An Optimized Strategy Based on Conventional Ultrasound for Diagnosing Metabolic Dysfunction-Associated Steatotic Liver Disease
Abstract
:1. Introduction
2. Materials and Methods
2.1. Study Design
2.2. Clinical and Metabolic Evaluation
- Fatty liver index (FLI): (e0.953×loge (TG)+0.139×BMI+0.718×loge (GGT)+0.053×WC−15.745)/(1 + e0.953×loge (TG/0.0113)+0.139×BMI+0.718×loge (GGT)+0.053×WC−15.745) × 100 [14]
- Hepatic steatosis index (HSI):8 × ALT/AST ratio +BMI (+2, if DM; +2, if female) [15]
- Liver Fat Score (LFS): −2.89 + 1.18 × metabolic syndrome (yes = 1/no = 0) + 0.45 × Type 2 DM (yes = 2/no = 0) + 0.15 × FINS (mU/L) + 0.04 × AST(U/L) − 0.94 × AST/ALT [16]
- Visceral Adiposity Index (VAI) [17]Male: VAI = [WC/39.68 + (1.88 ×BMI)] × [TG/1.03] × (1.31/HDL)Female: VAI = [WC/36.58 + (1.89 × BMI)] × (TG/0.81) × (1.52/HDL)
- Triglycerides × Glucose index (TyG): ln [TG (mg/dL) × FBG (mg/dL)/2] [17]
2.3. Ultrasonography
2.4. Two-Dimensional Shear Wave Elastography (2D-SWE)
2.5. MRI-PDFF
2.6. Histological Assessment
2.7. Statistical Analysis
3. Results
3.1. Patient Characteristics
3.2. Clinical Characteristics of Subjects with Different Outcomes by Ultrasound
3.3. Factors Associated with Missed and Misdiagnosis with Ultrasound and Foundation of the Optimized Diagnostic Method
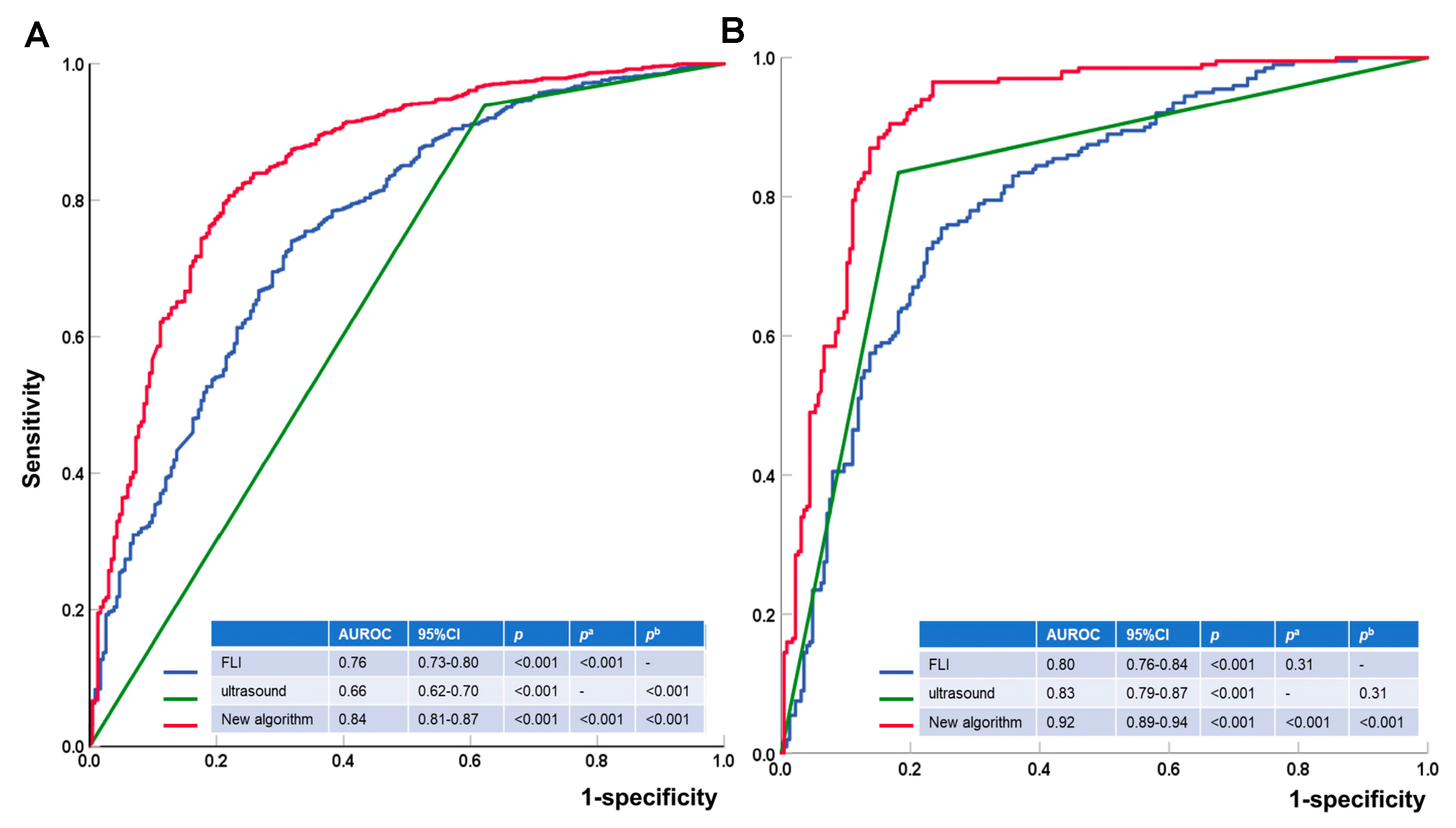
3.4. Validation of the New Strategy in the Liver Biopsy Cohort
4. Discussion
5. Conclusions
Author Contributions
Funding
Institutional Review Board Statement
Informed Consent Statement
Data Availability Statement
Conflicts of Interest
References
- Rinella, M.E.; Lazarus, J.V.; Ratziu, V.; Francque, S.M.; Sanyal, A.J.; Kanwal, F.; Romero, D.; Abdelmalek, M.F.; Anstee, Q.M.; Arab, J.P.; et al. A multisociety Delphi consensus statement on new fatty liver disease nomenclature. Hepatology 2023, 29, 101133. [Google Scholar] [CrossRef]
- Tang, A.; Ng, C.H.; Phang, P.H.; Chan, K.E.; Chin, Y.H.; Fu, C.E.; Zeng, R.W.; Xiao, J.; Tan, D.J.H.; Quek, J.; et al. Comparative Burden of Metabolic Dysfunction in Lean NAFLD vs Non-lean NAFLD—A Systematic Review and Meta-analysis. Clin. Gastroenterol. Hepatol. 2022, 21, 1750–1760.e12. [Google Scholar] [CrossRef] [PubMed]
- Eslam, M.; El-Serag, H.B.; Francque, S.; Sarin, S.K.; Wei, L.; Bugianesi, E.; George, J. Metabolic (dysfunction)-associated fatty liver disease in individuals of normal weight. Nat. Rev. Gastroenterol. Hepatol. 2022, 19, 638–651. [Google Scholar] [CrossRef] [PubMed]
