Test-Retest Reliability and Validity of TecnoBody D-Wall to Assess the Range of Motion During Overhead Squat in Healthy Individuals
Abstract
1. Introduction
2. Materials and Methods
2.1. Participants
- Lower extremity surgery within the last six months.
- Evidence of pronation in the subtalar angle during exertion.
- Knee conditions that precluded squatting.
- A body mass index (BMI) greater than 30.
- Orthopedic foot deformities or any other conditions that restricted normal joint movement.
2.2. Experimental Design and Procedures
2.3. Measurement Systems
2.4. Data Collection
2.5. Statistical Analysis
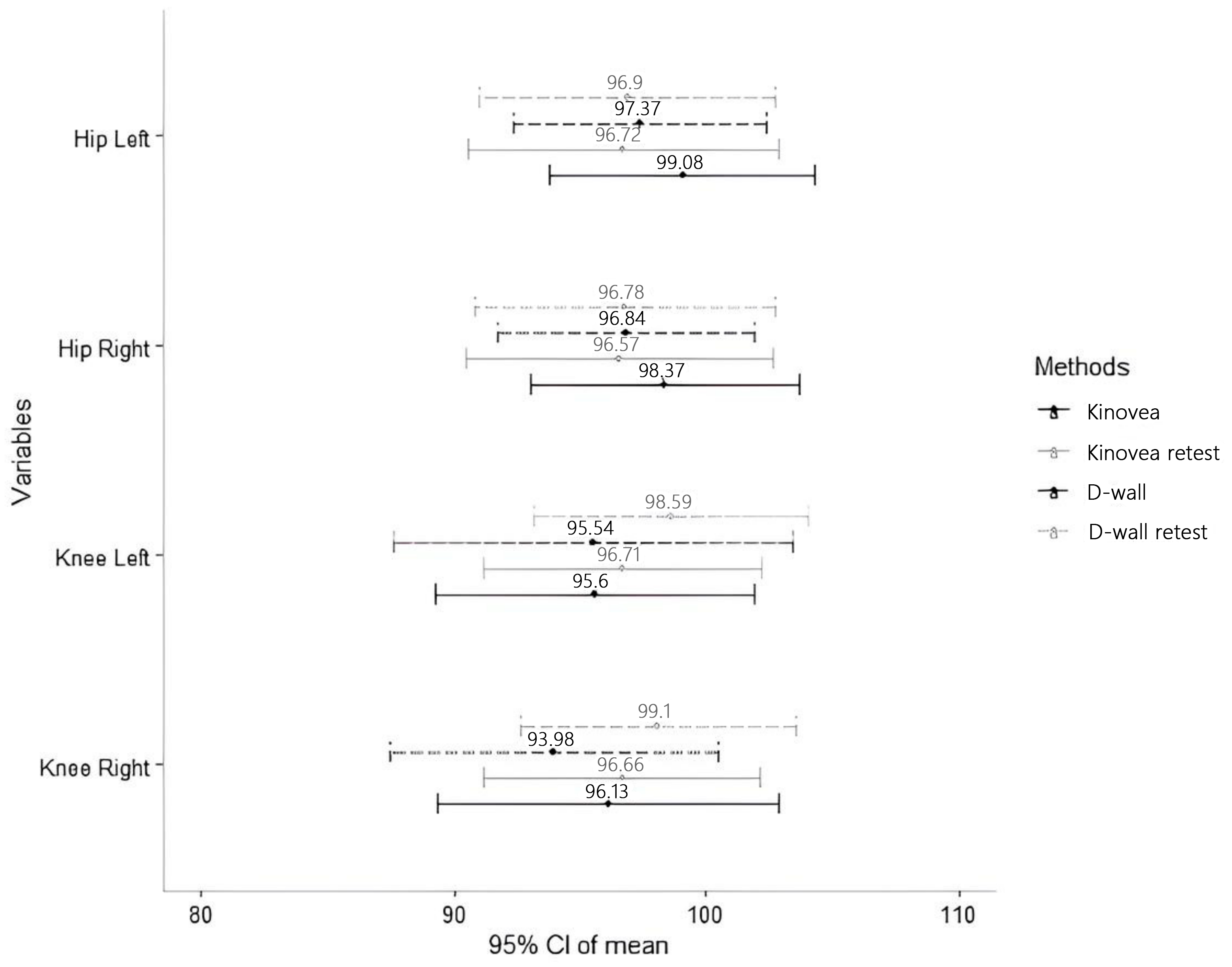
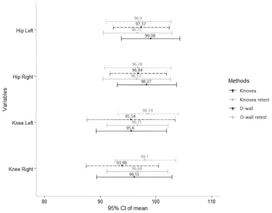
3. Results
4. Discussion
5. Conclusions
Author Contributions
Funding
Institutional Review Board Statement
Informed Consent Statement
Data Availability Statement
Acknowledgments
Conflicts of Interest
References
- Keogh, J.W.L.; Cox, A.; Anderson, S.; Liew, B.; Olsen, A.; Schram, B.; Furness, J. Reliability and Validity of Clinically Accessible Smartphone Applications to Measure Joint Range of Motion: A Systematic Review. PLoS ONE 2019, 14, e0215806. [Google Scholar] [CrossRef]
- McVeigh, K.H.; Murray, P.M.; Heckman, M.G.; Rawal, B.; Peterson, J.J. Accuracy and Validity of Goniometer and Visual Assessments of Angular Joint Positions of the Hand and Wrist. J. Hand Surg. 2016, 41, e21–e35. [Google Scholar] [CrossRef] [PubMed]
- Bashardoust Tajali, S.; MacDermid, J.C.; Grewal, R.; Young, C. Reliability and Validity of Electro-Goniometric Range of Motion Measurements in Patients with Hand and Wrist Limitations. Open Orthop. J. 2016, 10, 190–205. [Google Scholar] [CrossRef] [PubMed]
- Mullaney, M.J.; McHugh, M.P.; Johnson, C.P.; Tyler, T.F. Reliability of Shoulder Range of Motion Comparing a Goniometer to a Digital Level. Physiother. Theory Pract. 2010, 26, 327–333. [Google Scholar] [CrossRef] [PubMed]
- Üzümcü, B.; Açar, G.; Konakoğlu, G.; Mutuş, R. Investigation of the Effectiveness of TecnoBody Devices in Rehabilitation. Istanb. Gelisim Univ. J. Health Sci. 2024, 22, 383–394. [Google Scholar] [CrossRef]
- Damsted, C.; Nielsen, R.O.; Larsen, L.H. Reliability of Video-Based Quantification of the Knee- and Hip Angle at Foot Strike During Running. Int. J. Sports Phys. Ther. 2015, 10, 147–154. [Google Scholar]
- Bertelsen, M.L.; Jensen, J.F.; Nielsen, M.H.; Nielsen, R.O.; Rasmussen, S. Footstrike Patterns Among Novice Runners Wearing a Conventional, Neutral Running Shoe. Gait Posture 2013, 38, 354–356. [Google Scholar] [CrossRef]
