The Correlation of In Vivo MR Spectroscopy and Ex Vivo 2-Hydroxyglutarate Concentration for the Prediction of Isocitrate Dehydrogenase Mutation Status in Diffuse Glioma
Abstract
:1. Introduction
2. Methods
2.1. Patient Selection
2.2. Scanning Protocol
2.3. MR Spectroscopy Acquisition
2.4. Tissue Collection and Analysis
2.5. Statistics
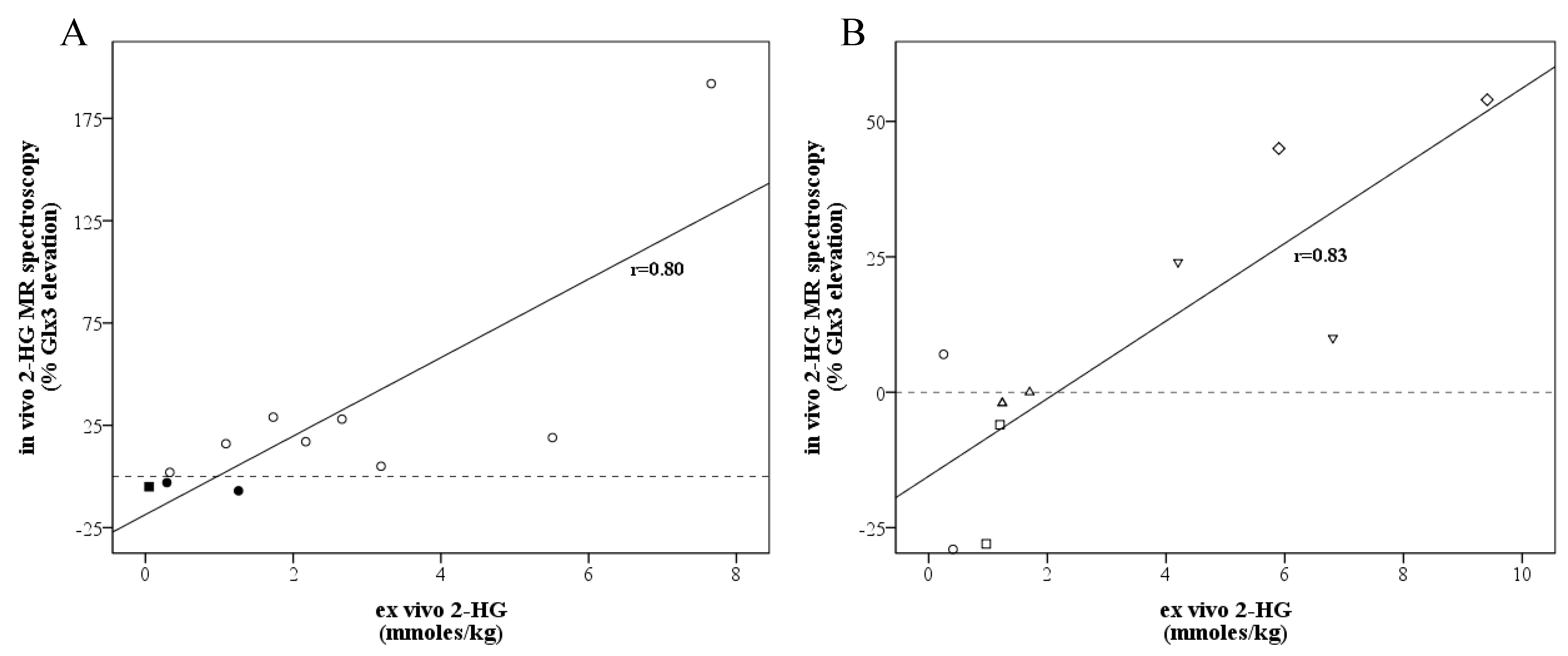
3. Results
4. Discussion
5. Limitations
6. Conclusions
Author Contributions
Funding
Institutional Review Board Statement
Informed Consent Statement
Data Availability Statement
Conflicts of Interest
References
- Brat, D.J.; Verhaak, R.G.W.; Aldape, K.D.; Yung, W.K.A.; Salame, S.R.; Cooper, L.A.D.; Rheinbay, E.; Miller, C.R.; Vitucci, M.; Morozova, O.; et al. Comprehensive, Integrative Genomic Analysis of Diffuse Lower-Grade Gliomas. N. Engl. J. Med. 2015, 372, 2481–2498. [Google Scholar] [PubMed]
- Louis, D.N.; Perry, A.; Wesseling, P.; Brat, D.J.; Cree, I.A.; Figarella-Branger, D.; Hawkins, C.; Ng, H.K.; Pfister, S.M.; Reifenberger, G.; et al. The 2021 WHO Classification of Tumors of the Central Nervous System: A summary. Neuro. Oncol. 2021, 23, 1231–1251. [Google Scholar] [CrossRef] [PubMed]
- Weller, M.; van den Bent, M.; Preusser, M.; Le Rhun, E.; Tonn, J.C.; Minniti, G.; Bendszus, M.; Balana, C.; Chinot, O.; Dirven, L.; et al. EANO guidelines on the diagnosis and treatment of diffuse gliomas of adulthood. Nat. Rev. Clin. Oncol. 2021, 18, 170–186. [Google Scholar] [CrossRef] [PubMed]
- Stupp, R.; Mason, W.P.; van den Bent, M.J.; Weller, M.; Fisher, B.; Taphoorn, M.J.B.; Belanger, K.; Brandes, A.A.; Marosi, C.; Bogdahn, U.; et al. Radiotherapy plus Concomitant and Adjuvant Temozolomide for Glioblastoma. N. Engl. J. Med. 2005, 352, 987–996. [Google Scholar] [CrossRef] [PubMed]
- Pope, W.B.; Prins, R.M.; Thomas, M.A.; Nagarajan, R.; Yen, K.E.; Bittinger, M.A.; Salamon, N.; Chou, A.P.; Yong, W.H.; Soto, H.; et al. Non-invasive detection of 2-hydroxyglutarate and other metabolites in IDH1 mutant glioma patients using magnetic resonance spectroscopy. J. Neuro. Oncol. 2021, 107, 197–205. [Google Scholar] [CrossRef] [PubMed]