- Anastasiou, G.; Liberopoulos, E.; Petkou, E.; Koutsogianni, A.D.; Adamidis, P.S.; Liamis, G.; Ntzani, E.; Barkas, F. Association of Fatty Liver Index with Incident Diabetes Risk in Patients Initiating Statin–Therapy: A 6-Year Retrospective Study. Diagnostics 2023, 13, 503. [Google Scholar] [CrossRef] [PubMed]
- Salaheldin, M.; Aly, H.; Lau, L.; Afify, S.; El-Kassas, M. Nonalcoholic Fatty Liver Disease-Related Hepatocellular Carcinoma: The Next Threat after Viral Hepatitis. Diagnostics 2023, 13, 2631. [Google Scholar] [CrossRef]
- Van Tran, B.; Ujita, K.; Taketomi-Takahashi, A.; Hirasawa, H.; Suto, T.; Tsushima, Y. Reliability of ultrasound hepatorenal index and magnetic resonance imaging proton density fat fraction techniques in the diagnosis of hepatic steatosis, with magnetic resonance spectroscopy as the reference standard. PLoS ONE 2021, 16, e0255768. [Google Scholar] [CrossRef]
- Ferraioli, G.; Soares Monteiro, L.B. Ultrasound-based techniques for the diagnosis of liver steatosis. World J. Gastroenterol. 2019, 25, 6053–6062. [Google Scholar] [CrossRef]
- Petzold, G. Role of Ultrasound Methods for the Assessment of NAFLD. J. Clin. Med. 2022, 11, 4581. [Google Scholar] [CrossRef]
- Lee, D.H. Quantitative assessment of fatty liver using ultrasound attenuation imaging. J. Med. Ultrason. 2021, 48, 465–470. [Google Scholar] [CrossRef]
- Bril, F.; Barb, D.; Portillo-Sanchez, P.; Biernacki, D.; Lomonaco, R.; Suman, A.; Weber, M.H.; Budd, J.T.; Lupi, M.E.; Cusi, K. Metabolic and histological implications of intrahepatic triglyceride content in nonalcoholic fatty liver disease. Hepatology 2017, 65, 1132–1144. [Google Scholar] [CrossRef]
- Dietrich, C.F.; Shi, L.; Löwe, A.; Dong, Y.; Potthoff, A.; Sparchez, Z.; Teufel, A.; Guth, S.; Koch, J.; Barr, R.G.; et al. Conventional ultrasound for diagnosis of hepatic steatosis is better than believed. Z. Gastroenterol. 2022, 60, 1235–1248. [Google Scholar] [CrossRef]
- Stone, N.J.; Bilek, S.; Rosenbaum, S. Recent National Cholesterol Education Program Adult Treatment Panel III Update: Adjustments and Options. Am. J. Cardiol. 2005, 96, 53E–59E. [Google Scholar] [CrossRef]
- Shao, C.X.; Ye, J.; Dong, Z.; Li, F.; Lin, Y.; Liao, B.; Feng, S.; Zhong, B. Steatosis grading consistency between controlled attenuation parameter and MRI-PDFF in monitoring metabolic associated fatty liver disease. Ther. Adv. Chronic Dis. 2021, 12, 20406223211033119. [Google Scholar] [CrossRef] [PubMed]
- Cho, E.-J.; Jung, G.-C.; Kwak, M.-S.; Yang, J.-I.; Yim, J.-Y.; Yu, S.-J.; Chung, G.-E. Fatty Liver Index for Predicting Nonalcoholic Fatty Liver Disease in an Asymptomatic Korean Population. Diagnostics 2021, 11, 2233. [Google Scholar] [CrossRef] [PubMed]
