Long-Term Effects of Elexacaftor/Tezacaftor/Ivacaftor on Nocturnal Cardiorespiratory Polygraphy Parameters in Patients with Cystic Fibrosis: A Prospective Study
Abstract
1. Introduction
2. Materials and Methods
2.1. Patients and Study Design
2.2. Data Collection
2.3. Statistical Analysis
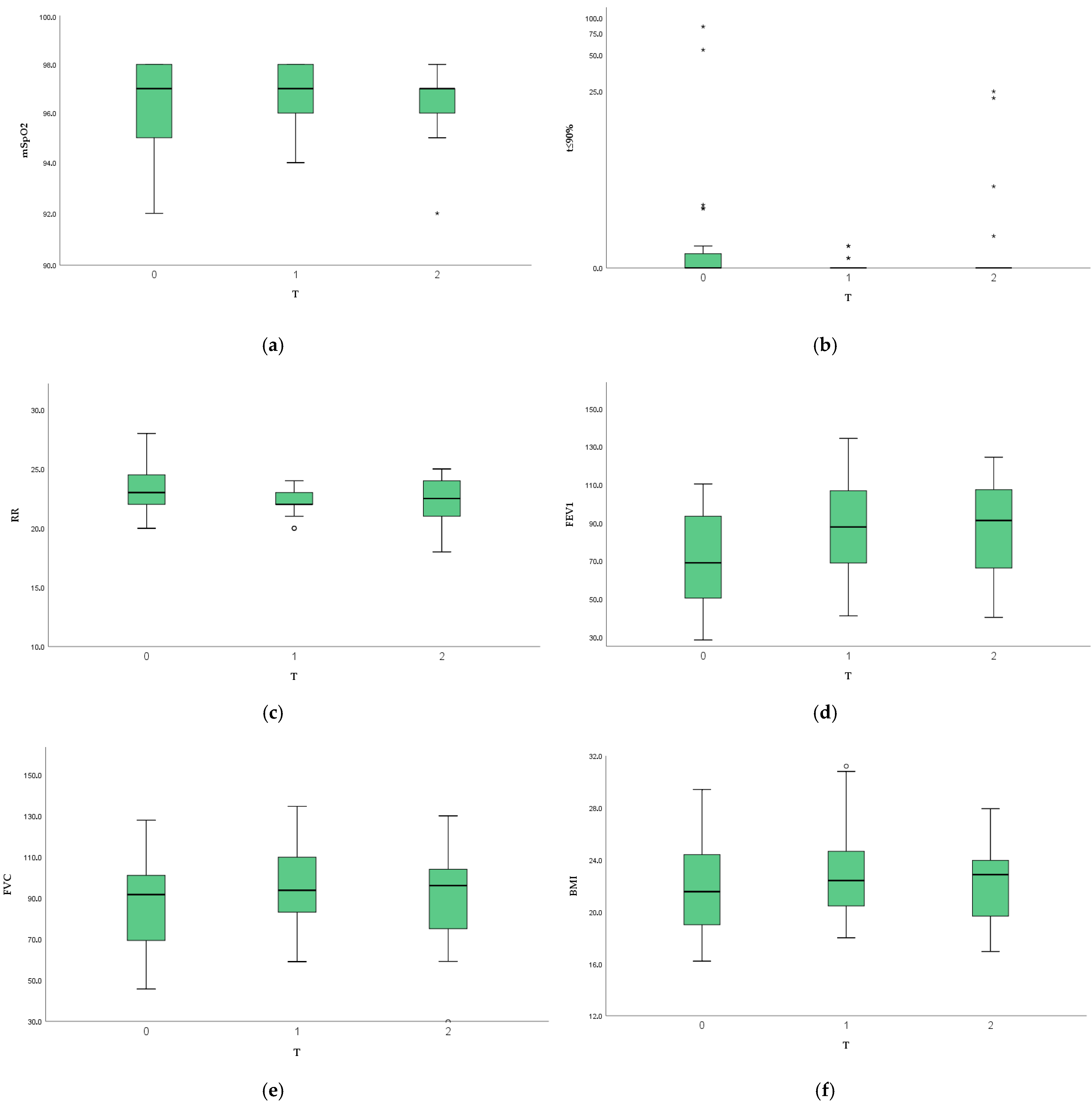
3. Results
4. Discussion
5. Conclusions
Supplementary Materials
Author Contributions
Funding
Institutional Review Board Statement
Informed Consent Statement
Data Availability Statement
Acknowledgments
Conflicts of Interest
References
- Ong, T.; Ramsey, B.W. Cystic Fibrosis: A Review. JAMA 2023, 329, 1859–1871. [Google Scholar] [CrossRef] [PubMed]
- Southern, K.W.; Castellani, C.; Lammertyn, E.; Smyth, A.; VanDevanter, D.; van Koningsbruggen-Rietschel, S.; Barben, J.; Bevan, A.; Brokaar, E.; Collins, S.; et al. Standards of Care for CFTR Variant-Specific Therapy (Including Modulators) for People with Cystic Fibrosis. J. Cyst. Fibros. 2023, 22, 17–30. [Google Scholar] [CrossRef] [PubMed]
- Taylor-Cousar, J.L.; Robinson, P.D.; Shteinberg, M.; Downey, D.G. CFTR Modulator Therapy: Transforming the Landscape of Clinical Care in Cystic Fibrosis. Lancet 2023, 402, 1171–1184. [Google Scholar] [CrossRef] [PubMed]
- Middleton, P.G.; Mall, M.A.; Dřevínek, P.; Lands, L.C.; McKone, E.F.; Polineni, D.; Ramsey, B.W.; Taylor-Cousar, J.L.; Tullis, E.; Vermeulen, F.; et al. Elexacaftor-Tezacaftor-Ivacaftor for Cystic Fibrosis with a Single Phe508del Allele. N. Engl. J. Med. 2019, 381, 1809–1819. [Google Scholar] [CrossRef]
- Jordan, K.D.; Zemanick, E.T.; Taylor-Cousar, J.L.; Hoppe, J.E. Managing Cystic Fibrosis in Children Aged 6-11yrs: A Critical Review of Elexacaftor/Tezacaftor/Ivacaftor Combination Therapy. Expert Rev. Respir. Med. 2023, 17, 97–108. [Google Scholar] [CrossRef]
- Keating, D.; Marigowda, G.; Burr, L.D.; Daines, C.; Mall, M.A.; McKone, E.F.; Ramsey, B.W.; Rowe, S.M.; Sass, L.A.; Tullis, E.; et al. VX-445-Tezacaftor-Ivacaftor in Patients with Cystic Fibrosis and One or Two Phe508del Alleles. N. Engl. J. Med. 2018, 379, 1612–1620. [Google Scholar] [CrossRef]
- Bower, J.K.; Volkova, N.; Ahluwalia, N.; Sahota, G.; Xuan, F.; Chin, A.; Weinstock, T.G.; Ostrenga, J.; Elbert, A. Real-World Safety and Effectiveness of Elexacaftor/Tezacaftor/Ivacaftor in People with Cystic Fibrosis: Interim Results of a Long-Term Registry-Based Study. J. Cyst. Fibros. 2023, 22, 730–737. [Google Scholar] [CrossRef]