- Andronesi, O.C.; Kim, G.S.; Gerstner, E.; Batchelor, T.; Tzika, A.A.; Fantin, V.R.; Vander Heiden, M.G.; Sorensen, A.G. Detection of 2-hydroxyglutarate in IDH-mutated glioma patients by in vivo spec-tral-editing and 2D correlation magnetic resonance spectroscopy. Sci. Transl. Med. 2012, 4, 116ra4. [Google Scholar] [CrossRef] [PubMed]
- Tietze, A.; Choi, C.; Mickey, B.; Maher, E.A.; Ulhøi, B.P.; Sangill, R.; Lassen-Ramshad, Y.; Lukacova, S.; Østergaard, L.; von Oettingen, G.; et al. Noninvasive assessment of isocitrate dehydrogenase mutation status in cerebral gliomas by magnetic resonance spectroscopy in a clinical setting. J. Neurosurg. 2018, 128, 391–398. [Google Scholar] [CrossRef] [PubMed]
- Suh, C.H.; Kim, H.S.; Jung, S.C.; Choi, C.G.; Kim, S.J. 2-Hydroxyglutarate MR spectroscopy for prediction of isocitrate dehydrogenase mutant glioma: A systemic review and meta-analysis using individual patient data. Neuro. Oncol. 2018, 20, 1573–1583. [Google Scholar] [CrossRef] [PubMed]
- Dang, L.; White, D.W.; Gross, S.; Bennett, B.D.; Bittinger, M.A.; Driggers, E.M.; Fantin, V.R.; Jang, H.G.; Jin, S.; Keenan, M.C.; et al. Cancer-associated IDH1 mutations produce 2-hydroxyglutarate. Nature 2009, 462, 739–744. [Google Scholar] [CrossRef] [PubMed]
- Yan, H.; Parsons, D.W.; Jin, G.; McLendon, R.; Rasheed, B.A.; Yuan, W.; Kos, I.; Batinic-Haberle, I.; Jones, S.; Riggins, G.J. IDH1 and IDH2 mutations in gliomas. N. Engl. J. Med. 2009, 360, 765–773. [Google Scholar] [CrossRef] [PubMed]
- Han, S.; Liu, Y.; Cai, S.J.; Qian, M.; Ding, J.; Larion, M.; Gilbert, M.R.; Yang, C. IDH mutation in glioma: Molecular mechanisms and potential therapeutic targets. Br. J. Cancer 2020, 122, 1580–1589. [Google Scholar] [CrossRef] [PubMed]
- Pusch, S.; Schweizer, L.; Beck, A.-C.; Lehmler, J.-M.; Weissert, S.; Balss, J.; Miller, A.K.; von Deimling, A. D-2-Hydroxyglutarate producing neo-enzymatic activity inversely correlates with frequency of the type of isocitrate dehydrogenase 1 mutations found in glioma. Acta Neuropathol. Commun. 2014, 2, 19. [Google Scholar] [CrossRef] [PubMed]
- Choi, C.; Ganji, S.K.; DeBerardinis, R.J.; Hatanpaa, K.J.; Rakheja, D.; Kovacs, Z.; Yang, X.L.; Mashimo, T.; Raisanen, J.M.; Marin-Valencia, I. 2-hydroxyglutarate detection by magnetic resonance spectroscopy in IDH-mutated glioma patients. Nat. Med. 2012, 18, 624–629. [Google Scholar] [CrossRef] [PubMed]
