The Diagnostic Role of FGF 21 in Endometrial Cancer and Other Pathologies of the Uterine Corpus
Abstract
1. Introduction
2. Materials and Methods
- A—BMI < 29.9—underweight, normal weight, and overweight
- B—BMI 30–34.9—obese class I
- C—BMI > 35—obese class II and III
3. Results
3.1. Group Characteristics
3.2. Group Characteristics of Patients Diagnosed with Malignant Neoplasms
3.3. Correlations between FGF 21, CA 125, and HE4 and Patients’ Body Weight and BMI
3.4. Assessment of the Relationship between the Levels of FGF 21, CA 125, and HE4 and Unfavorable EC Prognostic Factors
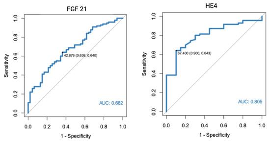
3.5. The Assessment of FGF 21, CA 125, and HE4 as Diagnostic Biomarkers
3.6. The Assessment of Diagnostic Performance Characteristics of FGF 21, CA 125, and HE4 Accounting for Tumor Characteristics
4. Discussion
5. Conclusions
Author Contributions
Funding
Institutional Review Board Statement
Informed Consent Statement
Data Availability Statement
Conflicts of Interest
References
- Ferlay, J.; Ervik, M.; Lam, F.; Colombet, M.; Mery, L.; Piñeros, M. The Global Cancer Observatory—All Cancers. Int. Agency Res. Cancer-WHO 2020, 419, 199–200. [Google Scholar]
- Markowska, J.; Mądry, R. Zarys Ginekologii Onkologicznej; Wydanie 3 uzup; Termedia Wydawnictwa Medyczne: Poznań, Poland, 2018; ISBN 978-83-7988-254-0. [Google Scholar]
- Michalczyk, K.; Niklas, N.; Rychlicka, M.; Cymbaluk-Płoska, A. The Influence of Biologically Active Substances Secreted by the Adipose Tissue on Endometrial Cancer. Diagnostics 2021, 11, 494. [Google Scholar] [CrossRef] [PubMed]
- Geng, L.; Lam, K.S.L.; Xu, A. The Therapeutic Potential of FGF21 in Metabolic Diseases: From Bench to Clinic. Nat. Rev. Endocrinol. 2020, 16, 654–667. [Google Scholar] [CrossRef] [PubMed]
- BonDurant, L.D.; Potthoff, M.J. Fibroblast Growth Factor 21: A Versatile Regulator of Metabolic Homeostasis. Annu. Rev. Nutr. 2018, 38, 173–196. [Google Scholar] [CrossRef] [PubMed]
- Potthoff, M.J.; Kliewer, S.A.; Mangelsdorf, D.J. Endocrine Fibroblast Growth Factors 15/19 and 21: From Feast to Famine. Genes Dev. 2012, 26, 312–324. [Google Scholar] [CrossRef]
- Yan, J.; Nie, Y.; Cao, J.; Luo, M.; Yan, M.; Chen, Z.; He, B. The Roles and Pharmacological Effects of FGF21 in Preventing Aging-Associated Metabolic Diseases. Front. Cardiovasc. Med. 2021, 8, 655575. [Google Scholar] [CrossRef]
- Mraz, M.; Bartlova, M.; Lacinova, Z.; Michalsky, D.; Kasalicky, M.; Haluzikova, D.; Matoulek, M.; Dostalova, I.; Humenanska, V.; Haluzik, M. Serum Concentrations and Tissue Expression of a Novel Endocrine Regulator Fibroblast Growth Factor-21 in Patients with Type 2 Diabetes and Obesity. Clin. Endocrinol. 2009, 71, 369–375. [Google Scholar] [CrossRef]
