Dynamics of Cognitive Impairment in MCI Patients over a Three-Year Period: The Informative Role of Blood Biomarkers, Neuroimaging, and Genetic Factors
Abstract
1. Introduction
2. Materials and Methods
2.1. Study Design and Study Population
- Socio-demographic factors (age, gender, education, occupational characteristics);
- General and biochemical blood analysis at the first admission;
- Morphological data obtained by MRI at the first admission;
- Genetic markers.
2.2. Blood Collection and Analysis
2.3. DNA Extraction and SNP Genotyping of Patients
0.104 × Nrs9271192_C + 0.095 × Nrs10948363_G − 0.073 × Nrs2718058_G − 0.094 × Nrs1476679_C − 0.105 ×
Nrs11771145_A + 0.095 × Nrs28834970_C − 0.151 × Nrs9331896_C + 0.077 × Nrs10838725_C − 0.105 ×
Nrs983392_G − 0.139 × Nrs10792832_A − 0.261 × Nrs11218343_C + 0.131 × Nrs17125944_C − 0.094 ×
Nrs10498633_T − 0.315 × Nrs8093731_T + 0.14 × Nrs4147929_A − 0.062 × Nrs3865444_A − 0.128 ×
Nrs7274581_C;
2.4. MRI Data
2.5. Statistical Analysis
3. Results
- Socio-demographic factors (age, gender, education, and occupational characteristics);
- General and biochemical blood analysis at the first admission;
- Morphological data obtained by MRI at the first admission;
- Genetic markers.
3.1. Baseline Characteristics
3.2. Socio-Demographic Factors (Age, Gender, Education, and Occupational Characteristics)
3.3. General and Biochemical Blood Analysis at Initial Admission
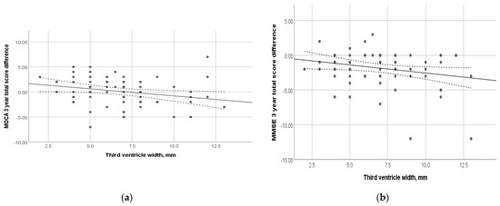
3.4. Morphological Data Obtained via MRI at Initial Admission
3.5. Genetic Markers
4. Discussion
5. Conclusions
Supplementary Materials
Author Contributions
Funding
Institutional Review Board Statement
Informed Consent Statement
Data Availability Statement
Conflicts of Interest
References
- World Health Organization. Ageing and Health. Available online: https://www.who.int/news-room/fact-sheets/detail/ageing-and-health (accessed on 1 October 2022).
- Clegg, A.; Young, J.; Iliffe, S.; Rikkert, M.O.; Rockwood, K. Frailty in elderly people. Lancet 2013, 381, 752–762. [Google Scholar] [CrossRef]
- Jongsiriyanyong, S.; Limpawattana, P. Mild Cognitive Impairment in Clinical Practice: A Review Article. Am. J. Alzheimers Dis. Other Dement. 2018, 33, 500–507. [Google Scholar] [CrossRef] [PubMed]
- Petersen, R.C.; Caracciolo, B.; Brayne, C.; Gauthier, S.; Jelic, V.; Fratiglioni, L. Mild cognitive impairment: A concept in evolution. J. Intern. Med. 2014, 275, 214–228. [Google Scholar] [CrossRef] [PubMed]
- Anand, S.; Schoo, C. Mild Cognitive Impairment; StatPearls: Treasure Island, FL, USA, 2024. [Google Scholar]
- Bai, W.; Chen, P.; Cai, H.; Zhang, Q.; Su, Z.; Cheung, T.; Jackson, T.; Sha, S.; Xiang, Y.-T. Worldwide prevalence of mild cognitive impairment among community dwellers aged 50 years and older: A meta-analysis and systematic review of epidemiology studies. Age Ageing 2022, 51, afac173. [Google Scholar] [CrossRef]