- Lee, J.-H.; Kim, D.; Kim, H.J.; Lee, C.-H.; Yang, J.I.; Kim, W.; Kim, Y.J.; Yoon, J.-H.; Cho, S.-H.; Sung, M.-W.; et al. Hepatic steatosis index: A simple screening tool reflecting nonalcoholic fatty liver disease. Dig. Liver Dis. 2010, 42, 503–508. [Google Scholar] [CrossRef]
- Sandboge, S.; Perälä, M.-M.; Salonen, M.K.; Blomstedt, P.A.; Osmond, C.; Kajantie, E.; Barker, D.J.P.; Eriksson, J.G. Early growth and non-alcoholic fatty liver disease in adulthood—The NAFLD liver fat score and equation applied on the Helsinki Birth Cohort Study. Ann. Med. 2013, 45, 430–437. [Google Scholar] [CrossRef]
- Fedchuk, L.; Nascimbeni, F.; Pais, R.; Charlotte, F.; Housset, C.; Ratziu, V.; The LIDO Study Group. Performance and limitations of steatosis biomarkers in patients with nonalcoholic fatty liver disease. Aliment. Pharmacol. Ther. 2014, 40, 1209–1222. [Google Scholar] [CrossRef] [PubMed]
- Karlas, T.; Blank, V.; Böhlig, A. Diagnostic Value of Ultrasound in Fatty Liver Disease. Ultraschall Med. 2021, 42, 128–153. [Google Scholar] [CrossRef] [PubMed]
- Zhang, X.-Q.; Zheng, R.-Q.; Jin, J.-Y.; Wang, J.-F.; Zhang, T.; Zeng, J. US Shear-Wave Elastography Dispersion for Characterization of Chronic Liver Disease. Radiology 2022, 305, 212609. [Google Scholar] [CrossRef]
- Gu, Q.; Cen, L.; Lai, J.; Zhang, Z.; Pan, J.; Zhao, F.; Yu, C.; Li, Y.; Chen, C.; Chen, W.; et al. A meta-analysis on the diagnostic performance of magnetic resonance imaging and transient elastography in nonalcoholic fatty liver disease. Eur. J. Clin. Investig. 2021, 51, e13446. [Google Scholar] [CrossRef]
- Bohte, A.E.; van Werven, J.R.; Bipat, S.; Stoker, J. The diagnostic accuracy of US, CT, MRI and 1H-MRS for the evaluation of hepatic steatosis compared with liver biopsy: A meta-analysis. Eur. Radiol. 2011, 21, 87–97. [Google Scholar] [CrossRef] [PubMed]
- Starekova, J.; Hernando, D.; Pickhardt, P.J.; Reeder, S.B. Quantification of Liver Fat Content with CT and MRI: State of the Art. Radiology 2021, 301, 250–262. [Google Scholar] [CrossRef] [PubMed]
- Tamaki, N.; Ajmera, V.; Loomba, R. Non-invasive methods for imaging hepatic steatosis and their clinical importance in NAFLD. Nat. Rev. Endocrinol. 2022, 18, 55–66. [Google Scholar] [CrossRef] [PubMed]
- Qu, Y.; Li, M.; Hamilton, G.; Zhang, Y.N.; Song, B. Diagnostic accuracy of hepatic proton density fat fraction measured by magnetic resonance imaging for the evaluation of liver steatosis with histology as reference standard: A meta-analysis. Eur. Radiol. 2019, 29, 5180–5189. [Google Scholar] [CrossRef] [PubMed]
