Hoopman, J.; Kenkel, J. Use of Optical Coherence Tomography (OCT) in Aesthetic Skin Assessment-A Short Review. Lasers Surg. Med. 2020, 52, 699–704. [Google Scholar] [CrossRef] [PubMed]
- Geevarghese, A.; Wollstein, G.; Ishikawa, H.; Schuman, J.S. Optical Coherence Tomography and Glaucoma. Annu. Rev. Vis. Sci. 2021, 7, 693–726. [Google Scholar] [CrossRef] [PubMed]
- Popescu, D.P.; Choo-Smith, L.P.; Flueraru, C.; Mao, Y.; Chang, S.; Disano, J.; Sherif, S.; Sowa, M.G. Optical coherence tomography: Fundamental principles, instrumental designs and biomedical applications. Biophys. Rev. 2011, 3, 155. [Google Scholar] [CrossRef] [PubMed]
- Chiu, L.-W.; Hu, S.C.-S. Recent advances in noninvasive imaging of the skin—Dermoscopy and optical coherence tomography. Dermatol. Sin. 2021, 39, 115–117. [Google Scholar] [CrossRef]
- Olsen, J.; Holmes, J.; Jemec, G.B.E. Advances in optical coherence tomography in dermatology—A review. J. Biomed. Opt. 2018, 23, 040901. [Google Scholar] [CrossRef]
- Boone, M.A.; Suppa, M.; Marneffe, A.; Miyamoto, M.; Jemec, G.B.; Del Marmol, V. A new algorithm for the discrimination of actinic keratosis from normal skin and squamous cell carcinoma based on in vivo analysis of optical properties by high-definition optical coherence tomography. J. Eur. Acad. Dermatol. Venereol. 2016, 30, 1714–1725. [Google Scholar] [CrossRef]
- Wan, B.; Ganier, C.; Du-Harpur, X.; Harun, N.; Watt, F.M.; Patalay, R.; Lynch, M.D. Applications and future directions for optical coherence tomography in dermatology. Br. J. Dermatol. 2021, 184, 1014–1022. [Google Scholar] [CrossRef]
- Abdel Hay, R.; Mohammed, F.N.; Sayed, K.S.; Abd El Fattah, N.A.; Ibrahim, S. Dermoscopy as a useful tool for evaluating melasma and assessing the response to 1064-nm Q-switched Nd:YAG laser. Dermatol. Ther. 2020, 33, e13629. [Google Scholar] [CrossRef]
- Lee, J.; Beirami, M.J.; Ebrahimpour, R.; Puyana, C.; Tsoukas, M.; Avanaki, K. Optical coherence tomography confirms non-malignant pigmented lesions in phacomatosis pigmentokeratotica using a support vector machine learning algorithm. Ski. Res. Technol. 2023, 29, e13377. [Google Scholar] [CrossRef] [PubMed]
- Zhang, Q.; Lou, Y.; Yang, J.; Wang, J.; Feng, J.; Zhao, Y.; Wang, L.; Huang, X.; Fu, Q.; Ye, M.; et al. Integrated multiomic analysis reveals comprehensive tumour heterogeneity and novel immunophenotypic classification in hepatocellular carcinomas. Gut 2019, 68, 2019–2031. [Google Scholar] [CrossRef]
- Chen, I.L.; Wang, Y.J.; Chang, C.C.; Wu, Y.H.; Lu, C.W.; Shen, J.W.; Huang, L.; Lin, B.S.; Chiang, H.M. Computer-Aided Detection (CADe) System with Optical Coherent Tomography for Melanin Morphology Quantification in Melasma Patients. Diagnostics 2021, 11, 1498. [Google Scholar] [CrossRef] [PubMed]
- Lu, L.Y.; Chen, Y.T.; Chen, I.L.; Shih, Y.C.; Liu, R.T.; Lai, Y.J.; Ng, C.Y. Feasibility of High-Cellular-Resolution Full-Field, Artificial-Intelligence-Assisted, Real-Time Optical Coherence Tomography in the Evaluation of Vitiligo: A Prospective Longitudinal Follow-Up Study. Bioengineering 2024, 11, 196. [Google Scholar] [CrossRef] [PubMed]