- Nelson, M.E.; Jester, D.J.; Petkus, A.J.; Andel, R. Cognitive Reserve, Alzheimer’s Neuropathology, and Risk of Dementia: A Systematic Review and Meta-Analysis. Neuropsychol. Rev. 2021, 31, 233–250. [Google Scholar] [CrossRef] [PubMed]
- Roberts, R.O.; Knopman, D.S.; Mielke, M.M.; Cha, R.H.; Pankratz, V.S.; Christianson, T.J.; Geda, Y.E.; Boeve, B.F.; Ivnik, R.J.; Tangalos, E.G.; et al. Higher risk of progression to dementia in mild cognitive impairment cases who revert to normal. Neurology 2014, 82, 317–325. [Google Scholar] [CrossRef] [PubMed]
- Davis, M.; O’connell, T.; Johnson, S.; Cline, S.; Merikle, E.; Martenyi, F.; Simpson, K. Estimating Alzheimer’s Disease Progression Rates from Normal Cognition Through Mild Cognitive Impairment and Stages of Dementia. Curr. Alzheimer Res. 2018, 15, 777–788. [Google Scholar] [CrossRef]
- Huang, X.; Zhao, X.; Li, B.; Cai, Y.; Zhang, S.; Wan, Q.; Yu, F. Comparative efficacy of various exercise interventions on cognitive function in patients with mild cognitive impairment or dementia: A systematic review and network meta-analysis. J. Sport Health Sci. 2022, 11, 212–223. [Google Scholar] [CrossRef]
- Rao, G.; Gao, H.; Wang, X.; Zhang, J.; Ye, M.; Rao, L. MRI measurements of brain hippocampus volume in relation to mild cognitive impairment and Alzheimer disease: A systematic review and meta-analysis. Medicine 2023, 102, e34997. [Google Scholar] [CrossRef]
- Zhang, J.; Xie, L.; Cheng, C.; Liu, Y.; Zhang, X.; Wang, H.; Hu, J.; Yu, H.; Xu, J. Hippocampal subfield volumes in mild cognitive impairment and alzheimer’s disease: A systematic review and meta-analysis. Brain Imaging Behav. 2023, 17, 778–793. [Google Scholar] [CrossRef]
- Qu, H.; Ge, H.; Wang, L.; Wang, W.; Hu, C. Volume changes of hippocampal and amygdala subfields in patients with mild cognitive impairment and Alzheimer’s disease. Acta Neurol. Belg. 2023, 123, 1381–1393. [Google Scholar] [CrossRef]
- Jiang, Y.; Wang, P.; Wen, J.; Wang, J.; Li, H.; Biswal, B.B. Hippocampus-based static functional connectivity mapping within white matter in mild cognitive impairment. Brain Struct. Funct. 2022, 227, 2285–2297. [Google Scholar] [CrossRef]
- Lee, D.; Park, J.Y.; Kim, W.J. Altered functional connectivity of the default mode and dorsal attention network in subjective cognitive decline. J. Psychiatr. Res. 2023, 159, 165–171. [Google Scholar] [CrossRef] [PubMed]
- Mak, E.; Su, L.; Williams, G.B.; Firbank, M.J.; Lawson, R.A.; Yarnall, A.J.; Duncan, G.W.; Mollenhauer, B.; Owen, A.M.; Khoo, T.K.; et al. Longitudinal whole-brain atrophy and ventricular enlargement in nondemented Parkinson’s disease. Neurobiol. Aging 2017, 55, 78–90. [Google Scholar] [CrossRef] [PubMed]
- de Mélo Silva Júnior, M.L.; Diniz, P.R.B.; de Souza Vilanova, M.V.; Basto, G.P.T.; Valença, M.M. Brain ventricles, CSF and cognition: A narrative review. Psychogeriatrics 2022, 22, 544–552. [Google Scholar] [CrossRef]
- Ranson, J.M.; Rittman, T.; Hayat, S.; Brayne, C.; Jessen, F.; Blennow, K.; van Duijn, C.; Barkhof, F.; Tang, E.; Mummery, C.J.; et al. Modifiable risk factors for dementia and dementia risk profiling. A user manual for Brain Health Services—Part 2 of 6. Alzheimer’s Res. Ther. 2021, 13, 169. [Google Scholar] [CrossRef]