- Carnovale, V.; Iacotucci, P.; Terlizzi, V.; Colangelo, C.; Ferrillo, L.; Pepe, A.; Francalanci, M.; Taccetti, G.; Buonaurio, S.; Celardo, A.; et al. Elexacaftor/Tezacaftor/Ivacaftor in Patients with Cystic Fibrosis Homozygous for the F508del Mutation and Advanced Lung Disease: A 48-Week Observational Study. J. Clin. Med. 2022, 11, 1021. [Google Scholar] [CrossRef]
- Wainwright, C.; McColley, S.A.; McNally, P.; Powers, M.; Ratjen, F.; Rayment, J.H.; Retsch-Bogart, G.; Roesch, E.; Ahluwalia, N.; Chin, A.; et al. Long-Term Safety and Efficacy of Elexacaftor/Tezacaftor/Ivacaftor in Children Aged ≥6 Years with Cystic Fibrosis and at Least One F508del Allele: A Phase 3, Open-Label Clinical Trial. Am. J. Respir. Crit. Care Med. 2023, 208, 68–78. [Google Scholar] [CrossRef]
- Gifford, A.H.; Taylor-Cousar, J.L.; Davies, J.C.; McNally, P. Update on Clinical Outcomes of Highly Effective Modulator Therapy. Clin. Chest Med. 2022, 43, 677–695. [Google Scholar] [CrossRef]
- Terlizzi, V.; Fevola, C.; Presti, S.; Castaldo, A.; Daccò, V.; Claut, L.; Sepe, A.; Majo, F.; Casciaro, R.; Esposito, I.; et al. Reported Adverse Events in a Multicenter Cohort of Patients Ages 6-18 Years with Cystic Fibrosis and at Least One F508del Allele Receiving Elexacaftor/Tezacaftor/Ivacaftor. J. Pediatr. 2024, 274, 114176. [Google Scholar] [CrossRef] [PubMed]
- Papale, M.; Manti, S.; Presti, S.; Mollica, F.; Parisi, G.F.; Leonardi, S. Sleep Respiratory Disorders in Children and Adolescents with Cystic Fibrosis and Primary Ciliary Dyskinesia. Children 2023, 10, 1707. [Google Scholar] [CrossRef]
- Reiter, J.; Breuer, O.; Cohen-Cymberknoh, M.; Forno, E.; Gileles-Hillel, A. Sleep in Children with Cystic Fibrosis: More under the Covers. Pediatr. Pulmonol. 2022, 57, 1944–1951. [Google Scholar] [CrossRef] [PubMed]
- Spicuzza, L.; Sciuto, C.; Leonardi, S.; La Rosa, M. Early Occurrence of Obstructive Sleep Apnea in Infants and Children with Cystic Fibrosis. Arch. Pediatr. Adolesc. Med. 2012, 166, 1165–1169. [Google Scholar] [CrossRef]
- Jagpal, S.K.; Jobanputra, A.M.; Ahmed, O.H.; Santiago, T.V.; Ramagopal, M. Sleep-Disordered Breathing in Cystic Fibrosis. Pediatr. Pulmonol. 2021, 56 (Suppl. S1), S23–S31. [Google Scholar] [CrossRef] [PubMed]
- Hanna, R.M.; Weiner, D.J. Overweight and Obesity in Patients with Cystic Fibrosis: A Center-Based Analysis. Pediatr. Pulmonol. 2015, 50, 35–41. [Google Scholar] [CrossRef]
- Reiter, J.; Gileles-Hillel, A.; Cohen-Cymberknoh, M.; Rosen, D.; Kerem, E.; Gozal, D.; Forno, E. Sleep Disorders in Cystic Fibrosis: A Systematic Review and Meta-Analysis. Sleep Med. Rev. 2020, 51, 101279. [Google Scholar] [CrossRef]
