Clinical Application of Liver Imaging Reporting and Data System for Characterizing Liver Neoplasms: A Meta-Analysis
Abstract
1. Introduction
2. Materials and Methods
2.1. Literature Search
2.2. Eligibility Criteria
2.3. Study Selection and Data Extraction
2.4. Quality Assessment
2.5. Statistical Analysis
3. Results
3.1. Literature Search
3.2. Study Characteristics
3.3. Quality Assessment
3.4. Diagnostic Performance of LR5 for Diagnosing HCC
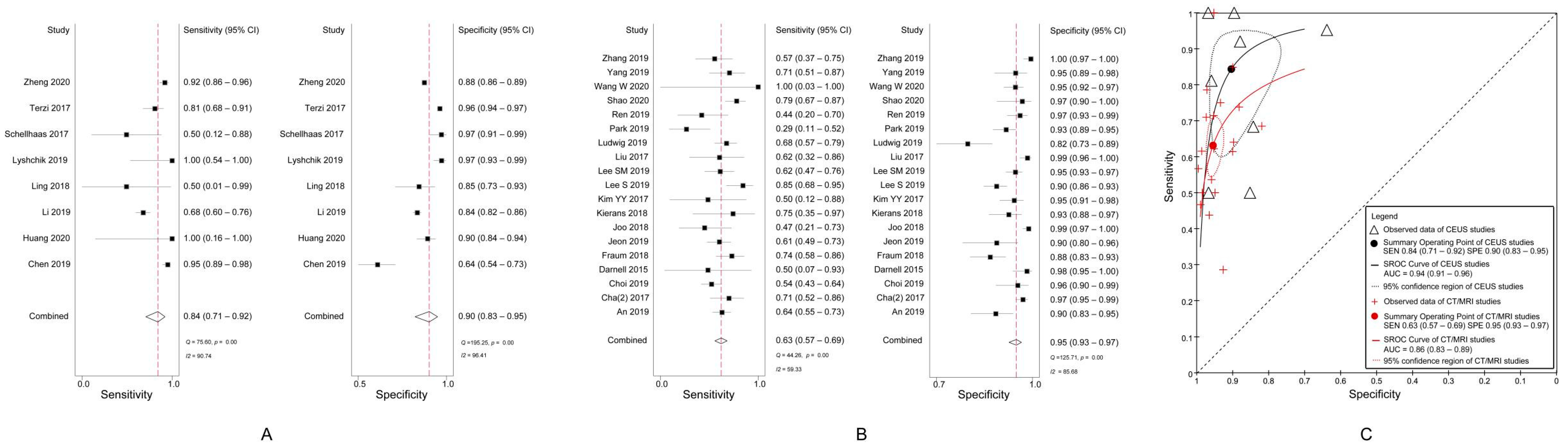
3.5. Diagnostic Performance of LRM for Characterizing OM
3.6. Meta-Regression Analysis
3.7. Publication Bias
4. Discussion
Supplementary Materials
Author Contributions
Funding
Informed Consent Statement
Ethical Approval
Data Availability Statement
Conflicts of Interest
Abbreviations
| AASLD | American Association for the Study of Liver Disease |
| ACR | American College of Radiology |
| CEUS | Contrast-enhanced ultrasound |
| DOR | Diagnostic odds ratio |
| HCC | Hepatocellular carcinoma |
| HCC-CCA | Mixed hepatocellular and cholangiocarcinoma |
| ICC | Intrahepatic cholangiocarcinoma |
| LI-RADS | Liver Imaging Reporting and Data System |
| LR5 | LI-RADS category 5 |
| LRM | LI-RADS category M |
| OM | Other non-HCC malignancies |
| QUADAS-2 | Quality Assessment of Diagnostic Accuracy Studies 2 |
| SROC | Summary receiver operating characteristic |
References
- Bray, F.; Ferlay, J.; Soerjomataram, I.; Siegel, R.L.; Torre, L.A.; Jemal, A. Global cancer statistics 2018: GLOBOCAN estimates of incidence and mortality worldwide for 36 cancers in 185 countries. CA Cancer J. Clin. 2018, 68, 394–424. [Google Scholar] [CrossRef]
- Marrero, J.A.; Kulik, L.M.; Sirlin, C.B.; Zhu, A.X.; Finn, R.S.; Abecassis, M.M.; Roberts, L.R.; Heimbach, J.K. Diagnosis, Staging, and Management of Hepatocellular Carcinoma: 2018 Practice Guidance by the American Association for the Study of Liver Diseases. Hepatology 2018, 68, 723–750. [Google Scholar] [CrossRef] [PubMed]
- American College of Radiology. CT/MRI Liver Imaging Reporting and Data System Version 2018. Available online: https://www.acr.org/Clinical-Resources/Reporting-and-Data-Systems/LI-RADS/CT-MRI-LI-RADS-v2018 (accessed on 3 April 2020).