- Wang, Y.J.; Chang, C.C.; Wu, Y.H.; Huang, L.; Shen, J.W.; Lu, M.E.; Chiang, H.M.; Lin, B.S. Adaptability of melanocytes post ultraviolet stimulation in patients with melasma. Lasers Surg. Med. 2023, 55, 680–689. [Google Scholar] [CrossRef] [PubMed]
- Frangi, A.F.; Niessen, W.J.; Vincken, K.L.; Viergever, M.A. Multiscale vessel enhancement filtering. In Proceedings of the International Conference on Medical Image Computing and Computer-Assisted Intervention, Cambridge, MA, USA, 11–13 October 1998. [Google Scholar]
- Zuiderveld, K. VIII.5. Contrast Limited Adaptive Histogram Equalization; Academic Press: Cambridge, MA, USA, 1994. [Google Scholar]
- Dubois, A.; Levecq, O.; Azimani, H.; Siret, D.; Barut, A.; Suppa, M.; Del Marmol, V.; Malvehy, J.; Cinotti, E.; Rubegni, P.; et al. Line-field confocal optical coherence tomography for high-resolution noninvasive imaging of skin tumors. J. Biomed. Opt. 2018, 23, 1–9. [Google Scholar] [CrossRef] [PubMed]
- Manjunath, K.G.; Kiran, C.; Sonakshi, S.; Agrawal, R. Melasma: Through the eye of a dermoscope. Int. J. Res. Dermatol. 2016, 2, 113–117. [Google Scholar] [CrossRef]
- Heidemeyer, K.; Cazzaniga, S.; Feldmeyer, L.; Imstepf, V.; Adatto, M.; Lehmann, M.; Rammlmair, A.; Pelloni, L.; Seyed Jafari, S.M.; Bossart, S. Skin hyperpigmentation index in melasma: A complementary method to classic scoring systems. J. Cosmet. Dermatol. 2023, 22, 3405–3412. [Google Scholar] [CrossRef]
- van Onselen, J. Skin cancer: Educating the public on signs and symptoms. Br. J. Nurs. 2019, 28, 672. [Google Scholar] [CrossRef]
- Monnier, J.; De Carvalho, N.; Harris, U.; Garfinkel, J.; Saud, A.; Navarrete-Dechent, C.; Liopyris, K.; Reiter, O.; Rubinstien, G.; Iftimia, N.; et al. Combined reflectance confocal microscopy and optical coherence tomography to improve the diagnosis of equivocal lesions for basal cell carcinoma. J. Am. Acad. Dermatol. 2022, 86, 934–936. [Google Scholar] [CrossRef]
- Pomerantz, H.; Christman, M.P.; Bloom, B.S.; Lederhandler, M.; Feng, H.; Holmes, J.; Geronemus, R.G. Dynamic Optical Coherence Tomography of Cutaneous Blood Vessels in Melasma and Vessel Response to Oral Tranexamic Acid. Lasers Surg. Med. 2021, 53, 861–864. [Google Scholar] [CrossRef]
- Mehrabi, J.N.; Holmes, J.; Abrouk, M.; Wang, J.V.; Pomerantz, H.; Palma, A.M.; Zachary, C.B.; Geronemus, R.G.; Waibel, J.S.; Kelly, K.M. Vascular characteristics of port wine birthmarks as measured by dynamic optical coherence tomography. J. Am. Acad. Dermatol. 2021, 85, 1537–1543. [Google Scholar] [CrossRef]
- Sarkar, R.; Arsiwala, S.; Dubey, N.; Sonthalia, S.; Das, A.; Arya, L.; Gokhale, N.; Torsekar, R.G.; Somani, V.K.; Majid, I.; et al. Chemical Peels in Melasma: A Review with Consensus Recommendations by Indian Pigmentary Expert Group. Indian. J. Dermatol. 2017, 62, 578–584. [Google Scholar] [CrossRef] [PubMed]
- Song, H.S.; Park, J.Y.; Kim, S.J.; Kang, H.Y. In vivo time-sequential histological study focused on melanocytes: Suggestion of golden time for intervention to prevent post-laser pigmentary changes. J. Eur. Acad. Dermatol. Venereol. 2016, 30, 306–310. [Google Scholar] [CrossRef] [PubMed]
- Longo, C.; Pellacani, G.; Tourlaki, A.; Galimberti, M.; Bencini, P.L. Melasma and low-energy Q-switched laser: Treatment assessment by means of in vivo confocal microscopy. Lasers Med. Sci. 2014, 29, 1159–1163. [Google Scholar] [CrossRef]
