The Regulatory Role of Exogenous Carnitine Applications in Lipid Metabolism, Mitochondrial Respiration, and Germination in Maize Seeds (Zea mays L.)
Abstract
1. Introduction
2. Materials and Methods
2.1. Seed Germination Status and Carnitine Treatments
2.2. Germination Parameters
2.3. Root and Hypocotyl Lengths
2.4. Total Soluble Protein and Carbohydrate Contents
2.5. α-Amylase, Isocitrate Lyase (ICL), and Malate Synthase (MS) Activities
2.6. Lipase Activity
2.7. Saturated and Unsaturated Fatty Acid Contents
2.8. Citrate Synthase (CS) Activity
2.9. Carnitine Acyltransferase (CATI and CATII) Activities
2.10. Free L-Carnitine and Acylcarnitine Contents
2.11. RNA Isolation and Real-Time PCR Analysis
2.12. Glutamate Dehydrogenase (NADH-GDH) and Glutamine (GS) Activities
2.13. Antioxidant Enzyme Activities and Non-Enzymatic Compounds
2.14. Statistical Analysis
3. Results
3.1. Effect of Carnitine on Germination Rate, Germination Potential, Germination Index, Vigor Index, Fresh Weight, and Root and Hypocotyl Length
3.2. Effect of Carnitine on Total Soluble Protein Content and Total Carbohydrate Content
3.3. Effect of Carnitine on Enzyme Activities of α-Amylase, Isocitrate Lyase (ICL), and Malate Synthase (MS)
3.4. Effect of Carnitine on Lipase Activity
3.5. Effect of Carnitine on Carnitine Acyl-Transferase (CATI and CATII) Activities
3.6. Effect of Carnitine on Citrate Synthase (CS) Activity
3.7. Effect of Carnitine on Glutamate Dehydrogenase (NADH-GDH) and Glutamine Synthase (GS) Activities
3.8. Effect of Carnitine on Fatty Acid Contents
3.9. Effect of Carnitine on Free Carnitine and Acyl-Carnitine Contents
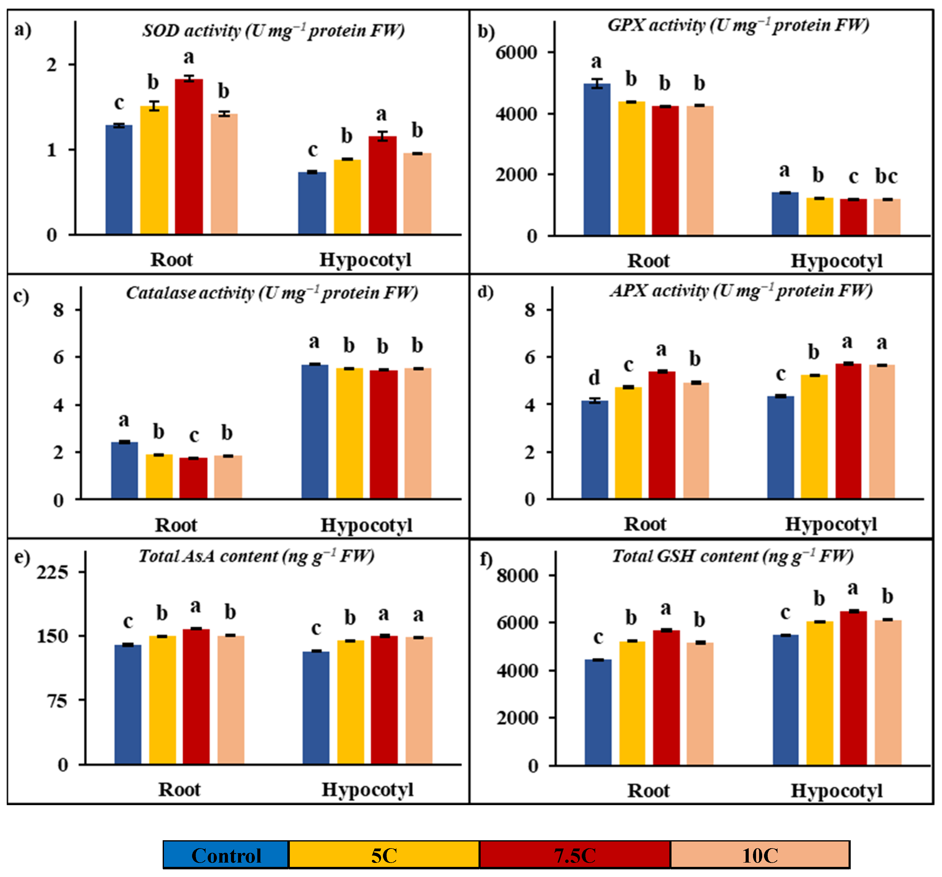
3.10. Effect of Carnitine on Superoxide Dismutase (SOD), Guaiacol-Peroxidase (GPX), Catalase and Ascorbate Peroxidase (APX) Activities, and Total Ascorbate (AsA) and Glutathione (GSH) Concentration
3.11. Effect of Carnitine on Expression of Isocitrate Lyase, Malate Synthase, Lipase, Citrate Synthase, Cytochrome Oxidase, Pyruvate Dehydrogenase, ATP Synthase, Glutamate Dehydrogenase, and Glutamine Synthase
4. Discussion
Author Contributions
Funding
Institutional Review Board Statement
Informed Consent Statement
Data Availability Statement
Acknowledgments
Conflicts of Interest
Abbreviations
| GR | Germination rate |
| GI | Germination index |
| GP | Germination potential |
| VI | Vigor index |
| FW | Fresh weight |
| ICL | Isocitrate lyase |
| MS | Malate synthase |
| CATI | Carnitine acyltransferase I |
| CATII | Carnitine acyltransferase II |
| CS | Citrate synthase |
| COX | Cytochrome oxidase |
| PDH | Pyruvate dehydrogenase |
| NADH-GDH | NADH-Dependent Glutamate Dehydrogenase |
| GS | Glutamine synthase |
| SOD | Superoxide dismutase |
| GPX | Guaiacol peroxidase |
| APX | Ascorbate peroxidase |
| AsA | Ascorbate |
| GSH | Glutathione |
| TCA | Tricarboxylic acid cycle |
| ETC | Electron transfer chain |
| Ct | Threshold Cycle |
| ATP | Adenosine Triphosphate |
