Comparison of Time–Frequency Characteristics of Lower Limb EMG Signals Among Different Foot Strike Patterns During Running Using the EEMD Algorithm
Abstract
1. Introduction
2. Materials and Methods
2.1. Subjects
2.2. Experimental Methods
2.3. Data Analysis
2.4. Statistical Analysis
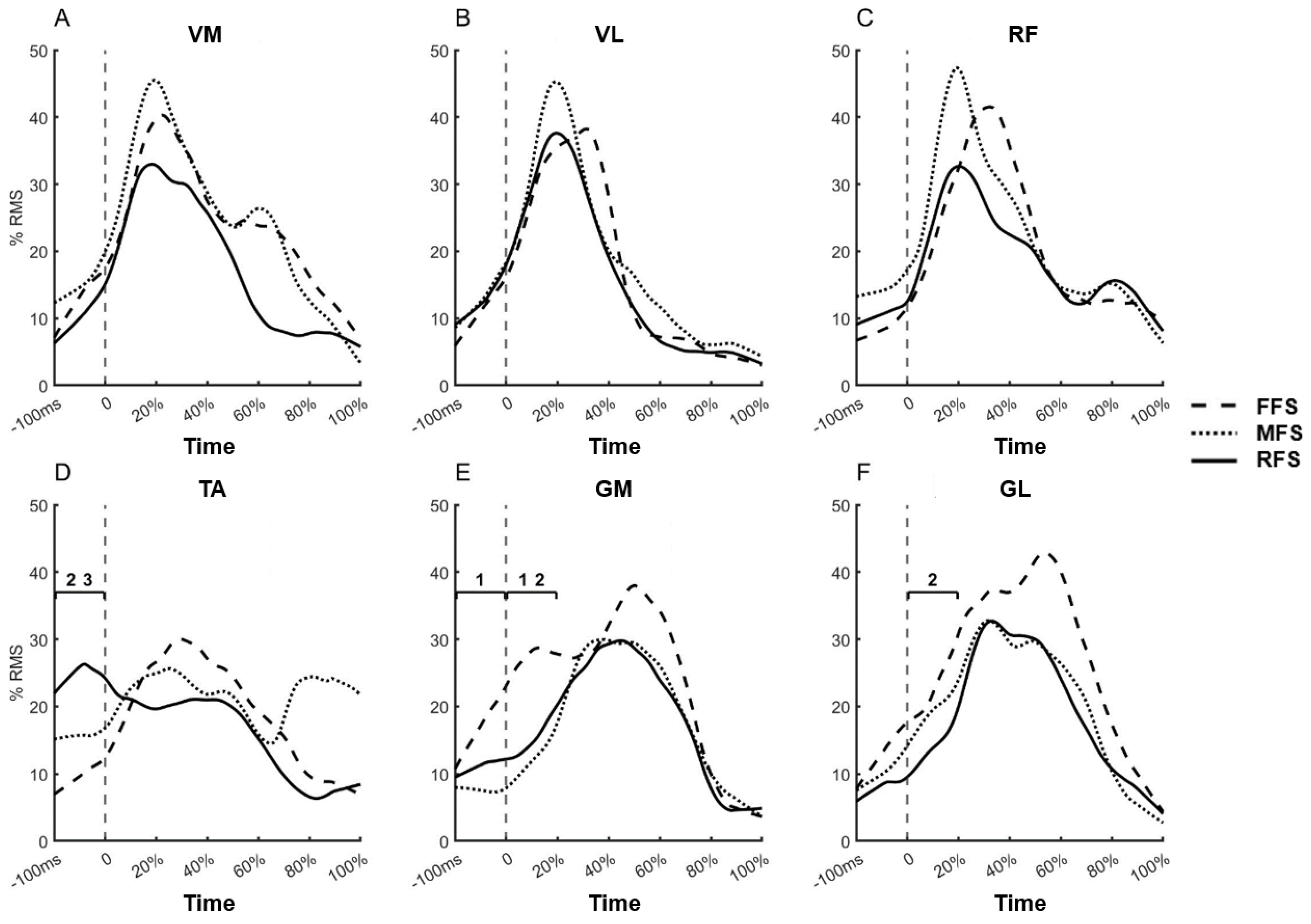
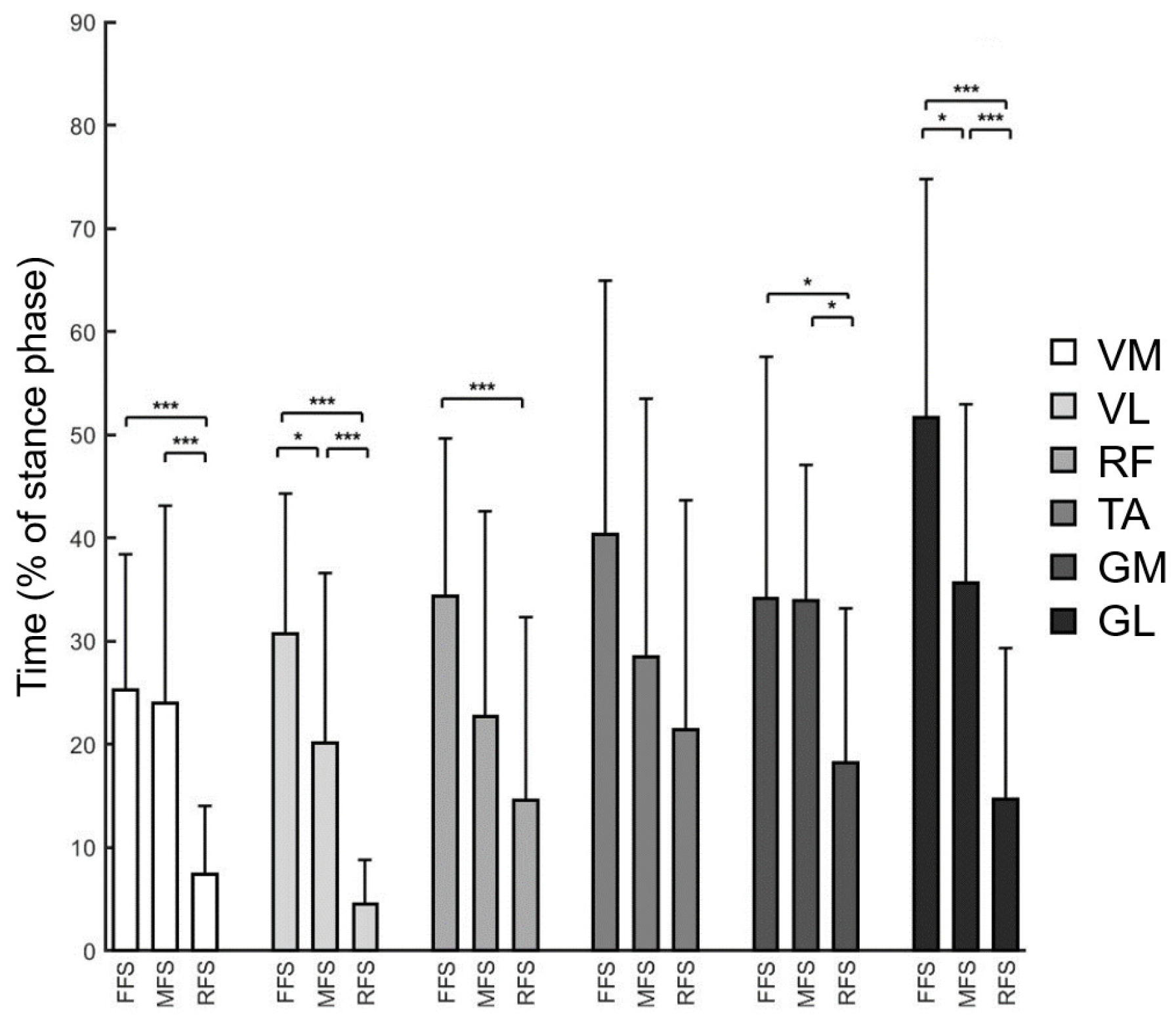
3. Results
4. Discussion
Limitations
5. Conclusions
Author Contributions
Funding
Institutional Review Board Statement
Informed Consent Statement
Data Availability Statement
Acknowledgments
Conflicts of Interest
Abbreviations
| EMD | Empirical mode decomposition |
| EEMD | Ensemble empirical mode decomposition |
| FFS | Forefoot strike |
| MFS | Midfoot strike |
| RFS | Rearfoot strike |
| VM | Vastus medialis |
| VL | Vastus lateralis |
| RF | Rectus femoris |
| TA | Tibialis anterior |
| GM | Gastrocnemius medialis |
| GL | Gastrocnemius lateralis |
Appendix A
| Musle | Phase | p | η2 | Cohens’ d (p Value) | ||
|---|---|---|---|---|---|---|
| FFS vs. MFS | FFS vs. RFS | MFS vs. RFS | ||||
| VM | Before Strike | 0.57 | 0.02 | 0.08 (0.95) | 0.31 (0.74) | 0.38 (0.56) |
| VM | 0–20% | 0.30 | 0.05 | 0.37 (0.47) | 0.11 (0.95) | 0.52 (0.31) |
| VM | 20–40% | 0.29 | 0.05 | 0.08 (0.96) | 0.42 (0.45) | 0.64 (0.30) |
| VM | 40–60% | 0.79 | 0.01 | 0.03 (0.99) | 0.22 (0.80) | 0.21 (0.86) |
| VM | 60–80% | 0.28 | 0.05 | 0.00 (1.00) | 0.53 (0.34) | 0.56 (0.35) |
| VM | 80–100% | 0.57 | 0.02 | 0.22 (0.77) | 0.33 (0.55) | 0.15 (0.94) |
| VL | Before Strike | 0.83 | 0.01 | 0.20 (0.82) | 0.12 (0.94) | 0.09 (0.96) |
| VL | 0–20% | 0.49 | 0.03 | 0.34 (0.48) | 0.13 (0.95) | 0.30 (0.66) |
| VL | 20–40% | 0.84 | 0.01 | 0.04 (0.99) | 0.26 (0.84) | 0.14 (0.91) |
| VL | 40–60% | 0.73 | 0.01 | 0.02 (1.00) | 0.29 (0.79) | 0.24 (0.75) |
| VL | 60–80% | 0.47 | 0.03 | 0.20 (0.76) | 0.32 (0.86) | 0.38 (0.44) |
| VL | 80–100% | 0.80 | 0.01 | 0.22 (0.78) | 0.14 (0.95) | 0.11 (0.93) |
| RF | Before Strike | 0.46 | 0.03 | 0.37 (0.43) | 0.43 (0.86) | 0.21 (0.75) |
| RF | 0–20% | 0.15 | 0.07 | 0.56 (0.15) | 0.34 (0.88) | 0.41 (0.34) |
| RF | 20–40% | 0.48 | 0.03 | 0.04 (0.99) | 0.46 (0.51) | 0.34 (0.59) |
| RF | 40–60% | 0.65 | 0.02 | 0.18 (0.82) | 0.32 (0.64) | 0.12 (0.95) |
| RF | 60–80% | 0.90 | 0.00 | 0.09 (0.95) | 0.07 (0.99) | 0.15 (0.89) |
| RF | 80–100% | 0.89 | 0.00 | 0.06 (0.99) | 0.16 (0.88) | 0.11 (0.94) |
| TA | Before Strike | 0.00 | 0.32 | 0.88 (0.07) | 1.71 (0.00) | 0.74 (0.04) |
| TA | 0–20% | 0.93 | 0.00 | 0.11 (0.92) | 0.09 (0.97) | 0.06 (0.99) |
