The Use of Respiratory Effort Improves an ECG-Based Deep Learning Algorithm to Assess Sleep-Disordered Breathing
Abstract
1. Introduction
2. Materials and Methods
2.1. Dataset
2.2. Signal Pre-Processing and Segmentation
2.3. Deep Learning Architecture
2.4. Performance Evaluation
3. Results
3.1. SDB Event Detection
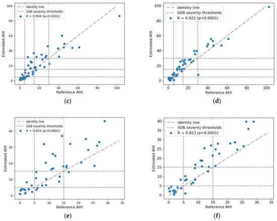
3.2. AHI Estimation
3.3. SDB Severity Classification
3.4. Inpacts on Performance from Age, BMI, Seelp Stage, and Body Position (RR + RE)
4. Discussion
5. Conclusions
Supplementary Materials
Author Contributions
Funding
Institutional Review Board Statement
Informed Consent Statement
Data Availability Statement
Acknowledgments
Conflicts of Interest
References
- Gould, G.A.; Whyte, K.H.; Rhind, G.B.; Airlie, M.A.A.; Catterall, J.R.; Shapiro, C.M.; Douglas, N.J. The Sleep Hypopnea Syndrome 1-2. Am. Rev. Respir. Dis. 1988, 137, 895–898. [Google Scholar] [CrossRef] [PubMed]
- Dempsey, J.A.; Veasey, S.C.; Morgan, B.J.; O’Donnell, C.P. Pathophysiology of Sleep Apnea. Physiol. Rev. 2010, 90, 47–112. [Google Scholar] [CrossRef] [PubMed]
- Patil, S.P.; Schneider, H.; Schwartz, A.R.; Smith, P.L. Adult Obstructive Sleep Apnea: Pathophysiology and Diagnosis. Chest 2007, 132, 325–337. [Google Scholar] [CrossRef] [PubMed]
- Peppard, P.E.; Young, T.; Barnet, J.H.; Palta, M.; Hagen, E.W.; Hla, K.M. Increased Prevalence of Sleep-Disordered Breathing in Adults. Am. J. Epidemiol. 2013, 177, 1006–1014. [Google Scholar] [CrossRef] [PubMed]
- Young, T.; Evans, L.; Finn, L.; Palta, M. Estimation of the Clinically Diagnosed Proportion of Sleep Apnea Syndrome in Middle-Aged Men and Women. Sleep 1997, 20, 705–706. [Google Scholar] [CrossRef]
- Church, G.D. The Role of Polysomnography in Diagnosing and Treating Obstructive Sleep Apnea in Pediatric Patients. Curr. Probl. Pediatr. Adolesc. Health Care 2012, 42, 2–25. [Google Scholar] [CrossRef]
- Bruyneel, M.; Ninane, V. Unattended Home-Based Polysomnography for Sleep Disordered Breathing: Current Concepts and Perspectives. Sleep Med. Rev. 2014, 18, 341–347. [Google Scholar] [CrossRef]
- Penzel, T.; Moody, G.; Mark, R.G.; Goldberger, A.; Peter, J. The Apnea-ECG Database. Comput. Cardiol. 2000, 27, 255–258. [Google Scholar]
- Osman, A.M.; Carter, S.G.; Carberry, J.C.; Eckert, D.J. Obstructive Sleep Apnea: Current Perspectives. Nat. Sci. Sleep 2018, 10, 21–34. [Google Scholar] [CrossRef]
- Tripathy, R.K. Application of Intrinsic Band Function Technique for Automated Detection of Sleep Apnea Using HRV and EDR Signals. Biocybern. Biomed. Eng. 2018, 38, 136–144. [Google Scholar] [CrossRef]
- Yang, Q.; Zou, L.; Wei, K.; Liu, G. Obstructive Sleep Apnea Detection from Single-Lead Electrocardiogram Signals Using One-Dimensional Squeeze-and-Excitation Residual Group Network. Comput. Biol. Med. 2022, 140, 105124. [Google Scholar] [CrossRef] [PubMed]
- Zarei, A.; Asl, B.M. Automatic Classification of Apnea and Normal Subjects Using New Features Extracted from HRV and ECG-Derived Respiration Signals. Biomed. Signal Process. Control 2020, 59, 101927. [Google Scholar] [CrossRef]