- Dushay, J.; Chui, P.C.; Gopalakrishnan, G.S.; Varela-Rey, M.; Crawley, M.; Fisher, F.M.; Badman, M.K.; Martinez-Chantar, M.L.; Maratos-Flier, E. Increased Fibroblast Growth Factor 21 in Obesity and Nonalcoholic Fatty Liver Disease. Gastroenterology 2010, 139, 456–463. [Google Scholar] [CrossRef]
- Cuevas-Ramos, D.; Almeda-Valdes, P.; Gómez-Pérez, F.J.; Elena Meza-Arana, C.; Cruz-Bautista, I.; Arellano-Campos, O.; Navarrete-López, M.; Aguilar-Salinas, C.A. Daily Physical Activity, Fasting Glucose, Uric Acid, and Body Mass Index Are Independent Factors Associated with Serum Fibroblast Growth Factor 21 Levels. Eur. J. Endocrinol. 2010, 163, 469–477. [Google Scholar] [CrossRef]
- Wang, Y.S.; Ye, J.; Cao, Y.H.; Zhang, R.; Liu, Y.; Zhang, S.W.; Dai, W.; Zhang, Q. Increased Serum/Plasma Fibroblast Growth Factor 21 in Type 2 Diabetes Mellitus: A Systematic Review and Meta-Analysis. Postgrad. Med. J. 2019, 95, 134–139. [Google Scholar] [CrossRef]
- Chen, W.W.; Li, L.; Yang, G.Y.; Li, K.; Qi, X.Y.; Zhu, W.; Tang, Y.; Liu, H.; Boden, G. Circulating FGF-21 Levels in Normal Subjects and in Newly Diagnose Patients with Type 2 Diabetes Mellitus. Exp. Clin. Endocrinol. Diabetes 2008, 116, 65–68. [Google Scholar] [CrossRef] [PubMed]
- Chavez, A.O.; Molina-Carrion, M.; Abdul-Ghani, M.A.; Folli, F.; DeFronzo, R.A.; Tripathy, D. Circulating Fibroblast Growth Factor-21 Is Elevated in Impaired Glucose Tolerance and Type 2 Diabetes and Correlates with Muscle and Hepatic Insulin Resistance. Diabetes Care 2009, 32, 1542–1546. [Google Scholar] [CrossRef] [PubMed]
- Yilmaz, Y.; Eren, F.; Yonal, O.; Kurt, R.; Aktas, B.; Celikel, C.A.; Ozdogan, O.; Imeryuz, N.; Kalayci, C.; Avsar, E. Increased Serum FGF21 Levels in Patients with Nonalcoholic Fatty Liver Disease. Eur. J. Clin. Investig. 2010, 40, 887–892. [Google Scholar] [CrossRef] [PubMed]
- Li, H.; Fang, Q.; Gao, F.; Fan, J.; Zhou, J.; Wang, X.; Zhang, H.; Pan, X.; Bao, Y.; Xiang, K.; et al. Fibroblast Growth Factor 21 Levels Are Increased in Nonalcoholic Fatty Liver Disease Patients and Are Correlated with Hepatic Triglyceride. J. Hepatol. 2010, 53, 934–940. [Google Scholar] [CrossRef] [PubMed]
- Wente, W.; Efanov, A.M.; Brenner, M.; Kharitonenkov, A.; Köster, A.; Sandusky, G.E.; Sewing, S.; Treinies, I.; Zitzer, H.; Gromada, J. Fibroblast Growth Factor-21 Improves Pancreatic β-Cell Function and Survival by Activation of Extracellular Signal-Regulated Kinase 1/2 and Akt Signaling Pathways. Diabetes 2006, 55, 2470–2478. [Google Scholar] [CrossRef]
- Shenoy, V.K.; Beaver, K.M.; Fisher, F.M.; Singhal, G.; Dushay, J.R.; Maratos-Flier, E.; Flier, S.N. Elevated Serum Fibroblast Growth Factor 21 in Humans with Acute Pancreatitis. PLoS ONE 2016, 11, e0164351. [Google Scholar] [CrossRef]
