Assessing Motor Performance and Ankle Mobility in Pre-Adolescent Male Fencers
Abstract
1. Introduction
2. Materials and Methods
2.1. Study Design and Participants
2.2. Body Composition Measurements
2.3. Jump Measurement
2.4. Acceleration Measurement
2.5. Ankle Range of Motion Measurements
2.6. Dorsiflexion and Plantar Flexion
2.7. Eversion and Inversion
2.8. Statistical Analysis
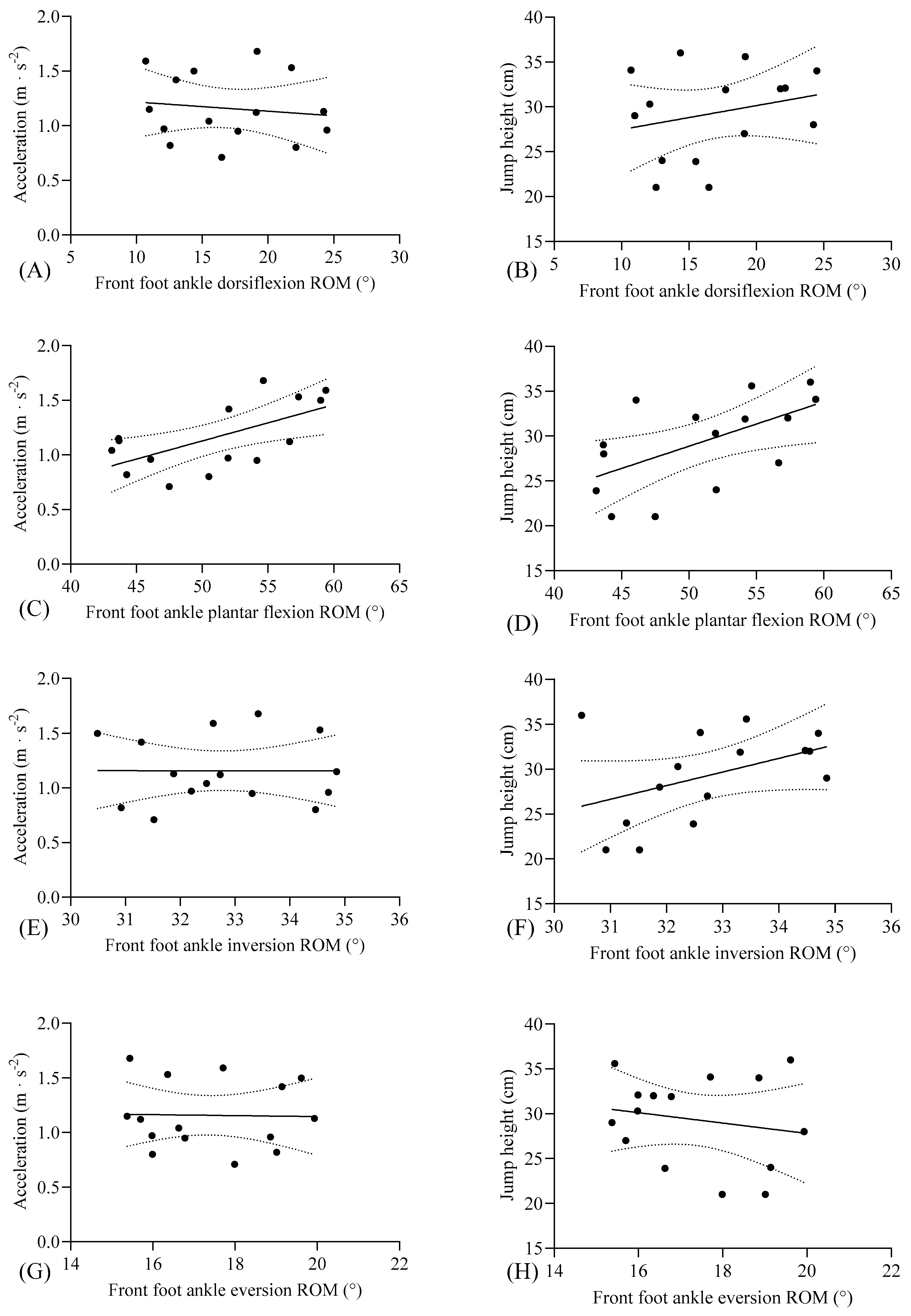
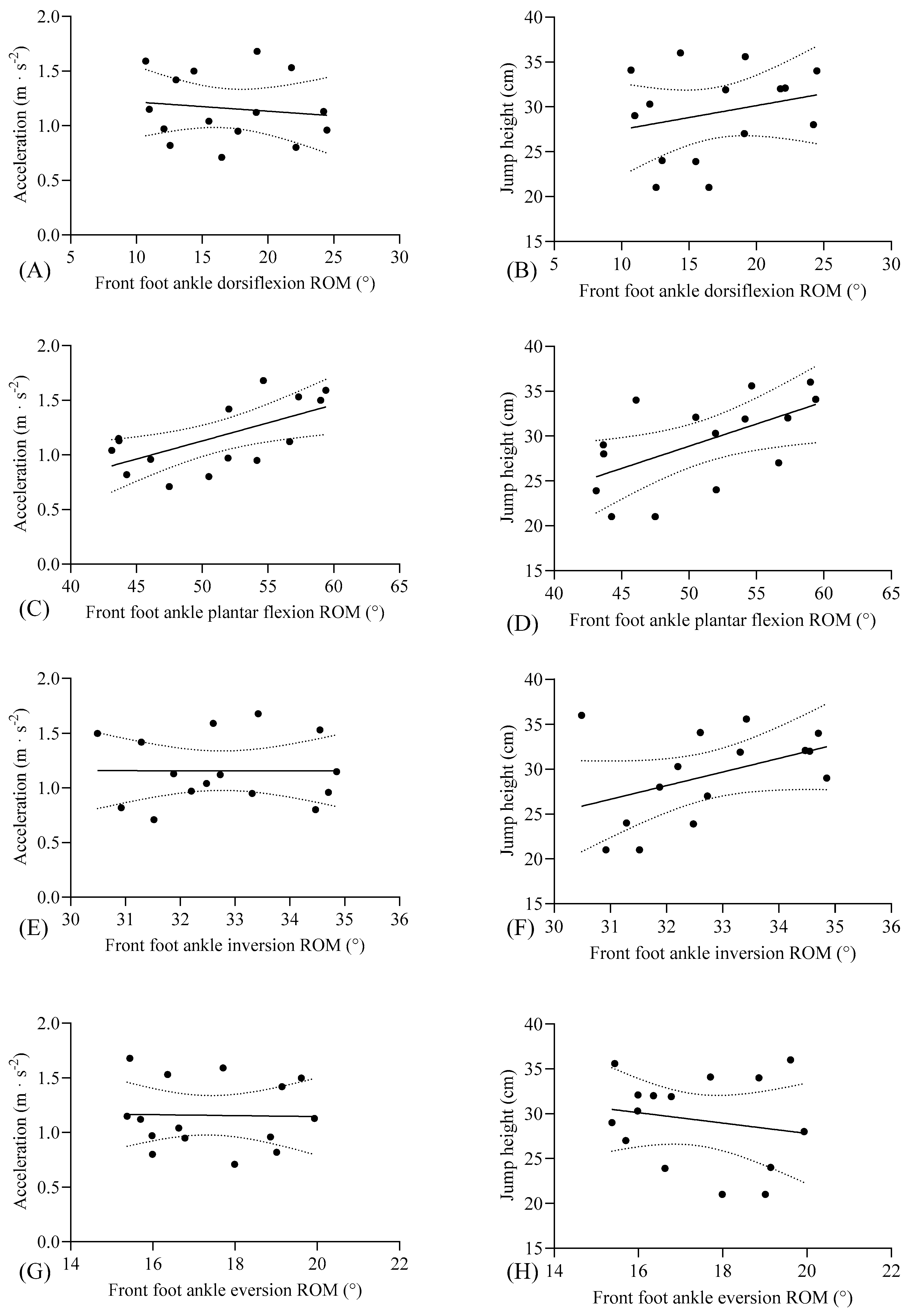
3. Results
4. Discussion
5. Conclusions
Author Contributions
Funding
Institutional Review Board Statement
Informed Consent Statement
Data Availability Statement
Acknowledgments
Conflicts of Interest
Abbreviations
| CMJ | Counter-movement jump |
| ROM | Range of motion |
References
- Chan, J.S.; Wong, A.C.; Liu, Y.; Yu, J.; Yan, J.H. Fencing expertise and physical fitness enhance action inhibition. Psychol. Sport Exerc. 2011, 12, 509–514. [Google Scholar] [CrossRef]
- Hijazi, M.M.K. Attention, visual perception and their relationship to sport performance in fencing. J. Hum. Kinet. 2013, 39, 195. [Google Scholar] [CrossRef] [PubMed]
- Tarragó, R.; Bottoms, L.; Iglesias, X. Temporal demands of elite fencing. PLoS ONE 2023, 18, e0285033. [Google Scholar] [CrossRef]
- Roi, G.S.; Bianchedi, D. The science of fencing: Implications for performance and injury prevention. Sports Med. 2008, 38, 465–481. [Google Scholar] [CrossRef]
- Varesco, G.; Pageaux, B.; Cattagni, T.; Sarcher, A.; Martinent, G.; Doron, J.; Jubeau, M. Fatigue in elite fencing: Effects of a simulated competition. Scand. J. Med. Sci. Sports 2023, 33, 2250–2260. [Google Scholar] [CrossRef] [PubMed]
- Turner, A.; Miller, S.; Stewart, P.; Cree, J.; Ingram, R.; Dimitriou, L.; Kilduff, L. Strength and conditioning for fencing. Strength Cond. J. 2013, 35, 1–9. [Google Scholar] [CrossRef]
- Turner, A.; James, N.; Dimitriou, L.; Greenhalgh, A.; Moody, J.; Fulcher, D.; Kilduff, L. Determinants of olympic fencing performance and implications for strength and conditioning training. J. Strength Cond. Res. 2014, 28, 3001–3011. [Google Scholar] [CrossRef]
- Gholipour, M.; Tabrizi, A.; Farahmand, F. Kinematics analysis of lunge fencing using stereophotogrametry. World J. Sport Sci. 2008, 1, 32–37. [Google Scholar]