| TA | 20–40% | 0.48 | 0.03 | 0.15 (0.86) | 0.40 (0.45) | 0.33 (0.76) |
| TA | 40–60% | 0.68 | 0.02 | 0.22 (0.76) | 0.33 (0.71) | 0.03 (1.00) |
| TA | 60–80% | 0.45 | 0.03 | 0.24 (0.67) | 0.53 (0.92) | 0.36 (0.43) |
| TA | 80–100% | 0.42 | 0.04 | 0.31 (0.52) | 0.27 (0.99) | 0.34 (0.46) |
| GM | Before Strike | 0.03 | 0.13 | 1.01 (0.03) | 0.47 (0.25) | 0.41 (0.54) |
| GM | 0–20% | 0.00 | 0.35 | 1.78 (0.00) | 1.17 (0.00) | 0.36 (0.59) |
| GM | 20–40% | 0.71 | 0.01 | 0.19 (0.81) | 0.29 (0.71) | 0.06 (0.98) |
| GM | 40–60% | 0.35 | 0.04 | 0.39 (0.42) | 0.41 (0.42) | 0.00 (1.00) |
| GM | 60–80% | 0.28 | 0.05 | 0.40 (0.42) | 0.49 (0.30) | 0.10 (0.97) |
| GM | 80–100% | 0.47 | 0.03 | 0.24 (0.73) | 0.19 (0.89) | 0.40 (0.45) |
| GL | Before Strike | 0.50 | 0.03 | 0.25 (0.73) | 0.43 (0.47) | 0.14 (0.91) |
| GL | 0–20% | 0.04 | 0.12 | 0.30 (0.60) | 0.90 (0.04) | 0.60 (0.26) |
| GL | 20–40% | 0.23 | 0.06 | 0.41 (0.36) | 0.54 (0.25) | 0.10 (0.97) |
| GL | 40–60% | 0.04 | 0.13 | 0.72 (0.06) | 0.70 (0.08) | 0.06 (0.99) |
| GL | 60–80% | 0.17 | 0.11 | 0.47 (0.55) | 0.79 (0.15) | 0.33 (0.68) |
| GL | 80–100% | 0.21 | 0.06 | 0.62 (0.18) | 0.30 (0.57) | 0.32 (0.72) |
| Muscle | p | η2 | Cohens’ d (p Value) | ||
|---|---|---|---|---|---|
| FFS vs. MFS | FFS vs. RFS | MFS vs. RFS | |||
| VM | 0.00 | 0.27 | 0.08 (0.80) | 1.72 (0.00) | 1.17 (0.00) |
| VL | 0.00 | 0.44 | 0.71 (0.02) | 2.62 (0.00) | 1.29 (0.00) |
| RF | 0.01 | 0.18 | 0.65 (0.07) | 1.19 (0.00) | 0.43 (0.20) |
| TA | 0.09 | 0.10 | 0.48 (0.17) | 0.81 (0.03) | 0.30 (0.41) |
| GM | 0.03 | 0.16 | 0.01 (0.65) | 0.82 (0.04) | 1.12 (0.01) |
| GL | 0.00 | 0.41 | 0.79 (0.02) | 1.92 (0.00) | 1.31 (0.00) |
| Muscle | Phase | Frequency Band | p | η2 | Cohens’ d (p Value) | ||
|---|---|---|---|---|---|---|---|
| FFS vs. MFS | FFS vs. RFS | MFS vs. RFS | |||||
| VM | 0–20% | below 60 Hz | 0.55 | 0.03 | 0.23 (0.55) | 0.17 (0.63) | 0.37 (0.28) |
| VL | 0–20% | below 60 Hz | 0.89 | 0.01 | 0.10 (0.76) | 0.06 (0.88) | 0.17 (0.64) |
| RF | 0–20% | below 60 Hz | 0.53 | 0.03 | 0.34 (0.34) | 0.38 (0.32) | 0.02 (0.96) |
| TA | 0–20% | below 60 Hz | 0.22 | 0.07 | 0.22 (0.50) | 0.40 (0.29) | 0.65 (0.09) |
| GM | 0–20% | below 60 Hz | 0.03 | 0.17 | 0.75 (0.07) | 1.12 (0.01) | 0.35 (0.40) |
| GL | 0–20% | below 60 Hz | 0.19 | 0.07 | 0.62 (0.07) | 0.34 (0.38) | 0.34 (0.33) |
| VM | 0–20% | 61–200 Hz | 0.47 | 0.03 | 0.19 (0.61) | 0.26 (0.48) | 0.41 (0.23) |
| VL | 0–20% | 61–200 Hz | 0.78 | 0.01 | 0.10 (0.76) | 0.14 (0.69) | 0.26 (0.48) |
| RF | 0–20% | 61–200 Hz | 0.57 | 0.02 | 0.31 (0.38) | 0.36 (0.34) | 0.02 (0.95) |
