Fifty Shades of Scandium: Comparative Study of PET Capabilities Using Sc-43 and Sc-44 with Respect to Conventional Clinical Radionuclides
Abstract
:1. Introduction
2. Materials and Methods
2.1. Phantoms and Devices Used for the Measurements
2.2. Radionuclides and Phantom Activity Concentrations
2.3. Local Calibration of Dose Calibrator
2.4. Phantom Analysis
2.4.1. PET vs. Dose Calibrator Activity Cross-Calibration (BGcal)
2.4.2. Image Noise
2.4.3. Average Residual Lung Error
2.4.4. Recovery Coefficients
2.5. Software
3. Results
3.1. Local Calibration of Radionuclides
3.1.1. Linearity Method
3.1.2. Vendor Method
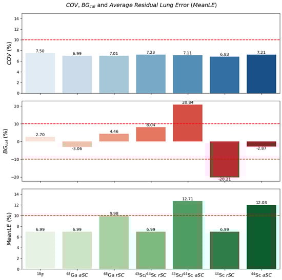
3.2. BGcal, COV and Average Residual Lung Error
3.3. Recovery Coefficient
4. Discussion
5. Conclusions
Author Contributions
Funding
Institutional Review Board Statement
Informed Consent Statement
Data Availability Statement
Acknowledgments
Conflicts of Interest
References
- Talip, Z.; Favaretto, C.; Geistlich, S.; Van Der Meulen, N.P. A Step-by-Step Guide for the Novel Radiometal Production for Medical Applications: Case Studies with 68Ga, 44Sc, 177Lu and 161Tb. Molecules 2020, 25, 966. [Google Scholar] [CrossRef] [PubMed] [Green Version]
- Sinnes, J.-P.; Bauder-Wüst, U.; Schäfer, M.; Moon, E.S.; Kopka, K.; Rösch, F. 68Ga, 44Sc and 177Lu-labeled AAZTA5-PSMA-617: Synthesis, radiolabeling, stability and cell binding compared to DOTA-PSMA-617 analogues. EJNMMI Radiopharm. Chem. 2020, 5, 1–11. [Google Scholar] [CrossRef]
- Rosar, F.; Buchholz, H.-G.; Michels, S.; Hoffmann, M.A.; Piel, M.; Waldmann, C.M.; Rösch, F.; Reuss, S.; Schreckenberger, M. Image quality analysis of 44Sc on two preclinical PET scanners: A comparison to 68Ga. EJNMMI Phys. 2020, 7, 1–17. [Google Scholar] [CrossRef] [Green Version]
- Van Der Meulen, N.P.; Hasler, R.; Talip, Z.; Grundler, P.V.; Favaretto, C.; Umbricht, C.A.; Müller, C.; Dellepiane, G.; Carzaniga, T.S.; Braccini, S. Developments toward the Implementation of 44Sc Production at a Medical Cyclotron. Molecules 2020, 25, 4706. [Google Scholar] [CrossRef]
- Mikolajczak, R.; Huclier-Markai, S.; Alliot, C.; Haddad, F.; Szikra, D.; Forgacs, V.; Garnuszek, P. Production of scandium radionuclides for theranostic applications: Towards standardization of quality requirements. EJNMMI Radiopharm. Chem. 2021, 6, 1–40. [Google Scholar] [CrossRef]
- Rosar, F.; Bohnenberger, H.; Moon, E.S.; Rösch, F.; Denig, A.; Vincenz-Zörner, D.; Hoffmann, M.A.; Khreish, F.; Ezziddin, S.; Schreckenberger, M.; et al. Impact of prompt gamma emission of 44Sc on quantification in preclinical and clinical PET systems. Appl. Radiat. Isot. 2021, 170, 109599. [Google Scholar] [CrossRef]
- Lima, T.V.M.; Gnesin, S.; Nitzsche, E.; Ortega, P.G.; Müller, C.; Van Der Meulen, N.P. First Phantom-Based Quantitative Assessment of Scandium-44 Using a Commercial PET Device. Front. Phys. 2020, 8, 241. [Google Scholar] [CrossRef]