- Papini, G.B.; Fonseca, P.; Margarito, J.; van Gilst, M.M.; Overeem, S.; Bergmans, J.W.M.; Vullings, R. On the Generalizability of ECG-Based Obstructive Sleep Apnea Monitoring: Merits and Limitations of the Apnea-ECG Database. Conf. Proc. IEEE Eng. Med. Biol. Soc. 2018, 2018, 6022–6025. [Google Scholar] [CrossRef]
- Olsen, M.; Mignot, E.; Jennum, P.J.; Sorensen, H.B.D. Robust, ECG-Based Detection of Sleep-Disordered Breathing in Large Population-Based Cohorts. Sleep 2020, 43, zsz276. [Google Scholar] [CrossRef]
- Varon, C.; Morales, J.; Lázaro, J.; Orini, M.; Deviaene, M.; Kontaxis, S.; Testelmans, D.; Buyse, B.; Borzée, P.; Sörnmo, L.; et al. A Comparative Study of ECG- Derived Respiration in Ambulatory Monitoring Using the Single-Lead ECG. Sci. Rep. 2020, 10, 1–14. [Google Scholar] [CrossRef]
- Varon, C.; Faes, L.; Testelmans, D.; Buyse, B.; Van Huffel, S. Information Transfer between Respiration and Heart Rate during Sleep Apnea. In Proceedings of the Computing in Cardiology, Vancouver, BC, Canada, 11–14 September 2016; IEEE: Piscataway, NJ, USA, 2016; Volume 43, pp. 845–848. [Google Scholar]
- Sadr, N.; Jayawardhana, M.; De Chazal, P. Sleep Apnoea Diagnosis Using Respiratory Effort-Based Signals—A Comparative Study. In Proceedings of the Annual International Conference of the IEEE Engineering in Medicine and Biology Society, EMBC, Jeju Island, Republic of Korea, 11–15 July 2017; IEEE: Piscataway, NJ, USA, 2017; pp. 1551–1554. [Google Scholar]
- Deviaene, M.; Castro, I.D.; Borzée, P.; Patel, A.; Torfs, T.; Buyse, B.; Testelmans, D.; Van Huffel, S.; Varon, C. Capacitively-Coupled ECG and Respiration for the Unobtrusive Detection of Sleep Apnea. Physiol. Meas. 2021, 42, 024001. [Google Scholar] [CrossRef]
- Holtzman, M.; Goubran, R.; Knoefel, F. Maximal Ratio Combining for Respiratory Effort Extraction from Pressure Sensor Arrays. In Proceedings of the MeMeA 2011—2011 IEEE International Symposium on Medical Measurements and Applications, Bari, Italy, 30–31 May 2011; Volume 1, pp. 88–92. [Google Scholar] [CrossRef]
- Schipper, F.; Van Sloun, R.J.G.; Grassi, A.; Overeem, S.; Fonseca, P. A Deep-Learning Approach to Assess Respiratory Effort with a Chest-Worn Accelerometer during Sleep. Biomed. Signal Process. Control 2023, 83, 104726. [Google Scholar] [CrossRef]
- Papini, G.B.; Fonseca, P.; Gilst, M.M.V.; Bergmans, J.W.M.; Vullings, R.; Overeem, S. Respiratory Activity Extracted from Wrist-Worn Reflective Photoplethysmography in a Sleep-Disordered Population. Physiol. Meas. 2020, 41, 065010. [Google Scholar] [CrossRef] [PubMed]
- Brüser, C.; Winter, S.; Leonhardt, S. Robust Inter-Beat Interval Estimation in Cardiac Vibration Signals. Physiol. Meas. 2013, 34, 123–138. [Google Scholar] [CrossRef]
- Lin, Y.D.; Jhou, Y.F. Estimation of Heart Rate and Respiratory Rate from the Seismocardiogram under Resting State. Biomed. Signal Process. Control 2020, 57, 101779. [Google Scholar] [CrossRef]
