Preanalytical Impact of Incomplete K2EDTA Blood Tube Filling in Molecular Biology Testing
Abstract
1. Introduction
2. Materials and Methods
2.1. Blood Samples
2.2. RNA Extraction and RT-PCR
2.3. DNA Extraction and Real-Time PCR
2.4. Statistical Analysis
3. Results
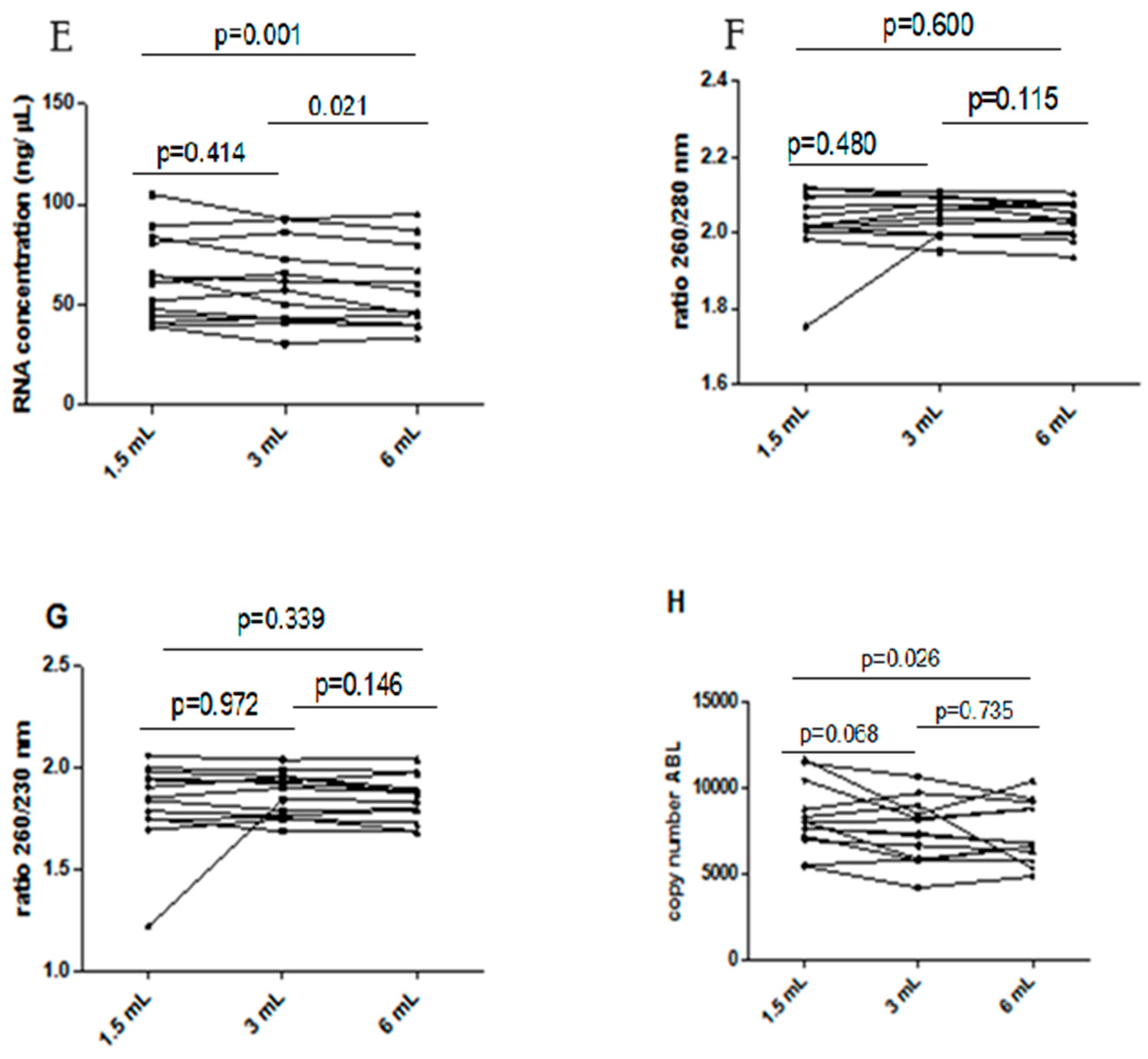
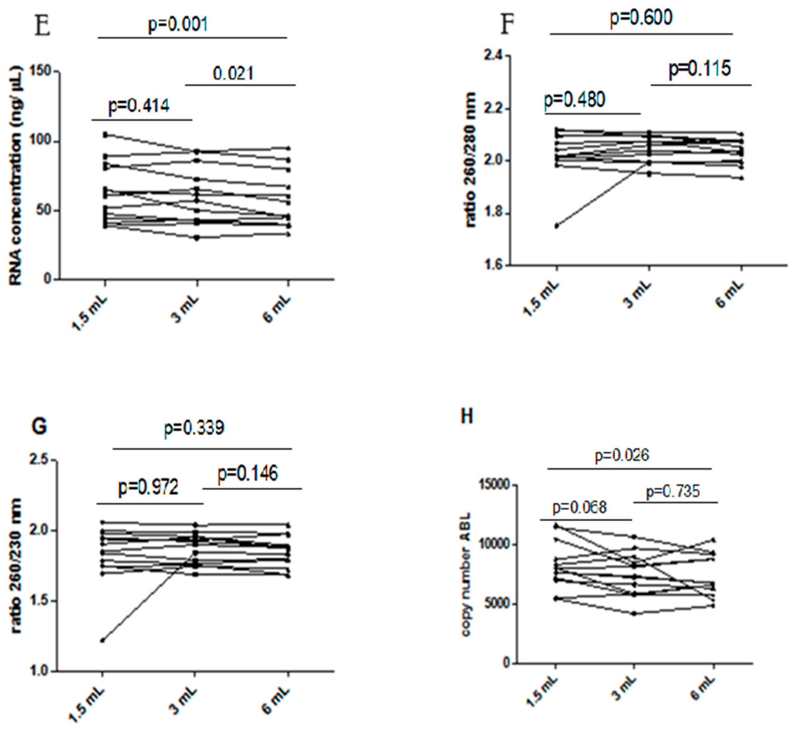
3.1. RNA Analysis
3.2. DNA Analysis
4. Discussion
Author Contributions
Funding
Institutional Review Board Statement
Informed Consent Statement
Data Availability Statement
Conflicts of Interest
Abbreviations
| APTT | activated partial thromboplastin time |
| DNA | deoxyribonucleic acid |
| HbA1c | Hemoglobin A1c |
| K2EDTA | Dipotassium-ethylenediaminetetraacetic acid |
| PCR | polymerase chain reaction |
| RNA | Ribonucleic Acid |
| RT | Reverse Transcriptase |
References
- Plebani, M. Diagnostic Errors and Laboratory Medicine—Causes and Strategies. Ejifcc 2015, 26, 7–14. [Google Scholar]
- Lippi, G.; von Meyer, A.; Cadamuro, J.; Simundic, A.M. Blood sample quality. Diagnosis 2019, 6, 25–31. [Google Scholar] [CrossRef] [PubMed]
- McPherson, R.A. Blood sample volumes: Emerging trends in clinical practice and laboratory medicine. Clin. Leadersh. Manag. Rev. 2001, 15, 3–10. [Google Scholar] [PubMed]
- Lippi, G.; Salvagno, G.L.; Montagnana, M.; Lima-Oliveira, G.; Guidi, G.C.; Favaloro, E.J. Quality standards for sample collection in coagulation testing. Semin. Thromb. Hemost. 2012, 38, 565–575. [Google Scholar] [CrossRef] [PubMed]
- Lippi, G.; Avanzini, P.; Cosmai, M.; Aloe, R.; Ernst, D. Incomplete filling of lithium heparin tubes affects the activity of creatine kinase and gamma-glutamyltransferase. Br. J. Biomed. Sci. 2012, 69, 67–70. [Google Scholar] [CrossRef]