- Domnanich, K.A.; Eichler, R.; Müller, C.; Jordi, S.; Yakusheva, V.; Braccini, S.; Behe, M.; Schibli, R.; Türler, A.; van der Meulen, N.P. Production and separation of 43Sc for radiopharmaceutical purposes. EJNMMI Radiopharm. Chem. 2017, 2, 1–17. [Google Scholar] [CrossRef] [PubMed] [Green Version]
- Van Der Meulen, N.; Hasler, R. The possibility of producing 43Sc from 44Ca via the (p,2n) nuclear reaction. Nucl. Med. Biol. 2019, 72–73, S9. [Google Scholar] [CrossRef]
- Bundesamt für Gesundheit BAG. Qualitätssicherung von Aktivimetern; Bundesamt für Gesundheit BAG: Bern, Swtizerland, 2018. [Google Scholar]
- Boellaard, R.; Willemsen, A.; Arends, B.; Visser, E. EARL Procedure for Assessing PET/CT System Specific Patient FDG Activity Preparations for Quantitative FDG PET/CT Studies. Eur. J. Nucl. Med. Mol. Imaging 2014, 42, 328–354. [Google Scholar] [CrossRef] [PubMed]
- Graham, M.M.; Wahl, R.L.; Hoffman, J.M.; Yap, J.T.; Sunderland, J.J.; Boellaard, R.; Perlman, E.S.; Kinahan, P.E.; Christian, P.E.; Hoekstra, O.S.; et al. Summary of the UPICT Protocol for 18F-FDG PET/CT Imaging in Oncology Clinical Trials. HHS Public Access 2016, 56, 955–961. [Google Scholar] [CrossRef] [PubMed] [Green Version]
- Kaalep, A.; Sera, T.; Rijnsdorp, S.; Yaqub, M.; Talsma, A.; Lodge, M.A.; Boellaard, R. Feasibility of state of the art PET/CT systems performance harmonisation. Eur. J. Nucl. Med. Mol. Imaging 2018, 45, 1344–1361. [Google Scholar] [CrossRef] [PubMed] [Green Version]
- Boellaard, R.; Delgado-Bolton, R.; Oyen, W.J.G.; Giammarile, F.; Tatsch, K.; Eschner, W.; Verzijlbergen, F.J.; Barrington, S.F.; Pike, L.C.; Weber, W.A.; et al. FDG PET/CT: EANM procedure guidelines for tumour imaging: Version 2.0. Eur. J. Nucl. Med. Mol. Imaging 2015, 42, 328–354. [Google Scholar] [CrossRef] [PubMed]
- Boellaard, R. EARL: Accreditation Specifications. 2017. Available online: https://earl.eanm.org/accreditation-specifications/ (accessed on 19 July 2021).
- Roesch, F. Scandium-44: Benefits of a long-lived PET radionuclide available from the (44)Ti/(44)Sc generator system. Curr. Radiopharm. 2012, 5, 187–201. [Google Scholar] [CrossRef] [PubMed]
- Gnesin, S.; Kieffer, C.; Zeimpekis, K.; Papazyan, J.-P.; Guignard, R.; Prior, J.O.; Verdun, F.R.; Lima, T.V.M. Phantom-based image quality assessment of clinical 18F-FDG protocols in digital PET/CT and comparison to conventional PMT-based PET/CT. EJNMMI Phys. 2020, 7, 1–16. [Google Scholar] [CrossRef] [PubMed]
- Van Sluis, J.J.; De Jong, J.; Schaar, J.; Noordzij, W.; Van Snick, P.; Dierckx, R.; Borra, R.; Willemsen, A.; Boellaard, R. Performance Characteristics of the Digital Biograph Vision PET/CT System. J. Nucl. Med. 2019, 60, 1031–1036. [Google Scholar] [CrossRef] [PubMed]





| NEMA Phantom | |
|---|---|
| Fillable volume (mL) | 9400 |
| Sphere diameters (mm) | 10, 13, 17, 22, 28, 37 |
