Aflatoxins in Wheat Grains: Detection and Detoxification through Chemical, Physical, and Biological Means
Abstract
1. Introduction
2. Materials and Methods
2.1. Sample Collection
2.2. Detection of Aflatoxins by Thin-Layer Chromatography
2.2.1. Sample Preparation
2.2.2. Spotting and Visualization
2.3. Detection and Quantification of Aflatoxins by ELISA
2.3.1. Sample Preparation
2.3.2. Pipetting and Visualization
2.4. Detoxification of Aflatoxins
2.4.1. Physical Methods
2.4.2. Chemical Methods
2.4.3. Biological Methods
2.5. Quantification after Detoxification
2.6. Statistical Analysis
3. Results
3.1. Detection of Aflatoxins by Thin-Layer Chromatography
3.2. Detection of Aflatoxins by Enzyme-Linked Immunosorbent Assay (ELISA)
3.3. Detoxification of Aflatoxins
3.3.1. Physical Methods Revealed Reduction in Aflatoxin Concentrations
3.3.2. Chemical Methods Greatly Detoxified the Aflatoxins
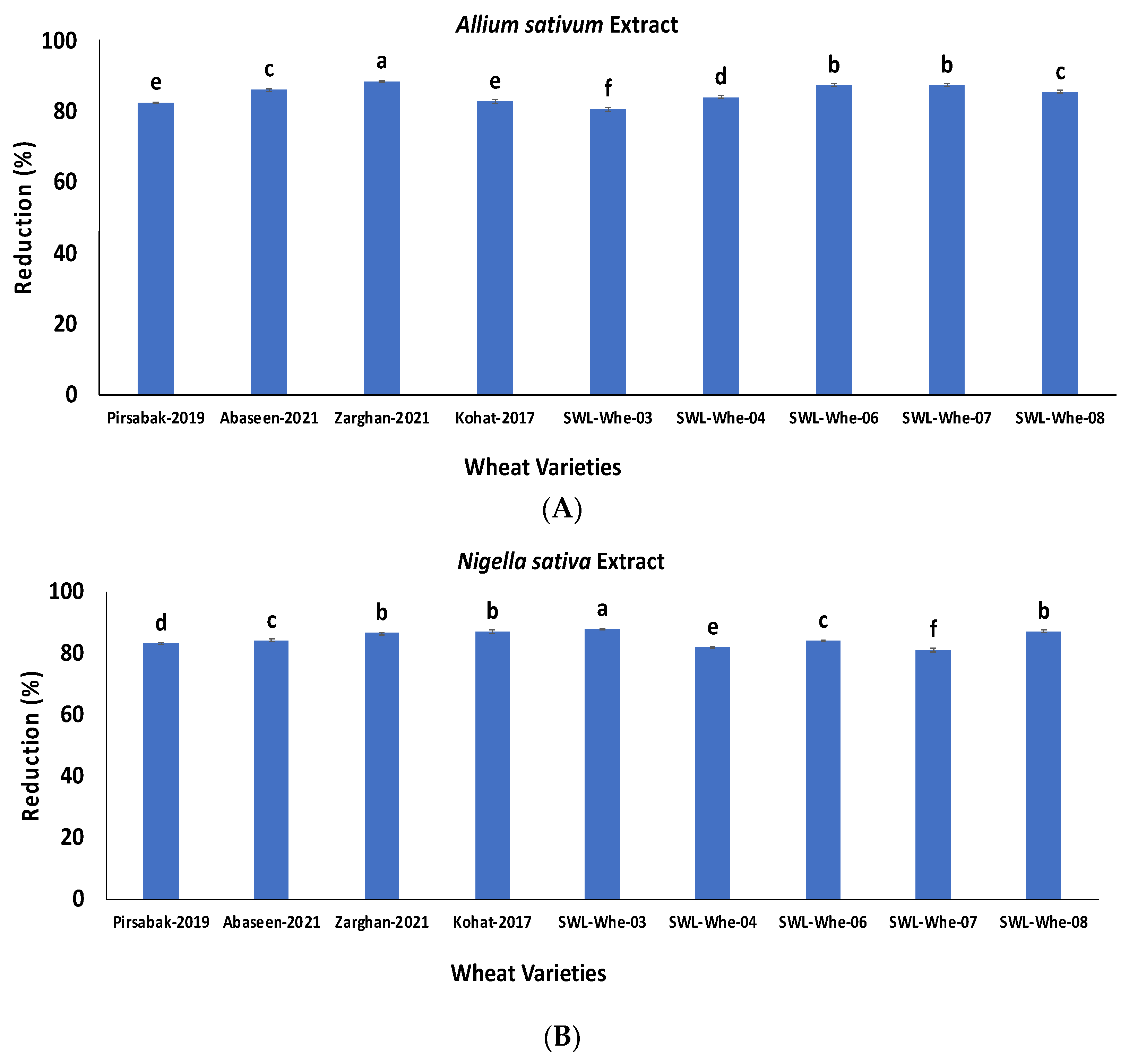
3.3.3. Biological Methods Were Found Effective for Reduction of Aflatoxins
3.4. Comparison of Different Treatments’ Efficiency in Detoxification of Aflatoxins
3.5. Interactions of Different Treatments and Wheat Varieties
4. Discussion
5. Conclusions
Author Contributions
Funding
Institutional Review Board Statement
Informed Consent Statement
Data Availability Statement
Acknowledgments
Conflicts of Interest
References
- Pisoschi, A.M.; Iordache, F.; Stanca, L.; Petcu, A.I.; Purdoiu, L.; Geicu, O.I.; Bilteanu, L.; Serban, A.I. Comprehensive overview and critical perspective on the analytical techniques applied to aflatoxin determination—A review paper. Microchem. J. 2023, 191, 108770. [Google Scholar] [CrossRef]
- Abbas, T.; Rizwan, M.; Ali, S.; Zia-ur-Rehman, M.; Qayyum, M.F.; Abbas, F.; Hannan, F.; Rinklebe, J.; Ok, Y.S. Effect of biochar on cadmium bioavailability and uptake in wheat (Triticum aestivum L.) grown in a soil with aged contamination. Ecotoxicol. Environ. Saf. 2017, 140, 37–47. [Google Scholar] [CrossRef] [PubMed]
- Alonge, M.; Shumate, A.; Puiu, D.; Zimin, A.V.; Salzberg, S.L. Chromosome-scale assembly of the bread wheat genome reveals thousands of additional gene copies. Genetics 2020, 216, 599–608. [Google Scholar] [CrossRef] [PubMed]
- Baye, A.; Berihun, B.; Bantayehu, M.; Derebe, B. Genotypic and phenotypic correlation and path coefficient analysis for yield and yield-related traits in advanced bread wheat (Triticum aestivum L.) lines. Cogent Food Agric. 2020, 6, 1752603. [Google Scholar] [CrossRef]
- Chen, X. Pathogens which threaten food security: Puccinia striiformis, the wheat stripe rust pathogen. Food Secur. 2020, 12, 239–251. [Google Scholar] [CrossRef]
- Gadal, N.; Shrestha, J.; Poudel, M.; Pokharel, B. A review on production status and growing environments of rice in Nepal and in the world. J. Arch. Agric. Environ. Sci. 2019, 4, 83–87. [Google Scholar] [CrossRef]