- Amin, R.; Bean, J.; Burklow, K.; Jeffries, J. The Relationship between Sleep Disturbance and Pulmonary Function in Stable Pediatric Cystic Fibrosis Patients. Chest 2005, 128, 1357–1363. [Google Scholar] [CrossRef]
- Fauroux, B.; Waters, K.; MacLean, J.E. Sleep in Children and Young Adults with Cystic Fibrosis. Paediatr. Respir. Rev. 2023, 46, 12–16. [Google Scholar] [CrossRef]
- de Sousa, L.P.; Liberato, F.M.G.; Vendrusculo, F.M.; Donadio, M.V.F.; Barbosa, R.R.B. Obstructive Sleep Apnea in Children and Adolescents with Cystic Fibrosis and Preserved Lung Function or Mild Impairment: A Systematic Review and Meta-Analysis of Prevalence. Sleep Med. 2021, 88, 36–43. [Google Scholar] [CrossRef]
- Shakkottai, A.; Nasr, S.Z.; Hassan, F.; Irani, S.; O’Brien, L.M.; Chervin, R.D. Sleep-Disordered Breathing in Cystic Fibrosis. Sleep Med. 2020, 74, 57–65. [Google Scholar] [CrossRef] [PubMed]
- Welsner, M.; Schulte, T.; Dietz-Terjung, S.; Weinreich, G.; Stehling, F.; Taube, C.; Strassburg, S.; Schoebel, C.; Sutharsan, S. Effect of Triple Combination CFTR Modulator Therapy on Sleep in Adult Patients with Cystic Fibrosis. Respiration 2022, 101, 766–774. [Google Scholar] [CrossRef]
- Giallongo, A.; Parisi, G.F.; Papale, M.; Manti, S.; Mulé, E.; Aloisio, D.; Terlizzi, V.; Rotolo, N.; Leonardi, S. Effects of Elexacaftor/Tezacaftor/Ivacaftor on Cardiorespiratory Polygraphy Parameters and Respiratory Muscle Strength in Cystic Fibrosis Patients with Severe Lung Disease. Genes 2023, 14, 449. [Google Scholar] [CrossRef] [PubMed]
- Dietz-Terjung, S.; Straßburg, S.; Schulte, T.; Dietz, P.; Weinreich, G.; Taube, C.; Schöbel, C.; Welsner, M.; Sutharsan, S. Sex Differences in Sleep Profiles and the Effect of Elexacaftor/Tezacaftor/Ivacaftor on Sleep Quality in Adult People with Cystic Fibrosis: A Prospective Observational Study. Diagnostics 2024, 14, 2859. [Google Scholar] [CrossRef]
- Meltzer, L.J.; Gross, J.E. Characterization of Sleep in Emerging Adults with Cystic Fibrosis on Elexacaftor/Tezacaftor/Ivacaftor. J. Cyst. Fibros. 2024, 23, 132–136. [Google Scholar] [CrossRef]
- Sermet-Gaudelus, I.; Benaboud, S.; Bui, S.; Bihouée, T.; Gautier, S.; MODUL-CF Study Group. Behavioural and Sleep Issues after Initiation of Elexacaftor-Tezacaftor-Ivacaftor in Preschool-Age Children with Cystic Fibrosis. Lancet 2024, 404, 117–120. [Google Scholar] [CrossRef]
- Douglas, T.; Deery, M.; Kimball, H.; Cobham, V.E.; Panochini, S.; Robinson, P.D.; Wainwright, C.E.; Sly, P.D.; Blake, T. Mental Health, Behaviour and Sleep Quality in Children 6-11 Years before and after Elexacaftor/Tezacaftor/Ivacaftor Initiation. J. Cyst. Fibros. 2024, 24, 571–573. [Google Scholar] [CrossRef]