| Lung insert (diameter/length mm) | 50/180 |
| 43Sc | 44Sc | 18F | 68Ga | |
|---|---|---|---|---|
| Half-life (h) | 3.89 | 3.97 | 1.83 | 1.13 |
| Decay method | EC, ß+/photon | EC, ß+/photon | EC, ß+/photon | EC, ß+/photon |
| ß + [% emissions] | 88 | 95 | 97 | 89 |
| Eß + MAX [MeV] | 1.2 | 1.47 | 0.634 | 1.9 |
| Egamma [KeV] | 372.8 (23%) | 1157.0 (99%) | 1077 (3%) | |
| h10 [(mSv/h)/GBq] at 1 m | 0.174 | 0.324 | 0.160 | 0.149 |
| 43Sc/44Sc | 44Sc | 18F | 68Ga | |
|---|---|---|---|---|
| NEMA bkg concentration 1 | 4.70 | 5.88 | 4.43 | 4.99 |
| NEMA sphere concentration 1 | 25.90 | 33.42 | 26.83 | 23.30 |
| Ratio NEMA phantom | 5.51 | 5.68 | 6.05 | 4.67 |
| Factor | Scale | Radionuclide | Measured Activity 1 [MBq] | Deviation [%] |
|---|---|---|---|---|
| 762 | 1 | 18F | 1987 | 41.3 |
| 236 | 1 | 99mTc | 6229 | 343. |
| 835 calculated factor | 1 | 43Sc/44Sc | 1419 | 0.89 |
| Factor | Scale | Radionuclide | Measured Activity 1 [MBq] | Deviation [%] |
|---|---|---|---|---|
| 762 | 1 | 18F | 1525 | 75.2 |
| 236 | 1 | 99mTc | 4748 | 445 |
| 760 | 0.56 | 44Sc [REF] | 860 | −1.19 |
| 835 calculated factor | 1 | 44Sc | 874 | 0.33 |
Publisher’s Note: MDPI stays neutral with regard to jurisdictional claims in published maps and institutional affiliations. |
© 2021 by the authors. Licensee MDPI, Basel, Switzerland. This article is an open access article distributed under the terms and conditions of the Creative Commons Attribution (CC BY) license (https://creativecommons.org/licenses/by/4.0/).
Share and Cite
Lima, T.V.M.; Gnesin, S.; Strobel, K.; Pérez, M.d.S.; Roos, J.E.; Müller, C.; van der Meulen, N.P. Fifty Shades of Scandium: Comparative Study of PET Capabilities Using Sc-43 and Sc-44 with Respect to Conventional Clinical Radionuclides. Diagnostics 2021, 11, 1826. https://doi.org/10.3390/diagnostics11101826
Lima TVM, Gnesin S, Strobel K, Pérez MdS, Roos JE, Müller C, van der Meulen NP. Fifty Shades of Scandium: Comparative Study of PET Capabilities Using Sc-43 and Sc-44 with Respect to Conventional Clinical Radionuclides. Diagnostics. 2021; 11(10):1826. https://doi.org/10.3390/diagnostics11101826
Chicago/Turabian StyleLima, Thiago V. M., Silvano Gnesin, Klaus Strobel, Maria del Sol Pérez, Justus E. Roos, Cristina Müller, and Nicholas P. van der Meulen. 2021. "Fifty Shades of Scandium: Comparative Study of PET Capabilities Using Sc-43 and Sc-44 with Respect to Conventional Clinical Radionuclides" Diagnostics 11, no. 10: 1826. https://doi.org/10.3390/diagnostics11101826
APA StyleLima, T. V. M., Gnesin, S., Strobel, K., Pérez, M. d. S., Roos, J. E., Müller, C., & van der Meulen, N. P. (2021). Fifty Shades of Scandium: Comparative Study of PET Capabilities Using Sc-43 and Sc-44 with Respect to Conventional Clinical Radionuclides. Diagnostics, 11(10), 1826. https://doi.org/10.3390/diagnostics11101826