- Cremers, L.G.; Wolters, F.J.; de Groot, M.; Ikram, M.K.; van der Lugt, A.; Niessen, W.J.; Vernooij, M.W. Structural disconnectivity and the risk of dementia in the general population. Neurology 2020, 95, e1528–e1537. [Google Scholar] [CrossRef]
- Cooper, C.; Sommerlad, A.; Lyketsos, C.G.; Livingston, G. Modifiable predictors of dementia in mild cognitive impairment: A systematic review and meta-analysis. Am. J. Psychiatry 2015, 172, 323–334. [Google Scholar] [CrossRef]
- Qureshi, D.; Collister, J.; Allen, N.E.; Kuźma, E.; Littlejohns, T. Association between metabolic syndrome and risk of incident dementia in UK Biobank. Alzheimer’s Dement. 2024, 20, 447–458. [Google Scholar] [CrossRef] [PubMed]
- Wong, E.C.; Chui, H.C. Vascular cognitive impairment and dementia. CONTINUUM Lifelong Learn. Neurol. 2022, 28, 750–780. [Google Scholar] [CrossRef]
- Wolters, F.J.; Zonneveld, H.I.; Licher, S.; Cremers, L.G.; on behalf of the Heart Brain Connection Collaborative Research Group; Ikram, M.K.; Koudstaal, P.J.; Vernooij, M.W. Hemoglobin and anemia in relation to dementia risk and accompanying changes on brain MRI. Neurology 2019, 93, e917–e926. [Google Scholar] [CrossRef] [PubMed]
- Rasmussen, K.L.; Tybjærg-Hansen, A.; Nordestgaard, B.G.; Frikke-Schmidt, R. Absolute 10-year risk of dementia by age, sex and APOE genotype: A population-based cohort study. CMAJ 2018, 190, E1033–E1041. [Google Scholar] [CrossRef] [PubMed]
- Andrade-Guerrero, J.; Santiago-Balmaseda, A.; Jeronimo-Aguilar, P.; Vargas-Rodríguez, I.; Cadena-Suárez, A.R.; Sánchez-Garibay, C.; Pozo-Molina, G.; Méndez-Catalá, C.F.; Cardenas-Aguayo, M.-D.; Diaz-Cintra, S.; et al. Alzheimer’s Disease: An Updated Overview of Its Genetics. Int. J. Mol. Sci. 2023, 24, 3754. [Google Scholar] [CrossRef] [PubMed]
- Silva, M.V.F.; Loures, C.M.G.; Alves, L.C.V.; de Souza, L.C.; Borges, K.B.G.; Carvalho, M.D.G. Alzheimer’s disease: Risk factors and potentially protective measures. J. Biomed. Sci. 2019, 26, 33. [Google Scholar] [CrossRef]
- Lambert, S.A.; Abraham, G.; Inouye, M. Towards clinical utility of polygenic risk scores. Hum. Mol. Genet. 2019, 28, R133–R142. [Google Scholar] [CrossRef]
- Kikuchi, M.; Miyashita, A.; Hara, N.; Kasuga, K.; Saito, Y.; Murayama, S.; Kakita, A.; Akatsu, H.; Ozaki, K.; Niida, S.; et al. Polygenic effects on the risk of Alzheimer’s disease in the Japanese population. Alzheimers Res. Ther. 2024, 16, 45. [Google Scholar] [CrossRef]
- Zhang, Q.; Sidorenko, J.; Couvy-Duchesne, B.; Marioni, R.E.; Wright, M.J.; Goate, A.M.; Marcora, E.; Huang, K.L.; Porter, T.; Laws, S.M.; et al. Risk prediction of late-onset Alzheimer’s disease implies an oligogenic architecture. Nat. Commun. 2020, 11, 4799. [Google Scholar] [CrossRef]