- Prida, E.; Álvarez-Delgado, S.; Pérez-Lois, R.; Soto-Tielas, M.; Estany-Gestal, A.; Fernø, J.; Seoane, L.M.; Quiñones, M.; Al-Massadi, O. Liver Brain Interactions: Focus on FGF21 a Systematic Review. Int. J. Mol. Sci. 2022, 23, 13318. [Google Scholar] [CrossRef]
- Jimenez, V.; Jambrina, C.; Casana, E.; Sacristan, V.; Muñoz, S.; Darriba, S.; Rodó, J.; Mallol, C.; Garcia, M.; León, X.; et al. FGF21 Gene Therapy as Treatment for Obesity and Insulin Resistance. EMBO Mol. Med. 2018, 10, e8791. [Google Scholar] [CrossRef]
- Lu, W.; Li, X.; Luo, Y. FGF21 in Obesity and Cancer: New Insights. Cancer Lett. 2021, 499, 5–13. [Google Scholar] [CrossRef]
- Getz, G.; Gabriel, S.B.; Cibulskis, K.; Lander, E.; Sivachenko, A.; Sougnez, C.; Lawrence, M.; Kandoth, C.; Dooling, D.; Fulton, R.; et al. Integrated Genomic Characterization of Endometrial Carcinoma. Nature 2013, 497, 67–73. [Google Scholar] [CrossRef]
- Abbink, K.; Zusterzeel, P.L.M.; Geurts-Moespot, A.J.; van Herwaarden, A.E.; Pijnenborg, J.M.A.; Sweep, F.C.G.J.; Massuger, L.F.A.G. HE4 Is Superior to CA125 in the Detection of Recurrent Disease in High-Risk Endometrial Cancer Patients. Tumor Biol. 2018, 40, 1010428318757103. [Google Scholar] [CrossRef] [PubMed]
- Panyavaranant, P.; Manchana, T. Preoperative Markers for the Prediction of High-Risk Features in Endometrial Cancer. World J. Clin. Oncol. 2020, 11, 378–388. [Google Scholar] [CrossRef] [PubMed]
- Ünsal, M.; Comert, G.K.; Karalok, A.; Basaran, D.; Turkmen, O.; Boyraz, G.; Tasci, T.; Koc, S.; Boran, N.; Tulunay, G.; et al. The Preoperative Serum CA125 Can Predict the Lymph Node Metastasis in Endometrioid-Type Endometrial Cancer. Ginekol. Pol. 2018, 89, 599–606. [Google Scholar] [CrossRef] [PubMed]
- Reijnen, C.; Visser, N.C.M.; Kasius, J.C.; Boll, D.; Geomini, P.M.; Ngo, H.; Van Hamont, D.; Pijlman, B.M.; Vos, M.C.; Bulten, J.; et al. Improved Preoperative Risk Stratification with CA-125 in Low-Grade Endometrial Cancer: A Multicenter Prospective Cohort Study. J. Gynecol. Oncol. 2019, 30, e70. [Google Scholar] [CrossRef]
- Bian, J.; Sun, X.; Li, B.; Ming, L. Clinical Significance of Serum HE4, CA125, CA724, and CA19-9 in Patients with Endometrial Cancer. Technol. Cancer Res. Treat. 2017, 16, 435–439. [Google Scholar] [CrossRef]
- Espiau Romera, A.; Cuesta Guardiola, T.; Benito Vielba, M.; De Bonrostro Torralba, C.; Coronado Martín, P.J.; Baquedano Mainar, L. HE4 Tumor Marker as a Predictive Factor for Lymphatic Metastasis in Endometrial Cancer. Int. J. Gynecol. Obstet. 2020, 149, 265–268. [Google Scholar] [CrossRef]
- Behrouzi, R.; Barr, C.E.; Crosbie, E.J. HE4 as a Biomarker for Endometrial Cancer. Cancers 2021, 13, 4764. [Google Scholar] [CrossRef]