| TA | 0–20% | 61–200 Hz | 0.50 | 0.03 | 0.31 (0.35) | 0.05 (0.89) | 0.41 (0.28) |
| GM | 0–20% | 61–200 Hz | 0.01 | 0.17 | 0.62 (0.11) | 1.19 (0.00) | 0.45 (0.15) |
| GL | 0–20% | 61–200 Hz | 0.13 | 0.09 | 0.68 (0.04) | 0.35 (0.36) | 0.41 (0.25) |
| VM | 20–40% | below 60 Hz | 0.38 | 0.04 | 0.36 (0.30) | 0.09 (0.79) | 0.49 (0.19) |
| VL | 20–40% | below 60 Hz | 0.95 | 0.00 | 0.09 (0.79) | 0.09 (0.79) | 0.00 (0.99) |
| RF | 20–40% | below 60 Hz | 0.46 | 0.03 | 0.17 (0.65) | 0.28 (0.43) | 0.42 (0.22) |
| TA | 20–40% | below 60 Hz | 0.74 | 0.01 | 0.27 (0.44) | 0.14 (0.70) | 0.14 (0.70) |
| GM | 20–40% | below 60 Hz | 0.48 | 0.03 | 0.19 (0.57) | 0.47 (0.23) | 0.22 (0.53) |
| GL | 20–40% | below 60 Hz | 0.80 | 0.01 | 0.08 (0.81) | 0.16 (0.67) | 0.24 (0.51) |
| VM | 20–40% | 61–200 Hz | 0.35 | 0.05 | 0.37 (0.29) | 0.12 (0.73) | 0.52 (0.16) |
| VL | 20–40% | 61–200 Hz | 0.95 | 0.00 | 0.08 (0.82) | 0.11 (0.76) | 0.03 (0.94) |
| RF | 20–40% | 61–200 Hz | 0.50 | 0.03 | 0.17 (0.66) | 0.26 (0.47) | 0.40 (0.25) |
| TA | 20–40% | 61–200 Hz | 0.65 | 0.02 | 0.33 (0.36) | 0.14 (0.69) | 0.19 (0.60) |
| GM | 20–40% | 61–200 Hz | 0.58 | 0.02 | 0.25 (0.47) | 0.40 (0.31) | 0.10 (0.77) |
| GL | 20–40% | 61–200 Hz | 0.46 | 0.03 | 0.20 (0.55) | 0.25 (0.51) | 0.44 (0.22) |
| VM | Before Strike | below 60 Hz | 0.52 | 0.03 | 0.30 (0.40) | 0.36 (0.28) | 0.10 (0.80) |
| VL | Before Strike | below 60 Hz | 0.53 | 0.03 | 0.33 (0.30) | 0.07 (0.85) | 0.37 (0.39) |
| RF | Before Strike | below 60 Hz | 0.70 | 0.02 | 0.12 (0.74) | 0.30 (0.41) | 0.18 (0.62) |
| TA | Before Strike | below 60 Hz | 0.18 | 0.07 | 0.28 (0.43) | 0.71 (0.07) | 0.37 (0.28) |
| GM | Before Strike | below 60 Hz | 0.03 | 0.14 | 0.94 (0.02) | 0.83 (0.03) | 0.03 (0.80) |
| GL | Before Strike | below 60 Hz | 0.14 | 0.08 | 0.72 (0.05) | 0.49 (0.18) | 0.21 (0.53) |
| VM | Before Strike | 61–200 Hz | 0.58 | 0.02 | 0.30 (0.41) | 0.32 (0.34) | 0.05 (0.90) |
| VL | Before Strike | 61–200 Hz | 0.59 | 0.02 | 0.30 (0.34) | 0.06 (0.87) | 0.33 (0.43) |
| RF | Before Strike | 61–200 Hz | 0.80 | 0.01 | 0.12 (0.74) | 0.23 (0.51) | 0.12 (0.74) |
| TA | Before Strike | 61–200 Hz | 0.63 | 0.02 | 0.26 (0.43) | 0.35 (0.38) | 0.03 (0.93) |
| GM | Before Strike | 61–200 Hz | 0.03 | 0.14 | 1.03 (0.01) | 0.71 (0.05) | 0.16 (0.62) |
| GL | Before Strike | 61–200 Hz | 0.12 | 0.09 | 0.73 (0.05) | 0.52 (0.16) | 0.21 (0.54) |
References
- Daoud, A.I.; Geissler, G.J.; Wang, F.; Saretsky, J.; Daoud, Y.A.; Lieberman, D.E. Foot strike and injury rates in endurance runners: A retrospective study. Med. Sci. Sports Exerc. 2012, 44, 1325–1334. [Google Scholar] [CrossRef]