- Chen, T.L.W.; Wong, D.W.C.; Wang, Y.; Ren, S.; Yan, F.; Zhang, M. Biomechanics of fencing sport: A scoping review. PLoS ONE 2017, 12, e0171578. [Google Scholar] [CrossRef]
- Mulloy, F.; Mullineaux, D.R.; Irwin, G. Use of the kinematic chain in the fencing attacking lunge. In Proceedings of the 33rd International Conference on Biomechanics in Sports, Poitiers, France, 29 June–3 July 2015. [Google Scholar]
- Morris, N.; Farnsworth, M.; Robertson, D. Kinetic analyses of two fencing attacks–lunge and fleche. In Proceedings of the ISBS-Conference Proceedings Archive, Porto, Portugal, 27 June–1 July 2011. [Google Scholar]
- Cerrillo-Sanchis, J.; Ricart-Luna, B.; Rodrigo-Mallorca, D.; Muñoz-Gómez, E.; Domínguez-Navarro, F.; Mollà-Casanova, S.; Chulvi-Medrano, I. Relationship between ankle dorsiflexion range of motion and sprinting and jumping ability in young athletes. J. Bodyw. Mov. Ther. 2024, 39, 43–49. [Google Scholar] [CrossRef]
- Tsolakis, C.; Kostaki, E.; Vagenas, G. Anthropometric, flexibility, strength-power, and sport-specific correlates in elite fencing. Percept. Mot. Ski. 2010, 110, 1015–1028. [Google Scholar] [CrossRef] [PubMed]
- Ntai, A.; Zahou, F.; Paradisis, G.; Smirniotou, A.; Tsolakis, C. Anthropometric parameters and leg power performance in fencing. Age, sex and discipline related differences. Sci. Sports 2017, 32, 135–143. [Google Scholar] [CrossRef]
- Guan, Y.; Guo, L.; Wu, N.; Zhang, L.; Warburton, D.E. Biomechanical insights into the determinants of speed in the fencing lunge. Eur. J. Sport Sci. 2018, 18, 201–208. [Google Scholar] [CrossRef]
- Martínez-Córcoles, V.; García-Campos, J.; Vicente-Mampel, J.; Chicharro-Luna, E.; Jiménez, E.M.M.; Ferrer-Torregrosa, J. Postural analysis of children with muscle retraction after six-month exercise or heel cup interventions in a randomized trial. Sci. Rep. 2025, 15, 13578. [Google Scholar] [CrossRef]
- Rogol, A.D.; Clark, P.A.; Roemmich, J.N. Growth and pubertal development in children and adolescents: Effects of diet and physical activity. Am. J. Clin. Nutr. 2000, 72, 521S–528S. [Google Scholar] [CrossRef] [PubMed]
- Godinho, I.; Pinheiro, B.N.; Júnior, L.D.S.; Lucas, G.C.; Cavalcante, J.F.; Monteiro, G.M.; Uchoa, P.A.G. Effect of reduced ankle mobility on jumping performance in young athletes. Motricidade 2019, 15, 46–51. [Google Scholar]
