DNA Methylation of HOXA11 Gene as Prognostic Molecular Marker in Human Gastric Adenocarcinoma
Abstract
1. Introduction
2. Materials and Methods
2.1. Gene Selection
2.2. DNA Samples
2.3. DNA and RNA Extraction, Bisulfite Treatment
2.4. Methylation-Specific Polymerase Chain Reaction
2.5. Quantitative Real-Time Polymerase Chain Reaction
2.6. Statistical Analysis
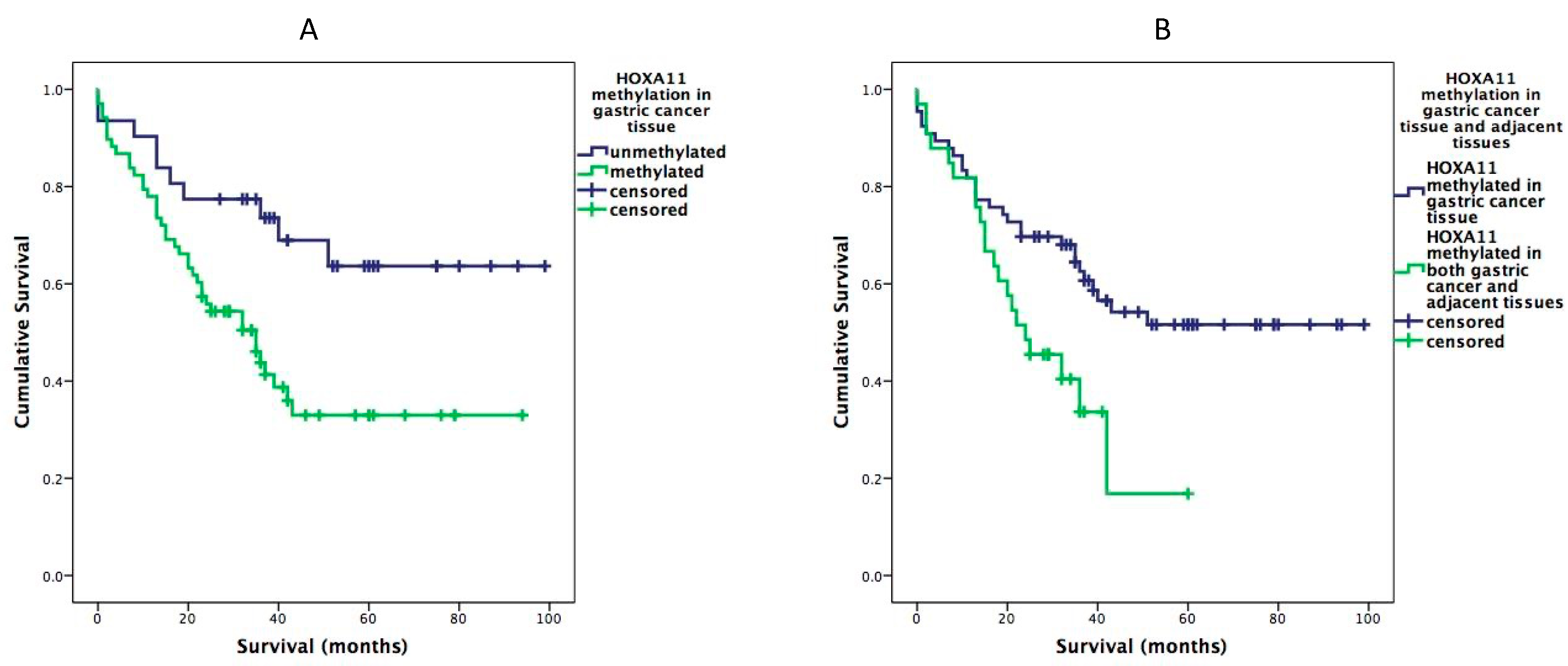
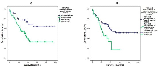
3. Results
4. Discussion
5. Conclusions
Author Contributions
Funding
Institutional Review Board Statement
Informed Consent Statement
Data Availability Statement
Conflicts of Interest
References
- Sitarz, R.; Skierucha, M.; Mielko, J.; Offerhaus, G.J.A.; Maciejewski, R.; Polkowski, W.P. Gastric Cancer: Epidemiology, Prevention, Classification, and Treatment. Cancer Manag. Res. 2018, 10, 239–248. [Google Scholar] [CrossRef] [PubMed]
- Bray, F.; Ferlay, J.; Soerjomataram, I.; Siegel, R.L.; Torre, L.A.; Jemal, A. Global Cancer Statistics 2018: GLOBOCAN Estimates of Incidence and Mortality Worldwide for 36 Cancers in 185 Countries. CA Cancer J. Clin. 2018, 68, 394–424. [Google Scholar] [CrossRef] [PubMed]
- Van Cutsem, E.; Sagaert, X.; Topal, B.; Haustermans, K.; Prenen, H. Gastric Cancer. Lancet 2016, 388, 2654–2664. [Google Scholar] [CrossRef]
- Puneet; Kazmi, H.R.; Kumari, S.; Tiwari, S.; Khanna, A.; Narayan, G. Epigenetic Mechanisms and Events in Gastric Cancer-Emerging Novel Biomarkers. Pathol. Oncol. Res. 2018, 24, 757–770. [Google Scholar] [CrossRef] [PubMed]
- Karimi, P.; Islami, F.; Anandasabapathy, S.; Freedman, N.D.; Kamangar, F. Gastric Cancer: Descriptive Epidemiology, Risk Factors, Screening, and Prevention. Cancer Epidemiol. Biomark. Prev. 2014, 23, 700–713. [Google Scholar] [CrossRef]
- Choi, S.J.; Jung, S.W.; Huh, S.; Chung, Y.-S.; Cho, H.; Kang, H. Alteration of DNA Methylation in Gastric Cancer with Chemotherapy. J. Microbiol. Biotechnol. 2017, 27, 1367–1378. [Google Scholar] [CrossRef] [PubMed]
- Chen, Y.-C.; Fang, W.-L.; Wang, R.-F.; Liu, C.-A.; Yang, M.-H.; Lo, S.-S.; Wu, C.-W.; Li, A.F.-Y.; Shyr, Y.-M.; Huang, K.-H. Clinicopathological Variation of Lauren Classification in Gastric Cancer. Pathol. Oncol. Res. 2016, 22, 197–202. [Google Scholar] [CrossRef] [PubMed]
- Ma, J.; Shen, H.; Kapesa, L.; Zeng, S. Lauren Classification and Individualized Chemotherapy in Gastric Cancer. Oncol. Lett. 2016, 11, 2959–2964. [Google Scholar] [CrossRef] [PubMed]