- Damsted, C.; Larsen, L.H.; Nielsen, R.O. Reliability of Video-Based Identification of Footstrike Pattern and Video Time Frame at Initial Contact in Recreational Runners. Gait Posture 2015, 42, 32–35. [Google Scholar] [CrossRef]
- Sañudo, B.; Rueda, D.; Pozo-Cruz, B.D.; de Hoyo, M.; Carrasco, L. Validation of a Video Analysis Software Package for Quantifying Movement Velocity in Resistance Exercises. J. Strength Cond. Res. 2016, 30, 2934–2941. [Google Scholar] [CrossRef]
- Youssef, A.R. Photogrammetric Quantification of Forward Head Posture is Side Dependent in Healthy Participants and Patients with Mechanical Neck Pain. Int. J. Physiother. 2016, 3, 326. [Google Scholar] [CrossRef]
- Padulo, J.; Vando, S.; Chamari, K.; Chaouachi, A.; Bagno, D.; Pizzolato, F. Validity of the MarkWiiR for Kinematic Analysis During Walking and Running Gaits. Biol. Sport 2015, 32, 53–58. [Google Scholar] [CrossRef] [PubMed][Green Version]
- Fernández-González, P.; Koutsou, A.; Cuesta-Gómez, A.; Carratalá-Tejada, M.; Miangolarra-Page, J.C.; Molina-Rueda, F. Reliability of Kinovea® Software and Agreement with a Three-Dimensional Motion System for Gait Analysis in Healthy Subjects. Sensors 2020, 20, 3154. [Google Scholar] [CrossRef]
- Krause, D.A.; Boyd, M.S.; Hager, A.N.; Smoyer, E.C.; Thompson, A.T.; Hollman, J.H. Reliability and Accuracy of a Goniometer Mobile Device Application for Video Measurement of the Functional Movement Screen Deep Squat Test. Int. J. Sports Phys. Ther. 2015, 10, 37–44. [Google Scholar]
- Bujang, M.A.; Baharum, N. A Simplified Guide to Determination of Sample Size Requirements for Estimating the Value of Intraclass Correlation Coefficient: A Review. Arch. Orofac. Sci. 2017, 12, 1. [Google Scholar]
- Mukaka, M.M. Statistics Corner: A Guide to Appropriate Use of Correlation Coefficient in Medical Research. Malawi Med. J. 2012, 24, 69–71. [Google Scholar]
- Russo, R.R.; Burn, M.B.; Ismaily, S.K.; Gerrie, B.J.; Han, S.; Alexander, J.; Lenherr, C.; Noble, P.C.; Harris, J.D.; McCulloch, P.C. Is Digital Photography an Accurate and Precise Method for Measuring Range of Motion of the Hip and Knee? J. Exp. Orthop. 2017, 4, 29. [Google Scholar] [CrossRef]
- Bravi, M.; Massaroni, C.; Santacaterina, F.; Di Tocco, J.; Schena, E.; Sterzi, S.; Bressi, F.; Miccinilli, S. Validity Analysis of WalkerViewTM Instrumented Treadmill for Measuring Spatiotemporal and Kinematic Gait Parameters. Sensors 2021, 21, 4795. [Google Scholar] [CrossRef]