- Basile, M.; Polo, J.; Henthorne, K.; DeCelie-Germana, J.; Galvin, S.; Wang, J. The Impact of Elexacaftor/Tezacaftor/Ivacaftor on Cystic Fibrosis Health-Related Quality of Life and Decision-Making about Daily Treatment Regimens: A Mixed Methods Exploratory Study. Ther. Adv. Chronic Dis. 2024, 15, 20406223241264477. [Google Scholar] [CrossRef]
- Berry, R.B.; Budhiraja, R.; Gottlieb, D.J.; Gozal, D.; Iber, C.; Kapur, V.K.; Marcus, C.L.; Mehra, R.; Parthasarathy, S.; Quan, S.F.; et al. Rules for Scoring Respiratory Events in Sleep: Update of the 2007 AASM Manual for the Scoring of Sleep and Associated Events. Deliberations of the Sleep Apnea Definitions Task Force of the American Academy of Sleep Medicine. J. Clin. Sleep Med. 2012, 8, 597–619. [Google Scholar] [CrossRef]
- World Medical Association. World Medical Association Declaration of Helsinki: Ethical Principles for Medical Research Involving Human Subjects. JAMA 2013, 310, 2191–2194. [Google Scholar] [CrossRef] [PubMed]
- Bhakta, N.R.; McGowan, A.; Ramsey, K.A.; Borg, B.; Kivastik, J.; Knight, S.L.; Sylvester, K.; Burgos, F.; Swenson, E.R.; McCarthy, K.; et al. European Respiratory Society/American Thoracic Society Technical Statement: Standardisation of the Measurement of Lung Volumes, 2023 Update. Eur. Respir. J. 2023, 62, 2201519. [Google Scholar] [CrossRef]
- Bouka, A.; Tiede, H.; Liebich, L.; Dumitrascu, R.; Hecker, C.; Reichenberger, F.; Mayer, K.; Seeger, W.; Schulz, R. Quality of Life in Clinically Stable Adult Cystic Fibrosis Out-Patients: Associations with Daytime Sleepiness and Sleep Quality. Respir. Med. 2012, 106, 1244–1249. [Google Scholar] [CrossRef] [PubMed]
- Kapouni, N.; Moustaki, M.; Douros, K.; Loukou, I. Efficacy and Safety of Elexacaftor-Tezacaftor-Ivacaftor in the Treatment of Cystic Fibrosis: A Systematic Review. Children 2023, 10, 554. [Google Scholar] [CrossRef]
- Milross, M.A.; Piper, A.J.; Norman, M.; Willson, G.N.; Grunstein, R.R.; Sullivan, C.E.; Bye, P.T. Predicting Sleep-Disordered Breathing in Patients with Cystic Fibrosis. Chest 2001, 120, 1239–1245. [Google Scholar] [CrossRef] [PubMed]
- Silva, A.M.; Descalço, A.; Salgueiro, M.; Pereira, L.; Barreto, C.; Bandeira, T.; Ferreira, R. Respiratory Sleep Disturbance in Children and Adolescents with Cystic Fibrosis. Rev. Port. Pneumol. 2016, 22, 202–208. [Google Scholar] [CrossRef]