- Panoutsakopoulos, V.; Kotzamanidou, M.C.; Giannakos, A.K.; Kollias, I.A. Relationship of vertical jump performance and ankle joint range of motion: Effect of knee joint angle and handedness in young adult handball players. Sports 2022, 10, 86. [Google Scholar] [CrossRef] [PubMed]
- Patti, A.; Gervasi, M.; Giustino, V.; Figlioli, F.; Canzone, A.; Drid, P.; Bianco, A. The Influence of Ankle Mobility and Foot Stability on Jumping Ability and Landing Mechanics: A Cross-Sectional Study. J. Funct. Morphol. Kinesiol. 2024, 9, 160. [Google Scholar] [CrossRef]
- Petrigna, L.; Karsten, B.; Marcolin, G.; Paoli, A.; D’Antona, G.; Palma, A.; Bianco, A. A review of countermovement and squat jump testing methods in the context of public health examination in adolescence: Reliability and feasibility of current testing procedures. Front. Physiol. 2019, 10, 1384. [Google Scholar] [CrossRef]
- Turner, A.N.; Marshall, G.; Phillips, J.; Noto, A.; Buttigieg, C.; Chavda, S.; Kilduff, L. Physical characteristics underpinning repetitive lunging in fencing. J. Strength Cond. Res. 2016, 30, 3134–3139. [Google Scholar] [CrossRef]
- Wang, K.Y.; Hussaini, S.H.; Teasdall, R.D.; Gwam, C.U.; Scott, A.T. Smartphone applications for assessing ankle range of motion in clinical practice. Foot Ankle Orthop. 2019, 4, 2473011419874779. [Google Scholar] [CrossRef] [PubMed]
- Menadue, C.; Raymond, J.; Kilbreath, S.L.; Refshauge, K.M.; Adams, R. Reliability of two goniometric methods of measuring active inversion and eversion range of motion at the ankle. BMC Musculoskelet. Disord. 2006, 7, 60. [Google Scholar] [CrossRef]
- Cinarli, F.S.; Aydogdu, O.; Aydin, Y.; Tokgöz, G.; Kahraman, A.; Beykumül, A.; Ramirez-Campillo, R. Maximal strength, sprint and jump performance in elite kumite karatekas. BMC Sports Sci. Med. Rehabil. 2025, 17, 8. [Google Scholar] [CrossRef]
- Aquili, A.; Tancredi, V.; Triossi, T.; De Sanctis, D.; Padua, E.; D’Arcangelo, G.; Melchiorri, G. Performance analysis in saber. J. Strength Cond. Res. 2013, 27, 624–630. [Google Scholar] [CrossRef] [PubMed]
- Schache, A.G.; Lai, A.K.; Brown, N.A.; Crossley, K.M.; Pandy, M.G. Lower-limb joint mechanics during maximum acceleration sprinting. J. Exp. Biol. 2019, 222, jeb209460. [Google Scholar] [CrossRef]