- Cymbaluk-Płoska, A.; Gargulińska, P.; Chudecka-Głaz, A.; Kwiatkowski, S.; Pius-Sadowska, E.; Machaliński, B. The Suitability of FGF21 and FGF23 as New Biomarkers in Endometrial Cancer Patients. Diagnostics 2020, 10, 414. [Google Scholar] [CrossRef]
- Morice, P.; Leary, A.; Creutzberg, C.; Abu-Rustum, N.; Darai, E. Endometrial Cancer. Lancet 2016, 387, 1094–1108. [Google Scholar] [CrossRef]
- Yang, X.; Wang, J.L. The Role of Metabolic Syndrome in Endometrial Cancer: A Review. Front. Oncol. 2019, 9, 744. [Google Scholar] [CrossRef]
- Khandekar, M.J.; Cohen, P.; Spiegelman, B.M. Molecular Mechanisms of Cancer Development in Obesity. Nat. Rev. Cancer 2011, 11, 886–895. [Google Scholar] [CrossRef] [PubMed]
- Stone, T.W.; McPherson, M.; Gail Darlington, L. Obesity and Cancer: Existing and New Hypotheses for a Causal Connection. EBioMedicine 2018, 30, 14–28. [Google Scholar] [CrossRef] [PubMed]
- Kaaks, R.; Berrino, F.; Key, T.; Rinaldi, S.; Dossus, L.; Biessy, C.; Secreto, G.; Amiano, P.; Bingham, S.; Boeing, H.; et al. Serum Sex Steroids in Premenopausal Women and Breast Cancer Risk within the European Prospective Investigation into Cancer and Nutrition (EPIC). J. Natl. Cancer Inst. 2005, 97, 755–765. [Google Scholar] [CrossRef] [PubMed]
- Arcidiacono, B.; Iiritano, S.; Nocera, A.; Possidente, K.; Nevolo, M.T.; Ventura, V.; Foti, D.; Chiefari, E.; Brunetti, A. Insulin Resistance and Cancer Risk: An Overview of the Pathogenetic Mechanisms. Exp. Diabetes Res. 2012, 2012, 789174. [Google Scholar] [CrossRef] [PubMed]
- Tucker, B.; Li, H.; Long, X.; Rye, K.A.; Ong, K.L. Fibroblast Growth Factor 21 in Non-Alcoholic Fatty Liver Disease. Metabolism 2019, 101, 153994. [Google Scholar] [CrossRef]
- Adams, A.C.; Coskun, T.; Rovira, A.R.; Schneider, M.A.; Raches, D.W.; Micanovic, R.; Bina, H.A.; Dunbar, J.D.; Kharitonenkov, A. Fundamentals of FGF19 & FGF21 Action In Vitro and In Vivo. PLoS ONE 2012, 7, e38438. [Google Scholar] [CrossRef]
- Berglund, E.D.; Li, C.Y.; Bina, H.A.; Lynes, S.E.; Michael, M.D.; Shanafelt, A.B.; Kharitonenkov, A.; Wasserman, D.H. Fibroblast Growth Factor 21 Controls Glycemia via Regulation of Hepatic Glucose Flux and Insulin Sensitivity. Endocrinology 2009, 150, 4084–4093. [Google Scholar] [CrossRef]
- Kharitonenkov, A.; Shiyanova, T.L.; Koester, A.; Ford, A.M.; Micanovic, R.; Galbreath, E.J.; Sandusky, G.E.; Hammond, L.J.; Moyers, J.S.; Owens, R.A.; et al. FGF-21 as a Novel Metabolic Regulator. J. Clin. Investig. 2005, 115, 1627–1635. [Google Scholar] [CrossRef]
- Coskun, T.; Bina, H.A.; Schneider, M.A.; Dunbar, J.D.; Hu, C.C.; Chen, Y.; Moller, D.E.; Kharitonenkov, A. Fibroblast Growth Factor 21 Corrects Obesity in Mice. Endocrinology 2008, 149, 6018–6027. [Google Scholar] [CrossRef]



| Variable | n (%) |
|---|---|
| Total population | 223 (100) |
| Endometrial cancer | 100 (44.8) |