- Naqvi, S.K.; Sotelo, C.; Murry, L.; Simakajornboon, N. Sleep Architecture in Children and Adolescents with Cystic Fibrosis and the Association with Severity of Lung Disease. Sleep Breath. 2008, 12, 77–83. [Google Scholar] [CrossRef]
- Martin, C.; Reynaud-Gaubert, M.; Hamidfar, R.; Durieu, I.; Murris-Espin, M.; Danner-Boucher, I.; Chiron, R.; Leroy, S.; Douvry, B.; Grenet, D.; et al. Sustained Effectiveness of Elexacaftor-Tezacaftor-Ivacaftor in Lung Transplant Candidates with Cystic Fibrosis. J. Cyst. Fibros. 2022, 21, 489–496. [Google Scholar] [CrossRef]
- Katz, E.S. Cystic Fibrosis and Sleep. Clin. Chest Med. 2014, 35, 495–504. [Google Scholar] [CrossRef]
- Shakkottai, A.; Kim, S.; Mitchell, R.B. Obstructive Sleep Apnea in Children with Cystic Fibrosis on Highly Effective Modulator Therapy. Pediatr. Pulmonol. 2024, 59, 2535–2542. [Google Scholar] [CrossRef] [PubMed]
- Sutharsan, S.; McKone, E.F.; Downey, D.G.; Duckers, J.; MacGregor, G.; Tullis, E.; Van Braeckel, E.; Wainwright, C.E.; Watson, D.; Ahluwalia, N.; et al. Efficacy and Safety of Elexacaftor plus Tezacaftor plus Ivacaftor versus Tezacaftor plus Ivacaftor in People with Cystic Fibrosis Homozygous for F508del-CFTR: A 24-Week, Multicentre, Randomised, Double-Blind, Active-Controlled, Phase 3b Trial. Lancet Respir. Med. 2022, 10, 267–277. [Google Scholar] [CrossRef] [PubMed]
- Olivier, M.; Kavvalou, A.; Welsner, M.; Hirtz, R.; Straßburg, S.; Sutharsan, S.; Stehling, F.; Steindor, M. Real-Life Impact of Highly Effective CFTR Modulator Therapy in Children with Cystic Fibrosis. Front. Pharmacol. 2023, 14, 1176815. [Google Scholar] [CrossRef] [PubMed]
- Savi, D.; Lucca, F.; Tridello, G.; Meneghelli, I.; Comello, I.; Tomezzoli, S.; Signorini, M.; Proietti, E.; Cucchetto, G.; Volpi, S.; et al. Long-Term Clinical Outcomes of Elexacaftor/Tezacaftor/Ivacaftor Therapy in Adults with Cystic Fibrosis and Advanced Pulmonary Disease. Respir. Med. 2023, 219, 107406. [Google Scholar] [CrossRef]
- Stewart, K.L.; Szczesniak, R.; Liou, T.G. Predicting Weight Gain in Patients with Cystic Fibrosis on Triple Combination Modulator. Pediatr. Pulmonol. 2024, 59, 1724–1730. [Google Scholar] [CrossRef]
- Gur, M.; Bar-Yoseph, R.; Hanna, M.; Abboud, D.; Keidar, Z.; Palchan, T.; Toukan, Y.; Masarweh, K.; Alisha, I.; Zuckerman-Levin, N.; et al. Effect of Trikafta on Bone Density, Body Composition and Exercise Capacity in CF: A Pilot Study. Pediatr. Pulmonol. 2023, 58, 577–584. [Google Scholar] [CrossRef]