- Andersson, A.; Kelly, M.; Imajo, K.; Nakajima, A.; Fallowfield, J.A.; Hirschfield, G.; Pavlides, M.; Sanyal, A.J.; Noureddin, M.; Banerjee, R.; et al. Clinical Utility of Magnetic Resonance Imaging Biomarkers for Identifying Nonalcoholic Steatohepatitis Patients at High Risk of Progression: A Multicenter Pooled Data and Meta-Analysis. Clin. Gastroenterol. Hepatol. 2021, 20, 2451–2461.e3. [Google Scholar] [CrossRef]
- Li, G.; Zhang, X.; Lin, H.; Liang, L.Y.; Wong, G.L.; Wong, V.W. Non-invasive tests of non-alcoholic fatty liver disease. Chin. Med. J. 2022, 135, 532–546. [Google Scholar] [CrossRef]
- Petroff, D.; Blank, V.; Newsome, P.N.; Shalimar; Voican, C.S.; Thiele, M.; de Lédinghen, V.; Baumeler, S.; Chan, W.K.; Perlemuter, G.; et al. Assessment of hepatic steatosis by controlled attenuation parameter using the M and XL probes: An individual patient data meta-analysis. Lancet Gastroenterol. Hepatol. 2021, 6, 185–198. [Google Scholar] [CrossRef]
- Castera, L.; Friedrich-Rust, M.; Loomba, R. Noninvasive Assessment of Liver Disease in Patients with Nonalcoholic Fatty Liver Disease. Gastroenterology 2019, 156, 1264–1281.e4. [Google Scholar] [CrossRef] [PubMed]
- De Lédinghen, V.; Vergniol, J.; Capdepont, M.; Chermak, F.; Hiriart, J.-B.; Cassinotto, C.; Merrouche, W.; Foucher, J.; Brigitte, L.B. Controlled attenuation parameter (CAP) for the diagnosis of steatosis: A prospective study of 5323 examinations. J. Hepatol. 2014, 60, 1026–1031. [Google Scholar] [CrossRef]
- Collin, R.; Magnin, B.; Gaillard, C.; Nicolas, C.; Abergel, A.; Buchard, B. Prospective study comparing hepatic steatosis assessment by magnetic resonance imaging and four ultrasound methods in 105 successive patients. World J. Gastroenterol. 2023, 29, 3548–3560. [Google Scholar] [CrossRef]
- Khadka, S.; Pandit, R.; Dhital, S.; Baniya, J.B.; Tiwari, S.; Shrestha, B.; Pandit, S.; Sato, F.; Fujita, M.; Sharma, M.; et al. Evaluation of Five International HBV Treatment Guidelines: Recommendation for Resource-Limited Developing Countries Based on the National Study in Nepal. Pathophysiology 2020, 27, 2. [Google Scholar] [CrossRef] [PubMed]
- Pirmoazen, A.M.; Khurana, A.; El Kaffas, A.; Kamaya, A. Quantitative ultrasound approaches for diagnosis and monitoring hepatic steatosis in nonalcoholic fatty liver disease. Theranostics 2020, 10, 4277–4289. [Google Scholar] [CrossRef] [PubMed]
- Wu, A.H.; Gladden, J.D.; Ahmed, M.; Ahmed, A.; Filippatos, G. Relation of serum uric acid to cardiovascular disease. Int. J. Cardiol. 2016, 213, 4–7. [Google Scholar] [CrossRef]