- Neuwinger, N.; Meyer Zum Büschenfelde, D.; Tauber, R.; Kappert, K. Underfilling of vacuum blood collection tubes leads to increased lactate dehydrogenase activity in serum and heparin plasma samples. Clin. Chem. Lab. Med. 2020, 58, 213–221. [Google Scholar] [CrossRef] [PubMed]
- Lippi, G.; Pighi, L.; Tosi, M.; Vettori, M.; Celegon, G.; Favaloro, E.J.; Salvagno, G.L. Effect of syringe underfilling on the quality of venous blood gas analysis. Diagnosis 2023, 11, 91–96. [Google Scholar] [CrossRef]
- Guven, B.; Benice, I.; Can, M. Undefilled blood tube containing EDTA: Is it an inappropriate sample for HbA1c assay? Biochem. Medica 2023, 33, 010901. [Google Scholar] [CrossRef]
- Martire, S.; Valentino, P.; Marnetto, F.; Mirabile, L.; Capobianco, M.; Bertolotto, A. The impact of pre-freezing storage time and temperature on gene expression of blood collected in EDTA tubes. Mol. Biol. Rep. 2022, 49, 4709–4718. [Google Scholar] [CrossRef]
- Markus, H.; Contente-Cuomo, T.; Farooq, M.; Liang, W.S.; Borad, M.J.; Sivakumar, S.; Gollins, S.; Tran, N.L.; Dhruv, H.D.; Berens, M.E.; et al. Evaluation of pre-analytical factors affecting plasma DNA analysis. Sci. Rep. 2018, 8, 7375. [Google Scholar] [CrossRef]
- Yamagata, H.; Kobayashi, A.; Tsunedomi, R.; Seki, T.; Kobayashi, M.; Hagiwara, K.; Chen, C.; Uchida, S.; Okada, G.; Fuchikami, M.; et al. Optimized protocol for the extraction of RNA and DNA from frozen whole blood sample stored in a single EDTA tube. Sci. Rep. 2021, 11, 17075. [Google Scholar] [CrossRef]
- Banfi, G.; Salvagno, G.L.; Lippi, G. The role of ethylenediamine tetraacetic acid (EDTA) as in vitro anticoagulant for diagnostic purposes. Clin. Chem. Lab. Med. 2007, 45, 565–576. [Google Scholar] [CrossRef]
- Grünberg, S.; Coxam, B.; Chen, T.H.; Dai, N.; Saleh, L.; Corrêa, I.R.; Nichols, N.M.; Yigit, E. E. coli RNase I exhibits a strong Ca2+-dependent inherent double-stranded RNase activity. Nucleic Acids Res. 2021, 49, 5265–5277. [Google Scholar] [CrossRef] [PubMed]