- Kim, T.-H.; Kim, S.Y.; Tang, A.; Yoon, J.H. Comparison of international guidelines for noninvasive diagnosis of hepatocellular carcinoma: 2018 update. Clin. Mol. Hepatol. 2019, 25, 245–263. [Google Scholar] [CrossRef] [PubMed]
- Vilana, R.; Forner, A.; Bianchi, L.; García-Criado, Á.; Rimola, J.; De Lope, C.R.; Reig, M.; Ayuso, C.; Brú, C.; Bruix, J. Intrahepatic peripheral cholangiocarcinoma in cirrhosis patients may display a vascular pattern similar to hepatocellular carcinoma on contrast-enhanced ultrasound. Hepatolology 2010, 51, 2020–2029. [Google Scholar] [CrossRef]
- Galassi, M.; Iavarone, M.; Rossi, S.; Bota, S.; Vavassori, S.; Rosa, L.; Leoni, S.; Venerandi, L.; Marinelli, S.; SanGiovanni, A.; et al. Patterns of appearance and risk of misdiagnosis of intrahepatic cholangiocarcinoma in cirrhosis at contrast enhanced ultrasound. Liver Int. 2013, 33, 771–779. [Google Scholar] [CrossRef] [PubMed]
- Wildner, D.; Bernatik, T.; Greis, C.; Seitz, K.; Neurath, M.F.; Strobel, D. CEUS in Hepatocellular Carcinoma and Intrahepatic Cholangiocellular Carcinoma in 320 Patients—Early or Late Washout Matters: A Subanalysis of the DEGUM Multicenter Trial. Ultraschall der Med.-Eur. J. Ultrasound 2015, 36, 132–139. [Google Scholar] [CrossRef]
- Li, F.; Li, Q.; Liu, Y.; Han, J.; Zheng, W.; Huang, Y.; Zheng, X.; Cao, L.; Zhou, J.-H. Distinguishing intrahepatic cholangiocarcinoma from hepatocellular carcinoma in patients with and without risks: The evaluation of the LR-M criteria of contrast-enhanced ultrasound liver imaging reporting and data system version 2017. Eur. Radiol. 2019, 30, 461–470. [Google Scholar] [CrossRef]
- Omata, M.; Cheng, A.-L.; Kokudo, N.; Kudo, M.; Lee, J.M.; Jia, J.; Tateishi, R.; Han, K.-H.; Chawla, Y.K.; Shiina, S.; et al. Asia–Pacific clinical practice guidelines on the management of hepatocellular carcinoma: A 2017 update. Hepatol. Int. 2017, 11, 317–370. [Google Scholar] [CrossRef] [PubMed]
- EASL Clinical Practice Guidelines: Management of hepatocellular carcinoma. J. Hepatol. 2018, 69, 182–236. [CrossRef]
- 2018 Korean Liver Cancer Association-National Cancer Center Korea Practice Guidelines for the Management of Hepatocellular Carcinoma. Korean J. Radiol. 2019, 20, 1042–1113. [CrossRef]
- Kokudo, N.; Takemura, N.; Hasegawa, K.; Takayama, T.; Kubo, S.; Shimada, M.; Nagano, H.; Hatano, E.; Izumi, N.; Kaneko, S.; et al. Clinical practice guidelines for hepatocellular carcinoma: The Japan Society of Hepatology 2017 (4th JSH-HCC guidelines) 2019 update. Hepatol. Res. 2019, 49, 1109–1113. [Google Scholar] [CrossRef] [PubMed]
- American College of Radiology. Contrast-Enhanced Ultrasound (CEUS) Liver Imaging Reporting and Data System (LI-RADS) Version 2016. Available online: https://www.acr.org/Clinical-Resources/Reporting-and-Data-Systems/LI-RADS/CEUS-LI-RADS-v2016 (accessed on 3 April 2020).
- Van der Pol, C.B.; Lim, C.S.; Sirlin, C.B.; McGrath, T.A.; Salameh, J.; Bashir, M.R.; Tang, A.; Singal, A.G.; Costa, A.F.; Fowler, K.; et al. Accuracy of the Liver Imaging Reporting and Data System in Computed Tomography and Magnetic Resonance Image Analysis of Hepatocellular Carcinoma or Overall Malignancy-A Systematic Review. Gastroenterology 2019, 156, 976–986. [Google Scholar] [CrossRef] [PubMed]
- Lee, S.; Kim, S.; Roh, Y.H.; Choi, J.; Park, M.; Kim, M. Diagnostic Performance of CT/MRI Liver Imaging Reporting and Data System v2017 for Hepatocellular Carcinoma: A Systematic Review and Meta-Analysis. Liver Int. 2020, 40, 1488–1497. [Google Scholar] [CrossRef] [PubMed]
- Shin, J.; Lee, S.; Bae, H.; Chung, Y.E.; Choi, J.; Huh, Y.; Park, M. Contrast-enhanced ultrasound liver imaging reporting and data system for diagnosing hepatocellular carcinoma: A meta-analysis. Liver Int. 2020, 40, 2345–2352. [Google Scholar] [CrossRef] [PubMed]