- Pyun, J.M.; Park, Y.H.; Lee, K.J.; Kim, S.; Saykin, A.J.; Nho, K.; Alzheimer’s Disease Neuroimaging Initiative. Predictability of polygenic risk score for progression to dementia and its interaction with APOE ε4 in mild cognitive impairment. Transl. Neurodegener. 2021, 10, 32. [Google Scholar] [CrossRef]
- He, X.Y.; Wu, B.S.; Kuo, K.; Zhang, W.; Ma, Q.; Xiang, S.T.; Li, Y.Z.; Wang, Z.Y.; Dong, Q.; Feng, J.F.; et al. Association between polygenic risk for Alzheimer’s disease and brain structure in children and adults. Alzheimers Res. Ther. 2023, 15, 109. [Google Scholar] [CrossRef]
- Bhalala, O.G.; Watson, R.; Yassi, N. Multi-Omic Blood Biomarkers as Dynamic Risk Predictors in Late-Onset Alzheimer’s Disease. Int. J. Mol. Sci. 2024, 25, 1231. [Google Scholar] [CrossRef]
- Ikonnikova, A.; Morozova, A.; Antonova, O.; Ochneva, A.; Fedoseeva, E.; Abramova, O.; Emelyanova, M.; Filippova, M.; Morozova, I.; Zorkina, Y.; et al. Evaluation of the Polygenic Risk Score for Alzheimer’s Disease in Russian Patients with Dementia Using a Low-Density Hydrogel Oligonucleotide Microarray. Int. J. Mol. Sci. 2023, 24, 14765. [Google Scholar] [CrossRef] [PubMed]
- Folstein, M.F.; Folstein, S.E.; McHugh, P.R. “Mini-mental state”. A practical method for grading the cognitive state of patients for the clinician. J. Psychiatr. Res. 1975, 12, 189–198. [Google Scholar] [CrossRef] [PubMed]
- Nasreddine, Z.S.; Phillips, N.A.; Bédirian, V.; Charbonneau, S.; Whitehead, V.; Collin, I.; Cummings, J.L.; Chertkow, H. The Montreal Cognitive Assessment, MoCA: A brief screening tool for mild cognitive impairment. J. Am. Geriatr. Soc. 2005, 53, 695–699. [Google Scholar] [CrossRef] [PubMed]
- Roshchina, I.F.; Syunyakov, T.S.; Osipova, N.G.; Kurmyshev, M.V.; Savilov, V.B.; Andruchsenko, A.V. Evaluation of the Effectiveness of Neurocognitive Rehabilitation of Patients with Mild Cognitive Decline under Restrictions during the COVID-19 Pandemic. Psychiatry 2022, 20, 36–43. [Google Scholar] [CrossRef]
- Tosto, G.; Bird, T.D.; Tsuang, D.; Bennett, D.A.; Boeve, B.F.; Cruchaga, C.; Faber, K.; Foroud, T.M.; Farlow, M.; Goate, A.M.; et al. Polygenic risk scores in familial Alzheimer disease. Neurology 2017, 88, 1180–1186. [Google Scholar] [CrossRef]
- Yang, Y.; Wang, D.; Hou, W.; Li, H. Cognitive Decline Associated with Aging. Adv. Exp. Med. Biol. 2023, 1419, 25–46. [Google Scholar] [CrossRef]
- Li, Y.; Ren, Y.; Cong, L.; Hou, T.; Song, L.; Wang, M.; Wang, X.; Han, X.; Tang, S.; Zhang, Q.; et al. Association of Lifelong Cognitive Reserve with Dementia and Mild Cognitive Impairment among Older Adults with Limited Formal Education: A Population-Based Cohort Study. Dement. Geriatr. Cogn. Disord. 2023, 52, 258–266. [Google Scholar] [CrossRef]
- Zorkina, Y.; Abramova, O.; Ushakova, V.; Andreyuk, D.; Andriushchenko, N.; Pavlov, K.; Savilov, V.; Soloveva, K.; Kurmishev, M.; Syunyakov, T.; et al. Inflammatory biomarkers and lipid metabolism parameters in women with mild cognitive impairment and dementia. Women Health 2023, 63, 285–295. [Google Scholar] [CrossRef]