| 5 C | 5 µM carnitine application |
| 7.5 C | 7.5 µM carnitine application |
| 10 C | 10 µM carnitine application |
References
- Bewley, J.D. Seed germination and dormancy. Plant Cell 1997, 9, 1055. [Google Scholar] [PubMed]
- Rajjou, L.; Gallardo, K.; Debeaujon, I.; Vandekerckhove, J.; Job, C.; Job, D. The effect of α-amanitin on the Arabidopsis seed proteome highlights the distinct roles of stored and neosynthesized mRNAs during germination. Plant Physiol. 2004, 134, 1598–1613. [Google Scholar]
- Fahad, S.; Bajwa, A.A.; Nazir, U.; Anjum, S.A.; Farooq, A.; Zohaib, A.; Sadia, S.; Nasim, W.; Adkins, S.; Saud, S. Crop production under drought and heat stress: Plant responses and management options. Front. Plant Sci. 2017, 8, 1147. [Google Scholar]
- Zörb, C.; Geilfus, C.M.; Dietz, K.J. Salinity and crop yield. Plant Biol. J. 2019, 21, 31–38. [Google Scholar]
- Muehe, E.M.; Wang, T.; Kerl, C.F.; Planer-Friedrich, B.; Fendorf, S. Rice production threatened by coupled stresses of climate and soil arsenic. Nat. Commun. 2019, 10, 4985. [Google Scholar]
- Murdia, L.K.; Wadhwani, R.; Wadhawan, N.; Bajpai, P.; Shekhawat, S. Maize utilization in India: An overview. Am. J. Food Nutr. 2016, 4, 169–176. [Google Scholar]
- Erenstein, O.; Jaleta, M.; Sonder, K.; Mottaleb, K.; Prasanna, B.M. Global maize production, consumption and trade: Trends and R&D implications. Food Sec. 2022, 14, 1295–1319. [Google Scholar]
- Charrier, A.; Rippa, S.; Yu, A.; Nguyen, P.J.; Renou, J.P.; Perrin, Y. The effect of carnitine on Arabidopsis development and recovery in salt stress conditions. Planta 2012, 235, 123–135. [Google Scholar]
- Jacques, F.; Rippa, S.; Perrin, Y. Physiology of L-carnitine in plants in light of the knowledge in animals and microorganisms. Plant Sci. 2018, 274, 432–440. [Google Scholar]
- Fritz, I.B.; Marquis, N.R. The role of acylcarnitine esters and carnitine palmityltransferase in the transport of fatty acyl groups across mitochondrial membranes. Proc. Natl. Acad. Sci. USA 1965, 54, 1226–1233. [Google Scholar]
- Ramsay, R.R.; Tubbs, P.K. The mechanism of fatty acid uptake by heart mitochondria: An acylcarnitine-carnitine exchange. FEBS Let. 1975, 54, 21–25. [Google Scholar]
- Ramsay, R.R.; Gandour, R.D.; van der Leij, F.R. Molecular enzymology of carnitine transfer and transport. Biochim. Biophys. Acta Protein Struct. Mol. Enzymol. 2001, 1546, 21–43. [Google Scholar]
- Ramsay, R.R.; Zammit, V.A. Carnitine acyltransferases and their influence on CoA pools in health and disease. Mol. Aspects Med. 2004, 25, 475–493. [Google Scholar]
- Fraenkel, G. Studies on the distribution of vitamin BT (Carnitine). Biol. Bull. 1953, 104, 359–371. [Google Scholar]
- Wood, C.; Masterson, C.; Thomas, D.R. The role of carnitine in plant cell metabolism. In Plant Organelles: Compartmentation of Metabolism in Photosynthetic Tissue; Seminar Series; Cambridge University Press: Cambridge, UK, 1992; Volume 50, pp. 229–263. [Google Scholar]