- Meneely, J.P.; Kolawole, O.; Haughey, S.A.; Miller, S.J.; Krska, R.; Elliott, C.T. The challenge of global aflatoxins legislation with a focus on peanuts and peanut products: A systematic review. Expo. Health 2022, 15, 467–487. [Google Scholar] [CrossRef]
- Peles, F.; Sipos, P.; Győri, Z.; Pfliegler, W.P.; Giacometti, F.; Serraino, A.; Pagliuca, G.; Gazzotti, T.; Pócsi, I. Adverse effects, transformation and channeling of aflatoxins into food raw materials in livestock. Front. Microbiol. 2019, 10, 2861. [Google Scholar] [CrossRef] [PubMed]
- Farkas, Z.; Országh, E.; Engelhardt, T.; Csorba, S.; Kerekes, K.; Zentai, A.; Süth, M.; Nagy, A.; Miklós, G.; Molnár, K.; et al. A Systematic Review of the Efficacy of Interventions to Control Aflatoxins in the Dairy Production Chain—Feed Production and Animal Feeding Interventions. Toxins 2022, 14, 115. [Google Scholar] [CrossRef]
- Cervini, C.; Verheecke-Vaessen, C.; He, T.; Mohammed, A.; Magan, N.; Medina, A. Improvements within the peanut production chain to minimize aflatoxins contamination: An Ethiopian case study. Food Control 2022, 136, 108622. [Google Scholar] [CrossRef]
- Fouché, T.; Claassens, S.; Maboeta, M. Aflatoxins in the soil ecosystem: An overview of its occurrence, fate, effects and future perspectives. Mycotoxin Res. 2020, 36, 303–309. [Google Scholar] [CrossRef] [PubMed]
- Gong, Y.Y.; Watson, S.; Routledge, M.N. Aflatoxin Exposure and Associated Human Health Effects, a Review of Epidemiological Studies. Food Saf. 2016, 4, 14–27. [Google Scholar] [CrossRef] [PubMed]
- Shuaib, F.M.; Ehiri, J.; Abdullahi, A.; Williams, J.H.; Jolly, P.E. Reproductive health effects of aflatoxins: A review of the literature. Reprod. Toxicol. 2010, 29, 262–270. [Google Scholar] [CrossRef] [PubMed]
- Wu, F. Global impacts of aflatoxin in maize: Trade and human health. World Mycotoxin J. 2015, 8, 137–142. [Google Scholar] [CrossRef]
- Jallow, A.; Xie, H.; Tang, X.; Qi, Z.; Li, P. Worldwide aflatoxin contamination of agricultural products and foods: From occurrence to control. Compr. Rev. Food Sci. Food Saf. 2021, 20, 2332–2381. [Google Scholar] [CrossRef] [PubMed]
- Javanmardi, F.; Khodaei, D.; Sheidaei, Z.; Bashiry, M.; Nayebzadeh, K.; Vasseghian, Y.; Khaneghah, A.M. Decontamination of Aflatoxins in Edible Oils: A Comprehensive Review. Food Rev. Int. 2020, 38, 1410–1426. [Google Scholar] [CrossRef]
- Thakaew, R.; Chaiklangmuang, S. Aflatoxin B1 elimination in low-grade maize by co-influence of heat and chemical treatment. Qual. Assur. Saf. Crop. Foods 2023, 15, 55–67. [Google Scholar] [CrossRef]
- Zahra, N.; Raza, M.H.; Hafeez, F.; Saeed, M.K.; Khan, S.A.; Saeed, A.; Shahzad, K. Impact of Aflatoxins Exposure on Human Health and its Management Strategies. Lahore Garrison Univ. J. Life Sci. 2023, 7, 156–172. [Google Scholar] [CrossRef]