- Faux, N.G.; Rembach, A.; Wiley, J.; Ellis, K.A.; Ames, D.; Fowler, C.J.; Martins, R.N.; Pertile, K.K.; Rumble, R.L.; Trounson, B.; et al. An anemia of Alzheimer’s disease. Mol. Psychiatry 2014, 19, 1227–1234. [Google Scholar] [CrossRef]
- Du, Y.; Jin, M.; Liu, Q.; Zhao, J.; Song, A.; Li, W.; Chang, H.; Ma, F.; Huang, G. Association of Red Blood Cell Indices with Mild Cognitive Impairment in Chinese Elderly Individuals: A Matched Case-control Study. Curr. Alzheimer Res. 2020, 17, 1161–1166. [Google Scholar] [CrossRef]
- Yan, F.J.; Chen, X.H.; Quan, X.Q.; Wang, L.L.; Wei, X.Y.; Zhu, J.L. Development and validation of an interpretable machine learning model—Predicting mild cognitive impairment in a high-risk stroke population. Front. Aging Neurosci. 2023, 15, 1180351. [Google Scholar] [CrossRef]
- Nordestgaard, L.T.; Christoffersen, M.; Frikke-Schmidt, R. Shared Risk Factors between Dementia and Atherosclerotic Cardiovascular Disease. Int. J. Mol. Sci. 2022, 23, 9777. [Google Scholar] [CrossRef]
- O’Brien, J.T.; Firbank, M.J.; Ritchie, K.; Wells, K.; Williams, G.B.; Ritchie, C.W.; Su, L. Association between midlife dementia risk factors and longitudinal brain atrophy: The PREVENT-Dementia study. J. Neurol. Neurosurg. Psychiatry 2020, 91, 158–161. [Google Scholar] [CrossRef] [PubMed]
- Reas, E.T.; Shadrin, A.; Frei, O.; Motazedi, E.; McEvoy, L.; Bahrami, S.; van der Meer, D.; Makowski, C.; Loughnan, R.; Wang, X.; et al. Improved multimodal prediction of progression from MCI to Alzheimer’s disease combining genetics with quantitative brain MRI and cognitive measures. Alzheimers Dement. 2023, 19, 5151–5158. [Google Scholar] [CrossRef] [PubMed]
- Carmichael, O.T.; Kuller, L.H.; Lopez, O.L.; Thompson, P.M.; Dutton, R.A.; Lu, A.; Lee, S.E.; Lee, J.Y.; Aizenstein, H.J.; Meltzer, C.C.; et al. Ventricular volume and dementia progression in the Cardiovascular Health Study. Neurobiol. Aging 2007, 28, 389–397. [Google Scholar] [CrossRef]
- Nguyen, X.V.; Candemir, S.; Erdal, B.S.; White, R.D.; Prevedello, L.M. Predicting Mental Decline Rates in Mild Cognitive Impairment From Baseline MRI Volumetric Data. Alzheimer Dis. Assoc. Disord. 2021, 35, 1–7. [Google Scholar] [CrossRef]
- Chow, N.; Hwang, K.S.; Hurtz, S.; Green, A.E.; Somme, J.H.; Thompson, P.M.; Elashoff, D.A.; Jack, C.R.; Weiner, M.; Apostolova, L.G.; et al. Comparing 3T and 1.5T MRI for mapping hippocampal atrophy in the Alzheimer’s Disease Neuroimaging Initiative. AJNR Am. J. Neuroradiol. 2015, 36, 653–660. [Google Scholar] [CrossRef] [PubMed]
- Zorkina, Y.; Syunyakov, T.; Abramova, O.; Andryushchenko, A.; Andreuyk, D.; Abbazova, E.; Goncharov, D.; Rakova, A.; Andriushchenko, N.; Gryadunov, D.; et al. Positive Effect of Cognitive Training in Older Adults with Different APOE Genotypes and COVID-19 History: A 1-Year Follow-Up Cohort Study. Diagnostics 2022, 12, 2312. [Google Scholar] [CrossRef] [PubMed]
- Zhang, J.; Wang, Y.; Zhang, Y.; Yao, J. Genome-wide association study in Alzheimer’s disease: A bibliometric and visualization analysis. Front. Aging Neurosci. 2023, 15, 1290657. [Google Scholar] [CrossRef]