- Ellis, B.A.; Poynten, A.; Lowy, A.J.; Furler, S.M.; Chisholm, D.J.; Kraegen, E.W.; Cooney, G.J. Long-chain acyl-CoA esters as indicators of lipid metabolism and insulin sensitivity in rat and human muscle. Am. J. Physiol. Endocrinol. Metab. 2000, 279, E554–E560. [Google Scholar] [PubMed]
- van Vlies, N.; Tian, L.; Overmars, H.; Bootsma, A.H.; Kulik, W.; Wanders, R.J.; Wood, P.A.; Vaz, F.M. Characterization of carnitine and fatty acid metabolism in the long-chain acyl-CoA dehydrogenase-deficient mouse. Biochem. J. 2005, 387, 185–193. [Google Scholar] [PubMed]
- Turk, H.; Erdal, S.; Dumlupinar, R. Exogenous carnitine application augments transport of fatty acids into mitochondria and stimulates mitochondrial respiration in maize seedlings grown under normal and cold conditions. Cryobiology 2019, 91, 97–103. [Google Scholar]
- Nguyen, P.J.; Rippa, S.; Rossez, Y.; Perrin, Y. Acylcarnitines participate in developmental processes associated to lipid metabolism in plants. Planta 2016, 243, 1011–1022. [Google Scholar]
- Masterson, C.; Wood, C.; Thomas, D.R. L-acetylcarnitine, a substrate for chloroplast fatty acid synthesis. Plant Cell Environ. 1990, 13, 755–765. [Google Scholar]
- Pardo, J.M. Biotechnology of water and salinity stress tolerance. Curr. Opin. Biotechnol. 2010, 21, 185–196. [Google Scholar]
- Sener, G.; Paskaloglu, K.; Satiroglu, H.; Alican, I.; Kacmaz, A.; Sakarcan, A. L-carnitine ameliorates oxidative damage due to chronic renal failure in rats. J. Cardiovasc. Pharmacol. 2004, 43, 698–705. [Google Scholar] [PubMed]
- Gómez-Amores, L.; Mate, A.; Miguel-Carrasco, J.L.; Jiménez, L.; Jos, A.; Cameán, A.M.; Revilla, E.; Santa-María, C.; Vázquez, C.M. L-carnitine attenuates oxidative stress in hypertensive rats. J. Nutr. Biochem. 2007, 18, 533–540. [Google Scholar] [PubMed]
- Silva-Adaya, D.; Pérez-De La Cruz, V.; Herrera-Mundo, M.N.; Mendoza-Macedo, K.; Villeda-Hernández, J.; Binienda, Z.; Ali, S.F.; Santamaría, A. Excitotoxic damage, disrupted energy metabolism, and oxidative stress in the rat brain: Antioxidant and neuroprotective effects of l-carnitine. J. Neurochem. 2008, 105, 677–689. [Google Scholar]
- Franken, J.; Kroppenstedt, S.; Swiegers, J.H.; Bauer, F.F. Carnitine and carnitine acetyltransferases in the yeast Saccharomyces cerevisiae: A role for carnitine in stress protection. Curr. Genet. 2008, 53, 347–360. [Google Scholar]
- Angelidis, A.S.; Smith, G.M. Role of the glycine betaine and carnitine transporters in adaptation of Listeria monocytogenes to chill stress in defined medium. Appl. Environ. Microbiol. 2003, 69, 7492–7498. [Google Scholar] [PubMed]
- Cánovas, M.; Bernal, V.; Sevilla, A.; Iborra, J.L. Salt stress effects on the central and carnitine metabolisms of Escherichia coli. Biotechnol. Bioeng. 2007, 96, 722–737. [Google Scholar]
- Wang, Y.R.; Yu, L.; Nan, Z.B.; Liu, Y.L. Vigor tests used to rank seed lot quality and predict field emergence in four forage species. Crop Sci. 2004, 44, 535–541. [Google Scholar]
