Kinetics of Chlorophyll Degradation in Japanese Maple (Acer palmatum) Leaves with In Situ Heating Visible and Near-Infrared Spectroscopic Monitoring
Abstract
1. Introduction

2. Materials and Methods
2.1. Materials
2.2. In Situ Heating Visible Near-Infrared Spectroscopic Monitoring System
2.3. Visible Spectroscopic Monitoring System in the Incubators
2.4. Visible Near-Infrared Spectroscopic Measurements of Heated Leaves
2.5. Microscopic Fluorescence Spectroscopy of Heated Leaves
2.6. Determination of Absorption Spectra and Band Areas
3. Results and Discussion
3.1. Visible Spectral Bands of the Fresh Green Japanese Maple Leaves
3.2. Changes in Visible Spectra and Colors of Heated Japanese Maple Leaves
3.3. Changes in Fluorescence Spectra of Heated Japanese Maple Leaves
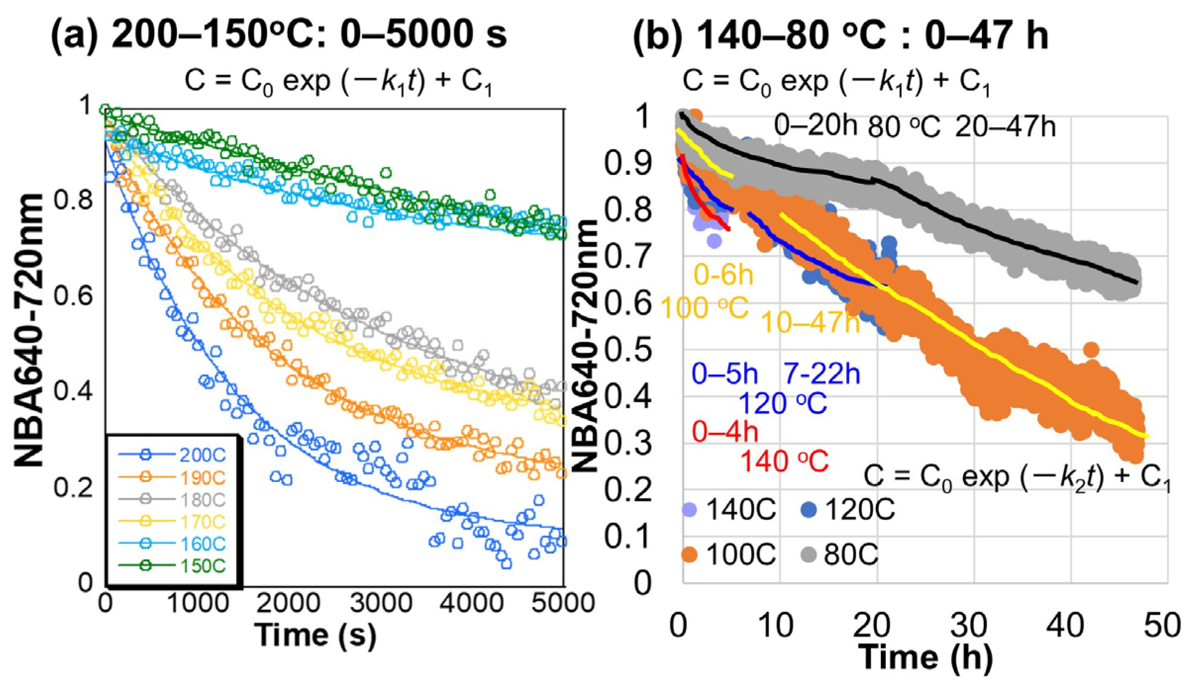
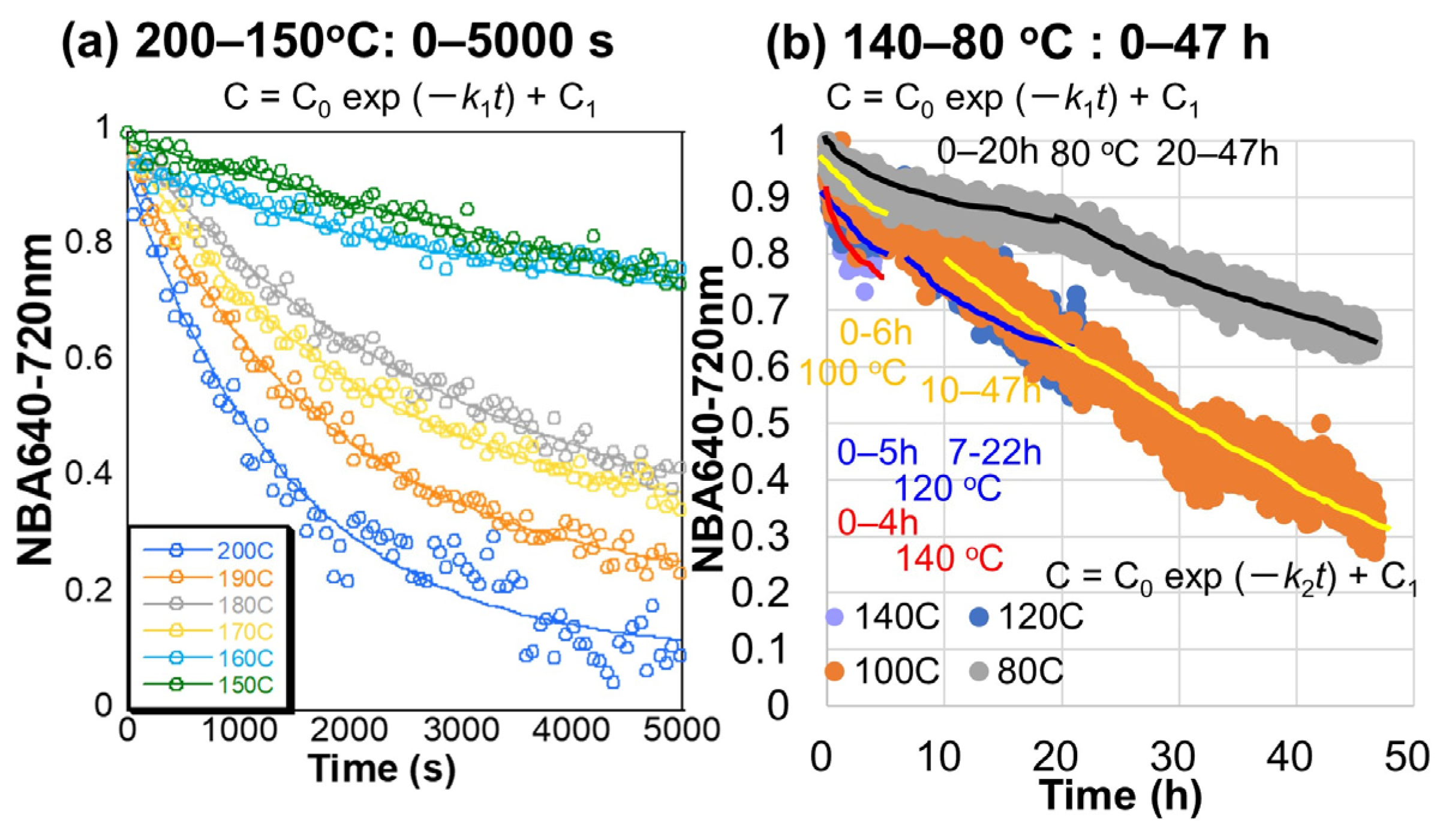
3.4. Chlorophyll Decreases at 200–150 °C
3.5. Chlorophyll Decreases at 140–80 °C
3.6. Chlorophyll Decreases at 60–40 °C
3.7. Chlorophyll Decreases at 47, 40, and 29 °C
4. Kinetics of Chlorophyll Degradation
4.1. Kinetic Analyses of Changes with Time in the Normalized 640–720 nm Band Areas
4.2. Changes with Temperature of the First-Order Decrease Rate Constants
4.3. Different Chlorophyll Degradation Mechanisms
5. Comparison of Chl a Decrease Rates Between the Heating Experiments and Natural Processes
5.1. Chlorophyll Degradation Pathways and Kinetics: Heating Experiments and Nature
5.2. Chlorophyll Degradation Mechanisms
6. Conclusions
- The Chl a decrease rates from the normalized 640–720 nm band areas showed two different linear trends in the Arrhenius plot for 200–60 °C with an activation energy Ea = 38 kJ·mol−1 and for 60–30 °C with Ea = 91 kJ·mol−1.
- Fluorescence maxima at 686 and 732 nm of Chl a are around the same at 30–50 °C, but blueshifted until 664 and 706 nm at higher temperatures and further to 656 nm for the NIR spots.