- Papini, G.B.; Fonseca, P.; Eerikäinen, L.M.; Overeem, S.; Bergmans, J.W.M.; Vullings, R. Sinus or Not: A New Beat Detection Algorithm Based on a Pulse Morphology Quality Index to Extract Normal Sinus Rhythm Beats from Wrist-Worn Photoplethysmography Recordings. Physiol. Meas. 2018, 39, 115007. [Google Scholar] [CrossRef]
- Van Gilst, M.M.; Van DIjk, J.P.; Krijn, R.; Hoondert, B.; Fonseca, P.; Van Sloun, R.J.G.; Arsenali, B.; Vandenbussche, N.; Pillen, S.; Maass, H.; et al. Protocol of the SOMNIA Project: An Observational Study to Create a Neurophysiological Database for Advanced Clinical Sleep Monitoring. BMJ Open 2019, 9, e030996. [Google Scholar] [CrossRef] [PubMed]
- Kathirvel, P.; Manikandan, M.S.; Prasanna, S.R.M.; Soman, K.P. An Efficient R-Peak Detection Based on New Nonlinear Transformation and First-Order Gaussian Differentiator. Cardiovasc. Eng. Technol. 2011, 2, 408–425. [Google Scholar] [CrossRef]
- Fonseca, P.; Aarts, R.M.; Foussier, J.; Long, X. A Novel Low-Complexity Post-Processing Algorithm for Precise QRS Localization. Springerplus 2014, 3, 376. [Google Scholar] [CrossRef] [PubMed]
- Mateo, J.; Laguna, P. Analysis of Heart Rate Variability in the Presence of Ectopic Beats Using the Heart Timing Signal. IEEE Trans. Biomed. Eng. 2003, 50, 334–343. [Google Scholar] [CrossRef]
- Janbakhshi, P.; Shamsollahi, M.B. Sleep Apnea Detection from Single-Lead ECG Using Features Based on ECG-Derived Respiration (EDR) Signals. IRBM 2018, 39, 206–218. [Google Scholar] [CrossRef]
- Long, X.; Foussier, J.; Fonseca, P.; Haakma, R.; Aarts, R.M. Analyzing Respiratory Effort Amplitude for Automated Sleep Stage Classification. Biomed. Signal Process. Control 2014, 14, 197–205. [Google Scholar] [CrossRef]
- He, K.; Zhang, X.; Ren, S.; Sun, J. Delving Deep into Rectifiers: Surpassing Human-Level Performance on Imagenet Classification. In Proceedings of the IEEE International Conference on Computer Vision, Santiago, Chile, 7–13 December 2015; pp. 1026–1034. [Google Scholar] [CrossRef]
- American Academy of Sleep Medicine Task Force. Sleep-Related Breathing Disorders in Adults: Recommendations for Syndrome Definition and Measurement Techniques in Clinical Research. The Report of an American Academy of Sleep Medicine Task Force. Sleep 1999, 22, 667. [Google Scholar] [CrossRef]
- Punjabi, N.M.; Shifa, N.; Dorffner, G.; Patil, S.; Pien, G.; Aurora, R.N. Computer-Assisted Automated Scoring of Polysomnograms Using the Somnolyzer System. Sleep 2015, 38, 1555–1566. [Google Scholar] [CrossRef]
- Magalang, U.J.; Arnardottir, E.S.; Chen, N.; Cistulli, P.A.; Gíslason, T.; Lim, D. Agreement in the Scoring of Respiratory Events Among International Sleep Centers for Home Sleep Testing. J. Clin. Sleep Med. 2016, 12, 71–77. [Google Scholar] [CrossRef]
- Van Pee, B.; Massie, F.; Vits, S.; Dreesen, P.; Klerkx, S.; Bijwadia, J.; Verbraecken, J.; Bergmann, J. A Multicentric Validation Study of a Novel Home Sleep Apnea Test Based on Peripheral Arterial Tonometry. Sleep 2022, 45, zsac028. [Google Scholar] [CrossRef] [PubMed]