- Hao, L.; Jia, J.; Xing, Y.; Han, Y. APOE ε4 Allele Distribution and Association With Scores of Subjective Cognitive Decline Questionnaire 9 in a Large Chinese Memory Clinic Cohort. Front. Neurosci. 2022, 16, 829031. [Google Scholar] [CrossRef]
- Fortea, J.; Pegueroles, J.; Alcolea, D.; Belbin, O.; Dols-Icardo, O.; Vaqué-Alcázar, L.; Videla, L.; Gispert, J.D.; Suárez-Calvet, M.; Johnson, S.C.; et al. APOE4 homozygozity represents a distinct genetic form of Alzheimer’s disease. Nat. Med. 2024, 30, 1284–1291. [Google Scholar] [CrossRef] [PubMed]
- Lourida, I.; Hannon, E.; Littlejohns, T.J.; Langa, K.M.; Hyppönen, E.; Kuzma, E.; Llewellyn, D.J. Association of Lifestyle and Genetic Risk With Incidence of Dementia. JAMA 2019, 322, 430–437. [Google Scholar] [CrossRef] [PubMed]
- Jin, X.; He, W.; Zhang, Y.; Gong, E.; Niu, Z.; Ji, J.; Li, Y.; Zeng, Y.; Yan, L.L. Association of APOE ε4 genotype and lifestyle with cognitive function among Chinese adults aged 80 years and older: A cross-sectional study. PLoS Med. 2021, 18, e1003597. [Google Scholar] [CrossRef] [PubMed]






| All Subjects (N = 338) | Dropouts (N = 192) | Non-Dropouts (N = 146) | p-Value | |
|---|---|---|---|---|
| Age (Mean ± SD) | 71.2 ± 7.5 | 71.4 ± 7.9 | 70.9 ± 7.1 | p = 0.511 |
| Years of secondary education (Mean ± SD) | 11.2 ± 1.6 | 11.2 ± 1.7 | 11.2 ± 1.4 | p = 0.85 |
| Years of higher education (if any) (Mean ± SD) | 4.6 ± 2.0 | 4.4 ± 2.5 | 5.0 ± 1.1 | p = 0.01 ** |
| Initial MoCA score (Median; Mean ± SD) | 24; 23.4 ± 3.6 | 23; 23.1 ± 3.5 | 25; 23.8 ± 3.6 | p = 0.013 ** |
| Initial MMSE score (Median; Mean ± SD) | 27; 27.2 ± 2.1 | 27; 27.0 ± 2.2 | 27; 27.5 ± 1.9 | p = 0.033 ** |
| Gender | Female 84.0% (N = 284) Male 16.0% (N = 54) | Female 82.3% (N = 158) Male 17.7% (N = 34) | Female 86.3% (N = 126) Male 13.7% (N = 20) | p = 0.319 |
| Higher education attainment | Yes 57.4% (N = 187) No 42.6% (N = 139) | Yes 53.3% (N = 97) No 46.7% (N = 85) | Yes 62.5% (N = 90) No 37.5% (N = 54) | p = 0.149 |
| Occupational characteristics throughout life | Highly qualified 81.8% (N = 265) Low-qualified 18.2% (N = 59) | Highly qualified 75.6% (N = 136) Low-qualified 24.4% (N = 44) | Highly qualified 89.6% (N = 129) Low-qualified 10.4% (N = 15) | p = 0.002 ** |
| Characteristics | Dynamics of the MoCA Scale | Dynamics of the MMSE Scale | ||
|---|---|---|---|---|
| Pearson Correlation | p Value | Pearson Correlation | p Value | |
| Cholesterin | −0.016 | 0.877 | −0.099 | 0.346 |
| Triglycerides | 0.063 | 0.544 | 0.016 | 0.878 |
| HDL | −0.122 | 0.24 | −0.11 | 0.295 |
| LDL | −0.038 | 0.719 | −0.073 | 0.494 |
| VLDL | 0.065 | 0.536 | 0.018 | 0.868 |
| Leukocytes | 0.148 | 0.356 | −0.197 | 0.229 |
| Erythrocytes | 0.396 ** | 0.011 ** | −0.194 | 0.243 |
| Hemoglobin | 0.118 | 0.47 | −0.064 | 0.703 |
| Hematocrit | 0.412 ** | 0.008 ** | −0.096 | 0.564 |
| Platelet count | 0.051 | 0.757 | 0.022 | 0.895 |
| Glucose | −0.127 | 0.222 | −0.172 | 0.101 |