- These blueshifts of fluorescence bands at temperatures higher than 60 °C can be explained by dissociation of Chl a from photosynthetic proteins due to their thermal denaturation.
- The faster Chl a decrease rate constants kf for the natural senescence of the Japanese maple leaves in our previous study [9] are close to the extension of the linear trend of the initial Chl a decrease rates k1 at 200–60 °C with Ea = 38 kJ·mol−1.
- The slower Chl a decrease rate constants ks for the natural senescence of the Japanese maple leaves in our previous study [9] are close to the extension of the linear trend of the initial Chl a decrease rates k1 at 60–30 °C with Ea = 91 kJ·mol−1.
- Since the slower rate constant ks is close to the Chl a decrease rate of cyanobacteria (PCC6803) with photosystems (wild type), while the faster rate kf is close to that of cyanobacteria without photosystems (PSI + II) (mutant) [28], the former and the latter correspond to the breakdown of Chl a bound to photosynthetic proteins and dissociated from them, respectively.
- The present in situ heating Vis and NIR spectroscopic monitoring combined with fluorescence spectroscopy can provide effective methods for simulating Chl a degradation processes in plants, especially for their kinetic behavior, but further studies are needed to examine its validity for different plant species.
Author Contributions
Funding
Institutional Review Board Statement
Informed Consent Statement
Data Availability Statement
Acknowledgments
Conflicts of Interest
References
- Blankenship, R.E. Molecular Mechanisms of Photosynthesis, 2nd ed.; John Wiley & Sons: Oxford, UK, 2014; 296p. [Google Scholar]
- Wang, P.; Grimm, B. Connecting chlorophyll metabolism with accumulation of the photosynthetic apparatus. Trends Plant Sci. 2021, 26, 484–495. [Google Scholar] [CrossRef] [PubMed]
- Schenk, N.; Schelbert, S.; Kanwischer, M.; Goldschmidt, E.E.; Dörmann, P.; Hörtensteiner, S. The chlorophyllases AtCLH1 and AtCLH2 are not essential for senescence-related chlorophyll breakdown in Arabidopsis thaliana. FEBS Lett. 2007, 581, 5517–5525. [Google Scholar] [CrossRef] [PubMed]
- Azoulay Shemer, T.; Harpaz-Saad, S.; Belausov, E.; Lovat, N.; Krokhin, O.; Spicer, V.; Standing, K.G.; Goldschmidt, E.E.; Eyal, Y. Citrus chlorophyllase dynamics at ethylene-induced fruit color-break: A study of chlorophyllase expression, post-translational processing kinetics and in-situ intracellular localization. Plant Physiol. 2008, 148, 108–118. [Google Scholar] [CrossRef]
- Schelbert, S.; Aubry, S.; Burla, B.; Agne, B.; Kessler, F.; Krupinska, K.; Hörtensteiner, S. Pheophytin pheophorbide hydrolase (pheophytinase) is involved in chlorophyll breakdown during leaf senescence in Arabidopsis. Plant Cell 2009, 21, 767–785. [Google Scholar] [CrossRef] [PubMed]
- Hörtensteiner, S.; Krautler, B. Chlorophyll breakdown in higher plants. Biochim. Biophys. Acta 2011, 1807, 977–988. [Google Scholar] [CrossRef] [PubMed]
- Aubry, S.; Christ, B.; Krautler, B.; Martinoia1, E.; Thomas, H.; Zipfel, C. An evergreen mind and a heart for the colors of fall. J. Exp. Bot. 2021, 72, 4625–4633. [Google Scholar] [CrossRef] [PubMed]
- Tanaka, A.; Ito, H. Chlorophyll degradation and its physiological function. Plant Cell Physiol. 2024, pcae093. [Google Scholar] [CrossRef]
