Association of Hepatic Steatosis Index with Nonalcoholic Fatty Liver Disease Diagnosed by Non-Enhanced CT in a Screening Population
Abstract
:1. Introduction
2. Materials and Methods
2.1. Study Population and Data Collection
2.2. CT Examinations
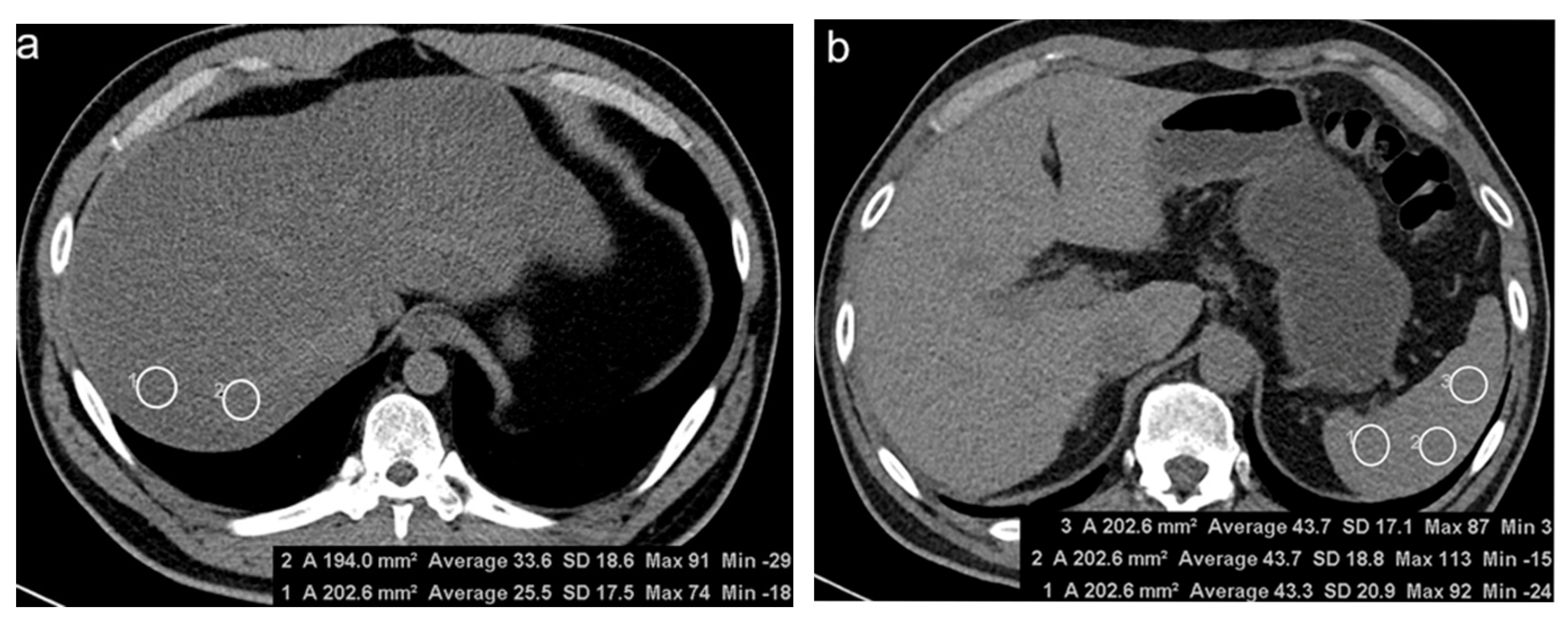
2.3. Image Analysis
2.4. Clinical Information
2.5. Statistical Analysis
3. Results
3.1. Diagnosis of Hepatic Steatosis Using Three CT Criteria
3.2. Association of Clinical and Laboratory Parameters with Hepatic Steatosis
3.3. Correlation between HSI and the Three CT Criteria
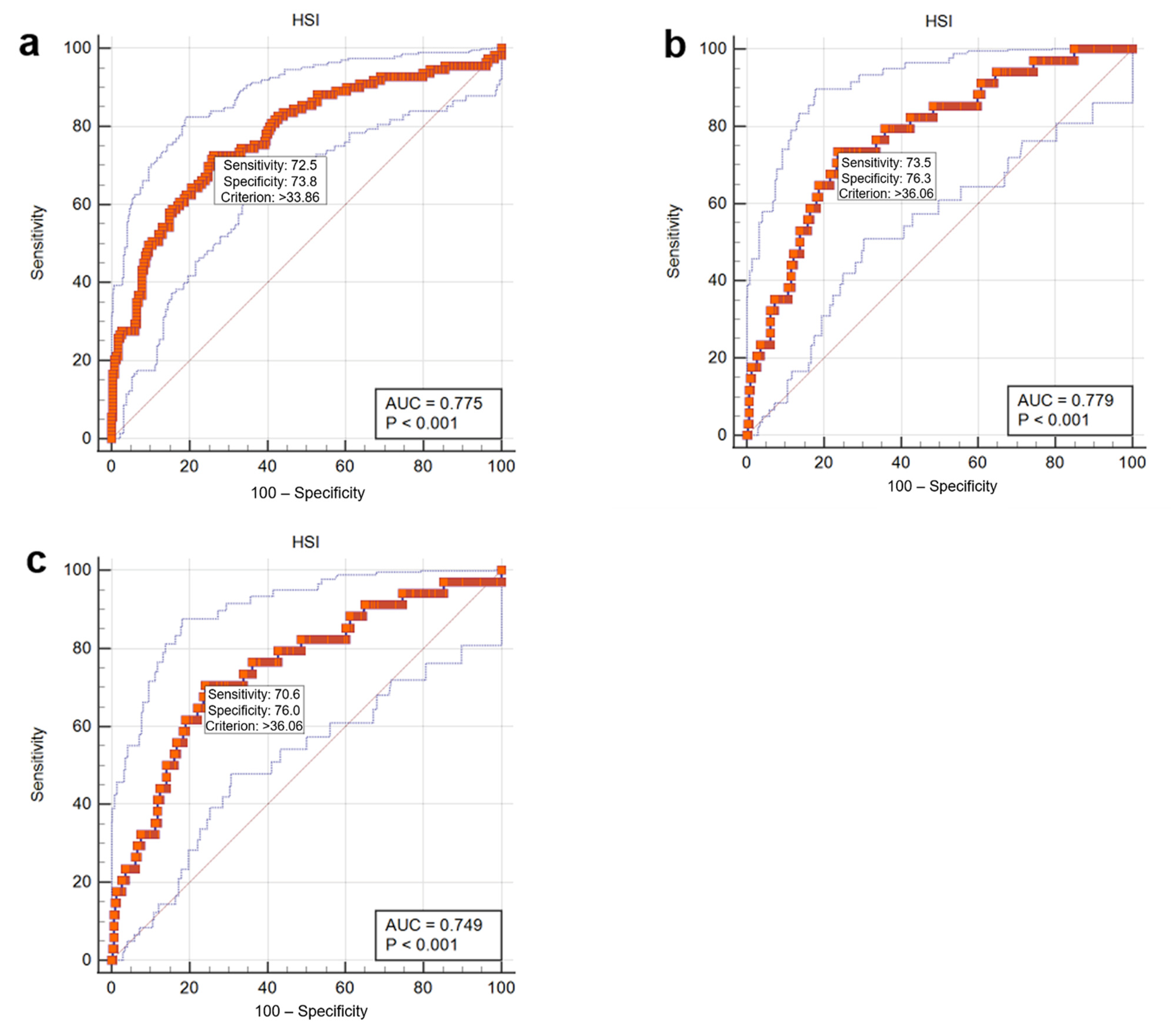
3.4. Diagnostic Performance of HSI for Hepatic Steatosis Using the Three CT Criteria
3.5. Intraobserver and Interobserver Agreement
4. Discussion
5. Conclusions
Author Contributions
Funding
Institutional Review Board Statement
Informed Consent Statement
Data Availability Statement
Conflicts of Interest
References
- Angulo, P. Nonalcoholic fatty liver disease. N. Engl. J. Med. 2002, 346, 1221–1231. [Google Scholar] [CrossRef] [Green Version]
- Lee, Y.H.; Bang, H.; Park, Y.M.; Bae, J.C.; Lee, B.W.; Kang, E.S.; Cha, B.S.; Lee, H.C.; Balkau, B.; Lee, W.Y.; et al. Non-laboratory-based self-assessment screening score for non-alcoholic fatty liver disease: Development, validation and comparison with other scores. PLoS ONE 2014, 9, e107584. [Google Scholar] [CrossRef]
- Musso, G.; Gambino, R.; Cassader, M.; Pagano, G. Meta-analysis: Natural history of non-alcoholic fatty liver disease (NAFLD) and diagnostic accuracy of non-invasive tests for liver disease severity. Ann. Med. 2011, 43, 617–649. [Google Scholar] [CrossRef]
- Adams, L.A.; Lymp, J.F.; St Sauver, J.; Sanderson, S.O.; Lindor, K.D.; Feldstein, A.; Angulo, P. The natural history of nonalcoholic fatty liver disease: A population-based cohort study. Gastroenterology 2005, 129, 113–121. [Google Scholar] [CrossRef]
- Lee, S.S.; Park, S.H.; Kim, H.J.; Kim, S.Y.; Kim, M.Y.; Kim, D.Y.; Suh, D.J.; Kim, K.M.; Bae, M.H.; Lee, J.Y.; et al. Non-invasive assessment of hepatic steatosis: Prospective comparison of the accuracy of imaging examinations. J. Hepatol. 2010, 52, 579–585. [Google Scholar] [CrossRef] [PubMed]