- Badji, T.; Durand, N.; Bendali, F.; Piro-Metayer, I.; Zinedine, A.; Ben Salah-Abbès, J.; Abbès, S.; Montet, D.; Riba, A.; Brabet, C. In vitro detoxification of aflatoxin B1 and ochratoxin A by lactic acid bacteria isolated from Algerian fermented foods. Biol. Control 2023, 179, 105181. [Google Scholar] [CrossRef]
- Benkerroum, N. Retrospective and prospective look at aflatoxin research and development from a practical standpoint. Int. J. Environ. Res. Public Health 2019, 16, 3633. [Google Scholar] [CrossRef]
- Dai, C.; Tian, E.; Hao, Z.; Tang, S.; Wang, Z.; Sharma, G.; Jiang, H.; Shen, J. Aflatoxin B1 Toxicity and Protective Effects of Curcumin: Molecular Mechanisms and Clinical Implications. Antioxidants 2022, 11, 2031. [Google Scholar] [CrossRef] [PubMed]
- Conte, G.; Fontanelli, M.; Galli, F.; Cotrozzi, L.; Pagni, L.; Pellegrini, E. Mycotoxins in feed and food and the role of ozone in their detoxification and degradation: An update. Toxins 2020, 12, 486. [Google Scholar] [CrossRef] [PubMed]
- Haque, M.A.; Wang, Y.; Shen, Z.; Li, X.; Saleemi, M.K.; He, C. Mycotoxin contamination and control strategy in human, domestic animal and poultry: A review. Microb. Pathog. 2020, 142, 104095. [Google Scholar] [CrossRef] [PubMed]
- Samarajeewa, U.; Sen, A.C.; Cohen; Wei, C.I. Detoxification of aflatoxins in foods and feeds by physical and chemical methods. J. Food Prot. 1990, 53, 489–501. [Google Scholar] [CrossRef]
- Zahra, N.; Hina, S.; Hayat, R.; Ejaz, N. Quantification and Detoxification of Aflatoxin in Food Items: Aflatoxin De-Toxification in Food Items. Pak. J. Sci. Ind. Res. Ser. B Biol. Sci. 2013, 56, 98–104. [Google Scholar]
- Shavakhi, F.; Rahmani, A.; Piravi-Vanak, Z. A global systematic review and meta-analysis on prevalence of the aflatoxin B1 contamination in olive oil. J. Food Sci. Technol. 2022, 60, 1255–1264. [Google Scholar] [CrossRef]
- Iqbal, A.; Raza, M.H.; Jadoon, H.; Jamshed, A.; Khan, B.B.; Rehman, M.I.; Noman, M.; Zafar, M.F. Applications of nanomaterials for health and environment protection. MOJ Eco. Environ. Sci. 2022, 7, 84–87. [Google Scholar] [CrossRef]
- Patriarca, A.; Pinto, V.F. Prevalence of mycotoxins in foods and decontamination. Curr. Opin. Food Sci. 2017, 14, 50–60. [Google Scholar] [CrossRef]
- Raza, M.H.; Wahab, A.; Zulfiqar, I.; Hamza, M.; Khan, M.M.R.M.S.; Asif, M. Carbon nanotubes and graphene-based sensors for the detection of lung cancer related volatile organic compounds. Int. J. Adv. Sci. Res. Eng. Trends 2021, 6, 11–15. [Google Scholar]
- Hossain, A.; Skalicky, M.; Brestic, M.; Maitra, S.; Ashraful Alam, M.; Syed, M.A.; Hossain, J.; Sarkar, S.; Saha, S.; Bhadra, P. Consequences and mitigation strategies of abiotic stresses in wheat (Triticum aestivum L.) under the changing climate. Agronomy 2021, 11, 241. [Google Scholar] [CrossRef]
