Recovery from Post-Traumatic Amnesia During Inpatient Rehabilitation: A Retrospective Cohort Study
Abstract
1. Introduction
2. Materials and Methods
2.1. Study Design and Setting
2.2. Ethics Statement
2.3. Study Population
2.4. Variables for Analysis
2.5. Statistical Analyses
3. Results
3.1. Study Cohort and Baseline Characteristics, Stratified by PTA Emergence Status
3.2. Factors Associated with PTA Emergence
3.3. Factors Associated with Late PTA Emergence
3.4. Association Between PTA Duration and Functional Outcomes
3.5. Association Between PTA Emergence and Functional Outcomes
3.6. Factors Associated with FIM [8] Discharge
4. Discussion
4.1. Study Population and Cohort Characteristics
4.2. Key Finding—Predictors of PTA Emergence and Clinical Implications
4.3. Functional Implications of PTA Duration and Emergence
4.4. Study Limitations
5. Conclusions
Supplementary Materials
Author Contributions
Funding
Institutional Review Board Statement
Informed Consent Statement
Data Availability Statement
Acknowledgments
Conflicts of Interest
References
- Majdan, M. Epidemiology of traumatic brain injuries in Europe: A cross-sectional analysis. Lancet Public Health 2016, 1, e76–e83. [Google Scholar] [CrossRef]
- Forslund, M.V. Global outcome trajectories up to 10 years after moderate to severe traumatic brain injury. Front. Neurol. 2019, 10, 219. [Google Scholar] [CrossRef]
- Howe, E.I. Employment probability trajectories up to 10 years after moderate-to-severe traumatic brain injury. Front. Neurol. 2018, 9, 1051. [Google Scholar] [CrossRef] [PubMed]
- Parker, T.D.; Rees, R.; Rajagopal, S.; Griffin, C.; Goodliffe, L.; Dilley, M.; Jenkins, P.O. Post-traumatic amnesia. Pract. Neurol. 2022, 22, 129–137. [Google Scholar] [CrossRef] [PubMed]
- Vile, A.R.; Jang, K.; Gourlay, D.; Marshman, L.A.G. Posttraumatic Amnesia: A Systematic Review and Meta-Analysis. Proposal for a New Severity Classification. World Neurosurg. 2022, 162, e369–e393. [Google Scholar] [CrossRef] [PubMed]
- Shores, E.A. Preliminary validation of a clinical scale for measuring the duration of post-traumatic amnesia. Med. J. Aust. 1986, 144, 569–572. [Google Scholar]
- Watson, C.E.; Clous, E.A.; Jaeger, M.; D’Amours, S.K. Introduction of the Abbreviated Westmead Post-Traumatic Amnesia Scale and Impact on Length of Stay. Scand. J. Surg. 2017, 106, 356–360. [Google Scholar] [CrossRef]
- Nuthalapati, P.; Holmes, S.E.; Altalib, H.H.; Fesharaki-Zadeh, A. Synaptic Pathology in Traumatic Brain Injury and Therapeutic Insights. Int. J. Mol. Sci. 2025, 26, 9604. [Google Scholar] [CrossRef]