| Endometrial polyp | 49 (22.0) |
| Normal endometrial tissue | 47 (21.1) |
| Myoma | 19 (8.5) |
| Sarcoma | 8 (3.6) |
| Variable | Endometrial Cancer | Sarcoma | Normal Endometrium | Endometrial Polyp | Myoma | p |
|---|---|---|---|---|---|---|
| Age [years] * | 65.59 ± 12.40 | 60.75 ± 10.98 | 56.06 ± 8.71 | 55.06 ± 13.43 | 44.58 ± 7.54 | <0.001 2 |
| Weight [kg] | 76.44 ± 15.38 | 73.38 ± 14.20 | 77.73 ± 15.45 | 74.74 ± 13.46 | 73.41 ± 16.35 | 0.869 1 |
| BMI [kg/m2] | 29.59 ± 6.04 | 28.71 ± 6.17 | 30.98 ± 7.20 | 27.81 ± 5.79 | 26.59 ± 5.63 | 0.157 1 |
| FGF 21 [pg/mL] | 62.28 (28.92; 113.16) | 77.59 (46.56; 112.49) | 31.94 (13.14; 59.15) | 37.36 (21.67; 59.65) | 32.93 (13.51; 66.71) | <0.001 |
| CA 125 [U/mL] | 26.55 (16.23; 81.08) | 43,15 (21,.8;56.10) | 12.20 (12.10; 15.70) | 15.55 (11.22; 19.47) | - | 0.008 |
| HE4 [pmol/L] | 77.35 (61.98; 152.23) | 90.30 (61.85; 173.12) | 51.75 (43.67; 62.15) | 49.90 (47.15; 52.70) | - | <0.001 |
| Variable | Endometrial Cancer (n = 100) | Sarcoma (n = 8) | Normal Endometrium (n = 47) | Polyp (n = 49) | Fibroma (n = 19) | p |
|---|---|---|---|---|---|---|
| Thyroid disease | 15 (15.0) | 0 (0.0) | 7 (14.9) | 6 (12.2) | 4 (21.1) | 0.731 1 |
| Hypertension | 58 (58.0) | 5 (62.5) | 17 (36.2) | 15 (30.6) | 2 (10.5) | 0.680 |
| Diabetes | 18 (18.0) | 2 (25.0) | 3 (6.4) | 3 (6.1) | 0 (0.0) | 0.025 |
| Coronary disease | 6 (6.0) | 0 (0.0) | 2 (4.3) | 1 (2.0) | 0 (0.0) | 0.106 |
| Variable | n (%) |
|---|---|
| Total number of patients | 108 (100) |
| Tumor histology | |
| Endometrioid | 86 (79.6) |
| Serous | 10 (9.3) |
| Other | 12 (11.1) |
| Grade | |
| 1 | 28 (25.9) |
| 2 | 53 (49.1) |
| 3 | 17 (15.7) |
| FIGO classification | |
| I | 1 (0.9) |
| IA | 45 (41.7) |
| IB | 30 (27.8) |
| II | 12 (11.1) |
| IIB | 1 (0.9) |
| III | 1 (0.9) |
| IIIA | 4 (3.7) |
| IIIC | 1 (0.9) |
| IIIC1 | 1 (0.9) |
| IIIC2 | 1 (0.9) |
| IV | 3 (2.8) |
| Vascular infiltration | |
| Yes | 8 (7.4) |
| No | 32 (29.6) |
| Metastasis | |
| Yes | 7 (6.5) |
| No | 48 (44.4) |
| Variable | BMI | Endometrial Cancer | Normal Endometrium | Polyp | Fibroma |
|---|---|---|---|---|---|
| FGF 21 [pg/mL] | A | 50.54 (25.60; 98.99) | 44.31 (30.43; 89.79) | 34.21 (21.56; 47.90) | 31.82 (11.66; 50.68) |
| B | 80.77 (24.59; 126.86) | 34.55 (34.55; 34.55) | 83.56 (60.23; 84.26) | 87.16 (24.60; 91.59) | |
| C | 85.84 (49.38; 101.64) | 101.48 (73.41; 117.91) | 53.62 (44.93; 64.90) | 49.00 (49.00; 49.00) | |
| p | 0.392 | 0.119 | 0.003 | 0.319 | |
| CA 125 [U/mL] | A | 32.30 (16.95; 165.70) | 16.50 (16.10; 16.90) | 16.40 (11.80; 20.75) | - |
| B | 20.10 (16.10; 50.58) | - | 16.05 (13.55; 34.05) | - | |
| C | 19.25 (11.95; 33.92) | 11.35 (10.93; 11.77) | 8.20 (8.20; 8.20) | - | |
| p | 0.523 | 0.333 1 | 0.468 | - | |