- Cracowski, C.; Pépin, J.L.; Wuyam, B.; Lévy, P. Characterization of Obstructive Nonapneic Respiratory Events in Moderate Sleep Apnea Syndrome. Am. J. Respir. Crit. Care Med. 2001, 164, 944–948. [Google Scholar] [CrossRef] [PubMed]
- Haidar, R.; McCloskey, S.; Koprinska, I.; Jeffries, B. Convolutional Neural Networks on Multiple Respiratory Channels to Detect Hypopnea and Obstructive Apnea Events. In Proceedings of the International Joint Conference on Neural Networks, Rio de Janeiro, Brazil, 8–13 July 2018; pp. 1–7. [Google Scholar]
- Kuna, S.T.; Benca, R.; Kushida, C.A.; Walsh, J.; Younes, M.; Staley, B.; Hanlon, A.; Pack, A.I.; Pien, G.W.; Malhotra, A. Agreement in Computer-Assisted Manual Scoring of Polysomnograms across Sleep Centers. Sleep 2013, 36, 583–589. [Google Scholar] [CrossRef]
- Schipper, F.; van Sloun, R.J.G.; Grassi, A.; Derkx, R.; Overeem, S.; Fonseca, P. Estimation of Respiratory Rate and Effort from a Chest-Worn Accelerometer Using Constrained and Recursive Principal Component Analysis. Physiol. Meas. 2021, 42, 045004. [Google Scholar] [CrossRef] [PubMed]
- Hietakoste, S.; Korkalainen, H.; Kainulainen, S.; Sillanmäki, S.; Nikkonen, S.; Myllymaa, S.; Duce, B.; Töyräs, J.; Leppänen, T. Longer Apneas and Hypopneas Are Associated with Greater Ultra-Short-Term HRV in Obstructive Sleep Apnea. Sci. Rep. 2020, 10, 21556. [Google Scholar] [CrossRef]





| Layer Type | Kernel Size | Stride | Output Dimension–Explicit | |
|---|---|---|---|---|
| Input layer | - | - | (B, 1200, 2) | |
| Block1 | Bidirectional GRU | 128 | 1 | (B, 1200, 128 × 2) |
| Bidirectional GRU | 128 | 1 | (B, 1200, 128 × 2) | |
| Batch normalization | - | - | (B, 600, 256) | |
| Max-pool | - | 2 | (B, 600, 256) | |
| ReLU | - | - | (B, 600, 256) | |
| Dropout (50%) | - | - | (B, 600, 256) | |
| Block2 | Bidirectional GRU | 128 | 1 | (B, 600, 128 × 2) |
| Bidirectional GRU | 128 | 1 | (B, 600, 128 × 2) | |
| Batch normalization | - | - | (B, 600, 256) | |
| Max-pool | - | 2 | (B, 300, 256) | |
| ReLU | - | - | (B, 300, 256) | |
| Dropout (50%) | - | - | (B, 300, 256) | |
| Block3 | Dense | 512 | 1 | (B, 300, 512) |
| ReLU | - | - | (B, 300, 512) | |
| Dense | 1 | (B, 300, 1) | ||
| Sigmoid | - | 1 | (B, 300, 1) |
| Training | Validation | Testing | |
|---|---|---|---|
| Male/Female | 63/51 | 23/12 | 35/14 |
| Age (years) | 49.7 ± 14.9 (range: 18–86) | 51.5 ± 13.4 (range: 24–73) | 50.0 ± 15.5 (range: 21–79) |
| BMI (kg/m2) | 27.0 ± 4.5 (range: 20.0–40.8) | 27.1 ± 4.6 (range: 18.6–45.2) | 27.6 ± 5.4 (range: 19.9–43.4) |
| AHI (events/hour) | 17.5 ± 17.0 (range: 0–70.6) | 19.2 ± 21.0 (range: 0.2–108.4) | 18.2 ± 19.4 (range: 0–102.6) |
| AHI < 5 (count) | 28 | 8 | 12 |
| 5 < AHI < 15 (count) | 38 | 12 | 17 |
| 15 < AHI < 30 (count) | 27 | 8 | 11 |
| AHI > 30 (count) | 21 | 7 | 9 |
| Number of hypopneas (count) | 92.6 ± 88.2 (range: 0–475, total: 10,560) | 89.8 ± 73.8 (range: 1–251, total: 3143) | 92.8 ± 81.1 (range: 0–303, total: 4546) |