- Xiao, S.; Liu, L.; Wang, H.; Li, D.; Bai, Z.; Zhang, Y.; Sun, H.; Zhang, K.; Li, C. Exogenous melatonin accelerates seed germination in cotton (Gossypium hirsutum L.). PLoS ONE 2019, 14, e0216575. [Google Scholar]
- Turk, H. Progesterone promotes mitochondrial respiration at the biochemical and molecular level in germinating maize seeds. Plants 2021, 10, 1326. [Google Scholar] [CrossRef]
- Smith, P.; Krohn, R.I.; Hermanson, G.T.; Mallia, A.K.; Gartner, F.H.; Provenzano, M.D.; Fujimoto, E.K.; Goeke, N.M.; Olson, B.J.; Klenk, D.C. Measurement of protein using bicinchoninic acid. Anal. Biochem. 1985, 150, 76–85. [Google Scholar]
- Dische, Z. Color reactions of carbohydrates. Methods Carbohydr. Chem. 1958, 1, 475–514. [Google Scholar]
- Juliano, B.O.; Varner, J.E. Enzymic degradation of starch granules in the cotyledons of germinating peas. Plant Physiol. 1969, 44, 886–892. [Google Scholar]
- de Morais, G.A.; Takaki, M. Determination of amylase activity in cotyledons of Phaseolus vulgaris L. cv. carioca. Braz. Arch. Biol. Technol. 1998, 41, 17–25. [Google Scholar]
- Dixon, G.H. Assay methods for key enzymes of the glyoxylate cycle. Biochem. J. 1959, 3, 72. [Google Scholar]
- Hock, B. Development and decline of the glyoxylate cycle enzymes in watermelon seedlings (Citrullus vulgaris Schrad). Z. Pflanzenphysiol. 1966, 55, 405–414. [Google Scholar]
- Zhong, Q.; Glatz, C.E. Enzymatic assay method for evaluating the lipase activity in complex extracts from transgenic corn seed. J. Agric. Food Chem. 2006, 54, 3181–3185. [Google Scholar] [PubMed]
- Kato, A.; Hayashi, M.; Mori, H.; Nishimura, M. Molecular characterization of a glyoxysomal citrate synthase that is synthesized as a precursor of higher molecular mass in pumpkin. Plant Mol. Biol. 1995, 27, 377–390. [Google Scholar]
- Schwabedissen-Gerbling, H.; Gerhardt, B. Purification and characterization of carnitine acyltransferase from higher plant mitochondria. Phytochemistry 1995, 39, 39–43. [Google Scholar]
- Bourdin, B.; Adenier, H.; Perrin, Y. Carnitine is associated with fatty acid metabolism in plants. Plant Physiol. Biochem. 2007, 45, 926–931. [Google Scholar]
- Groat, R.G.; Vance, C.P. Root nodule enzymes of ammonia assimilation in alfalfa (Medicago sativa L.) developmental patterns and response to applied nitrogen. Plant Physiol. 1981, 67, 1198–1203. [Google Scholar]
- O’neal, D.; Joy, K.W. Glutamine synthetase of pea leaves. I. Purification, stabilization, and pH optima. Arch. Biochem. Biophys. 1973, 159, 113–122. [Google Scholar] [PubMed]
- Ye, Y.; Tam, N.F.; Wong, Y.S.; Lu, C.Y. Growth and physiological responses of two mangrove species (Bruguiera gymnorrhiza and Kandelia candel) to waterlogging. Environ. Exp. Bot. 2003, 49, 209–221. [Google Scholar]
- Havir, E.A.; Mchale, N.A. Biochemical and developmental characterization of multiple forms of catalase in tobacco-leaves. Plant Physiol. 1987, 84, 450–455. [Google Scholar] [PubMed]