- Brännvall, M.; Kirsebom, L.A. Metal ion cooperativity in ribozyme cleavage of RNA. Proc. Natl. Acad. Sci. USA 2001, 98, 12943–12947. [Google Scholar] [CrossRef] [PubMed]
- Yamagami, R.; Bingaman, J.L.; Frankel, E.A.; Bevilacqua, P.C. Cellular conditions of weakly chelated magnesium ions strongly promote RNA stability and catalysis. Nat. Commun. 2018, 9, 2149. [Google Scholar] [CrossRef] [PubMed]
- Cai, D.; Behrmann, O.; Hufert, F.; Dame, G.; Urban, G. Direct DNA and RNA detection from large volumes of whole human blood. Sci. Rep. 2018, 8, 3410. [Google Scholar] [CrossRef] [PubMed]
- Paul, P.; Rajput, S.; Joshi, P.; Naithani, M.; Chowdhury, N.; Rao, S.; Pai, M.O. Comparison of Fluorometric and UV Spectrophotometric Findings for DNA Isolated From Formalin-Fixed Paraffin-Embedded Blocks, Fine Needle Aspiration Cytology Smears, and Blood. Cureus 2021, 13, e19583. [Google Scholar] [CrossRef]
- Glasel, J.A. Validity of nucleic acid purities monitored by 260 nm/280 nm absorbance ratios. Biotechniques 1995, 18, 62–63. [Google Scholar]
- Gallagher, S. Quantitation of nucleic acids with absorption spectroscopy. Curr. Protoc. Protein Sci. 1998, 13, A. 4K. 1–A. 4K. 3. [Google Scholar] [CrossRef]
- Usman, T.; Yu, Y.; Liu, C.; Fan, Z.; Wang, Y. Comparison of methods for high quantity and quality genomic DNA extraction from raw cow milk. Genet. Mol. Res. 2014, 13, 3319–3328. [Google Scholar] [CrossRef]
- Janecki, D.J.; Reilly, J.P. Denaturation of metalloproteins with EDTA to facilitate enzymatic digestion and mass fingerprinting. Rapid Commun. Mass Spectrom. 2005, 19, 1268–1272. [Google Scholar] [CrossRef] [PubMed]
- Wilfinger, W.W.; Mackey, K.; Chomczynski, P. Effect of pH and ionic strength on the spectrophotometric assessment of nucleic acid purity. Biotechniques 1997, 22, 474–481. [Google Scholar] [CrossRef] [PubMed]




| Primers | Sequences |