- Li, C.; Hsieh, M.C.; Chang, S.J. Metabolic syndrome, diabetes, and hyperuricemia. Curr. Opin. Rheumatol. 2013, 25, 210–216. [Google Scholar] [CrossRef] [PubMed]
- Wei, F.; Li, J.; Chen, C.; Zhang, K.; Cao, L.; Wang, X.; Ma, J.; Feng, S.; Li, W.-D. Higher Serum Uric Acid Level Predicts Non-alcoholic Fatty Liver Disease: A 4-Year Prospective Cohort Study. Front. Endocrinol. 2020, 11, 179. [Google Scholar] [CrossRef]
- Liang, J.; Pei, Y.; Gong, Y.; Liu, X.K.; Dou, L.J.; Zou, C.Y.; Qiu, Q.Q.; Yang, M.Q.; Qi, L. Serum uric acid and non-alcoholic fatty liver disease in non-hypertensive Chinese adults: The Cardiometabolic Risk in Chinese (CRC) study. Eur. Rev. Med. Pharmacol. Sci. 2015, 19, 305–311. [Google Scholar] [PubMed]
- He, J.; Ye, J.; Sun, Y.; Feng, S.; Chen, Y.; Zhong, B. The Additive Values of the Classification of Higher Serum Uric Acid Levels as a Diagnostic Criteria for Metabolic-Associated Fatty Liver Disease. Nutrients 2022, 14, 3587. [Google Scholar] [CrossRef]






| Non-MASLD by MRI-PDFF (n = 233) | MASLD by MRI-PDFF (n = 1256) | Non-MASLD by Biopsy (n = 226) | MASLD by Biopsy (n = 200) | |||||||||
|---|---|---|---|---|---|---|---|---|---|---|---|---|
| Misdiagnosis (n = 145) | Non-Misdiagnosis (n = 88) | p | Missed Diagnosis (n = 77) | Non-Missed Diagnosis (n = 1179) | p | Misdiagnosis (n = 41) | Non-Misdiagnosis (n = 185) | p | Missed Diagnosis (n = 33) | Non-Missed Diagnosis (n = 167) | p | |
| Age, years | 41 ± 12 | 43 ± 12 | 0.11 | 45 ± 14 | 41 ± 13 | 0.008 | 48 ± 15 | 52 ± 12 | 0.06 | 43 ± 12 | 42 ± 14 | 0.63 |
| Male, n (%) | 70 (0.7) | 67 (0.8) | 0.12 | 56 (0.69) | 884 (0.72) | 0.53 | 25 (73.5) | 143 (77.3) | 0.63 | 28 (0.85) | 106 (0.61) | 0.008 |
| Body mass index (BMI), kg/m2 | 23.8 ± 2.8 | 24.6 ± 3.5 | 0.12 | 26.4 ± 4.4 | 27.0 ± 4.0 | 0.23 | 27.9 ± 8.3 | 23.5 ± 2.8 | <0.001 | 25.6 ± 4.4 | 27.9 ± 5.9 | 0.05 |
| BMI < 23 kg/m2, n (%) | 26 (0.26) | 18 (0.21) | 0.22 | 11 (0.14) | 143 (0.12) | 0.64 | 9 (26.5) | 76 (41.1) | 7 (0.21) | 25 (0.14) | ||
| BMI 23–24.99 kg/m2, n (%) | 14 (0.14) | 20 (0.23) | 15 (0.18) | 188 (0.15) | 7 (20.6) | 69 (37.3) | <0.001 | 8 (0.24) | 40 (0.23) | 0.65 | ||
| BMI ≥ 25 kg/m2, n (%) | 60 (0.60) | 46 (0.55) | 55 (0.68) | 893 (0.73) | 18 (52.9) | 40 (21.6) | 18 (0.55) | 109 (0.63) | ||||
| Diabetes mellitus (%) | 4 (0.04) | 5 (0.06) | 0.53 | 4 (0.05) | 97 (0.08) | 0.33 | 2 (5.9) | 16 (8.6) | 0.65 | 5 (15.2) | 24 (13.8) | 0.83 |
| Abdominal circumference, cm | 86.7 ± 8.2 | 88.2 ± 10.2 | 0.32 | 92.6 ± 10.4 | 94.0 ± 9.6 | 0.22 | 97.8 ± 20.7 | 84.8 ± 9.0 | <0.001 | 91.6 ± 10.0 | 98.8 ± 16.6 | 0.02 |