- Walker, W.C. A multicentre study on the clinical utility of post-traumatic amnesia duration in predicting global outcome after moderate-severe traumatic brain injury. J. Neurol. Neurosurg. Psychiatry 2010, 81, 87–89. [Google Scholar] [CrossRef]
- Dodds, T.A.; Martin, D.P.; Stolov, W.C.; Deyo, R.A. A validation of the Functional Independence Measurement and its performance among rehabilitation inpatients. Arch. Phys. Med. Rehabil. 1993, 74, 531–536. [Google Scholar]
- Quach, N.T. Burden of care implications and association of intracranial hypertension with extremely severe post-traumatic amnesia after traumatic brain injury: A 5-year retrospective longitudinal study. Front. Neurol. 2019, 10, 34. [Google Scholar] [CrossRef]
- Nakase-Richardson, R. Utility of post-traumatic amnesia in predicting 1-year productivity following traumatic brain injury: Comparison of the Russell and Mississippi PTA classification intervals. J. Neurol. Neurosurg. Psychiatry 2011, 82, 494–499. [Google Scholar] [CrossRef]
- Aldossary, N.M.; Kotb, M.A.; Kamal, A.M. Predictive value of early MRI findings on neurocognitive and psychiatric outcomes in patients with severe traumatic brain injury. J. Affect. Disord. 2019, 243, 1–7. [Google Scholar] [CrossRef]
- Gurin, L.; Rabinowitz, L.; Blum, S. Predictors of recovery from posttraumatic amnesia. J. Neuropsychiatry Clin. Neurosci. 2016, 28, 32–37. [Google Scholar] [CrossRef] [PubMed]
- von Elm, E.; Altman, D.G.; Egger, M.; Pocock, S.J.; Gøtzsche, P.C.; Vandenbroucke, J.P. The Strengthening the Reporting of Observational Studies in Epidemiology (STROBE) statement: Guidelines for reporting observational studies. J. Clin. Epidemiol. 2008, 61, 344–349. [Google Scholar] [PubMed]
- Jennett, B.; Bond, M. Assessment of outcome after severe brain damage. Lancet 1975, 1, 480–484. [Google Scholar] [CrossRef]
- McMillan, T. The Glasgow Outcome Scale: 40 years of application and refinement. Nat. Rev. Neurol. 2016, 12, 477–485. [Google Scholar] [CrossRef]
- Frankel, J.E.; Marwitz, J.H.; Cifu, D.X.; Kreutzer, J.S.; Englander, J.; Rosenthal, M. A follow-up study of older adults with traumatic brain injury: Taking into account decreasing length of stay. Arch. Phys. Med. Rehabil. 2006, 87, 57–62. [Google Scholar] [CrossRef]
- Dini, M.E.; Wallace, R.E.; Klyce, D.W.; Tyler, C.M.; Vriesman, M.; Juengst, S.B.; Liou-Johnson, V.; Gary, K.W.; Dams-O’Connor, K.; Kumar, R.G.; et al. Functional independence trajectories over 5 years in older veterans with traumatic brain injury: A model systems study. PM R 2025, 17, 628–637. [Google Scholar] [CrossRef]