- Kupcinskaite-Noreikiene, R.; Ugenskiene, R.; Noreika, A.; Rudzianskas, V.; Gedminaite, J.; Skieceviciene, J.; Juozaityte, E. Gene Methylation Profile of Gastric Cancerous Tissue According to Tumor Site in the Stomach. BMC Cancer 2016, 16, 40. [Google Scholar] [CrossRef] [PubMed]
- Jung, Y.J.; Seo, H.S.; Kim, J.H.; Park, C.H.; Lee, H.H. Cross-Sectional Location of Gastric Cancer Affects the Long-Term Survival of Patients as Tumor Invasion Deepens. Ann. Surg. Oncol. 2017, 24, 3947–3953. [Google Scholar] [CrossRef]
- Badgwell, B.; Ikoma, N.; Murphy, M.B.; Wang, X.; Estrella, J.; Roy-Chowdhuri, S.; Das, P.; Minsky, B.D.; Lano, E.; Song, S.; et al. A Phase II Trial of Cytoreduction, Gastrectomy, and Hyperthermic Intraperitoneal Perfusion with Chemotherapy for Patients with Gastric Cancer and Carcinomatosis or Positive Cytology. Ann. Surg. Oncol. 2020, 28, 258–264. [Google Scholar] [CrossRef] [PubMed]
- Zhang, C.; Zhao, H.; Li, J.; Liu, H.; Wang, F.; Wei, Y.; Su, J.; Zhang, D.; Liu, T.; Zhang, Y. The Identification of Specific Methylation Patterns across Different Cancers. PLoS ONE 2015, 10, e0120361. [Google Scholar] [CrossRef] [PubMed]
- Lai, A.Y.; Fatemi, M.; Dhasarathy, A.; Malone, C.; Sobol, S.E.; Geigerman, C.; Jaye, D.L.; Mav, D.; Shah, R.; Li, L.; et al. DNA methylation prevents CTCF-mediated silencing of the oncogene BCL6 in B cell lymphomas. J. Exp. Med. 2010, 207, 1939–1950. [Google Scholar] [CrossRef]
- Frazzi, R.; Zanetti, E.; Pistoni, M.; Tamagnini, I.; Valli, R.; Braglia, L.; Merli, F. Methylation changes of SIRT1, KLF4, DAPK1 and SPG20 in B-lymphocytes derived from follicular and diffuse large B-cell lymphoma. Leuk. Res. 2017, 57, 89–96. [Google Scholar] [CrossRef] [PubMed]
- Li, L.-C.; Dahiya, R. MethPrimer: Designing Primers for Methylation PCRs. Bioinformatics 2002, 18, 1427–1431. [Google Scholar] [CrossRef] [PubMed]
- Mallo, M. Reassessing the Role of Hox Genes during Vertebrate Development and Evolution. Trends Genet. 2018, 34, 209–217. [Google Scholar] [CrossRef]
- Tehrani, G.A. DNA Methylome of Endometrial Cancer. Comput. Epigenetics Dis. 2019, 9, 343–364. [Google Scholar] [CrossRef]
- Wang, L.; Cui, Y.; Sheng, J.; Yang, Y.; Kuang, G.; Fan, Y.; Jin, J.; Zhang, Q. Epigenetic Inactivation of HOXA11, a Novel Functional Tumor Suppressor for Renal Cell Carcinoma, Is Associated with RCC TNM Classification. Oncotarget 2017, 8, 21861–21870. [Google Scholar] [CrossRef]
- Hwang, J.-A.; Bin Lee, B.; Kim, Y.; Park, S.-E.; Heo, K.; Hong, S.-H.; Kim, Y.-H.; Han, J.; Shim, Y.M.; Lee, Y.-S.; et al. HOXA11 Hypermethylation Is Associated with Progression of Non-Small Cell Lung Cancer. Oncotarget 2013, 4, 2317–2325. [Google Scholar] [CrossRef]