- Xu, D.; Zhou, H.; Quan, W.; Jiang, X.; Liang, M.; Li, S.; Ugbolue, U.C.; Baker, J.S.; Gusztav, F.; Ma, X. A new method proposed for realizing human gait pattern recognition: Inspirations for the application of sports and clinical gait analysis. Gait Posture 2024, 107, 293–305. [Google Scholar] [CrossRef]
- Xu, Y.; Yuan, P.; Wang, R.; Wang, D.; Liu, J.; Zhou, H. Effects of Foot Strike Techniques on Running Biomechanics: A Systematic Review and Meta-analysis. Sports Health 2021, 13, 71–77. [Google Scholar] [CrossRef] [PubMed]
- Yang, L.; Li, M.; Liu, Y.; Shi, S. Neuromuscular tuning patterns of Running with Different Landing Methods: Time-frequency Analysis Based on Ground Reaction Forces. J. Sports Sci. 2022, 29, 132–138. [Google Scholar]
- Kuntze, G.; von Tscharner, V.; Hutchison, C.; Ronsky, J.L. Multi-muscle activation strategies during walking in female post-operative total joint replacement patients. J. Electromyogr. Kinesiol. 2015, 25, 715–721. [Google Scholar] [CrossRef] [PubMed]
- Huber, C.; Nuesch, C.; Gopfert, B.; Cattin, P.C.; von Tscharner, V. Muscular timing and inter-muscular coordination in healthy females while walking. J. Neurosci. Methods 2011, 201, 27–34. [Google Scholar] [CrossRef]
- Huber, C.; Federolf, P.; Nuesch, C.; Cattin, P.C.; Friederich, N.F.; Tscharner, V. Heel-strike in walking: Assessment of potential sources of intra- and inter-subject variability in the activation patterns of muscles stabilizing the knee joint. J. Biomech. 2013, 46, 1262–1268. [Google Scholar] [CrossRef][Green Version]
- Gopfert, B.; Scharer, C.; Tacchelli, L.; Gross, M.; Luthy, F.; Hubner, K. Frequency Shifts in Muscle Activation during Static Strength Elements on the Rings before and after an Eccentric Training Intervention in Male Gymnasts. J. Funct. Morphol. Kinesiol. 2022, 7, 28. [Google Scholar] [CrossRef]
- Doorenbosch, C.A.; Harlaar, J.; Roebroeck, M.E.; Lankhorst, G.J. Two strategies of transferring from sit-to-stand; the activation of monoarticular and biarticular muscles. J. Biomech. 1994, 27, 1299–1307. [Google Scholar] [CrossRef]
- Tam, N.; Santos-Concejero, J.; Coetzee, D.R.; Noakes, T.D.; Tucker, R. Muscle co-activation and its influence on running performance and risk of injury in elite Kenyan runners. J. Sports Sci. 2017, 35, 175–181. [Google Scholar] [CrossRef]
- von Tscharner, V. Intensity analysis in time-frequency space of surface myoelectric signals by wavelets of specified resolution. J. Electromyogr. Kinesiol. 2000, 10, 433–445. [Google Scholar] [CrossRef]