- Kim, D.H.; Choi, S.H.; Park, S.H.; Kim, K.W.; Byun, J.H.; Kim, S.Y.; Lee, S.S.; Shin, Y.M.; Won, H.J.; Kim, P. Liver imaging reporting and data system category M: A systematic review and meta-analysis. Liver Int. 2020, 40, 1477–1487. [Google Scholar] [CrossRef] [PubMed]
- McInnes, M.; Moher, D.; Thombs, B.D.; McGrath, T.A.; Bossuyt, P.M.; Clifford, T.; Cohen, J.F.; Deeks, J.J.; Gatsonis, C.; Hooft, L.; et al. Preferred Reporting Items for a Systematic Review and Meta-analysis of Diagnostic Test Accuracy Studies: The PRISMA-DTA Statement. JAMA 2018, 319, 388–396. [Google Scholar] [CrossRef]
- Whiting, P.F.; Rutjes, A.W.; Westwood, M.E.; Mallett, S.; Deeks, J.J.; Reitsma, J.B.; Leeflang, M.M.; Sterne, J.A.; Bossuyt, P.M.M.; The QUADAS-2 Group. QUADAS-2: A Revised Tool for the Quality Assessment of Diagnostic Accuracy Studies. Ann. Intern. Med. 2011, 155, 529–536. [Google Scholar] [CrossRef] [PubMed]
- Wang, J.-Y.; Feng, S.-Y.; Yi, A.-J.; Zhu, D.; Xu, J.-W.; Li, J.; Cui, X.-W.; Dietrich, C.F. Comparison of Contrast-Enhanced Ultrasound versus Contrast-Enhanced Magnetic Resonance Imaging for the Diagnosis of Focal Liver Lesions Using the Liver Imaging Reporting and Data System. Ultrasound Med. Biol. 2020, 46, 1216–1223. [Google Scholar] [CrossRef] [PubMed]
- Chen, L.-D.; Ruan, S.-M.; Lin, Y.; Liang, J.-Y.; Shen, S.-L.; Hu, H.-T.; Huang, Y.; Li, W.; Wang, Z.; Xie, X.-Y.; et al. Comparison between M-score and LR-M in the reporting system of contrast-enhanced ultrasound LI-RADS. Eur. Radiol. 2019, 29, 4249–4257. [Google Scholar] [CrossRef] [PubMed]
- Huang, J.-Y.; Li, J.-W.; Lu, Q.; Luo, Y.; Lin, L.; Shi, Y.-J.; Li, T.; Liu, J.-B.; Lyshchik, A. Diagnostic Accuracy of CEUS LI-RADS for the Characterization of Liver Nodules 20 mm or Smaller in Patients at Risk for Hepatocellular Carcinoma. Radiology 2020, 294, 329–339. [Google Scholar] [CrossRef]
- Li, J.; Ling, W.; Chen, S.; Ma, L.; Yang, L.; Lu, Q.; Luo, Y. The interreader agreement and validation of contrast-enhanced ultrasound liver imaging reporting and data system. Eur. J. Radiol. 2019, 120, 108685. [Google Scholar] [CrossRef]
- Ling, W.; Wang, M.; Ma, X.; Qiu, T.; Li, J.; Lu, Q.; Luo, Y. The preliminary application of liver imaging reporting and data system (LI-RADS) with contrast-enhanced ultrasound (CEUS) on small hepatic nodules (≤2 cm). J. Cancer 2018, 9, 2946–2952. [Google Scholar] [CrossRef] [PubMed]
- Schellhaas, B.; Gortz, R.S.; Pfeifer, L.; Kielisch, C.; Neurath, M.F.; Strobel, D. Diagnostic accuracy of contrast-enhanced ultrasound for the differential diagnosis of hepatocellular carcinoma: ESCULAP versus CEUS-LI-RADS. Eur. J. Gastroen. Hepat. 2017, 29, 1036–1044. [Google Scholar] [CrossRef]
- Terzi, E.; Iavarone, M.; Pompili, M.; Veronese, L.; Cabibbo, G.; Fraquelli, M.; Riccardi, L.; De Bonis, L.; SanGiovanni, A.; Leoni, S.; et al. Contrast ultrasound LI-RADS LR-5 identifies hepatocellular carcinoma in cirrhosis in a multicenter restropective study of 1,006 nodules. J. Hepatol. 2018, 68, 485–492. [Google Scholar] [CrossRef]
- Zheng, W.; Li, Q.; Zou, X.-B.; Wang, J.-W.; Han, F.; Li, F.; Huang, L.-S.; Li, A.-H.; Zhou, J.-H. Evaluation of Contrast-enhanced US LI-RADS version 2017: Application on 2020 Liver Nodules in Patients with Hepatitis B Infection. Radiology 2020, 294, 299–307. [Google Scholar] [CrossRef]
- Lyshchik A KYPF. Clinical Validation of CEUS LI-RADS in Prospective Multi-Center Study: Preliminary Results. Radiological Society of North America, 2019 Scientific Assembly and Annual Meeting 2019. Available online: http://archive.rsna.org/2019/19014914.html (accessed on 3 April 2020).