- Xiao, Y.; Zhou, L.; Tao, W.; Yang, X.; Li, J.; Wang, R.; Zhao, Y.; Peng, C.; Zhang, C. Preparation of paeoniflorin-glycyrrhizic acid complex transethosome gel and its preventive and therapeutic effects on melasma. Eur. J. Pharm. Sci. 2024, 192, 106664. [Google Scholar] [CrossRef]
- Esposito, A.C.C.; Brianezi, G.; de Souza, N.P.; Miot, L.D.B.; Miot, H.A. Exploratory Study of Epidermis, Basement Membrane Zone, Upper Dermis Alterations and Wnt Pathway Activation in Melasma Compared to Adjacent and Retroauricular Skin. Ann. Dermatol. 2020, 32, 101–108. [Google Scholar] [CrossRef] [PubMed]
- Zhao, L.; Li, X.; Zhao, J.; Ma, S.; Ma, X.; Fan, D.; Zhu, C.; Liu, Y. A novel smart injectable hydrogel prepared by microbial transglutaminase and human-like collagen: Its characterization and biocompatibility. Mater. Sci. Eng. C Mater. Biol. Appl. 2016, 68, 317–326. [Google Scholar] [CrossRef]
- Di Stefani, A.; Cappilli, S.; Cuffaro, G.; Fionda, B.; Pagliara, M.M.; Paradisi, A.; Ricci, C.; Rossi, E.; Sammarco, M.G.; Schinzari, G.; et al. Line-Field Confocal Optical Coherence Tomography Evaluation of Eyelid Skin Lesions. Diagnostics 2023, 13, 3590. [Google Scholar] [CrossRef]
- Cappilli, S.; Tognetti, L.; Di Stefani, A.; Ricci, C.; Pellegrino, L.; Palmisano, G.; Cinotti, E.; Rubegni, P.; Del Marmol, V.; Suppa, M.; et al. Line-field confocal optical coherence tomography (LC-OCT) for the assessment of flat pigmented lesions of the face. J. Eur. Acad. Dermatol. Venereol. 2024. [Google Scholar] [CrossRef]







Disclaimer/Publisher’s Note: The statements, opinions and data contained in all publications are solely those of the individual author(s) and contributor(s) and not of MDPI and/or the editor(s). MDPI and/or the editor(s) disclaim responsibility for any injury to people or property resulting from any ideas, methods, instructions or products referred to in the content. |
© 2024 by the authors. Licensee MDPI, Basel, Switzerland. This article is an open access article distributed under the terms and conditions of the Creative Commons Attribution (CC BY) license (https://creativecommons.org/licenses/by/4.0/).
Share and Cite
Yang, C.-Y.; Lin, J.-H.; Chen, C.-M. Optical Coherence Tomography as a Diagnosis-Assisted Tool for Guiding the Treatment of Melasma: A Case Series Study. Diagnostics 2024, 14, 2083. https://doi.org/10.3390/diagnostics14182083
Yang C-Y, Lin J-H, Chen C-M. Optical Coherence Tomography as a Diagnosis-Assisted Tool for Guiding the Treatment of Melasma: A Case Series Study. Diagnostics. 2024; 14(18):2083. https://doi.org/10.3390/diagnostics14182083
Chicago/Turabian StyleYang, Chin-Yi, Ja-Hon Lin, and Chien-Ming Chen. 2024. "Optical Coherence Tomography as a Diagnosis-Assisted Tool for Guiding the Treatment of Melasma: A Case Series Study" Diagnostics 14, no. 18: 2083. https://doi.org/10.3390/diagnostics14182083
APA StyleYang, C.-Y., Lin, J.-H., & Chen, C.-M. (2024). Optical Coherence Tomography as a Diagnosis-Assisted Tool for Guiding the Treatment of Melasma: A Case Series Study. Diagnostics, 14(18), 2083. https://doi.org/10.3390/diagnostics14182083