- Nakano, Y.; Asada, K. Hydrogen peroxide is scavenged by ascorbate-specific peroxidase in spinach chloroplasts. Plant Cell Physiol. 1981, 22, 867–880. [Google Scholar]
- Hodges, D.M.; Andrews, C.J.; Johnson, D.A.; Hamilton, R.I. Antioxidant compound responses to chilling stress in differentially sensitive inbred maize lines. Physiol. Plant. 1996, 98, 685–692. [Google Scholar]
- Wu, T.M.; Hsu, Y.T.; Lee, T.M. Effects of cadmium on the regulation of antioxidant enzyme activity, gene expression, and antioxidant defenses in the marine macroalga Ulva fasciata. Bot. Stud. 2009, 50, 25–34. [Google Scholar]
- Dos Santos, S.K.; Da Silva Gomes, D.; Dos Santos, L.W.O.; De Azevedo Soares, V.; Dantas, E.F.O.; Henschel, J.M.; Batista, D.S. Exogenous carnitine mitigates the deleterious effects of mild-water stress on arugula by modulating morphophysiological responses. J. Plant Growth Regul. 2023, 42, 4073–4082. [Google Scholar]
- Forde, B.G.; Roberts, M.R. Glutamate receptor-like channels in plants: A role as amino acid sensors in plant defence? F1000Prime Rep. 2014, 6, 37. [Google Scholar]
- Khan, S.; Yu, H.; Li, Q.; Gao, Y.; Sallam, B.N.; Wang, H.; Liu, P.; Jiang, W. Exogenous application of amino acids improves the growth and yield of lettuce by enhancing photosynthetic assimilation and nutrient availability. Agronomy 2019, 9, 266. [Google Scholar] [CrossRef]
- Oney-Birol, S. Exogenous L-carnitine promotes plant growth and cell division by mitigating genotoxic damage of salt stress. Sci. Rep. 2019, 9, 17229. [Google Scholar]
- Gokce, A. Investigation of the Effects of Carnitine on the Antioxidant Defense System of Aba Deficient Mutants Under Salt Stress. Master’s Thesis, Ege University, Izmir, Turkey, 2015. [Google Scholar]
- Perata, P.; Guglielminetti, L.; Alpi, A. Mobilization of endosperm reserves in cereal seeds under anoxia. Ann. Bot. 1997, 79, 49–56. [Google Scholar] [CrossRef]
- Vartapetian, B.B.; Jackson, M.B. Plant adaptations to anaerobic stress. Ann. Bot. 1997, 79, 3–20. [Google Scholar] [CrossRef]
- Trelease, R.N.; Doman, D.C. Chapter 6—Mobilization of oil and wax reserves. In Germination and Reserve Mobilization; Murray, D.R., Ed.; Academic Press: Cambridge, MA, USA, 1984; pp. 201–245. [Google Scholar]
- Comai, L.; Dietrich, R.A.; Maslyar, D.J.; Baden, C.S.; Harada, J.J. Coordinate expression of transcriptionally regulated isocitrate lyase and malate synthase genes in Brassica napus L. Plant Cell 1989, 1, 293–300. [Google Scholar] [CrossRef]
- Gerbling, H.; Gerhardt, B. Carnitine-acyltransferase activity of mitochondria from mung-bean hypocotyls. Planta 1988, 174, 90–93. [Google Scholar] [CrossRef] [PubMed]
- Schönfeld, P.; Wojtczak, L. Short-and medium-chain fatty acids in energy metabolism: The cellular perspective. J. Lipid Res. 2016, 57, 943–954. [Google Scholar] [CrossRef]