- Fiegl, H.; Windbichler, G.; Mueller-Holzner, E.; Goebel, G.; Lechner, M.; Jacobs, I.J.; Widschwendter, M. HOXA11 DNA Methylation--a Novel Prognostic Biomarker in Ovarian Cancer. Int. J. Cancer 2008, 123, 725–729. [Google Scholar] [CrossRef]
- Chen, D.; Zhang, M.; Ruan, J.; Li, X.; Wang, S.; Cheng, X.; Zhao, H.; Zeng, Y.; Liu, J.; He, K.; et al. The Long Non-Coding RNA HOXA11-AS Promotes Epithelial Mesenchymal Transition by Sponging MiR-149-3p in Colorectal Cancer. J. Cancer 2020, 11, 6050–6058. [Google Scholar] [CrossRef] [PubMed]
- Liu, Y.; Yan, W.; Zhou, D.; Jin, G.; Cheng, X. Long Non-coding RNA HOXA11-AS Accelerates Cell Proliferation and Epithelial-mesenchymal Transition in Hepatocellular Carcinoma by Modulating the MiR-506-3p/Slug Axis. Int. J. Mol. Med. 2020, 46, 1805–1815. [Google Scholar] [CrossRef] [PubMed]
- Guo, J.-C.; Yang, Y.-J.; Zheng, J.-F.; Zhang, J.-Q.; Guo, M.; Yang, X.; Jiang, X.-L.; Xiang, L.; Li, Y.; Ping, H.; et al. Silencing of Long Noncoding RNA HOXA11-AS Inhibits the Wnt Signaling Pathway via the Upregulation of HOXA11 and Thereby Inhibits the Proliferation, Invasion, and Self-Renewal of Hepatocellular Carcinoma Stem Cells. Exp. Mol. Med. 2019, 51, 1–20. [Google Scholar] [CrossRef] [PubMed]
- Liu, Y.; Zhang, Y.-M.; Ma, F.-B.; Pan, S.-R.; Liu, B.-Z. Long Noncoding RNA HOXA11-AS Promotes Gastric Cancer Cell Proliferation and Invasion via SRSF1 and Functions as a Biomarker in Gastric Cancer. World J. Gastroenterol. 2019, 25, 2763–2775. [Google Scholar] [CrossRef] [PubMed]
- Liu, Z.; Chen, Z.; Fan, R.; Jiang, B.; Chen, X.; Chen, Q.; Nie, F.; Lu, K.; Sun, M. Over-Expressed Long Noncoding RNA HOXA11-AS Promotes Cell Cycle Progression and Metastasis in Gastric Cancer. Mol. Cancer 2017, 16, 82. [Google Scholar] [CrossRef]
- Bai, Y.; Fang, N.; Gu, T.; Kang, Y.; Wu, J.; Yang, D.; Zhang, H.; Suo, Z.; Ji, S. HOXA11 gene is hypermethylation and aberrant expression in gastric cancer. Cancer Cell Int. 2014, 14, 79. [Google Scholar] [CrossRef] [PubMed][Green Version]
- Cui, Y.; Gao, D.; Linghu, E.; Zhan, Q.; Chen, R.; Brock, M.V.; Herman, J.G.; Guo, M. Epigenetic changes and functional study of HOXA11 in human gastric cancer. Epigenomics 2015, 7, 201–213. [Google Scholar] [CrossRef]



| n (%) | ||
|---|---|---|
| Age | <60 | 25 (25.3) |
| ≥60 | 74 (74.7) | |
| Gender | Female | 34 (34.3) |
| Male | 65 (65.6) | |
| pT category | I/II | 22 (22.2) |