| Hypertension (%) | 69 (0.69) | 59 (0.70) | 0.93 | 54 (0.67) | 856 (0.70) | 0.52 | 15 (44.1) | 94 (50.8) | 0.55 | |||
| Systolic pressure, mmHg | 125 ± 15 | 130 ± 16 | 0.02 | 129 ± 13 | 131 ± 16 | 0.24 | 127 ± 10 | 130 ± 13 | 0.08 | 131 ± 13 | 130 ± 16 | 0.65 |
| Diastolic pressure, mmHg | 82 ± 11 | 85 ± 11 | 0.52 | 85 ± 10 | 86 ± 12 | 0.46 | 78 ± 9 | 84 ± 10 | 0.001 | 87 ± 12 | 83 ± 11 | 0.04 |
| Metabolic syndrome (%) | 31 (0.31) | 20 (0.24) | 0.43 | 23 (0.28) | 596 (0.49) | <0.001 | 13 (38.2) | 22 (11.9) | 0.001 | 22 (66.7) | 91 (52.3) | 0.13 |
| Alanine aminotransferase, U/L | 35.1 ± 32.0 | 32.9 ± 23.3 | 0.62 | 43.3 ± 36.4 | 58.1 ± 49.4 | 0.008 | 59.2 ± 46.5 | 58.1 ± 71 | 0.95 | 74.5 ± 41.6 | 83.4 ± 56.1 | 0.56 |
| Aspartate aminotransferase, U/L | 30.0 ± 21.5 | 30.9 ± 18.4 | 0.72 | 34.4 ± 34.0 | 40.1 ± 34.4 | 0.15 | 45.4 ± 29.1 | 64.2 ± 73.9 | 0.14 | 44.8 ± 16.3 | 52.3 ± 41.3 | 0.37 |
| Alkaline phosphatase, U/L | 75.8 ± 20.0 | 79.8 ± 24.7 | 0.23 | 80.7 ± 25.1 | 81.2 ± 31.2 | 0.93 | 104.0 ± 62.6 | 99.1 ± 45.6 | 0.63 | 86.0 ± 15.9 | 93.1 ± 46.9 | 0.47 |
| Glutamate transpeptidase, U/L | 47.9 ± 61.5 | 52.2 ± 60.7 | 0.63 | 55.5 ± 69.3 | 64.6 ± 77.4 | 0.35 | 84.6 ± 78.2 | 83.6 ± 78.6 | 0.93 | 105.0 ± 59.0 | 89.2 ± 93.1 | 0.37 |
| Uric acid, μmol/L | 381 ± 89 | 346 ± 76 | 0.002 | 398 ± 96 | 425 ± 104 | 0.02 | 378 ± 118 | 334 ± 82 | 0.005 | 413 ± 61 | 417 ± 132 | 0.84 |
| Cholesterol, mmol/L | 4.9 ± 1.0 | 5.1 ± 1.1 | 0.12 | 5.1 ± 1.0 | 5.2 ± 1.1 | 0.23 | 4.8 ± 1.0 | 4.7 ± 1.1 | 0.63 | 5.3 ± 0.9 | 5.1 ± 1.0 | 0.26 |
| Triglyceride, mmol/L | 1.3 ± 0.7 | 1.4 ± 0.7 | 0.11 | 1.6 ± 1.0 | 2.0 ± 1.3 | 0.02 | 1.3 ± 0.5 | 1.1 ± 0.4 | 0.002 | 2.5 ± 2.8 | 2.1 ± 1.5 | 0.23 |
| High-density lipoprotein, mmol/L | 1.2 ± 0.3 | 1.3 ± 0.3 | 0.24 | 1.3 ± 0.4 | 1.2 ± 0.4 | 0.14 | 1.4 ± 0.7 | 1.7 ± 1.8 | 0.34 | 1.1 ± 0.2 | 1.1 ± 0.5 | 0.54 |
| Low-density lipoprotein, mmol/L | 3.1 ± 0.8 | 3.2 ± 0.8 | 0.44 | 3.2 ± 0.7 | 3.2 ± 0.8 | 0.26 | 2.8 ± 0.8 | 2.7 ± 0.9 | 0.66 | 3.4 ± 0.8 | 3.2 ± 0.7 | 0.15 |
| Fasting blood glucose, mmol/L | 4.8 ± 0.6 | 5.2 ± 1.9 | 0.04 | 4.9 ± 0.8 | 5.2 ± 1.1 | 0.02 | 5.4 ± 1.0 | 5.5 ± 1.4 | 0.75 | 5.8 ± 1.0 | 5.5 ± 1.8 | 0.46 |
| Fasting insulin, μU/ml | 8.9 ± 5.0 | 8.5 ± 4.2 | 0.55 | 10.5 ± 6.0 | 12.1 ± 7.1 | 0.06 | 14.4 ± 9.0 | 10.5 ± 8.4 | 0.01 | 15.3 ± 5.8 | 16.7 ± 10.9 | 0.55 |
| HOMA–insulin resistance | 1.9 ± 1.1 | 2.0 ± 1.4 | 0.72 | 2.3 ± 1.5 | 2.8 ± 2.0 | 0.03 | 3.6 ± 2.7 | 2.6 ± 2.4 | 0.02 | 4.1 ± 1.9 | 4.2 ± 3.1 | 0.86 |