- Fong, C.M.; Blackburn, J.T.; Norcross, M.F.; McGrath, M.; Padua, D.A. Ankle-dorsiflexion range of motion and landing biomechanics. J. Athl. Train. 2011, 46, 5–10. [Google Scholar] [CrossRef]
- Mann, B.; Gruber, A.H.; Murphy, S.P.; Docherty, C.L. The influence of ankle braces on functional performance tests and ankle joint range of motion. J. Sport Rehabil. 2019, 28, 817–823. [Google Scholar] [CrossRef] [PubMed]
- Vecbērza, L.; Šmite, Z.; Plakane, L.; Ābeļkalns, I. The Impact of Ankle Plantar-Flexor Muscle Strength on Sprint Acceleration in Floorball Players. Int. J. Sports Physiol. Perform. 2025, 1, 393–398. [Google Scholar] [CrossRef]
- Cappadona, J. Kinematic and spatiotemporal analysis between sprint drills and maximal sprinting. In Physical Therapy & Human Movement Science; Fairfield University: Fairfield, CT, USA; Sacred Heart University: Fairfield, CT, USA, 2013. [Google Scholar]
- Bishop, C.; Turner, A.; Read, P. Effects of inter-limb asymmetries on physical and sports performance: A systematic review. J. Sports Sci. 2018, 36, 1135–1144. [Google Scholar] [CrossRef]
- Tsolakis, C.H.; Bogdanis, G.C.; Vagenas, G. Anthropometric profile and limb asymmetries in young male and female fencers. J. Hum. Mov. Stud. 2006, 50, 201–216. [Google Scholar]
- Kotsasian, A.; Tsolakis, C.H.; Drake, A.M. Anatomic and Functional Characteristics of Lower Extremities in Elite and Sub-Elite Fencers. Biol. Exerc. 2016, 12, 1–14. [Google Scholar]
- Guilhem, G.; Giroux, C.; Couturier, A.; Chollet, D.; Rabita, G. Mechanical and muscular coordination patterns during a high-level fencing assault. Med. Sci. Sports Exerc. 2014, 46, 341–350. [Google Scholar] [CrossRef] [PubMed]
- Butler, A.A.; Menant, J.C.; Tiedemann, A.C.; Lord, S.R. Age and gender differences in seven tests of functional mobility. J. Neuroeng. Rehabil. 2009, 6, 31. [Google Scholar] [CrossRef] [PubMed]
- Grimston, S.K.; Nigg, B.M.; Hanley, D.A.; Engsberg, J.R. Differences in ankle joint complex range of motion as a function of age. Foot Ankle Int. 1993, 14, 215–222. [Google Scholar] [CrossRef]



| Variables | Mean ± Standard Deviation | 95% CI |
|---|---|---|
| Age (years) | 10.86 ± 0.91 | 10.35, 11.37 |
| Height (m) | 1.51 ± 0.08 | 1.47, 1.56 |
| Weight (kg) | 41.91 ± 5.52 | 38.85, 44.97 |
| Body mass index (kg·m−2) | 18.18 ± 1.81 | 17.18, 19.19 |