- Puig-Diví, A.; Escalona-Marfil, C.; Padullés-Riu, J.M.; Busquets, A.; Padullés-Chando, X.; Marcos-Ruiz, D. Validity and Reliability of the Kinovea Program in Obtaining Angles and Distances Using Coordinates in 4 Perspectives. PLoS ONE 2019, 14, e0216448. [Google Scholar] [CrossRef]
- Koo, T.K.; Li, M.Y. A Guideline of Selecting and Reporting Intraclass Correlation Coefficients for Reliability Research. J. Chiropr. Med. 2016, 15, 155–163. [Google Scholar] [CrossRef]
- Wang, X.M.; Smith, D.T.; Zhu, Q. A Webcam-Based Machine Learning Approach for Three-Dimensional Range of Motion Evaluation. PLoS ONE 2023, 18, e0293178. [Google Scholar] [CrossRef]
- Milanese, S.; Gordon, S.; Buettner, P.; Flavell, C.; Ruston, S.; Coe, D.; O’Sullivan, W.; McCormack, S. Reliability and Concurrent Validity of Knee Angle Measurement: Smartphone App Versus Universal Goniometer Used by Experienced and Novice Clinicians. Man. Ther. 2014, 19, 569–574. [Google Scholar] [CrossRef] [PubMed]
- Takeda, Y.; Furukawa, K. Clinical Reliability and Usability of Smartphone Goniometers for Hip Range of Motion Measurement. J. Phys. Ther. Sci. 2022, 34, 433–439. [Google Scholar] [CrossRef] [PubMed]
- Ellis, B.; Bruton, A.; Goddard, J.R. Joint Angle Measurement: A Comparative Study of the Reliability of Goniometry and Wire Tracing for the Hand. Clin. Rehabil. 1997, 11, 314–320. [Google Scholar] [CrossRef] [PubMed]




| Kinovea | D-Wall | |||
|---|---|---|---|---|
| Test ICC (95% CI) | Retest ICC (95% CI) | Test ICC (95% CI) | Retest ICC (95% CI) | |
| Knee Right | 0.99 (0.97–0.99) | 0.98 (0.97–0.99) | 0.98 (0.95–0.99) | 0.97 (0.95–0.99) |
| Knee Left | 0.98 (0.97–0.99) | 0.99 (0.97–0.99) | 0.88 (0.79–0.94) | 0.97 (0.95–0.99) |
| Hip Right | 0.96 (0.93–0.98) | 0.99 (0.97–0.99) | 0.94 (0.88–0.97) | 0.97 (0.95–0.99) |
| Hip Left | 0.97 (0.94–0.98) | 0.98 (0.97–0.99) | 0.93 (0.87–0.97) | 0.97 (0.94–0.98) |
| Kinovea–D-Wall | ||||||
|---|---|---|---|---|---|---|
| Correlation (95% CI) | ICC (95% CI) | SEM | Mean Difference (95% CI) | Paired t Test p-Value * | ||
| First evaluation (test) | Knee Right | 0.88 (0.72–0.95) | 0.94 (0.87–0.97) | 4.36 | 2.16 (−0.19–4.50) | 0.070 |
| Knee Left | 0.86 (0.69–0.94) | 0.88 (0.76–0.94) | 6.54 | 0.06 (−3.46–3.58) | 0.972 | |
| Hip Right | 0.92 (0.82–0.97) | 0.92 (0.84–0.96) | 3.79 | 1.53 (−0.51–3.57) | 0.135 | |
| Hip Left | 0.93 (0.83–0.97) | 0.93 (0.85–0.97) | 3.65 | 1.71 (−0.25–3.68) | 0.085 | |
| Second evaluation (retest) | Knee Right | 0.99 (0.97–1.00) | 0.87 (0.75–0.94) | 5.10 | −1.44 (−4.19–1.30) | 0.290 |
| Knee Left | 0.83 (0.64–0.93) | 0.88 (0.76–0.94) | 5.01 | −1.87 (−4.57–0.82) | 0.166 | |