- Strauss, S.; Gavish, E.; Gottlieb, P.; Katsnelson, L. Interobserver and intraobserver variability in the sonographic assessment of fatty liver. AJR Am. J. Roentgenol. 2007, 189, W320–W323. [Google Scholar] [CrossRef] [PubMed]
- Lee, D.H. Imaging evaluation of non-alcoholic fatty liver disease: Focused on quantification. Clin. Mol. Hepatol. 2017, 23, 290–301. [Google Scholar] [CrossRef]
- Jawahar, A.; Gonzalez, B.; Balasubramanian, N.; Adams, W.; Goldberg, A. Comparison of correlations between lipid profile and different computed tomography fatty liver criteria in the setting of incidentally noted fatty liver on computed tomography examinations. Eur. J. Gastroenterol. Hepatol. 2017, 29, 1389–1396. [Google Scholar] [CrossRef]
- Jawahar, A.; Gonzalez, B.; Balasubramanian, N.; Adams, W.; Goldberg, A. Comparison of computed tomography hepatic steatosis criteria for identification of abnormal liver function and clinical risk factors, in incidentally noted fatty liver. Eur. J. Gastroenterol. Hepatol. 2020, 32, 216–221. [Google Scholar] [CrossRef] [PubMed]
- Lee, J.H.; Kim, D.; Kim, H.J.; Lee, C.H.; Yang, J.I.; Kim, W.; Kim, Y.J.; Yoon, J.H.; Cho, S.H.; Sung, M.W.; et al. Hepatic steatosis index: A simple screening tool reflecting nonalcoholic fatty liver disease. Dig. Liver Dis. 2010, 42, 503–508. [Google Scholar] [CrossRef]
- Kotronen, A.; Peltonen, M.; Hakkarainen, A.; Sevastianova, K.; Bergholm, R.; Johansson, L.M.; Lundbom, N.; Rissanen, A.; Ridderstrale, M.; Groop, L.; et al. Prediction of non-alcoholic fatty liver disease and liver fat using metabolic and genetic factors. Gastroenterology 2009, 137, 865–872. [Google Scholar] [CrossRef] [PubMed]
- Long, M.T.; Pedley, A.; Colantonio, L.D.; Massaro, J.M.; Hoffmann, U.; Muntner, P.; Fox, C.S. Development and Validation of the Framingham Steatosis Index to Identify Persons With Hepatic Steatosis. Clin. Gastroenterol. Hepatol. 2016, 14, 1172–1180. [Google Scholar] [CrossRef] [Green Version]