- Nakashima, S.; Yamakita, E. In situ visible spectroscopic daily monitoring of senescence of Japanese maple (Acer palmatum) leaves. Life 2023, 13, 2030. [Google Scholar] [CrossRef]
- Park, S.-Y.; Yu, J.-W.; Park, J.-S.; Li, J.; Yoo, S.-C.; Lee, N.-Y.; Lee, S.-K.; Jeong, S.-W.; Seo, H.S.; Koh, H.-J.; et al. The senescence-induced staygreen protein regulates chlorophyll degradation. Plant Cell 2007, 19, 1649–1664. [Google Scholar] [CrossRef]
- Hörtensteiner, S. Stay-green regulates chlorophyll and chlorophyll-binding protein degradation during senescence. Trends Plant Sci. 2009, 14, 155–162. [Google Scholar] [CrossRef]
- Sato, T.; Shimoda, Y.; Matsuda, K.; Tanaka, A.; Ito, H. Mg-dechelation of chlorophyll a by Stay-Green activates chlorophyll b degradation through expressing Non-Yellow Coloring 1 in Arabidopsis thaliana. J. Plant Physiol. 2018, 222, 94–102. [Google Scholar] [CrossRef] [PubMed]
- Clementson, L.A.; Wojtasiewicz, B. Dataset on the absorption characteristics of extracted phytoplankton pigments. Data Brief 2019, 24, 103875. [Google Scholar] [CrossRef] [PubMed]
- Dixon, J.M.; Taniguchi, M.; Lindsey, J.S. PhotochemCAD 2. A refined program with accompanying spectral databases for photochemical calculations. Photochem. Photobiol. 2005, 81, 212–213. [Google Scholar] [CrossRef] [PubMed]
- Taniguchi, M.; Lindsay, J.S. Absorption and fluorescence spectral database of chlorophylls and analogues. Photochem. Photobiol. 2021, 97, 136–165. [Google Scholar] [CrossRef]
- Jockusch, S.; Krautler, B. The red chlorophyll catabolite (RCC) is an inefficient sensitizer of singlet oxygen—Photochemical studies of the methyl ester of RCC. Photochem. Photobiol. Sci. 2020, 19, 668–673. [Google Scholar] [CrossRef] [PubMed]
- Jockusch, S.; Turro, N.J.; Banala, S.; Kräutler, B. Photochemical studies of a fluorescent chlorophyll catabolite—Source of bright blue fluorescence in plant tissue and efficient sensitizer of singlet oxygen. Photochem. Photobiol. Sci. 2014, 13, 407–411. [Google Scholar] [CrossRef] [PubMed]
- Knoppová, J.; Sobotka, R.; Tichý, M.; Yu, J.; Konik, P.; Halada, P.; Nixon, P.J.; Komenda, J. Discovery of a chlorophyll binding protein complex involved in the early steps of photosystem II assembly in Synechocystis. Plant Cell 2014, 26, 1200–1212. [Google Scholar] [CrossRef] [PubMed]
- Wientjes, E.; Philippi, J.; Borst, J.W.; van Amerongen, H. Imaging the photosystem I/photosystem II chlorophyll ratio inside the leaf. Biochim. Biophys. Acta 2017, 1858, 259–265. [Google Scholar] [CrossRef]
- Saito, K.; Mitsuhashi, K.; Ishikita, H. Dependence of the chlorophyll wavelength on the orientation of a charged group: Why does the accessory chlorophyll have a low site energy in photosystem II? J. Photochem. Photobiol. A 2020, 402, 112799. [Google Scholar] [CrossRef]
- Agostini, A.; Bína, D.; Barcytė, D.; Bortolus, M.; Eliáš, M.; Carbonera, D.; Litvín, R. Eustigmatophyte model of red-shifted chlorophyll a absorption in light-harvesting complexes. Commun. Biol. 2024, 7, 1406. [Google Scholar] [CrossRef]
- Li, X.; Huang, G.; Zhu, L.; Hao, C.; Sui, S.-F.; Qin, X. Structure of the red-shifted Fittonia albivenis photosystem I. Nat. Commun. 2024, 15, 6325. [Google Scholar] [CrossRef]