- Gramegna, A.; Majo, F.; Alicandro, G.; Leonardi, G.; Cristiani, L.; Amati, F.; Contarini, M.; Aliberti, S.; Fiocchi, A.G.; Blasi, F. Heterogeneity of Weight Gain after Initiation of Elexacaftor/Tezacaftor/Ivacaftor in People with Cystic Fibrosis. Respir. Res. 2023, 24, 164. [Google Scholar] [CrossRef]
- Martin, C.; Burnet, E.; Ronayette-Preira, A.; de Carli, P.; Martin, J.; Delmas, L.; Prieur, B.; Burgel, P.-R. Patient Perspectives Following Initiation of Elexacaftor-Tezacaftor-Ivacaftor in People with Cystic Fibrosis and Advanced Lung Disease. Respir. Med. Res. 2021, 80, 100829. [Google Scholar] [CrossRef]
- Stallings, V.A.; Sainath, N.; Oberle, M.; Bertolaso, C.; Schall, J.I. Energy Balance and Mechanisms of Weight Gain with Ivacaftor Treatment of Cystic Fibrosis Gating Mutations. J. Pediatr. 2018, 201, 229–237.e4. [Google Scholar] [CrossRef]
- Petersen, M.C.; Begnel, L.; Wallendorf, M.; Litvin, M. Effect of Elexacaftor-Tezacaftor-Ivacaftor on Body Weight and Metabolic Parameters in Adults with Cystic Fibrosis. J. Cyst. Fibros. 2022, 21, 265–271. [Google Scholar] [CrossRef]
- Graeber, S.Y.; Vitzthum, C.; Pallenberg, S.T.; Naehrlich, L.; Stahl, M.; Rohrbach, A.; Drescher, M.; Minso, R.; Ringshausen, F.C.; Rueckes-Nilges, C.; et al. Effects of Elexacaftor/Tezacaftor/Ivacaftor Therapy on CFTR Function in Patients with Cystic Fibrosis and One or Two F508del Alleles. Am. J. Respir. Crit. Care Med. 2022, 205, 540–549. [Google Scholar] [CrossRef]


| T0 | T1 | z | p | r | |
|---|---|---|---|---|---|
| AHI | 3.30 (1.00–3.70) | 2.20 (1.80–3.80) | −0.080 | 0.936 | 0.001 |
| ODI | 2.50 (1.20–3.32) | 3.20 (1.60–4.20) | −1.132 | 0.258 | 0.19 |
| mSpO2 | 97.0 (94.7–98.0) | 97.0 (96.0–98.0) | −2.679 | 0.007 | 0.45 |
| t ≤ 90% | 0.00 (0.00–0.32) | 0.00 (0.00–0.00) | −2.805 | 0.005 | 0.47 |
| overnight RR | 23.0 (22.0–25.0) | 22.0 (22.0–23.0) | −1.973 | 0.049 | 0.33 |
| FEV1 | 68.9 (50.0–94.7) | 87.8 (68.8–107.0) | −4.619 | <0.001 | 0.78 |
| FVC | 91.6 (66.0–101.2) | 93.7 (82.1–110.4) | −4.234 | <0.001 | 0.71 |
| FEF-25 | 58.5 (38.9–93.3) | 78.6 (46.3–104.5) | −3.861 | <0.001 | 0.65 |
| FEF-50 | 45.2 (21.8–68.9) | 60.5 (35.6–93.8) | −4.210 | <0.001 | 0.71 |
| FEF-75 | 30.6 (14.3–48.4) | 36.4 (24.1–67.1) | −3.669 | <0.001 | 0.11 |
| BMI | 21.5 (19.0–24.4) | 22.4 (20.1–24.7) | −3.906 | <0.001 | 0.66 |
| T1 | T2 | z | p | r | |
|---|---|---|---|---|---|
| AHI | 2.20 (1.80–3.80) | 2.20 (0.80–3.40) | −1.400 | 0.161 | 0.24 |
| ODI | 3.20 (1.60–4.20) | 3.00 (2.27–4.30) | −0.081 | 0.936 | 0.01 |
| mSpO2 | 97.0 (96.0–98.0) | 96.8 (96.0–97.0) | −1.234 | 0.217 | 0.21 |
| t ≤ 90% | 0.00 (0.00–0.00) | 0.00 (0.00–0.00) | −1.572 | 0.116 | 0.27 |