- Kim, M.G.; Lee, S.S.; Jun, M.J.; Byun, J.; Sung, Y.S.; Shin, Y.; Lee, M.G. Feasibility of non-enhanced CT for assessing longitudinal changes in hepatic steatosis. Medicine (Baltimore) 2019, 98, e15606. [Google Scholar] [CrossRef] [PubMed]
- Zeb, I.; Li, D.; Nasir, K.; Katz, R.; Larijani, V.N.; Budoff, M.J. Computed tomography scans in the evaluation of fatty liver disease in a population based study: The multi-ethnic study of atherosclerosis. Acad. Radiol. 2012, 19, 811–818. [Google Scholar] [CrossRef] [PubMed] [Green Version]
- Ma, X.; Holalkere, N.S.; Kambadakone, R.A.; Mino-Kenudson, M.; Hahn, P.F.; Sahani, D.V. Imaging-based quantification of hepatic fat: Methods and clinical applications. Radiographics 2009, 29, 1253–1277. [Google Scholar] [CrossRef] [Green Version]
- Papagianni, M.; Sofogianni, A.; Tziomalos, K. Non-invasive methods for the diagnosis of nonalcoholic fatty liver disease. World J. Hepatol. 2015, 7, 638–648. [Google Scholar] [CrossRef]
- Kawamoto, R.; Kohara, K.; Kusunoki, T.; Tabara, Y.; Abe, M.; Miki, T. Alanine aminotransferase/aspartate aminotransferase ratio is the best surrogate marker for insulin resistance in non-obese Japanese adults. Cardiovasc. Diabetol 2012, 11, 117. [Google Scholar] [CrossRef] [Green Version]
- Schwenzer, N.F.; Springer, F.; Schraml, C.; Stefan, N.; Machann, J.; Schick, F. Non-invasive assessment and quantification of liver steatosis by ultrasound, computed tomography and magnetic resonance. J. Hepatol. 2009, 51, 433–445. [Google Scholar] [CrossRef]
- Pickhardt, P.J.; Park, S.H.; Hahn, L.; Lee, S.G.; Bae, K.T.; Yu, E.S. Specificity of unenhanced CT for non-invasive diagnosis of hepatic steatosis: Implications for the investigation of the natural history of incidental steatosis. Eur. Radiol. 2012, 22, 1075–1082. [Google Scholar] [CrossRef]
- Jacobs, J.E.; Birnbaum, B.A.; Shapiro, M.A.; Langlotz, C.P.; Slosman, F.; Rubesin, S.E.; Horii, S.C. Diagnostic criteria for fatty infiltration of the liver on contrast-enhanced helical CT. AJR Am. J. Roentgenol. 1998, 171, 659–664. [Google Scholar] [CrossRef]
- Birnbaum, B.A.; Hindman, N.; Lee, J.; Babb, J.S. Multi-detector row CT attenuation measurements: Assessment of intra- and interscanner variability with an anthropomorphic body CT phantom. Radiology 2007, 242, 109–119. [Google Scholar] [CrossRef]