- Walker, W.C.; Stromberg, K.A.; Marwitz, J.H.; Sima, A.P.; Agyemang, A.A.; Graham, K.M.; Harrison-Felix, C.; Hoffman, J.M.; Brown, A.W.; Kreutzer, J.S.; et al. Predicting Long-Term Global Outcome after Traumatic Brain Injury: Development of a Practical Prognostic Tool Using the Traumatic Brain Injury Model Systems National Database. J. Neurotrauma 2018, 35, 1587–1595. [Google Scholar]
- Divita, C.; George, S.; Barr, C.J. Traumatic brain injury and post-traumatic amnesia: A retrospective review of discharge outcomes. Brain Inj. 2017, 31, 1840–1845. [Google Scholar] [CrossRef] [PubMed]
- Sherer, M. Comparison of indices of traumatic brain injury severity: Glasgow Coma Scale, length of coma and post-traumatic amnesia. J. Neurol. Neurosurg. Psychiatry 2008, 79, 678–685. [Google Scholar] [CrossRef]
- The Brain Trauma Foundation; The American Association of Neurological Surgeons. The Joint Section on Neurotrauma and Critical Care. Glasgow Coma Scale Score. J. Neurotrauma 2000, 17, 563–571. [Google Scholar] [CrossRef] [PubMed]
- Jolobe, O.M.P. Glasgow coma scale versus computed tomography in prognostication. Am. J. Emerg. Med. 2017, 35, 1190. [Google Scholar] [CrossRef]
- Schonberger, M. The relationship between age, injury severity, and MRI findings after traumatic brain injury. J. Neurotrauma 2009, 26, 2157–2167. [Google Scholar] [CrossRef] [PubMed]
- Fraser, E.E.; Downing, M.G.; Biernacki, K.; McKenzie, D.P.; Ponsford, J.L. Cognitive reserve and age predict cognitive recovery after mild to severe traumatic brain injury. J. Neurotrauma 2019, 36, 2753–2761. [Google Scholar] [CrossRef]
- Nordin, K. Structural whole-brain covariance of the anterior and posterior hippocampus: Associations with age and memory. Hippocampus 2018, 28, 151–163. [Google Scholar] [CrossRef] [PubMed]
- Zhao, T. Age-related changes in the topological organization of the white matter structural connectome across the human lifespan. Hum. Brain Mapp. 2015, 36, 3777–3792. [Google Scholar] [CrossRef]
- Peng, F. A cross-sectional voxel-based morphometric study of age- and sex-related changes in gray matter volume in the normal aging brain. J. Comput. Assist. Tomogr. 2016, 40, 307–315. [Google Scholar] [CrossRef]
- Raz, N.; Rodrigue, K.M. Differential aging of the brain: Patterns, cognitive correlates and modifiers. Neurosci. Biobehav. Rev. 2006, 30, 730–748. [Google Scholar] [CrossRef]
- Waqas, M. Predicting outcomes of decompressive craniectomy: Use of Rotterdam Computed Tomography Classification and Marshall Classification. Br. J. Neurosurg. 2016, 30, 258–263. [Google Scholar] [CrossRef]
- Maas, A.I. Prediction of outcome in traumatic brain injury with computed tomographic characteristics: A comparison between the computed tomographic classification and combinations of computed tomographic predictors. Neurosurgery 2005, 57, 1173–1182. [Google Scholar] [CrossRef]