- Maurer, C.; von Tscharner, V.; Nigg, B.M. Speed-dependent variation in the Piper rhythm. J. Electromyogr. Kinesiol. 2013, 23, 673–678. [Google Scholar] [CrossRef]
- Jaitner, T.; Janssen, D.; Burger, R.; Wenzel, U. Identification of EMG frequency patterns in running by wavelet analysis and support vector machines. In Proceedings of the ISBS Conference Proceedings Archive, Marquette, MI, USA, 19–23 July 2010; pp. 376–379. [Google Scholar]
- Al-Mulla, M.R.; Sepulveda, F.; Colley, M. A Review of Non-Invasive Techniques to Detect and Predict Localised Muscle Fatigue. Sensors 2011, 11, 3545–3594. [Google Scholar] [CrossRef]
- Chowdhury, R.H.; Reaz, M.B.; Ali, M.A.; Bakar, A.A.; Chellappan, K.; Chang, T.G. Surface electromyography signal processing and classification techniques. Sensors 2013, 13, 12431–12466. [Google Scholar] [CrossRef]
- Huang, N.E.; Shen, Z.; Long, S.R.; Wu, M.C.; Shih, H.H.; Zheng, Q.; Yen, N.-C.; Tung, C.C.; Liu, H.H. The empirical mode decomposition and the Hilbert spectrum for nonlinear and non-stationary time series analysis. Proc. R. Soc. Lond. Ser. A Math. Phys. Eng. Sci. 1998, 454, 903–995. [Google Scholar] [CrossRef]
- Andrade, A.O.; Nasuto, S.; Kyberd, P.; Sweeney-Reed, C.M.; Van Kanijn, F.R. EMG signal filtering based on Empirical Mode Decomposition. Biomed. Signal Process. Control 2006, 1, 44–55. [Google Scholar] [CrossRef]
- Sun, Z.; Xi, X.; Yuan, C.; Yang, Y.; Hua, X. Surface electromyography signal denoising via EEMD and improved wavelet thresholds. Math. Biosci. Eng. 2020, 17, 6945–6962. [Google Scholar] [CrossRef] [PubMed]
- Zhang, X.; Zhou, P. Filtering of surface EMG using ensemble empirical mode decomposition. Med. Eng. Phys. 2013, 35, 537–542. [Google Scholar] [CrossRef]
- Chang, K.M.; Liu, S.H.; Wang, J.J.; Cheng, D.C. Exercise muscle fatigue detection system implementation via wireless surface electromyography and empirical mode decomposition. Annu. Int. Conf. IEEE Eng. Med. Biol. Soc. 2013, 2013, 1001–1004. [Google Scholar] [CrossRef]
- Cruz-Montecinos, C.; Garcia-Masso, X.; Maas, H.; Cerda, M.; Ruiz-Del-Solar, J.; Tapia, C. Detection of intermuscular coordination based on the causality of empirical mode decomposition. Med. Biol. Eng. Comput. 2023, 61, 497–509. [Google Scholar] [CrossRef]
- Molinari, F.; Joy Martis, R.; Acharya, U.R.; Meiburger, K.M.; De Luca, R.; Petraroli, G.; Liboni, W. Empirical mode decomposition analysis of near-infrared spectroscopy muscular signals to assess the effect of physical activity in type 2 diabetic patients. Comput. Biol. Med. 2015, 59, 1–9. [Google Scholar] [CrossRef] [PubMed][Green Version]