- Franck, F.; Juneau, P.; Popovic, R. Resolution of the Photosystem I and Photosystem II contributions to chlorophyll fluorescence of intact leaves at room temperature. Biochim. Biophys. Acta 2002, 1556, 239–246. [Google Scholar] [CrossRef] [PubMed]
- Lamb, J.J.; Rokke, G.; Hohmann-Marriott, M.F. Chlorophyll fluorescence emission spectroscopy of oxygenic organisms at 77 K. Photosynthetica 2018, 56, 105–124. [Google Scholar] [CrossRef]
- Wheldale, M. The Anthocyanin Pigments of Plants; Cambridge Univ. Press: London, UK, 1916; pp. 126–141. [Google Scholar]
- Hoch, W.; Zeldin, E.L.; McCown, B.H. Physiological significance of anthocyanins during autumnal leaf senescence. Tree Physiol. 2001, 21, 1–8. [Google Scholar] [CrossRef] [PubMed]
- Nakashima, S.; Nagasawa, A.; Yokokura, K.; Shukuin, Y.; Takeda, N.; Yamamoto, K. Daily monitoring of ripening processes of a tomato using an original handy visible-near infrared spectrometer. Appl. Spectrosc. Pract. 2023, 1, 27551857231181923. [Google Scholar] [CrossRef]
- Vavilin, D.; Brune, D.C.; Vermaas, W. 15N-labeling to determine chlorophyll synthesis and degradation in Synechocystis sp. PCC 6803 strains lacking one or both photosystems. Biochim. Biophys. Acta 2005, 1708, 91–101. [Google Scholar] [CrossRef]
- Thompson, L.K.; Blaylock, R.; Sturtevant, J.M.; Brudvig, G.W. Molecular basis of the heat denaturation of photosystem II. Biochemistry 1989, 28, 6686–6695. [Google Scholar] [CrossRef]
- Yamane, Y.; Kashino, Y.; Koike, H.; Satoh, K. Effects of high temperatures on the photosynthetic systems in spinach: Oxygen-evolving activities, fluorescence characteristics and the denaturation process. Photosynth. Res. 1998, 57, 51–59. [Google Scholar] [CrossRef]
- Wang, J.; Shan, J.; Xu, Q.; Ruan, X.; Gong, Y.; Kuang, T.; Zhao, N. Light- and heat-induced denaturation of Photosystem II core-antenna complexes CP43 and CP47. J. Photochem. Photobiol. B Biol. 1999, 50, 189–196. [Google Scholar] [CrossRef]
- Lípová, L.; Krchňák, P.; Komenda, J.; Ilík, P. Heat-induced disassembly and degradation of chlorophyll-containing protein complexes in vivo. Biochim. Biophys. Acta 2010, 1797, 63–70. [Google Scholar] [CrossRef] [PubMed]
- Canjura, F.L.; Schwartz, S.J.; Nunes, R.V. Degradation kinetics of chlorophylls and chlorophyllides. J. Food Sci. 1991, 56, 1639–1643. [Google Scholar] [CrossRef]
- Rudra, S.G.; Shivhare, U.S.; Sarkar, B.C.; Ahmed, J. Thermal chlorophyll degradation kinetics of mint leaves puree. Int. J. Food Prop. 2007, 10, 853–865. [Google Scholar]
- Rudra, S.G.; Sarkar, B.C.; Shivhare, U.S. Thermal degradation kinetics of chlorophyll in pureed coriander leaves. Food Bioprocess Technol. 2007, 1, 91–99. [Google Scholar] [CrossRef]
- Suzuki, T.; Sugimoto, T.; Kotani, K.; Kuramoto, Y.; Shibayama, K. Compact FTIR engine made through MOEMS technology. In Proceedings of the SPIE 10931, MOEMS and Miniaturized Systems XVIII, San Francisco, CA, USA, 2–4 February 2019; Volume 109310X. [Google Scholar]
- Nakashima, S.; Isono, Y.; Kimura, T.; Kanaji, J.; Shukuin, Y.; Takeda, N.; Yoshida, Y.; Hamasaki, T.; Watanabe, D.; Tsutsumi, H.; et al. Visible and near infrared spectroscopy of rocks for rock strength evaluation. In Proceedings of the 8th Asian Rock Mechanics Symposium (ARMS8), Sapporo, Japan, 14–16 October 2014; Volume RP5-3, pp. 354–364. [Google Scholar]