- An, C.; Lee, C.H.; Byun, J.H.; Lee, M.H.; Jeong, W.K.; Choi, S.H.; Kim, D.Y.; Lim, Y.-S.; Kim, Y.S.; Kim, J.H.; et al. Intraindividual Comparison between Gadoxetate-Enhanced Magnetic Resonance Imaging and Dynamic Computed Tomography for Characterizing Focal Hepatic Lesions: A Multicenter, Multireader Study. Korean J. Radiol. 2019, 20, 1616–1626. [Google Scholar] [CrossRef] [PubMed]
- Cha, D.I.; Jang, K.M.; Kang, T.W.; Kim, S.H.; Song, K.D. Liver Imaging Reporting and Data System on CT and gadoxetic acid-enhanced MRI with diffusion-weighted imaging. Eur. Radiol. 2017, 61, 1056–4405. [Google Scholar] [CrossRef] [PubMed]
- Choi, S.H.; Lee, S.S.; Park, S.H.; Kim, K.M.; Yu, E.; Park, Y.; Shin, Y.M.; Lee, M.-G. LI-RADS Classification and Prognosis of Primary Liver Cancers at Gadoxetic Acid–enhanced MRI. Radiology 2019, 290, 388–397. [Google Scholar] [CrossRef] [PubMed]
- Darnell, A.; Forner, A.; Rimola, J.; Reig, M.; García-Criado, Á.; Ayuso, C.; Bruix, J. Liver Imaging Reporting and Data System with MR Imaging: Evaluation in Nodules 20 mm or Smaller Detected in Cirrhosis at Screening US. Radiology 2015, 275, 698–707. [Google Scholar] [CrossRef] [PubMed]
- Fraum, T.J.; Tsai, R.; Rohe, E.; Ludwig, D.R.; Salter, A.; Nalbantoglu, I.; Heiken, J.P.; Fowler, K.J. Differentiation of Hepatocellular Carcinoma from Other Hepatic Malignancies in Patients at Risk: Diagnostic Performance of the Liver Imaging Reporting and Data System Version 2014. Radiology 2018, 286, 158–172. [Google Scholar] [CrossRef]
- Jeon, S.K.; Joo, I.; Lee, D.H.; Lee, S.M.; Kang, H.-J.; Lee, K.-B.; Lee, J.M. Combined hepatocellular cholangiocarcinoma: LI-RADS v2017 categorisation for differential diagnosis and prognostication on gadoxetic acid-enhanced MR imaging. Eur. Radiol. 2019, 29, 373–382. [Google Scholar] [CrossRef]
- Joo, I.; Lee, J.M.; Lee, D.H.; Jeon, J.H.; Han, J.K. Retrospective validation of a new diagnostic criterion for hepatocellular carcinoma on gadoxetic acid-enhanced MRI: Can hypointensity on the hepatobiliary phase be used as an alternative to washout with the aid of ancillary features? Eur. Radiol. 2019, 29, 1724–1732. [Google Scholar] [CrossRef]
- Kierans, A.S.; Makkar, J.; Guniganti, P.; Cornman-Homonoffm, J.; Lee, M.J.; Pittman, M.; Askin, G.; Hecht, E.M. Validation of Liver Imaging Reporting and Data System 2017 (LI-RADS) Criteria for Imaging Diagnosis of Hepatocellular Carcinoma. J. Magn. Reson. Imaging 2019, 49, e205–e215. [Google Scholar] [CrossRef] [PubMed]
- Kim, Y.; An, C.; Kim, S.; Kim, M. Diagnostic accuracy of prospective application of the Liver Imaging Reporting and Data System (LI-RADS) in gadoxetate-enhanced MRI. Eur. Radiol. 2018, 28, 2038–2046. [Google Scholar] [CrossRef] [PubMed]
- Lee, S.M.; Lee, J.M.; Ahn, S.J.; Kang, H.-J.; Yang, H.K.; Yoon, J.H. LI-RADS Version 2017 versus Version 2018: Diagnosis of Hepatocellular Carcinoma on Gadoxetate Disodium–enhanced MRI. Radiology 2019, 292, 655–663. [Google Scholar] [CrossRef]
- Lee, S.; Kim, M.-J.; Kim, S.-S.; Shin, H.; Kim, D.Y.; Choi, J.-Y.; Park, M.-S.; Mitchell, D.G. Retrospective comparison of EASL 2018 and LI-RADS 2018 for the noninvasive diagnosis of hepatocellular carcinoma using magnetic resonance imaging. Hepatol. Int. 2020, 14, 70–79. [Google Scholar] [CrossRef] [PubMed]
- Liu, W.; Qin, J.; Guo, R.; Xie, S.; Jiang, H.; Wang, X.; Kang, Z.; Wang, J.; Shan, H. Accuracy of the diagnostic evaluation of hepatocellular carcinoma with LI-RADS. Acta Radiol. 2018, 59, 140–146. [Google Scholar] [CrossRef]
- Ludwig, D.R.; Fraum, T.J.; Cannella, R.; Ballard, D.H.; Tsai, R.; Naeem, M.; Leblanc, M.; Salter, A.; Tsung, A.; Shetty, A.S.; et al. Hepatocellular carcinoma (HCC) versus non-HCC: Accuracy and reliability of Liver Imaging Reporting and Data System v2018. Abdom. Radiol. 2019, 44, 2116–2132. [Google Scholar] [CrossRef] [PubMed]