|---|---|
| ABL FO | TGGAGATAACACTCTAAGCATAACTAAAGGT |
| ABL REV | GATGTAGTTGCTTGGGACCCA |
| ABL PROBE | FAM-CCATTTTTGGTTTGGGCTTCACACCATT-BQ1 |
| GAPDH FO | TCGACAGTCAGCCGCATCTTCTTT |
| GAPDH RE | ACCAAATCCGTTGACTCCGACCTT |
Disclaimer/Publisher’s Note: The statements, opinions and data contained in all publications are solely those of the individual author(s) and contributor(s) and not of MDPI and/or the editor(s). MDPI and/or the editor(s) disclaim responsibility for any injury to people or property resulting from any ideas, methods, instructions or products referred to in the content. |
© 2024 by the authors. Licensee MDPI, Basel, Switzerland. This article is an open access article distributed under the terms and conditions of the Creative Commons Attribution (CC BY) license (https://creativecommons.org/licenses/by/4.0/).
Share and Cite
Benati, M.; Pighi, L.; Paviati, E.; Visconti, S.; Lippi, G.; Salvagno, G.L. Preanalytical Impact of Incomplete K2EDTA Blood Tube Filling in Molecular Biology Testing. Diagnostics 2024, 14, 1934. https://doi.org/10.3390/diagnostics14171934
Benati M, Pighi L, Paviati E, Visconti S, Lippi G, Salvagno GL. Preanalytical Impact of Incomplete K2EDTA Blood Tube Filling in Molecular Biology Testing. Diagnostics. 2024; 14(17):1934. https://doi.org/10.3390/diagnostics14171934
Chicago/Turabian StyleBenati, Marco, Laura Pighi, Elisa Paviati, Sara Visconti, Giuseppe Lippi, and Gian Luca Salvagno. 2024. "Preanalytical Impact of Incomplete K2EDTA Blood Tube Filling in Molecular Biology Testing" Diagnostics 14, no. 17: 1934. https://doi.org/10.3390/diagnostics14171934
APA StyleBenati, M., Pighi, L., Paviati, E., Visconti, S., Lippi, G., & Salvagno, G. L. (2024). Preanalytical Impact of Incomplete K2EDTA Blood Tube Filling in Molecular Biology Testing. Diagnostics, 14(17), 1934. https://doi.org/10.3390/diagnostics14171934