- Rurek, M.; Woyda-Ploszczyca, A.M.; Jarmuszkiewicz, W. Biogenesis of mitochondria in cauliflower (Brassica oleracea var. botrytis) curds subjected to temperature stress and recovery involves regulation of the complexome, respiratory chain activity, organellar translation and ultrastructure. Biochim. Biophys. Acta-Bioenerg. 2015, 1847, 399–417. [Google Scholar] [CrossRef] [PubMed][Green Version]
- Kerbler, S.M.; Taylor, N.L.; Millar, A.H. Cold sensitivity of mitochondrial ATP synthase restricts oxidative phosphorylation in Arabidopsis thaliana. New Phytol. 2019, 221, 1776–1788. [Google Scholar] [CrossRef]
- Erdal, S.; Turk, H. Cysteine-induced upregulation of nitrogen metabolism-related genes and enzyme activities enhance tolerance of maize seedlings to cadmium stress. Environ. Exp. Bot. 2016, 132, 92–99. [Google Scholar] [CrossRef]
- Gokce, A.; Sekmen-Cetinel, A.H.; Turkan, I. Carnitine modulates antioxidative defense in ABI2 mutant under salt stress. Plant Growth Regul. 2024, 104, 359–376. [Google Scholar] [CrossRef]
- Turk, H.; Erdal, S.; Dumlupinar, R. Carnitine-induced physio-biochemical and molecular alterations in maize seedlings in response to cold stress. Arch. Agron. Soil Sci. 2020, 66, 925–941. [Google Scholar] [CrossRef]





| Transitions Corresponding to Standards | Standards |
|---|---|
| 316.1 > 85.1 | Decanoyl-L-Carnitine |
| 402.2 > 85.1 | Palmitoyl-L-Carnitine |
| 428.2 > 85.1 | Stearoyl-L-Carnitine |
| 162 > 103 | L-carnitine |
| Name | Target Gene | Primer Sequences |
|---|---|---|
| Isocitrate lyase | icl1 forward | 5′-GAGATGGCCAAGAAGCTGTG-3′ |
| icl1 reverse | 5′-GTAGATGGTGTCCAGGTGCT-3′ | |
| Malate synthase | mas1 forward | 5′-TCGACTTCGGCCTCTACTTC-3′ |
| mas1 reverse | 5′-ATCCTCGCTTCTCTGGAGTG-3′ | |
| Citrate synthase | CS forward | 5′-TGCTCACAGTGGAGTTTTGC-3′ |
| CS reverse | 5′-AACACTCTTCGGCCTCTCAA-3′ | |
| Cytochrome oxidase | COX19 forward | 5′-CATGAGTGCGACTTGGAGAA-3′ |
| COX19 reverse | 5′-TCAGGAGATGTACCCGCTTC-3′ | |
| Lipase | Lipase forward | 5′-TTGCTCCGGGAGAGAACTTA-3′ |
| Lipase reverse | 5′-CAAGCAGTTCTCGACATCCA-3′ | |
| Pyruvate dehydrogenase | Pdh1 forward | 5′-CTCAACATTTCGGCCCTCTG-3’ |
| Pdh1 reverse | 5′-CATAGTCGCCACGCTTGTAG-3′ | |
| ATP synthase | ATP6 forward | 5′-CACTTAACGAGCACCACCAG-3′ |
| ATP6 reverse | 5′-GGATCCTGCAGACTCTCTCC-3′ | |
| Glutamate dehydrogenase | GDH1 forward | 5′-AGGAAGCTCGTCAACTCCAA-3′ |
| GDH1 reverse | 5′-AGAGCAGCCTCGTTGAGGTA-3′ | |
| Glutamine synthase | GS1 forward | 5′-GCAATCCTGAACCTTTCTCTG-3′ |
| GS1 reverse | 5′-GATGCTCGCAGTCTCATGTT-3′ | |
| β-actin | actb1 forward | 5′-GTGACAATGGCACTGGAATG-3′ |
| actb1 reverse | 5′-CCATGCTCAATCGGGTACTT-3′ |
| Soluble | Total | α-Amylase | Isocitrate Lyase | Malate Synthase | |
|---|---|---|---|---|---|
| Protein Content (mg g−1 FW) | Carbohydrate Content (mg g−1 FW) | (U mg Protein−1 FW) | (U mg Protein−1 FW) | (U mg Protein−1 FW) | |
| Control | 12.790 ± 0.186 c | 137.623 ± 0.258 a | 73.227 ± 0.148 c | 1.340 ± 0.043 d | 7.203 ± 0.101 d |
| 5 C | 14.527 ± 0.161 b | 116.850 ± 0.093 b | 83.107 ± 0.173 b | 1.777 ± 0.028 c | 9.487 ± 0.097 c |