- Zahra, N.; Firdous, S.; Ejaz, N.; Hina, S. Detection of Aflatoxins in Various Samples of Red Chilli: Aflatoxins in Red Chilli. Pak. J. Sci. Ind. Res. Ser. B Biol. Sci. 2012, 55, 27–29. [Google Scholar]
- Saima. Analysis, Inhibition and Degradation of Mycotoxins in Foodstuffs; Diss. Department of Biotechnology Pakistan Institute of Engineering and Applied Sciences Nilore: Islamabad, Pakistan, 2018. [Google Scholar]
- Ahsan, S.A.S.; Bhatti, I.A.; Asi, M.R.; Bhatti, H.N.; Sheikh, M.A. Occurrence of aflatoxins in maize grains from central areas of Punjab, Pakistan. Int. J. Agri. Biol. 2010, 12, 571–575. [Google Scholar]
- Iqbal, M.; Abbas, M.; Adil, M.; Nazir, A.; Ahmad, I. Aflatoxins biosynthesis, toxicity and intervention strategies: A review. Chem. Int. 2019, 5, 168–191. [Google Scholar] [CrossRef]
- Saladino, F.; Posarelli, E.; Luz, C.; Luciano, F.B.; Rodriguez-Estrada, M.T.; Mañes, J.; Meca, G. Influence of probiotic microorganisms on aflatoxins B1 and B2 bio accessibility evaluated with a simulated gastrointestinal digestion. J. Food Compos. Anal. 2018, 68, 128–132. [Google Scholar] [CrossRef]
- Martins, L.M.; Sant’Ana, A.S.; Iamanaka, B.T.; Berto, M.I.; Pitt, J.I.; Taniwaki, M.H. Kinetics of aflatoxin degradation during peanut roasting. Food Res. Int. 2017, 97, 178–183. [Google Scholar] [CrossRef] [PubMed]
- Serrano-Niño, J.C.; Cavazos-Garduño, A.; Hernandez-Mendoza, A.; Applegate, B.; Ferruzzi, M.G.; San Martin-González, M.F.; García, H.S. Assessment of probiotic strains ability to reduce the bio accessibility of aflatoxin M1 in artificially contaminated milk using an in vitro digestive model. Food Control 2013, 31, 202–207. [Google Scholar] [CrossRef]
- Andrade, P.; de Mello, M.H.; França, J.; Caldas, E. Aflatoxins in food products consumed in Brazil: A preliminary dietary risk assessment. Food Addit. Contam. Part A 2013, 30, 127–136. [Google Scholar] [CrossRef] [PubMed]
- Hwang, J.-H.; Lee, K.-G. Reduction of aflatoxin B1 contamination in wheat by various cooking treatments. Food Chem. 2006, 98, 71–75. [Google Scholar] [CrossRef]
- Jalili, M.; Jinap, S.; Son, R. The effect of chemical treatment on reduction of aflatoxins and ochratoxin A in black and white pepper during washing. Food Addit. Contam. Part A 2011, 28, 485–493. [Google Scholar] [CrossRef]
- Nazir, A.; Kalim, I.; Imran, M.; Bilal, M.A.; Zahra, N.; Ahmad, A.; Iqbal, M.; Fazal, U.; Ehtisham-Ul-Haque, S. Incidences and Bio-Detoxification of Aflatoxins in Rice and Cattle Feed Crops under Different Agro-Ecological Zones. Pol. J. Environ. Stud. 2021, 30, 1949–1954. [Google Scholar] [CrossRef]
- Negro, V.; Mancini, G.; Ruggeri, B.; Fino, D. Citrus waste as feedstock for bio-based products recovery: Review on limonene case study and energy valorization. Bioresour. Technol. 2016, 214, 806–815. [Google Scholar] [CrossRef] [PubMed]