- Liu, S.-H.; Chang, K.-M.; Cheng, D.-C. The progression of muscle fatigue during exercise estimation with the aid of high-frequency component parameters derived from ensemble empirical mode decomposition. IEEE J. Biomed. Health Inform. 2014, 18, 1647–1658. [Google Scholar] [CrossRef]
- Li, Y.; Li, J.; Tu, P.; Wang, H.; Wang, K. Gesture recognition based on EEMD and cosine Laplacian eigenmap. IEEE Sens. J. 2023, 23, 16332–16342. [Google Scholar] [CrossRef]
- Hopkins, W.G. Measures of reliability in sports medicine and science. Sports Med. 2000, 30, 1–15. [Google Scholar] [CrossRef]
- Brysbaert, M. How many participants do we have to include in properly powered experiments? A tutorial of power analysis with reference tables. J. Cogn. 2019, 2, 16. [Google Scholar] [CrossRef]
- Mesquida, C.; Murphy, J.; Lakens, D.; Warne, J. Publication bias, statistical power and reporting practices in the Journal of Sports Sciences: Potential barriers to replicability. J. Sports Sci. 2023, 41, 1507–1517. [Google Scholar] [CrossRef]
- Hermens, H.J.; Freriks, B.; Merletti, R.; Stegeman, D.; Blok, J.; Rau, G.; Disselhorst-Klug, C.; Hägg, G. European recommendations for surface electromyography. Roessingh Res. Dev. 1999, 8, 13–54. [Google Scholar]
- Hasegawa, H.; Yamauchi, T.; Kraemer, W.J. Foot strike patterns of runners at the 15-km point during an elite-level half marathon. J. Strength Cond. Res. 2007, 21, 888–893. [Google Scholar] [PubMed]
- Xu, D.; Zhou, H.; Quan, W.; Ma, X.; Chon, T.-E.; Fernandez, J.; Gusztav, F.; Kovács, A.; Baker, J.S.; Gu, Y. New insights optimize landing strategies to reduce lower limb injury risk. Cyborg Bionic Syst. 2024, 5, 126. [Google Scholar] [CrossRef]
- Martinek, R.; Ladrova, M.; Sidikova, M.; Jaros, R.; Behbehani, K.; Kahankova, R.; Kawala-Sterniuk, A. Advanced Bioelectrical Signal Processing Methods: Past, Present, and Future Approach-Part III: Other Biosignals. Sensors 2021, 21, 6064. [Google Scholar] [CrossRef]
- Kiewiet, H.; Bulsink, V.E.; Beugels, F.; Koopman, H. The co-contraction index of the upper limb for young and old adult cyclists. Accid. Anal. Prev. 2017, 105, 95–101. [Google Scholar] [CrossRef]
- Landreneau, L.L.; Watts, K.; Heitzman, J.E.; Childers, W.L. Lower limb muscle activity during forefoot and rearfoot strike running techniques. Int. J. Sports Phys. Ther. 2014, 9, 888–897. [Google Scholar]