| Liver fat content of MRI-PDFF Mild steatosis (%) | 6.3 ± 4.9 - | 3.9 ± 1.1 - | <0.05 - | 8.9 ± 4.7 73 (0.90) | 15.1 ± 8.1 737 (0.60) | <0.001 | - | - | - | - | - | - |
| Moderate steatosis, n (%) | - | - | - | 3 (0.04) | 190 (0.16) | <0.001 | ||||||
| Severe steatosis, n (%) | - | - | - | 5 (0.06) | 297 (0.24) | |||||||
| Thickness of subcutaneous fat, cm | 22.0 ± 7.0 | 23.5 ± 7.6 | 0.43 | 24.6 ± 8.6 | 23.9 ± 8.3 | 0.56 | ||||||
| Liver stiffness with SWE, kpa, | 6.0 ± 3.1 | 6.4 ± 2.6 | 0.42 | 6.5 ± 2.5 | 6.5 ± 2.9 | 0.94 | 13.6 ± 11.1 | 16.2 ± 8.2 | 0.24 | 6.9 ± 2.5 | 7.0 ± 3.6 | 0.93 |
| Controlled attenuation parameter | 260 ± 44 | 258 ± 43 | 0.82 | 262 ± 40 | 290 ± 49 | 0.002 | - | - | - | - | - | - |
| Liver stiffness measurement | 5.8 ± 2.6 | 6.8 ± 4.1 | 0.24 | 6.6 ± 2.7 | 8.0 ± 13.8 | 0.64 | - | - | - | - | - | - |
| Fatty liver index | 31.2 ± 21.4 | 38.6 ± 24.0 | 0.25 | 47.2 ± 26.2 | 56.5 ± 23.7 | 0.001 | 56.2 ± 32.0 | 35.2 ± 22.2 | <0.001 | 65.1 ± 22.8 | 68.0 ± 24.1 | 0.54 |
| Hepatic steatosis index | 34.4 ± 5.0 | 34.4 ± 5.0 | 0.92 | 37.6 ± 6.3 | 38.9 ± 6.7 | 0.15 | 40.1 ± 12.3 | 32.4 ± 4.7 | <0.001 | 39.3 ± 7.0 | 42.7 ± 10.1 | 0.07 |
| Liver fat score | −1.1 ± 1.5 | −1.1 ± 1.4 | 0.94 | −0.44 ± 1.8 | 0.38 ± 2.1 | 0.001 | 0.6 ± 2.3 | 0.2 ± 3.3 | 0.54 | 1.4 ± 1.8 | 1.7 ± 2.5 | 0.67 |
| Visceral adiposity index | 1.6 ± 1.2 | 1.8 ± 1.6 | 0.46 | 1.9 ± 1.3 | 2.6 ± 2.4 | 0.01 | 1.7 ± 1.0 | 1.2 ± 0.9 | 0.002 | 3.8 ± 6.3 | 3.2 ± 2.6 | 0.37 |
| Triglycerides × glucose index | 8.4 ± 0.5 | 8.6 ± 0.5 | 0.03 | 8.5 ± 0.5 | 8.8 ± 0.6 | <0.001 | 8.5 ± 0.4 | 8.4 ± 0.4 | 0.01 | 9.2 ± 0.6 | 8.9 ± 0.6 | 0.05 |
| Variables | Study Cohort | Validation Cohort | |||||||||
|---|---|---|---|---|---|---|---|---|---|---|---|
| Univariate | Multivariate | Univariate | Multivariate | ||||||||
| OR (95% CI) | p | OR (95% CI) | p | OR (95% CI) | p | OR (95% CI) | p | ||||
| Body mass index (BMI) | <0.001 | <0.001 | |||||||||
| BMI < 23 kg/m2 | reference | reference | |||||||||
| BMI 23–24.99 kg/m2 | 1.67 (0.96–2.92) | 0.07 | 1.67 (0.96–2.92) | 0.07 | |||||||
| BMI ≥ 25 kg/m2 | 6.64 (3.94–11.2) | <0.001 | 6.64 (3.94–11.2) | <0.001 | |||||||
| Abdominal obesity | 5.10 (3.37–7.72) | <0.001 | 5.10 (3.37–7.72) | <0.001 | |||||||
| Hypertension | 3.61 (2.60–5.03) | <0.001 | 13.34 (7.92–22.50) | <0.001 | |||||||
| Triglyceride > 1.7 mmol/L | 2.41 (1.72–3.35) | <0.001 | 3.94 (2.57–6.05) | <0.001 | |||||||
| Low–High-density lipoprotein | 2.16 (1.62–2.87) | <0.001 | 1.42 (0.97–2.09) | 0.07 | |||||||
| Impaired glucose metabolism | 2.41 (1.55–3.75) | <0.001 | 0.98 (0.66–1.45) | 0.92 | |||||||