- Deepika, A. Comparison of predictability of Marshall and Rotterdam CT scan scoring system in determining early mortality after traumatic brain injury. Acta Neurochir. 2015, 157, 2033–2038. [Google Scholar] [CrossRef] [PubMed]
- Dubey, A. Does volume of extradural hematoma influence management strategy and outcome? Neurol. India 2004, 52, 443–445. [Google Scholar]
- Gutowski, P. Clinical outcome of epidural hematoma treated surgically in the era of modern resuscitation and trauma care. World Neurosurg. 2018, 118, e166–e174. [Google Scholar] [CrossRef] [PubMed]
- Gomez, P.A. Final outcome trends in severe traumatic brain injury: A 25-year analysis of single center data. Acta Neurochir. 2018, 160, 2291–2302. [Google Scholar] [CrossRef]
- Humble, S.S. Prognosis of diffuse axonal injury with traumatic brain injury. J. Trauma Acute Care Surg. 2018, 85, 155–159. [Google Scholar] [CrossRef] [PubMed]
- Whyte, J. Medical complications during inpatient rehabilitation among patients with traumatic disorders of consciousness. Arch. Phys. Med. Rehabil. 2013, 94, 1877–1883. [Google Scholar] [CrossRef]
- Kosch, Y. Post-traumatic amnesia and its relationship to the functional outcome of people with severe traumatic brain injury. Brain Inj. 2010, 24, 479–485. [Google Scholar] [CrossRef]
- Dahdah, M.N. Factors associated with rehabilitation outcomes after traumatic brain injury: Comparing functional outcomes between TBIMS centers using hierarchical linear modeling. J. Head Trauma Rehabil. 2017, 32, E1–E10. [Google Scholar] [CrossRef]


| Characteristics | Patients Who Did Not Emerge (n = 38) | Patients Who Emerged (n = 62) | Overall (n = 100) | p-Value |
|---|---|---|---|---|
| No. (%) | No. (%) | No. (%) | ||
| Demographics | ||||
| Age: Median (IQR) | 66.5 (48–74) | 57.5 (34–70) | 60.5 (38.5–70) | 0.06 |
| Chinese Ethnicity | 31 (81.6) | 46 (74.2) | 77 (77.0) | 0.47 |
| Male Sex | 30 (78.9) | 46 (74.2) | 76 (76.0) | 0.59 |
| Injury Characteristics | ||||
| Cause of TBI | 0.60 | |||
| RTA | 17 (44.7) | 23 (37.1) | 40 (40.0) | |
| Fall | 20 (52.6) | 37 (59.7) | 57 (57.0) | |
| Assault | 1 (2.6) | 0 (0.0) | 1 (1.0) | |
| Sports | 0 (0.0) | 1 (1.6) | 1 (1.0) | |
| Others | 0 (0.0) | 1 (1.6) | 1 (1.0) | |
| Admission GCS | 0.03 | |||
| 3–8 | 19 (50.0) | 15 (24.2) | 34 (34.0) | |
| 9–12 | 7 (18.4) | 14 (22.6) | 21 (21.0) | |
| 13–15 | 12 (31.6) | 33 (53.2) | 45 (45.0) | |
| Spinal Injury | 5 (13.2) | 11 (17.7) | 16 (16.0) | 0.54 |
| Long Bone Fractures | 7 (18.4) | 11 (17.7) | 18 (18.0) | 0.93 |
| Visceral Injuries | 8 (21.1) | 5 (8.1) | 13 (13.0) | 0.06 |
| Admission CT findings | ||||