- Valencia, O.; Weinstein, A.; Salas, R.; Guzman-Venegas, R.; Arvanitidis, M.; Martinez-Valdes, E. Temporal differences in the myoelectric activity of lower limb muscles during rearfoot and forefoot running: A statistical parametric mapping approach. Eur. J. Sport Sci. 2023, 23, 983–991. [Google Scholar] [CrossRef] [PubMed]
- Olin, E.D.; Gutierrez, G.M. EMG and tibial shock upon the first attempt at barefoot running. Hum. Mov. Sci. 2013, 32, 343–352. [Google Scholar] [CrossRef] [PubMed]
- von Tscharner, V. A model computation of how synchronization and clustering of motor unit action potentials alter the power spectra of electromyograms. Biomed. Signal Process. Control 2019, 47, 344–349. [Google Scholar] [CrossRef]
- Koenig, I.; Eichelberger, P.; Blasimann, A.; Hauswirth, A.; Baeyens, J.P.; Radlinger, L. Wavelet analyses of electromyographic signals derived from lower extremity muscles while walking or running: A systematic review. PLoS ONE 2018, 13, e0206549. [Google Scholar] [CrossRef]
- von Tscharner, V.; Nigg, B.M. Last word on point:counterpoint: Spectral properties of the surface EMG can characterize/do not provide information about motor unit recruitment strategies and muscle fiber type. J. Appl. Physiol. 2008, 105, 1682. [Google Scholar] [CrossRef]
- Yong, J.R.; Dembia, C.L.; Silder, A.; Jackson, R.W.; Fredericson, M.; Delp, S.L. Foot strike pattern during running alters muscle-tendon dynamics of the gastrocnemius and the soleus. Sci. Rep. 2020, 10, 5872. [Google Scholar] [CrossRef]
- von Tscharner, V.; Ullrich, M.; Mohr, M.; Comaduran Marquez, D.; Nigg, B.M. A wavelet based time frequency analysis of electromyograms to group steps of runners into clusters that contain similar muscle activation patterns. PLoS ONE 2018, 13, e0195125. [Google Scholar] [CrossRef]
- von Tscharner, V.; Barandun, M.; Stirling, L.M. Piper rhythm of the electromyograms of the abductor pollicis brevis muscle during isometric contractions. J. Electromyogr. Kinesiol. 2011, 21, 184–189. [Google Scholar] [CrossRef] [PubMed]
- Latash, M.L. Muscle coactivation: Definitions, mechanisms, and functions. J. Neurophysiol. 2018, 120, 88–104. [Google Scholar] [CrossRef] [PubMed]
- Tam, N.; Tucker, R.; Santos-Concejero, J.; Prins, D.; Lamberts, R.P. Running Economy: Neuromuscular and Joint Stiffness Contributions in Trained Runners. Int. J. Sports Physiol. Perform. 2019, 14, 16–22. [Google Scholar] [CrossRef] [PubMed]



| VM | VL | RF | TA | GM | GL | |
|---|---|---|---|---|---|---|
| FFS | 30.80% ± 20.26% | 24.57% ± 14.34% | 25.51% ± 14.54% | 35.51% ± 21.22% | 35.32% ± 17.18% | 42.82% ± 17.35% |