| Number of Mets components | 2.52 (2.16–2.93) | <0.001 | 2.32 (1.96–2.76) | <0.001 | 2.75 (2.22–3.41) | <0.001 | 2.43 (1.87–3.16) | <0.001 | |||
| Metabolic syndrome | 4.28 (2.96–6.18) | <0.001 | 7.54 (4.77–11.90) | 0.002 | |||||||
| Alanine aminotransferase > 1 × ULN | 3.66 (2.74–4.88) | <0.001 | 2.20 (1.58–3.08) | <0.001 | 2.54 (1.49–4.30) | 0.001 | 2.25 (1.00–5.05) | <0.001 | |||
| Uric acid > 1 × ULN | 3.47 (2.53–4.77) | <0.001 | 1.87 (1.31–2.69) | <0.001 | 5.40 (3.52–8.30) | <0.001 | 2.68 (1.49–4.83) | 0.001 | |||
| Cholesterol > 5.7 mmol/L | 1.43 (1.02–1.99) | 0.04 | 1.84 (1.11–3.07) | 0.02 | |||||||
| HOMA–insulin resistance > 3.0 | 3.15 (2.07–4.79) | <0.001 | 3.59 (2.40–5.35) | <0.001 | |||||||
Disclaimer/Publisher’s Note: The statements, opinions and data contained in all publications are solely those of the individual author(s) and contributor(s) and not of MDPI and/or the editor(s). MDPI and/or the editor(s) disclaim responsibility for any injury to people or property resulting from any ideas, methods, instructions or products referred to in the content. |
© 2023 by the authors. Licensee MDPI, Basel, Switzerland. This article is an open access article distributed under the terms and conditions of the Creative Commons Attribution (CC BY) license (https://creativecommons.org/licenses/by/4.0/).
Share and Cite
Feng, X.; Ye, J.; Deng, H.; Li, X.; Xu, L.; Feng, S.; Dong, Z.; Liao, B.; Dong, Z.; Zhong, B. An Optimized Strategy Based on Conventional Ultrasound for Diagnosing Metabolic Dysfunction-Associated Steatotic Liver Disease. Diagnostics 2023, 13, 3503. https://doi.org/10.3390/diagnostics13233503
Feng X, Ye J, Deng H, Li X, Xu L, Feng S, Dong Z, Liao B, Dong Z, Zhong B. An Optimized Strategy Based on Conventional Ultrasound for Diagnosing Metabolic Dysfunction-Associated Steatotic Liver Disease. Diagnostics. 2023; 13(23):3503. https://doi.org/10.3390/diagnostics13233503
Chicago/Turabian StyleFeng, Xiongcai, Junzhao Ye, Hong Deng, Xin Li, Lishu Xu, Shiting Feng, Zhi Dong, Bing Liao, Zhiyong Dong, and Bihui Zhong. 2023. "An Optimized Strategy Based on Conventional Ultrasound for Diagnosing Metabolic Dysfunction-Associated Steatotic Liver Disease" Diagnostics 13, no. 23: 3503. https://doi.org/10.3390/diagnostics13233503
APA StyleFeng, X., Ye, J., Deng, H., Li, X., Xu, L., Feng, S., Dong, Z., Liao, B., Dong, Z., & Zhong, B. (2023). An Optimized Strategy Based on Conventional Ultrasound for Diagnosing Metabolic Dysfunction-Associated Steatotic Liver Disease. Diagnostics, 13(23), 3503. https://doi.org/10.3390/diagnostics13233503