| 7.5 C | 15.837 ± 0.136 a | 102.300 ± 0.130 d | 92.293 ± 0.131 a | 2.243 ± 0.036 a | 12.277 ± 0.056 a |
| 10 C | 14.263 ± 0.194 b | 109.696 ± 0.123 c | 82.497 ± 0.393 b | 2.024 ± 0.018 b | 10.333 ± 0.083 b |
| Palmitic Acid | Stearic Acid | alfa-Linolenic Acid | Eicosenoic Acid | ||
|---|---|---|---|---|---|
| Seed | Control | 12.371 ± 0.013 c | 2.455 ± 0.214 c | 1.092 ± 0.026 c | 0.317 ± 0.002 c |
| 5 C | 12.577 ± 0.069 b | 2.997 ± 0.116 b | 1.250 ± 0.023 b | 0.332 ± 0.001 ab | |
| 7.5 C | 12.790 ± 0.021 a | 3.584 ± 0.044 a | 1.413 ± 0.049 a | 0.335 ± 0.001 a | |
| 10 C | 12.606 ± 0.047 b | 3.382 ± 0.116 ab | 1.303 ± 0.025 b | 0.328 ± 0.001 b | |
| Root | Control | 24.545 ± 0.156 c | 2.349 ± 0.150 b | 3.087 ± 0.006 d | 0.289 ± 0.002 a |
| 5 C | 25.457 ± 0.087 b | 3.734 ± 0.002 a | 3.173 ± 0.018 c | 0.277 ± 0.002 b | |
| 7.5 C | 26.295 ± 0.115 a | 3.898 ± 0.541 a | 3.330 ± 0.020 a | 0.190 ± 0.002 c | |
| 10 C | 25.578 ± 0.248 b | 3.504 ± 0.032 a | 3.265 ± 0.012 b | 0.203 ± 0.0002 d | |
| Hypocotyl | Control | 24.333 ± 0.169 c | 2.473 ± 0.191 c | 11.732 ± 0.229 c | 0.287 ± 0.001 c |
| 5 C | 25.156 ± 0.305 b | 3.312 ± 0.140 b | 13.672 ± 0.120 b | 0.288 ± 0.0004 b | |
| 7.5 C | 26.0317 ± 0.169 a | 4.322 ± 0.065 a | 14.954 ± 0.525 a | 0.333 ± 0.0004 a | |
| 10 C | 25.562 ± 0.102 ab | 3.623 ± 0.272 b | 13.970 ± 0.096 b | 0.294 ± 0.001 b |
Disclaimer/Publisher’s Note: The statements, opinions and data contained in all publications are solely those of the individual author(s) and contributor(s) and not of MDPI and/or the editor(s). MDPI and/or the editor(s) disclaim responsibility for any injury to people or property resulting from any ideas, methods, instructions or products referred to in the content. |
© 2025 by the authors. Licensee MDPI, Basel, Switzerland. This article is an open access article distributed under the terms and conditions of the Creative Commons Attribution (CC BY) license (https://creativecommons.org/licenses/by/4.0/).
Share and Cite
Turk, H.; Genisel, M.; Dumlupinar, R. The Regulatory Role of Exogenous Carnitine Applications in Lipid Metabolism, Mitochondrial Respiration, and Germination in Maize Seeds (Zea mays L.). Life 2025, 15, 631. https://doi.org/10.3390/life15040631
Turk H, Genisel M, Dumlupinar R. The Regulatory Role of Exogenous Carnitine Applications in Lipid Metabolism, Mitochondrial Respiration, and Germination in Maize Seeds (Zea mays L.). Life. 2025; 15(4):631. https://doi.org/10.3390/life15040631
Chicago/Turabian StyleTurk, Hulya, Mucip Genisel, and Rahmi Dumlupinar. 2025. "The Regulatory Role of Exogenous Carnitine Applications in Lipid Metabolism, Mitochondrial Respiration, and Germination in Maize Seeds (Zea mays L.)" Life 15, no. 4: 631. https://doi.org/10.3390/life15040631
APA StyleTurk, H., Genisel, M., & Dumlupinar, R. (2025). The Regulatory Role of Exogenous Carnitine Applications in Lipid Metabolism, Mitochondrial Respiration, and Germination in Maize Seeds (Zea mays L.). Life, 15(4), 631. https://doi.org/10.3390/life15040631