- Martos, P.; Thompson, W.; Diaz, G. Multiresidue mycotoxin analysis in wheat, barley, oats, rye and maize grain by high-performance liquid chromatography-tandem mass spectrometry. World Mycotoxin J. 2010, 3, 205–223. [Google Scholar] [CrossRef]
- Safara, M.; Zaini, F.; Hashemi, S.; Mahmoudi, M.; Khosravi, A.; Shojai-Aliabadi, F. Aflatoxin detoxification in rice using citric acid. Iran. J. Public Health 2010, 39, 24–29. [Google Scholar] [PubMed]
- Abuagela, M.O.; Iqdiam, B.M.; Mostafa, H.; Marshall, S.M.; Yagiz, Y.; Marshall, M.R.; Gu, L.; Sarnoski, P. Combined effects of citric acid and pulsed light treatments to degrade B-aflatoxins in peanut. Food Bioprod. Process. 2019, 117, 396–403. [Google Scholar] [CrossRef]
- Summia, K.; Yasmeen, R.; Zahra, N. Detection of Aflatoxins B1 from Layer and Broiler Feed Samples Collected from Different Cities of Punjab, Pakistan. J. Anim. Health Prod. 2021, 9, 435–442. [Google Scholar] [CrossRef]
- Castro-Ríos, K.; Montoya-Estrada, C.N.; Martínez-Miranda, M.M.; Cortés, S.H.; Taborda-Ocampo, G. Physicochemical treatments for the reduction of aflatoxins and Aspergillus niger in corn grains (Zea mays). J. Sci. Food Agric. 2020, 101, 3707–3713. [Google Scholar] [CrossRef]
- Yasmeen, R.; Gul, R.; Mazhar, S. Antifungal Activity of Onion and Garlic Extract for The Control of Aspergillus niger Isolated from Ghurki Village. Lahore Garrison Univ. J. Life Sci. 2020, 2, 258–267. [Google Scholar] [CrossRef]
- Rahman, Z.; Afsheen, Z.; Hussain, A.; Khan, M. Antibacterial and antifungal activities of garlic (Allium sativum) against common pathogens. Biosci. Rev. 2022, 4, 30–40. [Google Scholar] [CrossRef]
- El-Saber Batiha, G.; Magdy Beshbishy, A.G.; Wasef, L.; Elewa, Y.H.; Al-Sagan, A.A.; Abd El-Hack, M.E.; Taha, A.E.; Abd-Elhakim, Y.M.; Prasad Devkota, H. Chemical constituents and pharmacological activities of garlic (Allium sativum L.): A review. Nutrients 2020, 12, 872. [Google Scholar] [CrossRef]
- Avanço, G.B.; Ferreira, F.D.; Bomfim, N.S.; Peralta, R.M.; Brugnari, T.; Mallmann, C.A.; de Abreu Filho, B.A.; Mikcha, J.M.G.; Machinski, M., Jr. Curcuma longa L. essential oil composition, antioxidant effect, and effect on Fusarium verticillioides and fumonisin production. Food Control 2017, 73, 806–813. [Google Scholar] [CrossRef]
- Salah-Fatnassi, K.B.H.; Hassayoun, F.; Cheraif, I.; Khan, S.; Ben Jannet, H.; Hammami, M.; Aouni, M.; Harzallah-Skhiri, F. Chemical composition, antibacterial and antifungal activities of flowerhead and root essential oils of Santolina chamaecyparissus L., growing wild in Tunisia. Saudi J. Biol. Sci. 2016, 24, 875–882. [Google Scholar] [CrossRef]
- Dwivedy, A.K.; Prakash, B.; Chanotiya, C.S.; Bisht, D.; Dubey, N.K. Chemically characterized Mentha cardiaca L. essential oil as plant-based preservative in view of efficacy against bio deteriorating fungi of dry fruits, aflatoxin secretion, lipid peroxidation and safety profile assessment. Food Chem. Toxicol. 2017, 106, 175–184. [Google Scholar] [CrossRef] [PubMed]