- Okada, K.; Nakashima, S. Combined microspectroscopic characterization of a red-colored granite rock sample. Appl. Spectrosc. 2019, 73, 781–793. [Google Scholar] [CrossRef] [PubMed]
- Yamakita, E.; Moriya, S.; Nakashima, S. Organic boundaries between a moss species and a limestone as analyzed by multiple micro-spectroscopic methods. Catena 2021, 204, 106426. [Google Scholar] [CrossRef]
- Clement, A.; Dorais, M.; Vernon, M. Nondestructive measurement of fresh tomato lycopene content and other physicochemical characteristics using visible-NIR Spectroscopy. J. Agric. Food Chem. 2008, 56, 9813–9818. [Google Scholar] [CrossRef] [PubMed]
- Tiwari, G.; Slaughter, D.C.; Cantwell, M. Nondestructive maturity determination in green tomatoes using a handheld visible and near infrared instrument. Postharvest Biol. Technol. 2013, 86, 221–229. [Google Scholar] [CrossRef]
- Seifert, B.; Pflanz, M.; Zude, M. Spectral shift as advanced index for fruit chlorophyll breakdown. Food Bioprocess Technol. 2014, 7, 2050–2059. [Google Scholar] [CrossRef]
- Acharya, U.K.; Subedi, P.P.; Walsh, K.B. Robustness of tomato quality evaluation using a portable Vis-SWNIRS for dry matter and colour. Int. J. Anal. Chem. 2017, 2017, 2863454. [Google Scholar] [CrossRef] [PubMed]
- Gitelson, A.; Viña, A.; Solovchenko, A.; Arkebauer, T.; Inoue, Y. Derivation of canopy light absorption coefficient from reflection spectra. Remote Sens. Environ. 2019, 231, 111276. [Google Scholar] [CrossRef]
- Weyer, L.G.; Lo, S.-C. Spectra–Structure Correlations in the Near-infrared. In Handbook of Vibrational Spectroscopy; John Wiley & Sons, Ltd.: Hoboken, NJ, USA, 2006. [Google Scholar] [CrossRef]
- Alwis, D.D.D.H.; Chandrika, U.G.; Jayaweera, P.M. Spectroscopic studies of neutral and chemically oxidized species of β-carotene, lycopene and norbixin in CH2Cl2: Fluorescence from intermediate compounds. J. Lumin. 2015, 158, 60–64. [Google Scholar] [CrossRef]
- Barragán, R.C.; Strojnik, M.; Rodríguez-Rivas, A.; Torales, G.G.; González, F.J. Optical spectral characterization of leaves for Quercus Resinosa and Magnolifolia species in two senescent states. In Proceedings of the SPIE 10765, Infrared Remote Sensing and Instrumentation XXVI, San Diego, CA, USA, 18 September 2018; p. 1076511. [Google Scholar] [CrossRef]
- Borsarelli, C.D.; Mercadante, A.Z. Thermal and photochemicak degradation of carotenoids. In Carotenoids: Physical, Chemical, and Biological Functions and Properties; CRC Press: Boca Raton, FL, USA, 2009; pp. 229–253. [Google Scholar]
- Lichtenthaler, H.K. Chlorophyll Fluorescence Signatures of Leaves during the Autumnal Chlorophyll Breakdown. J. Plant Physiol. 1987, 131, 101–110. [Google Scholar] [CrossRef]
- Lingvay, M.; Akhtar, P.; Sebok-Nagy, K.; Páli, T.; Lambrev, P.H. Photobleaching of Chlorophyll in Light-Harvesting Complex II Increases in Lipid Environment. Front. Plant Sci. 2020, 11, 849. [Google Scholar] [CrossRef] [PubMed]
- Zavafer, A.; Manchilla, C. Concepts of photochemical damage of Photosystem II and the role of excessive excitation. J. Photochem. Photobiol. C Photochem. Rev. 2021, 47, 100421. [Google Scholar] [CrossRef]