| III/IV | 77 (77.8) | |
| Lymph node metastasis (N) | Negative | 30 (30.3) |
| Positive | 69 (69.7) | |
| Distant metastasis (M) | Negative | 80 (80.8) |
| Positive | 19 (19.2) | |
| Invasion into blood vessels (V) | Negative | 30 (30.3) |
| Positive | 58 (58.6) | |
| Invasion into lymph vessels (L) | Negative | 18 (18.2) |
| Positive | 71 (71.7) | |
| Tumor grade | G1/G2 | 32 (32.3) |
| G3 | 59 (59.6) | |
| HER receptors | Negative | 62 (62.6) |
| Positive | 18 (18.2) | |
| Histological type | Intestinal | 43 (43.4) |
| Diffuse/mixed | 49 (49.5) | |
| Gene | Forward Primer 5′-3′ | Reverse Primer 5′-3′ | T |
|---|---|---|---|
| RAD51B-M | TAGGTTTAAGTGATTTTTTCGTTTC | ATAATCTCGATTTCCTAACCTCGTA | 61 |
| RAD51B-U | AGGTTTAAGTGATTTTTTTGTTTTG | ATAATCTCAATTTCCTAACCTCATA | |
| GFRA3-M | ATGTTGTTGTTGTTGTTGTCGTC | AACACTCAATCTATCTCAATTCGTA | 59 |
| GFRA3-U | ATGTTGTTGTTGTTGTTGTTGTTG | AACACTCAATCTATCTCAATTCATA | |
| AKR7A3-M | TTGAGTAGTTGAGATTATAGGGGTAC | AAAAAACTAAAAACGATAATTCACG | 60 |
| AKR7A3-U | AGTAGTTGAGATTATAGGGGTATGT | AAAACTAAAAACAATAATTCACACC | |
| HOXA11-M | AGTACGTATAAAGGTAGCGTTTTGC | CCTTAACCGATAAATATTTCACGAC | 57 |
| HOXA11-U | TATGTATAAAGGTAGTGTTTTGTGT | CCTTAACCAATAAATATTTCACAAC | |
| TUSC3-M | TCGAAGTTTGGTTTTTTCGTTAC | GACAAAACAATATCTCCTCCACG | 59 |
| TUSC3-U | TTGAAGTTTGGTTTTTTTGTTATGT | AACAAAACAATATCTCCTCCACAC | |
| FLI1-M | GAAGGAAATAACGAATAATTTTGTC | AATTAACTTCTATTTCTCAAACGTT | 58 |
| FLI1-U | AGGAAATAATGAATAATTTTGTTGT | AATTAACTTCTATTTCTCAAACATT | |
| SEZ6L-M | GTTTAAAATCGGGGTTAGGAATC | GTTTAAAATCGGGGTTAGGAATC | 55 |
| SEZ6L-U | GTTTAAAATTGGGGTTAGGAATTGT | CAAAAATTTAAAATTTAAAAACAAC | |
| GLDC-M | GTTTACGTTTGTAATGACGGATTAC | CCTAACTAAAATACAATAACGCGAT | 57 |
| GLDC-U | TTATGTTTGTAATGATGGATTATGA | CCCTAACTAAAATACAATAACACAAT | |
| NDRG-M | GGAATTTAGGGAGGAGTAGAGTTTC | AATTCACCTCCATTATCTAAACGAA | 58 |
| NDRG-U | GGAATTTAGGGAGGAGTAGAGTTTT | AATTCACCTCCATTATCTAAACAAA |
| Gene | Healthy Gastric Mucosa | Gastric Cancer Tissue | p | ||
|---|---|---|---|---|---|
| Methylated Cases/ All Cases (n) | Methylation Frequency (%) | Methylated Cases/ All Cases (n) | Methylation Frequency (%) | ||
| RAD51B | 5/99 | 5.1 | 7/99 | 7.1 | 0.247 |
| GFRA3 | 24/99 | 24.2 | 30/99 | 30.3 | 0.378 |
| AKR7A3 | 17/99 | 17.2 | 22/99 | 22.2 | 0.154 |
| HOXA11 | 39/99 | 39.4 | 68/99 | 68.7 | 0.006 |
| TUSC3 | 22/93 | 22.2 | 21/93 | 21.2 | 0.491 |
| FLI1 | 9/96 | 4 | 8/96 | 5.1 | 0.113 |
| SEZ6L | 29/99 | 29.3 | 50/99 | 50.5 | 0.054 |
| GLDC | 28/88 | 31.8 | 26/88 | 29.5 | 0.365 |