| Body fat percentage (%) | 12.43 ± 2.90 | 10.73, 13.95 |
| Correlation Matrix | Front | Rear | ||
|---|---|---|---|---|
| Acceleration (m·s−2) | r value | p value | r value | p value |
| Dorsiflexion ROM | −0.127 | 0.622 | −0.076 | 0.789 |
| Plantar flexion ROM | 0.625 | 0.013 | 0.628 | 0.012 |
| Inversion ROM | 0.001 | 0.997 | −0.199 | 0.477 |
| Eversion ROM | −0.023 | 0.936 | 0.083 | 0.769 |
| Jump height (cm) | ||||
| Dorsiflexion ROM | 0.250 | 0.368 | 0.257 | 0.356 |
| Plantar flexion ROM | 0.579 | 0.024 | 0.647 | 0.009 |
| Inversion ROM | 0.431 | 0.109 | 0.032 | 0.911 |
| Eversion ROM | −0.185 | 0.508 | −0.435 | 0.105 |
Disclaimer/Publisher’s Note: The statements, opinions and data contained in all publications are solely those of the individual author(s) and contributor(s) and not of MDPI and/or the editor(s). MDPI and/or the editor(s) disclaim responsibility for any injury to people or property resulting from any ideas, methods, instructions or products referred to in the content. |
© 2025 by the authors. Licensee MDPI, Basel, Switzerland. This article is an open access article distributed under the terms and conditions of the Creative Commons Attribution (CC BY) license (https://creativecommons.org/licenses/by/4.0/).
Share and Cite
Aydin, Y.; Tokgoz, G.; Yilmaz, N.; Coskun, I.A.; Beykumul, A.; Colak, E.; Aygoren, C.; Koc, S.; Cinarli, F.S. Assessing Motor Performance and Ankle Mobility in Pre-Adolescent Male Fencers. Life 2025, 15, 942. https://doi.org/10.3390/life15060942
Aydin Y, Tokgoz G, Yilmaz N, Coskun IA, Beykumul A, Colak E, Aygoren C, Koc S, Cinarli FS. Assessing Motor Performance and Ankle Mobility in Pre-Adolescent Male Fencers. Life. 2025; 15(6):942. https://doi.org/10.3390/life15060942
Chicago/Turabian StyleAydin, Yalcin, Gurkan Tokgoz, Nurkan Yilmaz, Ilgin Ali Coskun, Aysegul Beykumul, Enes Colak, Caner Aygoren, Samet Koc, and Fahri Safa Cinarli. 2025. "Assessing Motor Performance and Ankle Mobility in Pre-Adolescent Male Fencers" Life 15, no. 6: 942. https://doi.org/10.3390/life15060942
APA StyleAydin, Y., Tokgoz, G., Yilmaz, N., Coskun, I. A., Beykumul, A., Colak, E., Aygoren, C., Koc, S., & Cinarli, F. S. (2025). Assessing Motor Performance and Ankle Mobility in Pre-Adolescent Male Fencers. Life, 15(6), 942. https://doi.org/10.3390/life15060942