- Park, S.H.; Kim, B.; Kim, S.Y.; Shim, Y.S.; Kim, J.H.; Huh, J.; Kim, H.J.; Kim, K.W.; Lee, S.S. Abbreviated MRI with optional multiphasic CT as an alternative to full-sequence MRI: LI-RADS validation in a HCC-screening cohort. Eur. Radiol. 2019, 30, 2302–2311. [Google Scholar] [CrossRef]
- Ren, A.-H.; Zhao, P.-F.; Yang, D.-W.; Du Bs, J.; Wang, Z.-C.; Yang, Z.-H. Diagnostic performance of MR for hepatocellular carcinoma based on LI-RADS v2018, compared with v2017. J. Magn. Reson. Imaging 2019, 50, 746–755. [Google Scholar] [CrossRef]
- Shao, S.; Liang, Y.; Kuang, S.; Chen, J.; Shan, Q.; Yang, H.; Zhang, Y.; Wang, B.; Fowler, K.J.; Wang, J.; et al. Diagnostic performance of LI-RADS version 2018 in differentiating hepatocellular carcinoma from other hepatic malignancies in patients with hepatitis B virus infection. Bosn. J. Basic Med Sci. 2020, 20, 401–410. [Google Scholar] [CrossRef] [PubMed]
- Wang, W.; Yang, C.; Zhu, K.; Yang, L.; Ding, Y.; Luo, R.; Zhu, S.; Chen, C.; Sun, W.; Zeng, M.; et al. Recurrence after Curative Resection of HBV-related Hepatocellular Carcinoma: Diagnostic Algorithms on Gadoxetic Acid-enhanced Magnetic Resonance Imaging. Liver. Transpl. 2020, 26, 751–763. [Google Scholar] [CrossRef] [PubMed]
- Yang, C.; Jiang, H.; Song, B.; Chen, J. The diagnostic performance of version 2018 LI-RADS for hepatocellular carcinoma on Gd-EOB-DTPA enhanced MRI. Chin. J. Radiol. 2019, 53, 1060–1064. [Google Scholar]
- Zhang, T.; Huang, Z.-X.; Wei, Y.; Jiang, H.-Y.; Chen, J.; Liu, X.-J.; Cao, L.-K.; Duan, T.; He, X.-P.; Xia, C.-C.; et al. Hepatocellular carcinoma: Can LI-RADS v2017 with gadoxetic-acid enhancement magnetic resonance and diffusion-weighted imaging improve diagnostic accuracy? World J. Gastroenterol. 2019, 25, 622–631. [Google Scholar] [CrossRef] [PubMed]
- Alhasan, A.; Cerny, M.; Olivié, D.; Billiard, J.-S.; Bergeron, C.; Brown, K.; Bodson-Clermont, P.; Castel, H.; Turcotte, S.; Perreault, P.; et al. LI-RADS for CT diagnosis of hepatocellular carcinoma: Performance of major and ancillary features. Abdom. Radiol. 2018, 44, 517–528. [Google Scholar] [CrossRef] [PubMed]
- Basha, M.A.A.; AlAzzazy, M.Z.; Ahmed, A.F.; Yousef, H.Y.; Shehata, S.M.; Sammak, D.A.E.A.E.; Fathy, T.; Obaya, A.A.; Abdelbary, E.H. Does a combined CT and MRI protocol enhance the diagnostic efficacy of LI-RADS in the categorization of hepatic observations? A prospective comparative study. Eur. Radiol. 2018, 28, 2592–2603. [Google Scholar] [CrossRef]
- Cha, D.I.; Choi, G.S.; Kim, Y.K.; Kim, J.M.; Kang, T.W.; Song, K.D.; Ahn, S.H. Extracellular contrast-enhanced MRI with diffusion-weighted imaging for HCC diagnosis: Prospective comparison with gadoxetic acid using LI-RADS. Eur. Radiol. 2020, 30, 3723–3734. [Google Scholar] [CrossRef] [PubMed]
- Forner, A.; Darnell, A.; Caparroz, C.; Rimola, J.; García-Criado, M.Á.; Belmonte, E.; Reig, M.; Ayuso, C.; Bruix, J. PS-115-Evaluation of LI-RADS v2018 by magnetic resonance in US-detected nodules <2 cm in cirrhotics. J. Hepatol. 2019, 70, e73. [Google Scholar] [CrossRef]
- Hwang, S.H.; Park, S.; Han, K.; Choi, J.-Y.; Park, Y.-N.; Park, M.-S. Optimal lexicon of gadoxetic acid-enhanced magnetic resonance imaging for the diagnosis of hepatocellular carcinoma modified from LI-RADS. Abdom. Radiol. 2019, 44, 3078–3088. [Google Scholar] [CrossRef]
- Kang, J.H.; Choi, S.H.; Byun, J.H.; Kim, D.H.; Lee, S.J.; Kim, S.Y.; Won, H.J.; Shin, Y.M.; Kim, P.-N. Ancillary features in the Liver Imaging Reporting and Data System: How to improve diagnosis of hepatocellular carcinoma ≤ 3 cm on magnetic resonance imaging. Eur. Radiol. 2020, 30, 2881–2889. [Google Scholar] [CrossRef]
- Kim, D.H.; Choi, S.H.; Kim, S.Y.; Kim, M.-J.; Lee, S.S.; Byun, J.H. Gadoxetic Acid–enhanced MRI of Hepatocellular Carcinoma: Value of Washout in Transitional and Hepatobiliary Phases. Radiology 2019, 291, 651–657. [Google Scholar] [CrossRef] [PubMed]
- Lee, S.E.; An, C.; Hwang, S.H.; Choi, J.-Y.; Han, K.; Kim, M.-J. Extracellular contrast agent-enhanced MRI: 15-min delayed phase may improve the diagnostic performance for hepatocellular carcinoma in patients with chronic liver disease. Eur. Radiol. 2017, 28, 1551–1559. [Google Scholar] [CrossRef] [PubMed]