| Contusion † | 27 (73.0) | 44 (71.0) | 71 (71.7) | 0.83 |
| Subdural Hemorrhage † | 32 (86.5) | 40 (64.5) | 72 (72.7) | 0.02 |
| Epidural Hemorrhage † | 4 (10.8) | 17 (28.3) | 21 (21.6) | 0.04 |
| Diffuse Axonal Injury † | 1 (2.8) | 12 (20.0) | 13 (13.5) | 0.02 |
| Subarachnoid Hemorrhage † | 25 (67.6) | 43 (70.5) | 68 (69.4) | 0.76 |
| Mass Effect † | 28 (80.0) | 38 (62.3) | 66 (68.8) | 0.07 |
| Ventricular Compression † | 13 (37.1) | 18 (30.0) | 31 (32.6) | 0.47 |
| Base of Skull Fracture † | 6 (17.1) | 10 (17.5) | 16 (17.4) | 0.99 |
| Closed Skull Vault | 15 (44.1) | 28 (49.1) | 43 (47.3) | 0.64 |
| Open Skull Vault † | 0 (0.0) | 2 (3.5) | 2 (2.2) | 0.27 |
| Rehabilitation Measures and LOS | ||||
| FIM [10] at Admission: Median (IQR) | 49 (27–79) | 83 (60–97) | 75 (47–92) | <0.001 |
| FIM [10] at Discharge: Median (IQR) | 90.5 (65–105) | 111 (100–120) | 106 (87–115) | <0.001 |
| FIM [10] Category at Discharge: >90 | 19 (50.0) | 49 (81.7) | 68 (69.4) | 0.001 |
| FIM [10] Gain: Median (IQR) | 27 (17–42) | 26 (15.5–38.5) | 26 (17–39) | 0.63 |
| FIM [10] Efficiency: Median (IQR) | 0.69 (0.40–1.26) | 1.20 (0.69–1.77) | 0.91 (0.59–1.62) | 0.004 |
| PTA Duration, days: Median (IQR) | 84 (49–109) | 26.5 (18–42) | 38 (23.5–77) | <0.001 |
| Rehabilitation LOS, days: Median (IQR) | 46 (23–67) | 22 (14–36) | 26.5 (16–47) | 0.0002 |
| Discharge Placement: Home | 35 (92.1) | 60 (96.8) | 95 (95.0) | 0.37 |
| Rehabilitation Complications | ||||
| Medical Complications (Infection) | 26 (68.4) | 29 (46.8) | 55 (55.0) | 0.04 |
| Medical Complications (Others) † | 31 (83.8) | 30 (48.4) | 61 (61.6) | <0.001 |
| Crude | Adjusted | |||||
|---|---|---|---|---|---|---|
| Characteristics | HR | 95% CI | p-Value | HR | 95% CI | p-Value |
| Age | ||||||
| <55 years | 1 (ref) | 1 (ref) | ||||
| ≥55 years | 0.64 | 0.38, 1.07 | 0.09 | 0.47 | 0.22, 0.97 | 0.04 |
| GCS at Admission | 0.009 | 0.002 | ||||
| Severe GCS 3–8 | 1 (ref) | 1 (ref) | ||||
| Moderate GCS 9–12 | 1.90 | 0.90, 3.99 | 0.09 | 2.61 | 1.14, 6.00 | 0.02 |
| Mild GCS 13–15 | 2.58 | 1.38, 4.83 | 0.003 | 4.80 | 2.02, 11.40 | <0.001 |
| SDH | ||||||
| No | 1 (ref) | 1 (ref) | ||||
| Yes | 0.47 | 0.27, 0.80 | 0.006 | 0.59 | 0.30, 1.15 | 0.12 |
| EDH | ||||||
| No | 1 (ref) | |||||
| Yes | 1.96 | 1.11, 3.48 | 0.02 | 2.00 | 1.06, 3.76 | 0.03 |
| DAI | ||||||
| No | 1 (ref) | |||||
| Yes | 1.94 | 1.02, 3.70 | 0.04 | 0.87 | 0.34, 2.21 | 0.76 |
| Medical Complications (Infection) | ||||||
| No | 1 (ref) | 1 (ref) | ||||
| Yes | 0.48 | 0.28, 0.80 | 0.005 | 1.08 | 0.54, 2.15 | 0.83 |
| Medical Complications (Non-Infective) | ||||||
| No | 1 (ref) | 1 (ref) | ||||
| Yes | 0.29 | 0.17, 0.50 | <0.001 | 0.31 | 0.15, 0.63 | 0.001 |