- El Ouadi, Y.; Manssouri, M.; Bouyanzer, A.; Majidi, L.; Bendaif, H.; Elmsellem, H.; Shariati, M.; Melhaoui, A.; Hammouti, B. Essential oil composition and antifungal activity of Melissa officinalis originating from north-Est Morocco, against postharvest phytopathogenic fungi in apples. Microb. Pathog. 2017, 107, 321–326. [Google Scholar] [CrossRef] [PubMed]
- Danielli, L.J.; Pippi, B.; Soares, K.D.; Duarte, J.A.; Maciel, A.J.; Machado, M.M.; Oliveira, L.F.S.; Bordignon, S.A.; Fuentefria, A.M.; Apel, M.A. Chemosensitization of filamentous fungi to antifungal agents using Nectandra Rol. ex Rottb. species essential oils. Ind. Crop. Prod. 2017, 102, 7–15. [Google Scholar] [CrossRef]
- Ribes, S.; Fuentes, A.; Talens, P.; Barat, J.M. Application of cinnamon bark emulsions to protect strawberry jam from fungi. LWT 2016, 78, 265–272. [Google Scholar] [CrossRef]
- Siddiqui, S.A.; Islam, R.; Islam, R.; Jamal, A.H.M.; Parvin, T.; Rahman, A. Chemical composition and antifungal properties of the essential oil and various extracts of Mikania scandens (L.) Willd. Arab. J. Chem. 2017, 10, S2170–S2174. [Google Scholar] [CrossRef]
- Songsamoe, S.; Matan, N.; Matan, N. Antifungal activity of Michelia alba oil in the vapor phase and the synergistic effect of major essential oil components against Aspergillus flavus on brown rice. Food Control 2017, 77, 150–157. [Google Scholar] [CrossRef]
- Xie, J.; Jiang, H.; Shen, J.; Peng, T.; Wang, J.; Yao, K.; Sun, S.; Shao, B.; Tang, J. Design of multifunctional nanostructure for ultrafast extraction and purification of aflatoxins in foodstuffs. Anal. Chem. 2017, 89, 10556–10564. [Google Scholar] [CrossRef]
- Sharma, N.; Tripathi, A. Effects of Citrus sinensis (L.) Osbeck epicarp essential oil on growth and morphogenesis of Aspergillus niger (L.) Van Tieghem. Microbiol. Res. 2008, 163, 337–344. [Google Scholar] [CrossRef]
- Sharma, A.; Rajendran, S.; Srivastava, A.; Sharma, S.; Kundu, B. Antifungal activities of selected essential oils against Fusarium oxysporum f. sp. lycopersici 1322, with emphasis on Syzygium aromaticum essential oil. J. Biosci. Bioeng. 2017, 123, 308–313. [Google Scholar] [CrossRef]
- Prakash, B.; Mishra, P.K.; Kedia, A.; Dubey, N. Antifungal, antiaflatoxin and antioxidant potential of chemically characterized Boswellia carterii Birdw essential oil and its in vivo practical applicability in preservation of Piper nigrum L. fruits. LWT 2014, 56, 240–247. [Google Scholar] [CrossRef]
- Kedia, A.; Prakash, B.; Mishra, P.K.; Dubey, N. Antifungal and antiaflatoxigenic properties of Cuminum cyminum (L.) seed essential oil and its efficacy as a preservative in stored commodities. Int. J. Food Microbiol. 2014, 168–169, 1–7. [Google Scholar] [CrossRef] [PubMed]