- Min, J.H.; Kim, J.M.; Kim, Y.K.; Cha, D.I.; Kang, T.W.; Kim, H.; Choi, G.S.; Choi, S.-Y.; Ahn, S. Magnetic Resonance Imaging With Extracellular Contrast Detects Hepatocellular Carcinoma With Greater Accuracy Than With Gadoxetic Acid or Computed Tomography. Clin. Gastroenterol. Hepatol. 2020, 18, 2091–2100.e7. [Google Scholar] [CrossRef]
- Renzulli, M.; Biselli, M.; Brocchi, S.; Granito, A.; Vasuri, F.; Tovoli, F.; Sessagesimi, E.; Piscaglia, F.; D’Errico, A.; Bolondi, L.; et al. New hallmark of hepatocellular carcinoma, early hepatocellular carcinoma and high-grade dysplastic nodules on Gd-EOB-DTPA MRI in patients with cirrhosis: A new diagnostic algorithm. Gut 2018, 67, 1674–1682. [Google Scholar] [CrossRef]
- Ronot, M.; Fouque, O.; Esvan, M.; Lebigot, J.; Aubé, C.; Vilgrain, V. Comparison of the accuracy of AASLD and LI-RADS criteria for the non-invasive diagnosis of HCC smaller than 3 cm. J. Hepatol. 2018, 68, 715–723. [Google Scholar] [CrossRef] [PubMed]
- Kim, T.K.; Noh, S.Y.; Wilson, S.R.; Kono, Y.; Piscaglia, F.; Jang, H.; Lyshchik, A.; Dietrich, C.F.; Willmann, J.K.; Vezeridis, A.; et al. Contrast-enhanced ultrasound (CEUS) liver imaging reporting and data system (LI-RADS) 2017 - a review of important differences compared to the CT/MRI system. Clin. Mol. Hepatol. 2017, 23, 280–289. [Google Scholar] [CrossRef] [PubMed]
- Song, F.; Harvey, I.; Lilford, R. Adjusted indirect comparison may be less biased than direct comparison for evaluating new pharmaceutical interventions. J. Clin. Epidemiol. 2008, 61, 455–463. [Google Scholar] [CrossRef] [PubMed]



| Reference | Background | Patients | Index Test | ||||||
|---|---|---|---|---|---|---|---|---|---|
| Country | Centre | Study Type | Study Design | No. of Patients | Average Age (y) | Male, % | Imaging Modality | LI-RADS Version | |
| Chen et al., 2019 [21] | China | Single | Retrospective | Case-control | 210 | 54.5 | 77.6 | CEUS | 2017 |
| Huang et al., 2020 [22] | China | Single | Retrospective | Cohort | 172 | 51.8 | 79.1 | CEUS | 2017 |
| Li et al., 2019 [23] | China | Single | Retrospective | Cohort | 1366 | 52.3 | 80.3 | CEUS | 2017 |
| Ling et al., 2018 [24] | China | Single | Retrospective | NR | 56 | 52.5 | 82.1 | CEUS | 2017 |
| Lyshchik et al., 2019 [28] | USA | Multiple | Prospective | Cohort | NR | NR | NR | CEUS | 2017 |
| Schellhaas et al., 2017 [25] | Germany | Single | Prospective | Cohort | 100 | 66.1 | 85.0 | CEUS | 2016 |
| Terzi et al., 2017 [26] | Italy | Multiple | Retrospective | Cohort | 848 | 70 | 53.9 | CEUS | 2016 |
| Zheng et al., 2020 [27] | China | Single | Retrospective | Cohort | 1826 | 54 | 89.9 | CEUS | 2017 |
| Wang et al., 2020 [20] | China | Single | Retrospective | Cohort | 63 | 56 | 74.6 | CEUS | 2017 |
| ECA-MRI | 2018 | ||||||||
| Alhasan et al., 2018 [48] | Canada | Single | Retrospective | Cohort | 59 | 63.2 | 76.3 | CT | 2017 |
| An et al., 2019 [29] | Korea | Multiple | Retrospective | Case-control | 217 | 59 | 76.5 | CT, HBA-MRI | 2014 |
| Basha et al., 2018 [49] | Egypt | Multiple | Prospective | Cohort | 240 | 61.5 | 55.8 | CT, ECA-MRI | 2014 |
| Cha(1) et al., 2020 [50] | Korea | Single | Prospective | Cohort | 122 | 55 | 82.8 | ECA-MRI, HBA-MRI | 2018 |
| Cha(2) et al., 2017 [30] | Korea | Single | Retrospective | Cohort | 421 | 57 | 72.0 | CT, HBA-MRI a | 2014 |
| Choi et al., 2019 [31] | Korea | Single | Retrospective | Case-control | 194 | 57 | 79.9 | HBA-MRI | 2017 |
| Darnell et al., 2015 [32] | Spain | Single | Retrospective | Cohort | 133 | 64 | 50.9 | ECA-MRI | 2014 |
| Forner et al., 2019 [51] | Spain | Single | Retrospective | NR | 262 | NR | NR | MRI | 2018 |
| Fraum et al., 2018 [33] | USA | Single | Prospective | Cohort | 220 | 60.3 | NR | CT, ECA-MRI, HBA-MRI a | 2014 |
| Hwang et al., 2019 [52] | Korea | Single | Retrospective | Cohort | 177 | 58 | 89.3 | HBA-MRI | 2018 |