- Hurd, R.; Sailasuta, N.; Srinivasan, R.; Vigneron, D.B.; Pelletier, D.; Nelson, S.J. Measurement of brain glutamate using TE-averaged PRESS at 3T. Magn. Reson. Med. 2004, 51, 435–440. [Google Scholar] [CrossRef] [PubMed]
- Nehzad, F.S.; Anton, A.; Michou, E.; Jung, J.; Parkes, L.M.; Williams, S.R. Quantification of GABA, glutamate and glutamine in a single measurement at 3 T using GABA-edited MEGA-PRESS. NMR Biomed. 2018, 31, e3847. [Google Scholar]
- Bhandari, A.; Sharma, C.; Ibrahim, M.; Riggs, M.; Jones, R.; Lasocki, A. The role of 2-hydroxyglutarate magnetic resonance spectroscopy for the determination of isocitrate dehydrogenase status in lower grade gliomas versus glioblastoma: A systematic review and meta-analysis of di-agnostic test accuracy. Neuroradiology 2021, 63, 1823–1830. [Google Scholar] [CrossRef]
- Cuccarini, V.; Antelmi, L.; Pollo, B.; Paterra, R.; Calatozzolo, C.; Nigri, A.; DiMeco, F.; Eoli, M.; Finocchiaro, G.; Brenna, G. In vivo 2-hydroxyglutarate-proton magnetic resonance spectroscopy (3 T, PRESS technique) in treatment-naïve suspect lower-grade gliomas: Feasibility and accuracy in a clinical setting. Neurol. Sci. 2020, 41, 347–355. [Google Scholar] [CrossRef]



| Pt | Age | Sex | IDH Mut | Histology (Grade) | Tumor Location (L/R) | 2-HG MRS (%) | Ex Vivo [2-HG] | Ex Vivo 2-HG/ MRS Ratio | Predictive Value MRS |
|---|---|---|---|---|---|---|---|---|---|
| 1 | 60 | F | R132H | DA (II) | Temporal (L) | 29 | 1.73 | 0.060 | TP |
| 2 | 32 | M | R132C | DA (II) | Frontal (R) | 5 | 3.19 | 0.638 | TP |
| 3 | 54 | F | R132H | DA (II) | Frontal (R) | 28 | 2.66 | 0.095 | TP |
| 4 | 48 | M | R132H | DA (II) | Frontal (R) | 17 | 2.17 | 0.128 | TP |
| 5 | 30 | M | R132H | DA (II) | Midline | 16 | 1.09 | 0.068 | TP |
| 6 | 34 | M | R132H | DA (II) | Temporo-occipital (L) | 2 | 0.33 | 0.165 | TP |
| 7 | 30 | F | R132H | DA* (IV) | Fronto-parietal (R) | −3 | 0.29 | −0.097 | FN |
| 8 | 24 | M | R132S | DA (II) | Frontal (L) | 192 | 7.66 | 0.040 | TP |
| 9 | 56 | M | WT | GBM (IV) | Fronto-temporal (L) | −2 | 0.05 | −0.025 | TN |
| 10 | 25 | M | R132H | DA (II) | Frontal (L) | −7 | 1.38 | −0.197 | FN |
| 11 | 27 | F | R132C | DA (II) | Frontal (L) | 19 | 5.51 | 0.290 | TP |