- Kodama, Y.; Ng, C.S.; Wu, T.T.; Ayers, G.D.; Curley, S.A.; Abdalla, E.K.; Vauthey, J.N.; Charnsangavej, C. Comparison of CT methods for determining the fat content of the liver. AJR Am. J. Roentgenol. 2007, 188, 1307–1312. [Google Scholar] [CrossRef] [PubMed] [Green Version]
- Lee, S.S.; Park, S.H. Radiologic evaluation of nonalcoholic fatty liver disease. World J. Gastroenterol. 2014, 20, 7392–7402. [Google Scholar] [CrossRef]
- Kim, D.Y.; Park, S.H.; Lee, S.S.; Kim, H.J.; Kim, S.Y.; Kim, M.Y.; Lee, Y.; Kim, T.K.; Khalili, K.; Bae, M.H.; et al. Contrast-enhanced computed tomography for the diagnosis of fatty liver: Prospective study with same-day biopsy used as the reference standard. Eur. Radiol. 2010, 20, 359–366. [Google Scholar] [CrossRef] [PubMed]
- Byun, J.; Lee, S.S.; Sung, Y.S.; Shin, Y.; Yun, J.; Kim, H.S.; Yu, E.S.; Lee, S.G.; Lee, M.G. CT indices for the diagnosis of hepatic steatosis using non-enhanced CT images: Development and validation of diagnostic cut-off values in a large cohort with pathological reference standard. Eur. Radiol. 2019, 29, 4427–4435. [Google Scholar] [CrossRef] [PubMed]
- Han, J.M.; Kim, H.I.; Lee, Y.J.; Lee, J.W.; Kim, K.M.; Bae, J.C. Differing Associations between Fatty Liver and Dyslipidemia According to the Degree of Hepatic Steatosis in Korea. J. Lipid Atheroscler. 2019, 8, 258–266. [Google Scholar] [CrossRef]
- Park, S.H.; Kim, P.N.; Kim, K.W.; Lee, S.W.; Yoon, S.E.; Park, S.W.; Ha, H.K.; Lee, M.G.; Hwang, S.; Lee, S.G.; et al. Macrovesicular hepatic steatosis in living liver donors: Use of CT for quantitative and qualitative assessment. Radiology 2006, 239, 105–112. [Google Scholar] [CrossRef]
- Adams, L.A.; Sanderson, S.; Lindor, K.D.; Angulo, P. The histological course of nonalcoholic fatty liver disease: A longitudinal study of 103 patients with sequential liver biopsies. J. Hepatol. 2005, 42, 132–138. [Google Scholar] [CrossRef]
- Gholam, P.M.; Flancbaum, L.; Machan, J.T.; Charney, D.A.; Kotler, D.P. Nonalcoholic fatty liver disease in severely obese subjects. Am. J. Gastroenterol. 2007, 102, 399–408. [Google Scholar] [CrossRef]