| Wheat Varieties | Aflatoxins | Wheat Varieties | Aflatoxins |
|---|---|---|---|
| Shahkar-2013 | + | Abaseen-2021 | + |
| Zincol-2016 | + | Zarghan-2021 | + |
| Pirsabak-2021 | + | Dilkash-20 | - |
| Khaista-2017 | + | Pirsabak-2015 | - |
| Markaz-2019 | + | Gulzar-2019 | - |
| Fahim-2019 | - | Subhani-2021 | - |
| Paseena-2017 | - | Kohat-2017 | + |
| Pirsabak-2019 | + | Taskeen-2021 | - |
| Wheat Samples | Aflatoxins | Wheat Samples | Aflatoxins |
|---|---|---|---|
| SWL-Whe-01 | + | SWL-Whe-21 | + |
| SWL-Whe-02 | * | SWL-Whe-22 | + |
| SWL-Whe-03 | + | SWL-Whe-23 | + |
| SWL-Whe-04 | + | SWL-Whe-24 | + |
| SWL-Whe-05 | - | SWL-Whe-25 | + |
| SWL-Whe-06 | + | SWL-Whe-26 | - |
| SWL-Whe-07 | + | SWL-Whe-27 | + |
| SWL-Whe-08 | + | SWL-Whe-28 | + |
| SWL-Whe-09 | - | SWL-Whe-29 | - |
| SWL-Whe-10 | + | SWL-Whe-30 | + |
| SWL-Whe-11 | - | SWL-Whe-31 | - |
| SWL-Whe-12 | + | SWL-Whe-32 | - |
| SWL-Whe-13 | - | SWL-Whe-33 | - |
| SWL-Whe-14 | + | SWL-Whe-34 | + |
| SWL-Whe-15 | + | SWL-Whe-35 | + |
| SWL-Whe-16 | + | SWL-Whe-36 | - |
| SWL-Whe-17 | + | SWL-Whe-37 | + |
| SWL-Whe-18 | - | SWL-Whe-38 | - |
| SWL-Whe-19 | + | SWL-Whe-39 | + |
| SWL-Whe-20 | + | SWL-Whe-40 | - |
Disclaimer/Publisher’s Note: The statements, opinions and data contained in all publications are solely those of the individual author(s) and contributor(s) and not of MDPI and/or the editor(s). MDPI and/or the editor(s) disclaim responsibility for any injury to people or property resulting from any ideas, methods, instructions or products referred to in the content. |
© 2024 by the authors. Licensee MDPI, Basel, Switzerland. This article is an open access article distributed under the terms and conditions of the Creative Commons Attribution (CC BY) license (https://creativecommons.org/licenses/by/4.0/).
Share and Cite
Ismail, A.M.; Raza, M.H.; Zahra, N.; Ahmad, R.; Sajjad, Y.; Khan, S.A. Aflatoxins in Wheat Grains: Detection and Detoxification through Chemical, Physical, and Biological Means. Life 2024, 14, 535. https://doi.org/10.3390/life14040535
Ismail AM, Raza MH, Zahra N, Ahmad R, Sajjad Y, Khan SA. Aflatoxins in Wheat Grains: Detection and Detoxification through Chemical, Physical, and Biological Means. Life. 2024; 14(4):535. https://doi.org/10.3390/life14040535
Chicago/Turabian StyleIsmail, Ahmed Mahmoud, Muhammad Hassan Raza, Naseem Zahra, Rafiq Ahmad, Yasar Sajjad, and Sabaz Ali Khan. 2024. "Aflatoxins in Wheat Grains: Detection and Detoxification through Chemical, Physical, and Biological Means" Life 14, no. 4: 535. https://doi.org/10.3390/life14040535
APA StyleIsmail, A. M., Raza, M. H., Zahra, N., Ahmad, R., Sajjad, Y., & Khan, S. A. (2024). Aflatoxins in Wheat Grains: Detection and Detoxification through Chemical, Physical, and Biological Means. Life, 14(4), 535. https://doi.org/10.3390/life14040535