- Bína, D.; Gardian, Z.; Herbstová, M.; Kotabová, E.; Koník, P.; Litvín, R.; Prášil, O.; Tichý, J.; Vácha, F. Novel type of red-shifted chlorophyll a antenna complex from Chromera velia: II. Biochemistry and spectroscopy. Biochim. Biophys. Acta 2014, 1837, 802–810. [Google Scholar] [CrossRef] [PubMed]
- Croce, R.; Chojnicka, A.; Morosinotto, T.; Ihalainen, J.A.; van Mourik, F.; Dekker, J.P.; Bassi, R.; van Grondelle, R. The Low-Energy Forms of Photosystem I Light-Harvesting Complexes: Spectroscopic Properties and Pigment-Pigment Interaction Characteristics. Biophys. J. 2007, 93, 2418–2428. [Google Scholar] [CrossRef] [PubMed]









| Heating | Spectra | Data Fitting Ranges | Temperature | Fitting Parameters | Rate Constants | Fitting Parameters | Rate Constants | ||||||||
|---|---|---|---|---|---|---|---|---|---|---|---|---|---|---|---|
| Duration | Interval | Period k1 | Period k2 | T (°C) | 1000/T | C0 | C1 | R | k1 (s−1) | ln k1 | C0 | C1 | R | k2 (s−1) | ln k2 |
| 6 h | 1 m | 0–5000 s | 200 | 2.113 | 0.835 | 0.096 | 0.980 | 6.89 × 10−4 | −7.28 | ||||||
| 6 h | 1 m | 0–5000 s | 190 | 2.159 | 0.754 | 0.204 | 0.996 | 5.27 × 10−4 | −7.55 | ||||||
| 6 h | 1 m | 0–5000 s | 180 | 2.207 | 0.712 | 0.273 | 0.994 | 3.32 × 10−4 | −8.01 | ||||||
| 6 h | 1 m | 0–5000 s | 170 | 2.257 | 0.661 | 0.318 | 0.995 | 4.77 × 10−4 | −7.65 | ||||||
| 6 h | 1 m | 0–5000 s | 160 | 2.309 | 0.227 | 0.734 | 0.970 | 4.15 × 10−4 | −7.79 | ||||||
| 6 h | 1 m | 0–5000 s | 150 | 2.363 | 0.330 | 0.664 | 0.966 | 2.21 × 10−4 | −8.42 | ||||||
| 6 h | 1 m | 0–4 h | 140 | 2.420 | 0.163 | 0.803 | 0.864 | 2.25 × 10−4 | −8.40 | ||||||
| 24 h | 1 m | 0–5 h | 7–22 h | 120 | 2.544 | 0.086 | 0.845 | 0.534 | 9.72 × 10−5 | −9.24 | 0.407 | 0.456 | 0.935 | 1.76 × 10−5 | −10.95 |
| 48 h | 1 m | 0–6 h | 10–47 h | 100 | 2.680 | 0.168 | 0.774 | 0.690 | 3.33 × 10−5 | −10.31 | 0.674 | 0.142 | 0.976 | 9.08 × 10−6 | −11.61 |
| 47 h | 1 m | 0–20 h | 20–47 h | 80 | 2.832 | 0.130 | 0.833 | 0.893 | 2.66 × 10−5 | −10.53 | 0.452 | 0.395 | 0.961 | 5.72 × 10−6 | −12.07 |
| 96 h | 10 m | 0–30 h | 40–96 h | 60 | 3.002 | 0.390 | 0.575 | 0.956 | 1.42 × 10−5 | −11.16 | 0.255 | 0.296 | 0.826 | 4.70 × 10−6 | −12.27 |
| 160 h | 1 h | 3–40 h | 40–155 h | 50 | 3.095 | 0.262 | 0.702 | 0.954 | 4.91 × 10−6 | −12.22 | 0.782 | 0.052 | 0.996 | 2.22 × 10−6 | −13.02 |
| 100 h | 20 m | 5–50 h | 50–97 h | 40 | 3.193 | 0.366 | 0.602 | 0.961 | 2.93 × 10−6 | −12.74 | 0.533 | 0.287 | 0.973 | 2.45 × 10−6 | −12.92 |
| 10 d | 1 h | 0–10 d | 47 | 3.124 | 0.069 | 0.919 | 0.986 | 2.73 × 10−6 | −12.81 | ||||||
| 10 d | 1 h | 0–10 d | 40 | 3.193 | 0.120 | 0.871 | 0.993 | 1.23 × 10−6 | −13.61 | ||||||
| 31 d | 1 h | 0–31 d | 29 | 3.310 | 0.108 | 0.886 | 0.996 | 3.57 × 10−7 | −14.85 | ||||||
| Maple Leaves | Fluorescence Band Maxima (nm) | |||||||||
|---|---|---|---|---|---|---|---|---|---|---|
| Heating | by Ex. 455 nm (6 s × 5 = 30 s) | |||||||||
| T (°C) | Duration | Outside Vis/NIR Spots | Vis Spots | NIR Spots | ||||||
| 20 | Fresh | 532 | 686 | 732 | 532 | 686 | 732 | 532 | 686 | 732 |
| 30 | 168 h | 531 | 688 | 729 | ||||||
| 40 | 160 h | 527 | 682 | 727 | 528 | 678 | 727 | 528 | ||
| 50 | 160 h | 527 | 688 | 729 | 529 | 680 | 727 | 530 | 683 | 727 |
| 60 | 96 h | 524 | 678 | 716 | 530 | 667 | 711 | 533 | 665 | 727 |