| Patients with Hepatic Steatosis (n = 110) | Patients without Hepatic Steatosis (n = 229) | p-Value | ||
|---|---|---|---|---|
| Univariate Analysis | Multivariate Analysis | |||
| AST (IU/L) | 29 ± 15 | 25 ± 11 | 0.041 | 0.143 |
| ALT (IU/L) | 33 ± 31 | 24 ± 12 | <0.001 | 0.22 |
| Fasting glucose (mg/dL) | 104.5 ± 27 | 97 ±16 | <0.001 | 0.008 |
| HbA1c (%) | 5.9 ± 1.18 | 5.6 ± 0.4 | 0.071 | |
| Triglyceride (mg/dL) | 133 ± 103.25 | 87 ± 66 | <0.001 | 0.366 |
| Total cholesterol (mg/dL) | 205 ± 76.5 | 203 ± 53 | 0.172 | |
| HDL (mg/dL) | 51 ± 16.5 | 59 ± 21 | <0.001 | 0.326 |
| LDL (mg/dL) | 128 ± 64.5 | 121 ± 47 | 0.514 | |
| Uric acid (mg/dL) | 5.5 ± 1.63 | 4.7 ± 1.6 | 0.001 | 0.415 |
| ALT/AST ratio | 1.18 ± 0.53 | 0.9 ± 0.33 | <0.001 | 0.235 |
| HSI | 36.9 ± 6.69 | 31.4 ± 5.1 | <0.001 | 0.038 |
| BMI (kg/m2) | 25.85 ± 4.2 | 23.2 ± 3.9 | <0.001 | 0.698 |
| Patients with Hepatic Steatosis (n = 34) | Patients without Hepatic Steatosis (n = 305) | p-Value | ||
|---|---|---|---|---|
| Univariate Analysis | Multivariate Analysis | |||
| AST (IU/L) | 31.5 ± 16.5 | 25 ± 12 | 0.158 | |
| ALT (IU/L) | 40 ± 35 | 25 ± 14 | 0.043 | 0.571 |
| Fasting glucose (mg/dL) | 111.5 ± 36.5 | 98 ± 18 | <0.001 | 0.134 |
| HbA1c (%) | 6.25 ± 1.25 | 5.6 ± 0.5 | 0.82 | |
| Triglyceride (mg/dL) | 152 ± 146.5 | 95 ± 81 | <0.001 | 0.311 |
| Total cholesterol (mg/dL) | 207.5 ± 78 | 203 ± 55 | 0.005 | 0.436 |
| HDL (mg/dL) | 46 ± 17.75 | 57 ± 21 | 0.001 | 0.361 |
| LDL (mg/dL) | 120.5 ± 65.25 | 123 ± 50 | 0.754 | |
| Uric acid (mg/dL) | 5.35 ± 2 | 4.8 ± 1.85 | 0.02 | 0.214 |
| ALT/AST ratio | 1.3 ± 0.53 | 0.94 ± 0.36 | 0.003 | 0.037 |
| HSI | 38.02 ± 5.51 | 32.54 ± 6.78 | <0.001 | 0.037 |
| BMI (kg/m2) | 26 ± 3.93 | 23.6 ± 4.4 | <0.001 | 0.102 |
| Patients with Hepatic Steatosis (n = 34) | Patients without Hepatic Steatosis (n = 305) | p-Value | ||
|---|---|---|---|---|
| Univariate Analysis | Multivariate Analysis | |||
| AST (IU/L) | 32 ± 16.5 | 25 ± 12 | 0.151 | |
| ALT (IU/L) | 38.5 ± 35.5 | 25 ± 14 | 0.053 | |