| Hip Right | 0.93 (0.84–0.97) | 0.94 (0.87–0.97) | 3.92 | −0.21 (−2.32–1.90) | 0.841 | |
| Hip Left | 0.93 (0.83–0.97) | 0.94 (0.88–0.97) | 3.76 | −0.18 (−2.20–1.85) | 0.860 | |
| Test–Retest | |||||
|---|---|---|---|---|---|
| ICC (95% CI) | SEM | Mean Diffirence (95% CI) | Paired t Test p-Value * | ||
| Kinovea | Knee Right | 0.93 (0.84–0.97) | 6.06 | −0.53 (−3.79–2.73) | 0.743 |
| Knee Left | 0.92 (0.84–0.96) | 5.93 | −1.11 (−4.30–2.08) | 0.481 | |
| Hip Right | 0.89 (0.76–0.95) | 6.75 | 1.8 (−1.83–5.43) | 0.319 | |
| Hip Left | 0.88 (0.75–0.94) | 6.89 | 2.36 (−1.35–6.07) | 0.203 | |
| D-wall | Knee Right | 0.83 (0.63–0.92) | 8.25 | −4.13 (−8.57–0.31) | 0.067 |
| Knee Left | 0.79 (0.55–0.90) | 10.51 | −3.05 (−8.7–2.61) | 0.279 | |
| Hip Right | 0.80 (0.57–0.91) | 8.48 | 0.06 (−4.51–4.62) | 0.980 | |
| Hip Left | 0.79 (0.56–0.9) | 8.50 | 0.47 (−4.1–5.04) | 0.834 | |
Disclaimer/Publisher’s Note: The statements, opinions and data contained in all publications are solely those of the individual author(s) and contributor(s) and not of MDPI and/or the editor(s). MDPI and/or the editor(s) disclaim responsibility for any injury to people or property resulting from any ideas, methods, instructions or products referred to in the content. |
© 2025 by the authors. Licensee MDPI, Basel, Switzerland. This article is an open access article distributed under the terms and conditions of the Creative Commons Attribution (CC BY) license (https://creativecommons.org/licenses/by/4.0/).
Share and Cite
Soylu, C.; Acar, G.; Uzumcu, B.; Demir, P.; Seyhan, S.; Biyikli, T. Test-Retest Reliability and Validity of TecnoBody D-Wall to Assess the Range of Motion During Overhead Squat in Healthy Individuals. Life 2025, 15, 80. https://doi.org/10.3390/life15010080
Soylu C, Acar G, Uzumcu B, Demir P, Seyhan S, Biyikli T. Test-Retest Reliability and Validity of TecnoBody D-Wall to Assess the Range of Motion During Overhead Squat in Healthy Individuals. Life. 2025; 15(1):80. https://doi.org/10.3390/life15010080
Chicago/Turabian StyleSoylu, Caglar, Gorkem Acar, Berkay Uzumcu, Pervin Demir, Sinan Seyhan, and Turker Biyikli. 2025. "Test-Retest Reliability and Validity of TecnoBody D-Wall to Assess the Range of Motion During Overhead Squat in Healthy Individuals" Life 15, no. 1: 80. https://doi.org/10.3390/life15010080
APA StyleSoylu, C., Acar, G., Uzumcu, B., Demir, P., Seyhan, S., & Biyikli, T. (2025). Test-Retest Reliability and Validity of TecnoBody D-Wall to Assess the Range of Motion During Overhead Squat in Healthy Individuals. Life, 15(1), 80. https://doi.org/10.3390/life15010080