| Contusion | ||||||
| No | 1 (ref) | 1 (ref) | ||||
| Yes | 0.78 | 0.43, 1.40 | 0.40 | 0.71 | 0.36, 1.38 | 0.31 |
| Neurostimulants | ||||||
| No | 1 (ref) | 1 (ref) | ||||
| Yes | 0.48 | 0.28, 0.83 | 0.009 | 0.70 | 0.39, 1.26 | 0.24 |
| (a) | |||
| PTA Duration Category | FIM [10] (Motor) at Discharge (p < 0.001) | ||
| Coefficient | 95% CI | p-Value | |
| <28 days (ref) | 1 | - | - |
| 28–89 days | −8.57 | −16.09, −1.04 | 0.03 |
| ≥90 days | −31.11 | −41.16, −21.06 | <0.001 |
| FIM [10] (Cognitive) at Discharge (p < 0.001) | |||
| Coefficient | 95% CI | p-value | |
| <28 days (ref) | 1 | - | - |
| 28–89 days | −4.87 | −7.54, −2.20 | <0.001 |
| ≥90 days | −13.81 | −17.37, −10.24 | <0.001 |
| FIM [10] (Total) at Discharge (p < 0.001) | |||
| Coefficient | 95% CI | p-value | |
| <28 days (ref) | 1 | - | - |
| 28–89 days | −13.44 | −22.81, −4.06 | 0.005 |
| ≥90 days | −44.92 | −57.44, −32.39 | <0.001 |
| FIM [10] (Total) at Discharge (Odds of discharge FIM Total >90) (p < 0.001) | |||
| OR | 95% CI | p-value | |
| <28 days (ref) | 1 | - | - |
| 28–89 days | 0.24 | 0.06, 0.90 | 0.03 |
| ≥90 days | 0.04 | 0.01, 0.18 | <0.001 |
| FIM [10] (Efficiency) (p < 0.001) | |||
| Coefficient | 95% CI | p-value | |
| <28 days (ref) | 1 | - | - |
| 28–89 days | −0.22 | −0.54, 0.09 | 0.17 |
| ≥90 days | −0.99 | −1.41, −0.57 | <0.001 |
| FIM [10] Gain (Motor) (p = 0.05) | |||
| Coefficient | 95% CI | p-value | |
| <28 days | 1 (ref) | - | - |
| 28–89 days | 7.95 | 1.52, 14.39 | 0.02 |
| ≥90 days | 4.13 | −4.39, 12.66 | 0.34 |
| FIM [10] Gain (Cognitive) (p = 0.77) | |||
| Coefficient | 95% CI | p-value | |
| <28 days | 1 (ref) | - | - |
| 28–89 days | 0.99 | −1.75, 3.72 | 0.48 |
| ≥90 days | 0.58 | −3.05, 4.20 | 0.75 |
| FIM [10] Gain (Total) (p = 0.08) | |||
| Coefficient | 95% CI | p-value | |
| <28 days | 1 (ref) | - | - |
| 28–89 days | 9.33 | 1.13, 17.53 | 0.03 |
| ≥90 days | 5.10 | −5.81, 16.01 | 0.36 |
| Rehabilitation LOS (Days) (p < 0.001) | |||
| Coefficient | 95% CI | p-value | |
| <28 days | 1 (ref) | - | - |
| 28–89 days | 9.23 | −3.98, 22.44 | 0.17 |
| ≥90 days | 64.54 | 46.82, 82.26 | <0.001 |
| (b) | |||
| Outcome | Measure | 95% CI | p-value |
| GOS † at ≥1 year | OR | 3.92 (1.31 to 11.78) | 0.02 |
| FIM (10) (Total) at Discharge | Coefficient | 24.68 (15.62 to 33.62) | <0.001 |
| FIM (10) (Total) at Discharge (≤90 vs. >90) | OR | 4.45 (1.79 to 11.09) | 0.001 |
| FIM (10) (Efficiency) | Coefficient | 0.39 (0.08 to 0.69) | 0.01 |
| FIM (10) Gain (Total) | Coefficient | −2.58 (−10.12 to 4.96) | 0.50 |
| Rehab LOS | Coefficient | −26.28 (−40.08 to −12.48) | <0.001 |