| Fasting glucose (mg/dL) | 110.5 ± 29.25 | 98 ± 18 | 0.004 | 0.292 |
| HbA1c (%) | 6.25 ± 1.25 | 5.6 ± 0.5 | 0.002 | 0.891 |
| Triglyceride (mg/dL) | 160 ± 148.25 | 94 ± 83 | <0.001 | 0.11 |
| Total cholesterol (mg/dL) | 207.5 ± 78 | 203 ± 55 | 0.006 | 0.391 |
| HDL (mg/dL) | 46 ± 19 | 57 ± 20 | 0.052 | |
| LDL (mg/dL) | 120.5 ± 65.25 | 123 ± 50 | 0.957 | |
| Uric acid (mg/dL) | 5.4 ± 2 | 4.8 ± 1.9 | 0.005 | 0.111 |
| ALT/AST ratio | 1.3 ± 0.53 | 0.94 ± 0.37 | 0.006 | 0.028 |
| HSI | 37.68 ± 6.26 | 32.54 ± 6.78 | <0.001 | 0.028 |
| BMI (kg/m2) | 26 ± 4.18 | 23.6 ± 4.3 | 0.001 | 0.081 |
Publisher’s Note: MDPI stays neutral with regard to jurisdictional claims in published maps and institutional affiliations. |
© 2021 by the authors. Licensee MDPI, Basel, Switzerland. This article is an open access article distributed under the terms and conditions of the Creative Commons Attribution (CC BY) license (https://creativecommons.org/licenses/by/4.0/).
Share and Cite
Chung, J.; Park, H.-S.; Kim, Y.-J.; Yu, M.-H.; Park, S.; Jung, S.-I. Association of Hepatic Steatosis Index with Nonalcoholic Fatty Liver Disease Diagnosed by Non-Enhanced CT in a Screening Population. Diagnostics 2021, 11, 2168. https://doi.org/10.3390/diagnostics11122168
Chung J, Park H-S, Kim Y-J, Yu M-H, Park S, Jung S-I. Association of Hepatic Steatosis Index with Nonalcoholic Fatty Liver Disease Diagnosed by Non-Enhanced CT in a Screening Population. Diagnostics. 2021; 11(12):2168. https://doi.org/10.3390/diagnostics11122168
Chicago/Turabian StyleChung, Jieun, Hee-Sun Park, Young-Jun Kim, Mi-Hye Yu, Sungeun Park, and Sung-Il Jung. 2021. "Association of Hepatic Steatosis Index with Nonalcoholic Fatty Liver Disease Diagnosed by Non-Enhanced CT in a Screening Population" Diagnostics 11, no. 12: 2168. https://doi.org/10.3390/diagnostics11122168
APA StyleChung, J., Park, H.-S., Kim, Y.-J., Yu, M.-H., Park, S., & Jung, S.-I. (2021). Association of Hepatic Steatosis Index with Nonalcoholic Fatty Liver Disease Diagnosed by Non-Enhanced CT in a Screening Population. Diagnostics, 11(12), 2168. https://doi.org/10.3390/diagnostics11122168