| overnight RR | 22.0 (22.0–23.0) | 22.5 (20.7–24.0) | −0.467 | 0.641 | 0.08 |
| FEV1 | 87.8 (68.8–107.0) | 91.1 (65.5–107.9) | −0.483 | 0.629 | 0.08 |
| FVC | 93.7 (82.1–110.4) | 96.0 (74.6–104.8) | −1.549 | 0.121 | 0.26 |
| FEF-25 | 78.6 (46.3–104.5) | 89.5 (36.4–106.0) | −0.089 | 0.929 | 0.02 |
| FEF-50 | 60.5 (35.6–93.8) | 71.1 (20.9–94.6) | −0.597 | 0.551 | 0.10 |
| FEF-75 | 36.4 (24.1–67.1) | 56.0 (23.0–87.4) | −1.511 | 0.131 | 0.26 |
| BMI | 22.4 (20.1–24.7) | 22.4 (20.1–24.7) | −0.704 | 0.481 | 0.12 |
Disclaimer/Publisher’s Note: The statements, opinions and data contained in all publications are solely those of the individual author(s) and contributor(s) and not of MDPI and/or the editor(s). MDPI and/or the editor(s) disclaim responsibility for any injury to people or property resulting from any ideas, methods, instructions or products referred to in the content. |
© 2025 by the authors. Licensee MDPI, Basel, Switzerland. This article is an open access article distributed under the terms and conditions of the Creative Commons Attribution (CC BY) license (https://creativecommons.org/licenses/by/4.0/).
Share and Cite
Tosto, M.; Parisi, G.F.; Presti, S.; Papale, M.; Pecora, G.; Mulè, E.; Ornato, V.; Aloisio, D.; Manti, S.; Leonardi, S. Long-Term Effects of Elexacaftor/Tezacaftor/Ivacaftor on Nocturnal Cardiorespiratory Polygraphy Parameters in Patients with Cystic Fibrosis: A Prospective Study. Life 2025, 15, 1942. https://doi.org/10.3390/life15121942
Tosto M, Parisi GF, Presti S, Papale M, Pecora G, Mulè E, Ornato V, Aloisio D, Manti S, Leonardi S. Long-Term Effects of Elexacaftor/Tezacaftor/Ivacaftor on Nocturnal Cardiorespiratory Polygraphy Parameters in Patients with Cystic Fibrosis: A Prospective Study. Life. 2025; 15(12):1942. https://doi.org/10.3390/life15121942
Chicago/Turabian StyleTosto, Monica, Giuseppe Fabio Parisi, Santiago Presti, Maria Papale, Giulia Pecora, Enza Mulè, Vittorio Ornato, Donatella Aloisio, Sara Manti, and Salvatore Leonardi. 2025. "Long-Term Effects of Elexacaftor/Tezacaftor/Ivacaftor on Nocturnal Cardiorespiratory Polygraphy Parameters in Patients with Cystic Fibrosis: A Prospective Study" Life 15, no. 12: 1942. https://doi.org/10.3390/life15121942
APA StyleTosto, M., Parisi, G. F., Presti, S., Papale, M., Pecora, G., Mulè, E., Ornato, V., Aloisio, D., Manti, S., & Leonardi, S. (2025). Long-Term Effects of Elexacaftor/Tezacaftor/Ivacaftor on Nocturnal Cardiorespiratory Polygraphy Parameters in Patients with Cystic Fibrosis: A Prospective Study. Life, 15(12), 1942. https://doi.org/10.3390/life15121942