| Discharge Destination | OR | 0.39 (0.06 to 2.44) | 0.31 |
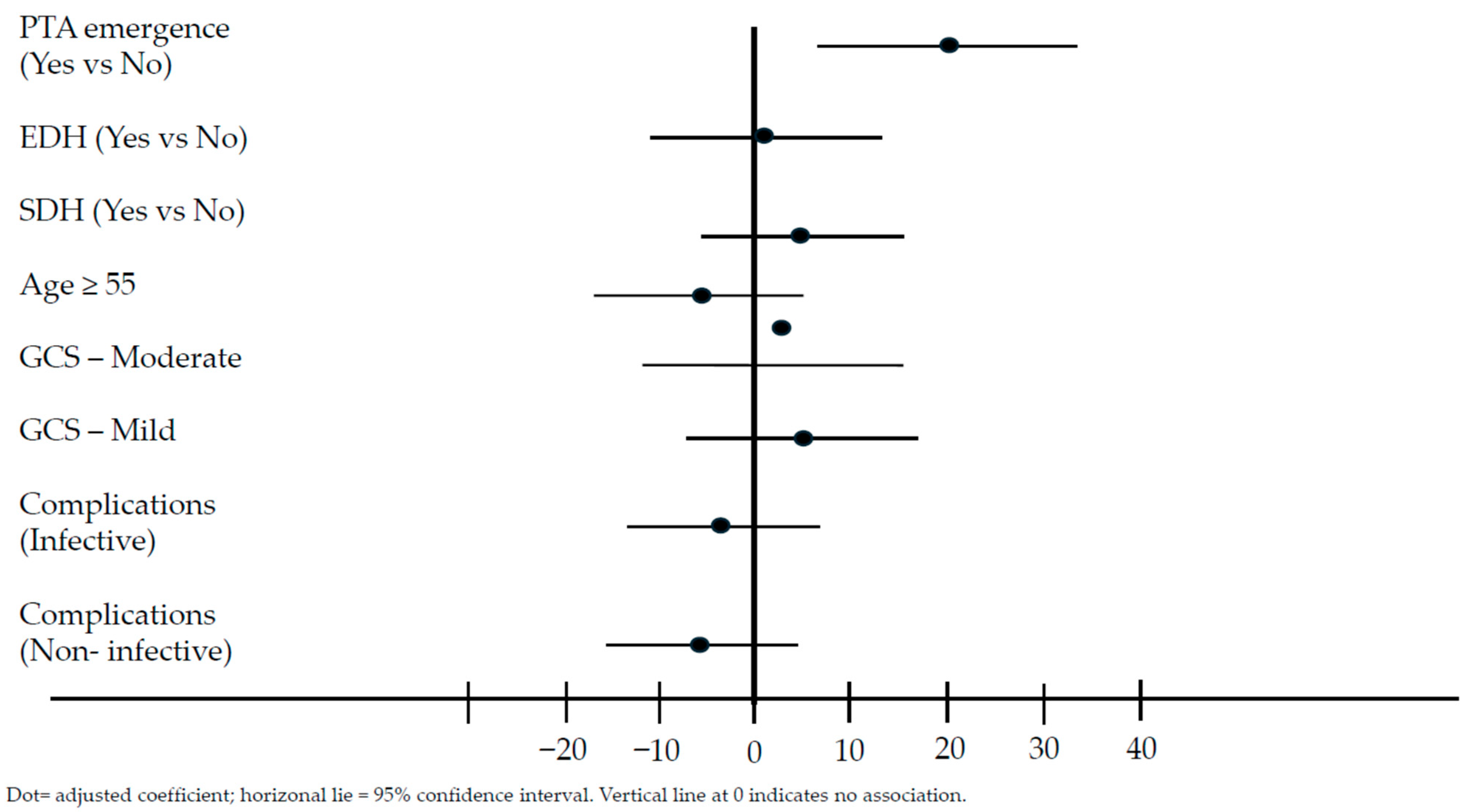
| Crude | Adjusted | |||||
|---|---|---|---|---|---|---|
| Characteristics | Coefficient | 95% CI | p-Value | Coefficient | 95% CI | p-Value |
| PTA Emergence | ||||||
| No | 1 (ref) | 1 (ref) | ||||
| Yes | 24.68 | 15.62, 33.74 | <0.001 | 20.80 | 9.31, 32.30 | 0.001 |
| EDH | ||||||
| No | 1 (ref) | 1 (ref) | ||||
| Yes | 7.33 | −5.03, 19.70 | 0.24 | 0.70 | −10.96, 12.35 | 0.91 |
| SDH | ||||||
| No | 1 (ref) | 1 (ref) | ||||
| Yes | −3.35 | −14.68, 7.98 | 0.56 | 4.44 | −6.26, 15.14 | 0.41 |
| Age | ||||||
| <55 years | 1 (ref) | 1 (ref) | ||||
| ≥55 years | −10.98 | −20.99, −0.96 | 0.03 | −6.80 | −18.00, 4.41 | 0.23 |
| GCS at Admission | 0.36 | 0.69 | ||||
| Severe GCS 3–8 | 1 (ref) | 1 (ref) | ||||
| Moderate GCS 9–12 | 7.39 | −6.39, 21.16 | 0.29 | 2.40 | −11.34, 16.14 | 0.73 |
| Mild GCS 13–15 | 7.80 | −3.58, 19.20 | 0.18 | 5.35 | −7.11, 17.82 | 0.40 |
| Medical Complications (Infection) | ||||||
| No | 1 (ref) | 1 (ref) | ||||
| Yes | −11.44 | −21.29, −1.59 | 0.02 | −3.45 | −13.79, 6.90 | 0.51 |
| Medical Complications (Non-infective) | ||||||
| No | 1 (ref) | 1 (ref) | ||||
| Yes | −15.67 | −25.60, −5.75 | 0.002 | −6.07 | −16.87, 4.74 | 0.27 |
Disclaimer/Publisher’s Note: The statements, opinions and data contained in all publications are solely those of the individual author(s) and contributor(s) and not of MDPI and/or the editor(s). MDPI and/or the editor(s) disclaim responsibility for any injury to people or property resulting from any ideas, methods, instructions or products referred to in the content. |
© 2026 by the authors. Licensee MDPI, Basel, Switzerland. This article is an open access article distributed under the terms and conditions of the Creative Commons Attribution (CC BY) license.
Share and Cite
Elvina, T.K.W.; Hsiang, L.G.; Karen, C. Recovery from Post-Traumatic Amnesia During Inpatient Rehabilitation: A Retrospective Cohort Study. Life 2026, 16, 221. https://doi.org/10.3390/life16020221
Elvina TKW, Hsiang LG, Karen C. Recovery from Post-Traumatic Amnesia During Inpatient Rehabilitation: A Retrospective Cohort Study. Life. 2026; 16(2):221. https://doi.org/10.3390/life16020221
Chicago/Turabian StyleElvina, Tay Kai Wen, Lim Gek Hsiang, and Chua Karen. 2026. "Recovery from Post-Traumatic Amnesia During Inpatient Rehabilitation: A Retrospective Cohort Study" Life 16, no. 2: 221. https://doi.org/10.3390/life16020221
APA StyleElvina, T. K. W., Hsiang, L. G., & Karen, C. (2026). Recovery from Post-Traumatic Amnesia During Inpatient Rehabilitation: A Retrospective Cohort Study. Life, 16(2), 221. https://doi.org/10.3390/life16020221