| HE4 [pmol/L] | A | 78.40 (61.70; 174.00) | 56.05 (56.02; 56.08) | 48.60 (44.02; 50.77) | - |
| B | 76.20 (59.80; 115.70) | 41.50 (41.50; 41.50) | 52.70 (51.25; 57.08) | - | |
| C | 74.95 (65.30; 86.17) | 65.70 (55.05; 76.35) | 66.80 (66.80; 66.80) | - | |
| p | 0.863 | 0.368 | 0.069 | - |
| Age [years] * | Weight [kg] | BMI [kg/m2] | FGF 21 [pg/mL] | CA 125 [U/mL] | HE4 [pmol/L] | |
|---|---|---|---|---|---|---|
| Grade | ||||||
| 1 | 62.86 ± 13.65 | 76.56 ± 16.25 | 29.47 ± 6.54 | 56.63 (28.85; 108.64) | 19.40 (16.10; 52.77) | 67.50 (59.80; 93.80) |
| 2 + 3 | 66.24 ± 11.86 | 76.57 ± 15.64 | 29.64 ± 6.08 | 65.14 (31.65; 110.25) | 30.60 (15.88; 95.38) | 81.20 (62.60; 159.25) |
| MD (95% CI) | −3.38 (−8.93; 2.16) 1 | −0.01 (−7.30; 7.28) 1 | −0.18 (−3.04; 2.69) 1 | −8.51 (−26.85; 20.12) | −11.20 (−33.50; 6.30) | −13.70 (−35.90; 5.80) |
| p | 0.229 2 | 0.998 2 | 0.904 2 | 0.848 | 0.501 | 0.167 |
| Grade | ||||||
| 1 | 62.86 ± 13.65 | 76.56 ± 16.25 | 29.47 ± 6.54 | 56.63 (28.85; 108.64) | 19.40 (16.10; 52.77) | 67.50 (59.80; 93.80) |
| 3 | 70.25 ± 12.46 | 78.07 ± 13.51 | 30.06 ± 5.79 | 114.54 (69.51; 196.77) | 55.20 (25.45; 204.95) | 187.70 (112.90; 261.70) |
| MD (95% CI) | −7.39 (−15.77; 0.98) 1 | −1.51 (−11.56; 8.54) 1 | −0.60 (−4.72; 3.52) 1 | −57.91 (−105.42; −8.31) | −35.80 (−197.40; 4.30) | −120.20 (−196.70; −16.90) |
| p | 0.082 2 | 0.763 2 | 0.772 2 | 0.020 | 0.149 | 0.011 |
| Tumor histology | ||||||
| Endometrioid | 64.92 ± 11.98 | 76.23 ± 15.01 | 29.59 ± 6.01 | 58.57 (28,64; 107.29) | 23.55 (15.65; 73.65) | 76.25 (62.52; 144.07) |
| Serous | 72.20 ± 14.75 | 73.11 ± 15.24 | 28.47 ± 5.88 | 78,45 (44.66; 129.15) | 77.70 (46.13; 148.15) | 111.40 (53.30; 174.00) |
| MD (95% CI) | −7.28 (−15.42; 0.86) 1 | 3.12 (−7.36; 13.59) 1 | 1.12 (−3.06; 5.30) 1 | −19.88 (−66.72; 19.03) | −54.15 (−134.60; 54.40) | −35.15 (−92.90; 65.20) |
| p | 0.079 2 | 0.556 2 | 0.596 2 | 0.322 | 0.243 | 0.917 |
| Tumor histology | ||||||
| Endometrioides | 64.92 ± 11.98 | 76.23 ± 15.01 | 29.59 ± 6.01 | 58.57 (28.64; 107.29) | 23.55 (15.65; 73.65) | 76.25 (62.52; 144.07) |
| Other | 69.71 ± 14.56 | 77.81 ± 18.24 | 29.59 ± 6.51 | 78.45 (33.31; 129.15) | 77.70 (46.13; 148.15) | 96.30 (60.27; 158.35) |
| MD (95% CI) | −4.80 (−11.86; 2.27) 1 | −1.58 (−10.73; 7.57) 1 | −0.01 (−3.60; 3.59) 1 | −19.88 (−57.34; 18.71) | −54.15 (−134.60; 54.40) | −20.05 (−61.10; 58.80) |
| p | 0.181 2 | 0.733 2 | 0.997 2 | 0.418 | 0.243 | 0.975 |
| metastasis to illiac lymphnodes | ||||||
| Yes | 70.86 ± 9,55 | 74.83 ± 9.04 | 29.00 ± 3.43 | 182.36 (96.19; 421.00) | 43.95 (29.27; 58.62) | 76.30 (74.55; 116.30) |
| No | 64.36 ± 11,99 | 75.19 ± 14.87 | 29.07 ± 5.39 | 53.53 (24.51; 95.48) | 19.00 (11.00; 33.45) | 65.30 (56.30; 98.85) |