| 80 | 47 h | 525 | 680 | 721 | 529 | 664 | 715 | 532 | 660 | 727 |
| 100 | 48 h | 530 | 681 | 716 | 527 | 668 | 709 | 533 | 658 | |
| 120 | 24 h | 529 | 682 | 717 | 529 | 677 | 709 | 534 | 658 | |
| 140 | 6 h | 527 | 676 | 719 | 529 | 681 | 725 | 530 | 657 | 713 |
| 150 | 6 h | 528 | 675 | 716 | ||||||
| 160 | 6 h | 535 | 673 | 715 | 530 | 676 | 716 | 534 | 657 | 727 |
| 170 | 6 h | 530 | 674 | 707 | ||||||
| 180 | 6 h | 530 | 674 | 709 | 540 | 540 | 658 | |||
| 190 | 6 h | 536 | 670 | 706 | ||||||
| 200 | 6 h | 535 | 539 | 524 | ||||||
| Sample | Spectra | Data Fitting Ranges | Temperature | Fitting Parameters | Rate Constants | Fitting Parameters | Rate Constants | ||||||||
|---|---|---|---|---|---|---|---|---|---|---|---|---|---|---|---|
| Interval | Period ks | Period kf | T (°C) | 1000/T | C0 | C1 | R | ks (s−1) | ln ks | C0 | C1 | R | ks (s−1) | ln kf | |
| Momiji2022 | 1 d | 24–40 d | 12.9 | 3.496 | 0.408 | 0.783 | 0.589 | 2.60 × 10−7 | −15.16 | ||||||
| 1 d | 57–65 d | 8.7 | 3.548 | 2.020 | 0.322 | 0.980 | 1.90 × 10−6 | −13.17 | |||||||
| Momiji2021 | 1 d | 0–10 d | 14.6 | 3.475 | 0.681 | 0.361 | 0.924 | 3.10 × 10−7 | −14.99 | ||||||
| 1 d | 30–40 d | 9.2 | 3.542 | 0.803 | −0.047 | 0.982 | 5.40 × 10−6 | −12.13 | |||||||
| Momiji2016 | 1 d | 27–32 d | 13.0 | 3.495 | 1.700 | 0.000 | 0.424 | 2.30 × 10−6 | −12.98 | ||||||
| Tomato | 1 d | 0–100 d | 25.9 | 3.344 | 8.190 | −0.590 | 0.988 | 4.07 × 10−7 | −14.71 | ||||||
| Synechocystis | With PS (slow) | 30.0 | 3.299 | 8.60 × 10−7 | −13.97 | ||||||||||
| PCC6803 | Without PS (fast) | 30.0 | 3.299 | 5.60 × 10−6 | −12.09 | ||||||||||
Disclaimer/Publisher’s Note: The statements, opinions and data contained in all publications are solely those of the individual author(s) and contributor(s) and not of MDPI and/or the editor(s). MDPI and/or the editor(s) disclaim responsibility for any injury to people or property resulting from any ideas, methods, instructions or products referred to in the content. |
© 2025 by the authors. Licensee MDPI, Basel, Switzerland. This article is an open access article distributed under the terms and conditions of the Creative Commons Attribution (CC BY) license (https://creativecommons.org/licenses/by/4.0/).
Share and Cite
Nakashima, S.; Yamasaki, H.; Kanda, S. Kinetics of Chlorophyll Degradation in Japanese Maple (Acer palmatum) Leaves with In Situ Heating Visible and Near-Infrared Spectroscopic Monitoring. Life 2025, 15, 335. https://doi.org/10.3390/life15030335
Nakashima S, Yamasaki H, Kanda S. Kinetics of Chlorophyll Degradation in Japanese Maple (Acer palmatum) Leaves with In Situ Heating Visible and Near-Infrared Spectroscopic Monitoring. Life. 2025; 15(3):335. https://doi.org/10.3390/life15030335
Chicago/Turabian StyleNakashima, Satoru, Hinako Yamasaki, and Sumire Kanda. 2025. "Kinetics of Chlorophyll Degradation in Japanese Maple (Acer palmatum) Leaves with In Situ Heating Visible and Near-Infrared Spectroscopic Monitoring" Life 15, no. 3: 335. https://doi.org/10.3390/life15030335
APA StyleNakashima, S., Yamasaki, H., & Kanda, S. (2025). Kinetics of Chlorophyll Degradation in Japanese Maple (Acer palmatum) Leaves with In Situ Heating Visible and Near-Infrared Spectroscopic Monitoring. Life, 15(3), 335. https://doi.org/10.3390/life15030335