| Jeon et al., 2019 [34] | Korea | Single | Retrospective | Case-control | 140 | 56 | 71.7 | HBA-MRI | 2017 |
| Joo et al., 2018 [35] | Korea | Single | Retrospective | NR | 288 | NR | NR | HBA-MRI | 2017 |
| Kang et al., 2020 [53] | Korea | Single | Retrospective | Cohort | 266 | 61.3 | 81.2 | HBA-MRI | 2018 |
| Kierans et al., 2018 [36] | USA | Multiple | Retrospective | Cohort | 114 | 57 | 65.8 | ECA-MRI, HBA-MRI | 2017 |
| Kim DH et al., 2019 [54] | Korea | Single | Prospective | Cohort | 258 | 61 | 81.4 | HBA-MRI | 2018 |
| Kim YY et al., 2017 [37] | Korea | Single | Retrospective | Cohort | 143 | 58 | 83.9 | HBA-MRI | 2014 |
| Lee S et al., 2019 [39] | Korea | Single | Retrospective | Cohort | 298 | 57.4 | 72.1 | ECA-MRI, HBA-MRI | 2018 |
| Lee SE et al., 2017 [55] | Korea | Single | Retrospective | Cohort | 103 | 61 | 74.8 | ECA-MRI | 2017 |
| Lee SM 2019 [38] | Korea | Single | Retrospective | Cohort | 387 | 59 | 78.8 | HBA-MRI | 2017, 2018 |
| Liu et al., 2017 [40] | China | Single | Retrospective | NR | 249 | 51 | 85.5 | CT, MRI a | 2014 |
| Ludwig et al., 2019 [41] | USA | Multiple | Retrospective | Cohort | 178 | 61.9 | 77.5 | CT, ECA-MRI, HBA-MRI a | 2018 |
| Min et al., 2019 [56] | Korea | Single | Prospective | Cohort | 125 | 55.3 | 81.6 | CT, ECA-MRI, HBA-MRI | 2018 |
| Park et al., 2019 [42] | Korea | Multiple | Retrospective | Cohort | 267 | 56.2 | 77.9 | HBA-MRI | 2018 |
| Ren et al., 2019 [43] | China | Single | Retrospective | Cohort | 181 | 56.4 | 77.9 | ECA-MRI | 2017, 2018 |
| Renzulli et al., 2018 [57] | Italy | Single | Retrospective | Cohort | 228 | 63.7 | 79.4 | HBA-MRI | 2017 |
| Ronot et al., 2018 [58] | France | Multiple | Prospective | Cohort | 442 | 61.9 | 77.6 | CT, ECA-MRI | 2014 |
| Shao et al., 2020 [44] | China | Single | Retrospective | Case-control | 140 | 48 | 85.7 | ECA-MRI, HBA-MRI | 2018 |
| Wang W et al., 2020 [45] | China | Single | Retrospective | Cohort | 204 | 55 | 89.2 | HBA-MRI | 2018 |
| Yang et al., 2019 [46] | China | Single | Retrospective | NR | 130 | 51.5 | 76.2 | HBA-MRI | 2018 |
| Zhang et al., 2019 [47] | China | Single | Retrospective | Cohort | 203 | 50.3 | 77.3 | HBA-MRI | 2017 |
| Reference | Patients | Lesions and Reference Standards | ||||||||
|---|---|---|---|---|---|---|---|---|---|---|
| n | Cirrhosis, % | n | Pathology, % | Average Size (Range, mm) | HCC, n | OM, n | Benign Lesion, n | Interval from Index Test to Pathology | Interval from Index Test to Follow-Up | |
| Chen et al., 2019 [21] | 210 | NR £ | 210 | 100.0 | NR | 105 † | 105 † | 0 | NR | N/A |
| Huang et al., 2020 [22] | 172 | NR | 175 | 70.9 | 16.1 (8–20) | 105 †,‡,§ | 2 † | 68 †,‡,§ | (13 ± 7) d | NR |
| Li et al., 2019 [23] | 1366 | 37.5 | 1366 | 100.0 | 47 (5–200) | 985 † | 139 † | 242 † | NR | N/A |
| Ling et al., 2018 [24] | 56 | 8.9 | 56 | 100.0 | 17.1 (14.3–20) | 44 † | 2 † | 10 † | NR | N/A |
| Lyshchik et al., 2019 [28] | NR | NR | 162 | NR | 24 (NR) | 136 †,‡,§ | 6 NR | 20 NR | NR | NR |
| Schellhaas et al., 2017 [25] | 100 | 4.0 | 100 | 63.0 | 52.2 (10–290) | 87 †,‡ | 6 † | 7 †,§ | ≤3 m | ≥6 m |
| Terzi et al., 2017 [26] | 848 | 100.0 | 1066 | 46.9 | 20 (5–150) | 820 †,‡ | 53 † | 133 †,‡ | NR | N/A |
| Wang J et al., 2020 [20] | 63 | 96.8 | 84 | 100.0 | 35 (9–183) | 45 † | 4 † | 35 † | NR | N/A |
| Zheng et al., 2020 [27] | 1826 | 86.3 | 2020 | 35.5 | NR | 1514 †,‡,§ | 138 †,‡ | 368 †,‡,§ | NR | ≥12 m |
| Alhasan et al., 2018 [48] | 59 | 93.2 | 104 | 41.3 | 30.1 (6–110) | 72 †,‡,§ | 4 † | 38 †,‡,§ | HCC:(137 ± 206) d Benign lesions:(251 ± 441) d | ≥6 m |
| An et al., 2019 [29] | 217 | NR | 231 | 100.0 | 21 (3−133) | 114 † | 58 † | 59 † | ≤2 m | N/A |
| Basha et al., 2018 [49] | 240 | NR | 296 | 63.2 | NR (≤50) | 192 †,§ | 9 † | 95 †,§ | NR | NR |
| Cha(1) et al., 2020 [50] | 122 | 59.8 | 147 | 95.9 | 21 (6–50) | 122 † | 10 † | 15 †,§ | ≤1 m | NR |
| Cha(2) et al., 2017 [30] | 421 | NR | 445 | 100.0 | 25 (8–49) | 397 † | 31 † | 17 † | ≤2 m | N/A |