| NDRG | 3/91 | 3.3 | 6/91 | 6.6 | 0.64 |
| Univariate COX Regression Analysis | |||
|---|---|---|---|
| HR | 95% CI | p | |
| Age | 1.02 | 0.99–1.05 | 0.13 |
| Gender | 1.6 | 0.9–3.3 | 0.12 |
| Tumor size (pT) | 5.95 | 1.8–19.13 | 0.003 |
| Lymph node metastasis (N) | 3.59 | 1.6–7.99 | 0.002 |
| Distant metastasis (M) | 1.85 | 0.97–3.55 | 0.064 |
| Invasion into blood vessels (V) | 2.65 | 1.35–5.2 | 0.005 |
| Invassion into lymph vessels (L) | 3.8 | 1.37–10.6 | 0.01 |
| Tumor grade | 1.01 | 0.55–1.87 | 0.97 |
| HER receptor positivity | 0.98 | 0.46–2.06 | 0.96 |
| Histological type | 1 | 0.55–1.8 | 0.99 |
| HOXA11 methylation | 2.48 | 1.24–5 | 0.011 |
| SEZ6L methylation | 1.29 | 0.74–2.27 | 0.36 |
| Multivariate COX regression analysis | |||
| Tumor size (pT) | 3.2 | 0.9–11.4 | 0.07 |
| Lymph node metastasis (N) | 2.12 | 0.8–5.6 | 0.13 |
| Invasion into blood vessels (V) | 1.27 | 0.32–4.67 | 0.77 |
| Invasion into lymph vessels (L) | 1.19 | 0.55–2.58 | 0.66 |
| HOXA11 methylation | 2.4 | 1.19–4.86 | 0.015 |
Publisher’s Note: MDPI stays neutral with regard to jurisdictional claims in published maps and institutional affiliations. |
© 2022 by the authors. Licensee MDPI, Basel, Switzerland. This article is an open access article distributed under the terms and conditions of the Creative Commons Attribution (CC BY) license (https://creativecommons.org/licenses/by/4.0/).
Share and Cite
Ignatavicius, P.; Dauksa, A.; Zilinskas, J.; Kazokaite, M.; Riauka, R.; Barauskas, G. DNA Methylation of HOXA11 Gene as Prognostic Molecular Marker in Human Gastric Adenocarcinoma. Diagnostics 2022, 12, 1686. https://doi.org/10.3390/diagnostics12071686
Ignatavicius P, Dauksa A, Zilinskas J, Kazokaite M, Riauka R, Barauskas G. DNA Methylation of HOXA11 Gene as Prognostic Molecular Marker in Human Gastric Adenocarcinoma. Diagnostics. 2022; 12(7):1686. https://doi.org/10.3390/diagnostics12071686
Chicago/Turabian StyleIgnatavicius, Povilas, Albertas Dauksa, Justas Zilinskas, Mintaute Kazokaite, Romualdas Riauka, and Giedrius Barauskas. 2022. "DNA Methylation of HOXA11 Gene as Prognostic Molecular Marker in Human Gastric Adenocarcinoma" Diagnostics 12, no. 7: 1686. https://doi.org/10.3390/diagnostics12071686
APA StyleIgnatavicius, P., Dauksa, A., Zilinskas, J., Kazokaite, M., Riauka, R., & Barauskas, G. (2022). DNA Methylation of HOXA11 Gene as Prognostic Molecular Marker in Human Gastric Adenocarcinoma. Diagnostics, 12(7), 1686. https://doi.org/10.3390/diagnostics12071686