| MD (95% CI) | 6.50 (−3.06; 16.07) 1 | −0.36 (−12.92; 12.21) 1 | −0.07 (−4.63; 4.50) 1 | 128.83 (21.64; 377.52) | 24.95 (−142.80; 63.80) | 11.00 (−67.20; 92.80) |
| p | 0.178 2 | 0.955 2 | 0.977 2 | 0.009 | 0.513 | 0.369 |
| Angioinvasion | ||||||
| Yes | 72.86 ± 12,77 | 70.86 ± 10.49 | 28.06 ± 4.46 | 85.84 (39.71; 421.00) | 32.30 (32.30; 32.30) | 76.00 (76.00; 76.00) |
| No | 63.97 ± 10,89 | 78.80 ± 17.77 | 30.46 ± 6.61 | 77.35 (24.95; 115.24) | 15.30 (12.40; 18.80) | 65.30 (60.02; 77.00) |
| MD (95% CI) | 8.89 (−0.69; 18.47) 1 | −7.94 (−22.21; 6.33) 1 | −2.40 (−7.76; 2.96) 1 | 8.49 (−37.47; 377.52) | 17.00 (−22.90; 22.80) | 10.70 (−258.70; 56.60) |
| p | 0.068 2 | 0.266 2 | 0.370 2 | 0.350 | 0.545 | 0.562 |
| Recurrence | ||||||
| Yes | 70.33 ± 9.20 | 65.67 ± 11.33 | 25.69 ± 4.82 | 41.34 (21.34; 61.53) | 174.00 (174.00; 174.00) | 166.00 (83.30; 174.50) |
| No | 65.42 ± 11.69 | 67.00 ± 10.84 | 26.16 ± 3.51 | 37.10 (25.69; 80.73) | 23.10 (18.25; 63.58) | 82.15 (73.60; 165.50) |
| MD (95% CI) | 4.92 (−6.71; 16.55) 1 | −1.33 (−12.98; 10.32) 1 | −0.48 (−4.68; 3.73) 1 | 4.24 (−57.39; 28.98) | 150.90 (−118.00; 164.50) | 83.85 (−116.40; 105.60) |
| p | 0.383 2 | 0.811 2 | 0.813 2 | 0.553 | 0.444 | 0.594 |
| FIGO | ||||||
| IA | 63.67 ± 12,34 | 77.94 ± 15.18 | 30.05 ± 5.84 | 59.74 (21.74; 113.18) | 17.60 (12.60; 30.60) | 65.30 (54.60; 86.50) |
| IB | 69.50 ± 10,84 | 72.75 ± 15.60 | 28.44 ± 6.08 | 54.89 (37.01; 79.04) | 32.30 (26.50; 49.00) | 82.80 (68.50; 162.20) |
| MD (95% CI) | −5.83 (−11.49; −0.17) 1 | 5.19 (−2.29; 12.66) 1 | 1.60 (−1.29; 4.49) 1 | 4.85 (−18.33; 34.63) | −14.70 (−29.40; −1.40) | −17.50 (−54.90; −2.80) |
| p | 0.044 2 | 0.170 2 | 0.272 2 | 0.675 | 0.028 | 0.025 |
| FIGO | ||||||
| IA + IB | 65.90 ± 12.05 | 75.86 ± 15.45 | 29.41 ± 5.95 | 54.98 (28.22; 101.57) | 19.45 (15.65; 39.78) | 71.85 (60.02; 99.15) |
| Inne | 63.43 ± 13.28 | 77.95 ± 17.39 | 29.88 ± 7.01 | 85.84 (31.99;134.48) | 20.60 (13.75; 137.10) | 114.30 (73.48; 189.93) |
| MD (95% CI) | 2.48 (−3.59; 8.54) 1 | −2.09 (−10.09; 5.92) 1 | −0.47 (−3.59; 2.65) 1 | −30.86 (−53.57; 7.67) | −1.15 (−100.70; 10.30) | −42.45 (−104.90; 1.30) |
| p | 0.420 2 | 0.606 2 | 0.764 2 | 0.178 | 0.732 | 0.058 |
| FIGO | ||||||
| IA + IB | 65.90 ± 12.05 | 75.86 ± 15.45 | 29.41 ± 5.95 | 54.98 (28.22; 101.57) | 19.45 (15.65; 39.78) | 71.85 (60.02; 99.15) |
| II | 62.60 ± 15.77 | 83.80 ± 20.95 | 32.00 ± 8.24 | 64.97 (32.42; 97.63) | 16.30 (13.10; 58.25) | 77.30 (59.02; 104.28) |
| MD (95% CI) | 3.30 (−5.09; 11.70) 1 | −7.94 (−18.83; 2.95) 1 | −2.59 (−6.80; 1.62) 1 | −9.99 (−32.31; 27.35) | 3.15 (−81.00; 45.20) | −5.45 (−31.70; 32.60) |
| p | 0.436 2 | 0.151 2 | 0.224 2 | 0.748 | 0.681 | 0.990 |
| FIGO | ||||||
| IA + IB | 65.90 ± 12.05 | 75.86 ± 15.45 | 29.41 ± 5.95 | 54.98 (28.22; 101.57) | 19.45 (15.65; 39.78) | 71.85 (60.02; 99.15) |