| Number of obstructive apneas (count) | 9.6 ± 21.4 (range: 0–168, total: 1094) | 14.6 ± 53.6 (range: 0–315, total: 511) | 11.0 ± 26.2 (range: 0–160, total: 537) |
| Number of central apneas (count) | 5.7 ± 15.0 (range: 0–99, total: 652) | 14.0 ± 42.7 (range: 0–249, total: 489) | 9.5 ± 26.2 (range: 0–158, total: 464) |
| Number of mixed apneas (count) | 3.4 ± 12.2 (range: 0–104, total: 385) | 6.9 ± 27.0 (range: 0–160, total: 242) | 9.2 ± 37.8 (range: 0–254, total: 453) |
| Number of segments | 19,760 | 6043 | 8425 |
| Number of label 0 (seconds) | 5,445,189 | 1,643,358 | 2,302,014 |
| Number of label 1 (seconds) | 482,811 | 169,542 | 225,486 |
| Sensitivity (%) | Precision (%) | F1 Score | ||
|---|---|---|---|---|
| RR + EDR | mean ± SD | 53.2 ± 25.6 | 41.6 ± 25.0 | 0.437 ± 0.234 |
| pooled | 65.5 | 56.5 | 0.607 | |
| RR + RE | mean ± SD | 62.6 ± 26.7 | 50.4 ± 23.6 | 0.529 ± 0.241 |
| pooled | 77.4 | 65.2 | 0.708 |
| SDB Event Type | Total Number of Events | Detection Rate (%) | |
|---|---|---|---|
| RR + EDR | RR + RE | ||
| Hypopnea | 4546 | 59.9 | 72.4 |
| Obstructive apnea | 537 | 81.9 | 94.4 |
| Central apnea | 464 | 78.7 | 90.5 |
| Mixed apnea | 453 | 89.0 | 94.7 |
| RR + EDR | RR + RE | |
|---|---|---|
| Without NBL | ||
| Accuracy | 0.612 | 0.714 |
| Cohen’s Kappa | 0.49 | 0.62 |
| With NBL | ||
| Accuracy | 0.776 | 0.857 |
| Cohen’s Kappa | 0.70 | 0.81 |
Disclaimer/Publisher’s Note: The statements, opinions and data contained in all publications are solely those of the individual author(s) and contributor(s) and not of MDPI and/or the editor(s). MDPI and/or the editor(s) disclaim responsibility for any injury to people or property resulting from any ideas, methods, instructions or products referred to in the content. |
© 2023 by the authors. Licensee MDPI, Basel, Switzerland. This article is an open access article distributed under the terms and conditions of the Creative Commons Attribution (CC BY) license (https://creativecommons.org/licenses/by/4.0/).
Share and Cite
Xie, J.; Fonseca, P.; van Dijk, J.P.; Long, X.; Overeem, S. The Use of Respiratory Effort Improves an ECG-Based Deep Learning Algorithm to Assess Sleep-Disordered Breathing. Diagnostics 2023, 13, 2146. https://doi.org/10.3390/diagnostics13132146
Xie J, Fonseca P, van Dijk JP, Long X, Overeem S. The Use of Respiratory Effort Improves an ECG-Based Deep Learning Algorithm to Assess Sleep-Disordered Breathing. Diagnostics. 2023; 13(13):2146. https://doi.org/10.3390/diagnostics13132146
Chicago/Turabian StyleXie, Jiali, Pedro Fonseca, Johannes P. van Dijk, Xi Long, and Sebastiaan Overeem. 2023. "The Use of Respiratory Effort Improves an ECG-Based Deep Learning Algorithm to Assess Sleep-Disordered Breathing" Diagnostics 13, no. 13: 2146. https://doi.org/10.3390/diagnostics13132146
APA StyleXie, J., Fonseca, P., van Dijk, J. P., Long, X., & Overeem, S. (2023). The Use of Respiratory Effort Improves an ECG-Based Deep Learning Algorithm to Assess Sleep-Disordered Breathing. Diagnostics, 13(13), 2146. https://doi.org/10.3390/diagnostics13132146