Disclaimer/Publisher’s Note: The statements, opinions and data contained in all publications are solely those of the individual author(s) and contributor(s) and not of MDPI and/or the editor(s). MDPI and/or the editor(s) disclaim responsibility for any injury to people or property resulting from any ideas, methods, instructions or products referred to in the content. |
© 2023 by the authors. Licensee MDPI, Basel, Switzerland. This article is an open access article distributed under the terms and conditions of the Creative Commons Attribution (CC BY) license (https://creativecommons.org/licenses/by/4.0/).
Share and Cite
van Dijken, B.R.J.; Jeltema, H.-R.; Kłos, J.; van Laar, P.J.; Enting, R.H.; Maatman, R.G.H.J.; Bijsterveld, K.; Den Dunnen, W.F.A.; Dierckx, R.A.; Sijens, P.E.; et al. The Correlation of In Vivo MR Spectroscopy and Ex Vivo 2-Hydroxyglutarate Concentration for the Prediction of Isocitrate Dehydrogenase Mutation Status in Diffuse Glioma. Diagnostics 2023, 13, 2791. https://doi.org/10.3390/diagnostics13172791
van Dijken BRJ, Jeltema H-R, Kłos J, van Laar PJ, Enting RH, Maatman RGHJ, Bijsterveld K, Den Dunnen WFA, Dierckx RA, Sijens PE, et al. The Correlation of In Vivo MR Spectroscopy and Ex Vivo 2-Hydroxyglutarate Concentration for the Prediction of Isocitrate Dehydrogenase Mutation Status in Diffuse Glioma. Diagnostics. 2023; 13(17):2791. https://doi.org/10.3390/diagnostics13172791
Chicago/Turabian Stylevan Dijken, Bart R. J., Hanne-Rinck Jeltema, Justyna Kłos, Peter Jan van Laar, Roelien H. Enting, Ronald G. H. J. Maatman, Klaas Bijsterveld, Wilfred F. A. Den Dunnen, Rudi A. Dierckx, Paul E. Sijens, and et al. 2023. "The Correlation of In Vivo MR Spectroscopy and Ex Vivo 2-Hydroxyglutarate Concentration for the Prediction of Isocitrate Dehydrogenase Mutation Status in Diffuse Glioma" Diagnostics 13, no. 17: 2791. https://doi.org/10.3390/diagnostics13172791
APA Stylevan Dijken, B. R. J., Jeltema, H.-R., Kłos, J., van Laar, P. J., Enting, R. H., Maatman, R. G. H. J., Bijsterveld, K., Den Dunnen, W. F. A., Dierckx, R. A., Sijens, P. E., & van der Hoorn, A. (2023). The Correlation of In Vivo MR Spectroscopy and Ex Vivo 2-Hydroxyglutarate Concentration for the Prediction of Isocitrate Dehydrogenase Mutation Status in Diffuse Glioma. Diagnostics, 13(17), 2791. https://doi.org/10.3390/diagnostics13172791