| MFS | 30.81% ± 14.91% | 22.38% ± 11.26% | 25.60% ± 13.09% | 40.07% ± 49.71% | 25.87% ± 11.72% | 31.87% ± 8.34% |
| RFS | 24.19% ± 5.91% | 22.33% ± 5.38% | 25.80% ± 8.17% | 28.41% ± 6.78% | 25.78% ± 5.63% | 29.30% ± 8.20% |
| VM | VL | RF | TA | GM | GL | |
|---|---|---|---|---|---|---|
| FFS | 96.56 ± 27.17 | 92.25 ± 28.31 | 69.13 ± 25.36 | 106.00 ± 44.70 | 140.69 ± 44.26 | 121.88 ± 59.61 |
| MFS | 78.31 ± 36.98 | 88.56 ± 34.02 | 69.50 ± 31.20 | 90.19 ± 55.75 | 128.19 ± 38.81 | 124.94 ± 54.40 |
| RFS | 88.00 ± 35.08 | 95.88 ± 38.72 | 66.56 ± 28.74 | 101.13 ± 49.31 | 122.25 ± 39.09 | 126.44 ± 50.03 |
| 100 ms Before Foot Contact | 0–20% Phase of Stance | 20–40% Phase of Stance | |
|---|---|---|---|
| FFS | 16.50 ± 11.35 1,2 | 88.28 ± 40.01 1,2 | 101.18 ± 39.18 |
| MFS | 79.74 ± 37.04 | 128.33 ± 44.23 | 99.32 ± 39.29 |
| RFS | 101.00 ± 19.90 | 134.08 ± 47.95 | 84.18 ± 25.39 |
Disclaimer/Publisher’s Note: The statements, opinions and data contained in all publications are solely those of the individual author(s) and contributor(s) and not of MDPI and/or the editor(s). MDPI and/or the editor(s) disclaim responsibility for any injury to people or property resulting from any ideas, methods, instructions or products referred to in the content. |
© 2025 by the authors. Licensee MDPI, Basel, Switzerland. This article is an open access article distributed under the terms and conditions of the Creative Commons Attribution (CC BY) license (https://creativecommons.org/licenses/by/4.0/).
Share and Cite
Shi, S.; Ni, X.; Ieong, L.; Li, L.; Liu, Y. Comparison of Time–Frequency Characteristics of Lower Limb EMG Signals Among Different Foot Strike Patterns During Running Using the EEMD Algorithm. Life 2025, 15, 1386. https://doi.org/10.3390/life15091386
Shi S, Ni X, Ieong L, Li L, Liu Y. Comparison of Time–Frequency Characteristics of Lower Limb EMG Signals Among Different Foot Strike Patterns During Running Using the EEMD Algorithm. Life. 2025; 15(9):1386. https://doi.org/10.3390/life15091386
Chicago/Turabian StyleShi, Shuqiong, Xindi Ni, Loi Ieong, Lei Li, and Ye Liu. 2025. "Comparison of Time–Frequency Characteristics of Lower Limb EMG Signals Among Different Foot Strike Patterns During Running Using the EEMD Algorithm" Life 15, no. 9: 1386. https://doi.org/10.3390/life15091386
APA StyleShi, S., Ni, X., Ieong, L., Li, L., & Liu, Y. (2025). Comparison of Time–Frequency Characteristics of Lower Limb EMG Signals Among Different Foot Strike Patterns During Running Using the EEMD Algorithm. Life, 15(9), 1386. https://doi.org/10.3390/life15091386