| III | 78.00 ** | 64.00 ** | 26.64 ** | 692.00 (692.00; 692.00) | - | - |
| MD (95% CI) | −12.10 (−36.28; 12.09) 1 | 11.86 (−19.18; 42.91) 1 | 2.77 (−9.18; 14.71) 1 | −637.02 (−687.64; −382.35) | - | - |
| p | 0.322 2 | 0.448 2 | 0.645 2 | 0.092 | - | - |
| Variable | Cut-Off Point | AUC (95% CI) | Sensitivity | Specificity | Accuracy | PPV | NPV | p |
|---|---|---|---|---|---|---|---|---|
| Tumor histology (endometiroid vs. serous) | ||||||||
| FGF 21 | 23.10 | 0.597 (0.404;0.789) | 0.21 | 1.00 | 0.29 | 1.00 | 0.13 | 0.022 |
| Tumor histology (endometiroid vs. other) | ||||||||
| FGF 21 | 320.00 | 0.568 (0.390;0.746) | 1.00 | 0.21 | 0.89 | 0.89 | 1.00 | 0.023 |
| FIGO (IB vs. IA) | ||||||||
| HE4 | 68.05 | 0.683 (0.535;0.830) | 0.58 | 0.76 | 0.65 | 0.79 | 0.53 | 0.023 |
| FIGO (other vs. IA + IB) | ||||||||
| FGF 21 | 53.48 | 0.602 (0.522;0.683) | 0.53 | 0.65 | 0.61 | 0.44 | 0.73 | 0.004 |
Disclaimer/Publisher’s Note: The statements, opinions and data contained in all publications are solely those of the individual author(s) and contributor(s) and not of MDPI and/or the editor(s). MDPI and/or the editor(s) disclaim responsibility for any injury to people or property resulting from any ideas, methods, instructions or products referred to in the content. |
© 2023 by the authors. Licensee MDPI, Basel, Switzerland. This article is an open access article distributed under the terms and conditions of the Creative Commons Attribution (CC BY) license (https://creativecommons.org/licenses/by/4.0/).
Share and Cite
Jagodzińska, A.; Chudecka-Głaz, A.; Michalczyk, K.; Pius-Sadowska, E.; Wieder-Huszla, S.; Jurczak, A.; Machaliński, B. The Diagnostic Role of FGF 21 in Endometrial Cancer and Other Pathologies of the Uterine Corpus. Diagnostics 2023, 13, 399. https://doi.org/10.3390/diagnostics13030399
Jagodzińska A, Chudecka-Głaz A, Michalczyk K, Pius-Sadowska E, Wieder-Huszla S, Jurczak A, Machaliński B. The Diagnostic Role of FGF 21 in Endometrial Cancer and Other Pathologies of the Uterine Corpus. Diagnostics. 2023; 13(3):399. https://doi.org/10.3390/diagnostics13030399
Chicago/Turabian StyleJagodzińska, Anna, Anita Chudecka-Głaz, Kaja Michalczyk, Ewa Pius-Sadowska, Sylwia Wieder-Huszla, Anna Jurczak, and Bogusław Machaliński. 2023. "The Diagnostic Role of FGF 21 in Endometrial Cancer and Other Pathologies of the Uterine Corpus" Diagnostics 13, no. 3: 399. https://doi.org/10.3390/diagnostics13030399
APA StyleJagodzińska, A., Chudecka-Głaz, A., Michalczyk, K., Pius-Sadowska, E., Wieder-Huszla, S., Jurczak, A., & Machaliński, B. (2023). The Diagnostic Role of FGF 21 in Endometrial Cancer and Other Pathologies of the Uterine Corpus. Diagnostics, 13(3), 399. https://doi.org/10.3390/diagnostics13030399