| Choi et al., 2019 [31] | 194 | 100.0 | 194 | 100.0 | 32 (NR) | 97 † | 97 † | 0 | ≤3 m | N/A |
| Darnell et al., 2015 [32] | 133 | 100.0 | 133 | NR | NR (5–20) | 102 † | 4 † | 27 †,‡,§ | NR | NR |
| Forner et al., 2019 [51] | 262 | 100.0 | 262 | NR | NR (≤20) | 197 †,‡,§ | 7 † | 58 †,‡,§ | NR | NR |
| Fraum et al., 2018 [33] | 220 | 66.4 | 220 | 100.0 | NR | 136 † | 42 † | 42 † | NR | N/A |
| Hwang et al., 2019 [52] | 177 | NR | 241 | 71.0 | 19.7 (2.3–48.2) | 149 † | 6 † | 86 †,§ | ≤6 m | ≥24 m |
| Jeon et al., 2019 [34] | 140 | 12.1 | 140 | 100.0 | 39.4 (NR) | 70 † | 70 † | 0 | ≤2 m | N/A |
| Joo et al., 2018 [35] | 288 | 57.6 Ψ | 387 | 39.3 | NR | 292 †,‡ | 15 † | 80 †,‡,§ | ≤2 m | ≥6 m |
| Kang et al., 2020 [53] | 266 | NR | 385 | 62.9 | NR (5–30) | 283 †,§ | 18 † | 84 †,§ | NR | ≥24 m |
| Kierans et al., 2018 [36] | 114 | NR ₴ | 144 | 71.5 | NR | 82 † | 8 † | 54 †,§ | ≤4 m | ≥24 m |
| Kim DH et al., 2019 [54] | 258 | NR | 372 | 63.4 | NR (10–30) | 273 †,§ | 18 † | 81 †,§ | NR | ≥24 m |
| Kim YY et al., 2017 [37] | 143 | NR | 202 | 61.9 | NR | 129 †,§ | 6 † | 67 †,§ | 35 (1–461) d | ≥18 m |
| Lee S et al., 2019 [39] | 298 | 63.1 | 382 | 85.6 | 24 (15–34) | 286 † | 33 † | 63 †,‡,§ | ≤3 m | ≥24 m |
| Lee SE et al., 2017 [55] | 103 | NR | 133 | 75.2 | 22.2 (4.9–192) | 107 †,§ | 3 † | 23 †,§ | NR | ≥18 m |
| Lee SM et al., 2019 [38] | 387 | 74.2 Ψ | 422 | 70.4 | 24 (NR) | 234 † | 45 † | 143 †,§ | ≤2 m | ≥24 m |
| Liu et al., 2017 [40] | 249 | NR | 297 | 64.3 | 22 (3–146) | 178 † | 13 † | 106 †,§ | ≤1 m | ≥24 m |
| Ludwig et al., 2019 [41] | 178 | 97.8 Ψ | 178 | 100.0 | 35 (14–190) | 105 † | 73 † | 0 | HCC:189d; OM:89d | N/A |
| Min et al., 2019 [56] | 125 | 52.8 £ | 163 | 89.6 | 20.7 (9–40) | 124 † | 13 † | 26 †,‡,§ | ≤1 m | NR |
| Park et al., 2019 [42] | 267 | 100.0 | 306 | 100.0 | 19 (5–30) | 280 † | 21 † | 5 † | NR | N/A |
| Ren et al., 2019 [43] | 181 | 32.6 | 217 | 59.0 | 30.5 (NR) | 146 †,§ | 16 † | 55 †,‡,§ | NR | ≥24 m |
| Renzulli et al., 2018 [57] | 228 | NR | 420 | 38.3 | 16.7 (11–150) | 342 †,‡,§ | 8 † | 69 †,§ | NR | ≥24 m |
| Ronot et al., 2018 [58] | 442 | 100.0 Ψ | 595 | NR | 18 (10–30) | 341 †,‡,§ | 8 ¶ | 246 ¶ | ≤6 m | ≥6 m |
| Shao et al., 2020 [44] | 140 | NR | 140 | 100.0 | 48 (10–120) | 70 † | 70 † | 0 | ≤6 m | N/A |
| Wang W et al., 2020 [45] | 204 | 100.0 | 373 | NR | 14 (5.5–19) | 256 †,‡ | 1 † | 116 †,§ | NR | ≥24 m |
| Yang et al., 2019 [46] | 130 | NR | 134 | 100.0 | 49.2 (NR) | 97 † | 29 † | 8 † | ≤1 m | N/A |
| Zhang et al., 2019 [47] | 203 | NR | 245 | 81.6 | 53 (11–128) | 165 † | 30 † | 50 †,§ | NR | ≥24 m |
Publisher’s Note: MDPI stays neutral with regard to jurisdictional claims in published maps and institutional affiliations. |
© 2021 by the authors. Licensee MDPI, Basel, Switzerland. This article is an open access article distributed under the terms and conditions of the Creative Commons Attribution (CC BY) license (http://creativecommons.org/licenses/by/4.0/).
Share and Cite
Li, L.; Hu, Y.; Han, J.; Li, Q.; Peng, C.; Zhou, J. Clinical Application of Liver Imaging Reporting and Data System for Characterizing Liver Neoplasms: A Meta-Analysis. Diagnostics 2021, 11, 323. https://doi.org/10.3390/diagnostics11020323
Li L, Hu Y, Han J, Li Q, Peng C, Zhou J. Clinical Application of Liver Imaging Reporting and Data System for Characterizing Liver Neoplasms: A Meta-Analysis. Diagnostics. 2021; 11(2):323. https://doi.org/10.3390/diagnostics11020323
Chicago/Turabian StyleLi, Lingling, Yixin Hu, Jing Han, Qing Li, Chuan Peng, and Jianhua Zhou. 2021. "Clinical Application of Liver Imaging Reporting and Data System for Characterizing Liver Neoplasms: A Meta-Analysis" Diagnostics 11, no. 2: 323. https://doi.org/10.3390/diagnostics11020323
APA StyleLi, L., Hu, Y., Han, J., Li, Q., Peng, C., & Zhou, J. (2021). Clinical Application of Liver Imaging Reporting and Data System for Characterizing Liver Neoplasms: A Meta-Analysis. Diagnostics, 11(2), 323. https://doi.org/10.3390/diagnostics11020323