| All Subjects (N = 338) | Dropouts (N = 192) | Non-Dropouts (N = 146) | |
|---|---|---|---|
| PRS | Q1 24.9% (N = 84) | Q1 25.5% (N = 49) | Q1 24.0% (N = 35) |
| Q2 25.2% (N = 85) | Q2 26.0% (N = 50) | Q2 24.0% (N = 35) | |
| Q3 25.7% (N = 87) | Q3 25.5% (N = 49) | Q3 26.0% (N = 38) | |
| Q4 24.3% (N = 82) | Q4 22.9% (N = 44) | Q4 26.0% (N = 38) | |
| APOE ε4 | wild-type 76.3% (N = 258) | wild-type 77.1% (N = 148) | wild-type 75.3% (N = 110) |
| ε4-heterozygous 21.9% (N = 74) | ε4-heterozygous 21.4% (N = 41) | ε4-heterozygous 22.6% (N = 33) | |
| mutant ε4-homozygous 1.8% (N = 6) | mutant ε4-homozygous 1.8% (N = 3) | mutant ε4-homozygous 2.0% (N = 3) |
Disclaimer/Publisher’s Note: The statements, opinions and data contained in all publications are solely those of the individual author(s) and contributor(s) and not of MDPI and/or the editor(s). MDPI and/or the editor(s) disclaim responsibility for any injury to people or property resulting from any ideas, methods, instructions or products referred to in the content. |
© 2024 by the authors. Licensee MDPI, Basel, Switzerland. This article is an open access article distributed under the terms and conditions of the Creative Commons Attribution (CC BY) license (https://creativecommons.org/licenses/by/4.0/).
Share and Cite
Morozova, I.; Zorkina, Y.; Berdalin, A.; Ikonnikova, A.; Emelyanova, M.; Fedoseeva, E.; Antonova, O.; Gryadunov, D.; Andryushchenko, A.; Ushakova, V.; et al. Dynamics of Cognitive Impairment in MCI Patients over a Three-Year Period: The Informative Role of Blood Biomarkers, Neuroimaging, and Genetic Factors. Diagnostics 2024, 14, 1883. https://doi.org/10.3390/diagnostics14171883
Morozova I, Zorkina Y, Berdalin A, Ikonnikova A, Emelyanova M, Fedoseeva E, Antonova O, Gryadunov D, Andryushchenko A, Ushakova V, et al. Dynamics of Cognitive Impairment in MCI Patients over a Three-Year Period: The Informative Role of Blood Biomarkers, Neuroimaging, and Genetic Factors. Diagnostics. 2024; 14(17):1883. https://doi.org/10.3390/diagnostics14171883
Chicago/Turabian StyleMorozova, Irina, Yana Zorkina, Alexander Berdalin, Anna Ikonnikova, Marina Emelyanova, Elena Fedoseeva, Olga Antonova, Dmitry Gryadunov, Alisa Andryushchenko, Valeriya Ushakova, and et al. 2024. "Dynamics of Cognitive Impairment in MCI Patients over a Three-Year Period: The Informative Role of Blood Biomarkers, Neuroimaging, and Genetic Factors" Diagnostics 14, no. 17: 1883. https://doi.org/10.3390/diagnostics14171883
APA StyleMorozova, I., Zorkina, Y., Berdalin, A., Ikonnikova, A., Emelyanova, M., Fedoseeva, E., Antonova, O., Gryadunov, D., Andryushchenko, A., Ushakova, V., Abramova, O., Zeltser, A., Kurmishev, M., Savilov, V., Osipova, N., Preobrazhenskaya, I., Kostyuk, G., & Morozova, A. (2024). Dynamics of Cognitive Impairment in MCI Patients over a Three-Year Period: The Informative Role of Blood Biomarkers, Neuroimaging, and Genetic Factors. Diagnostics, 14(17), 1883. https://doi.org/10.3390/diagnostics14171883

