Long-Term Efficacy of Combined Focused and Radial Extracorporeal Shockwave Therapy for Gluteus Medius Tendon Pathology: A Pilot Study
Abstract
1. Introduction
2. Materials and Methods
2.1. Subjects and Clinical Assessment
2.2. ESWT Protocol
2.3. Outcome Measures
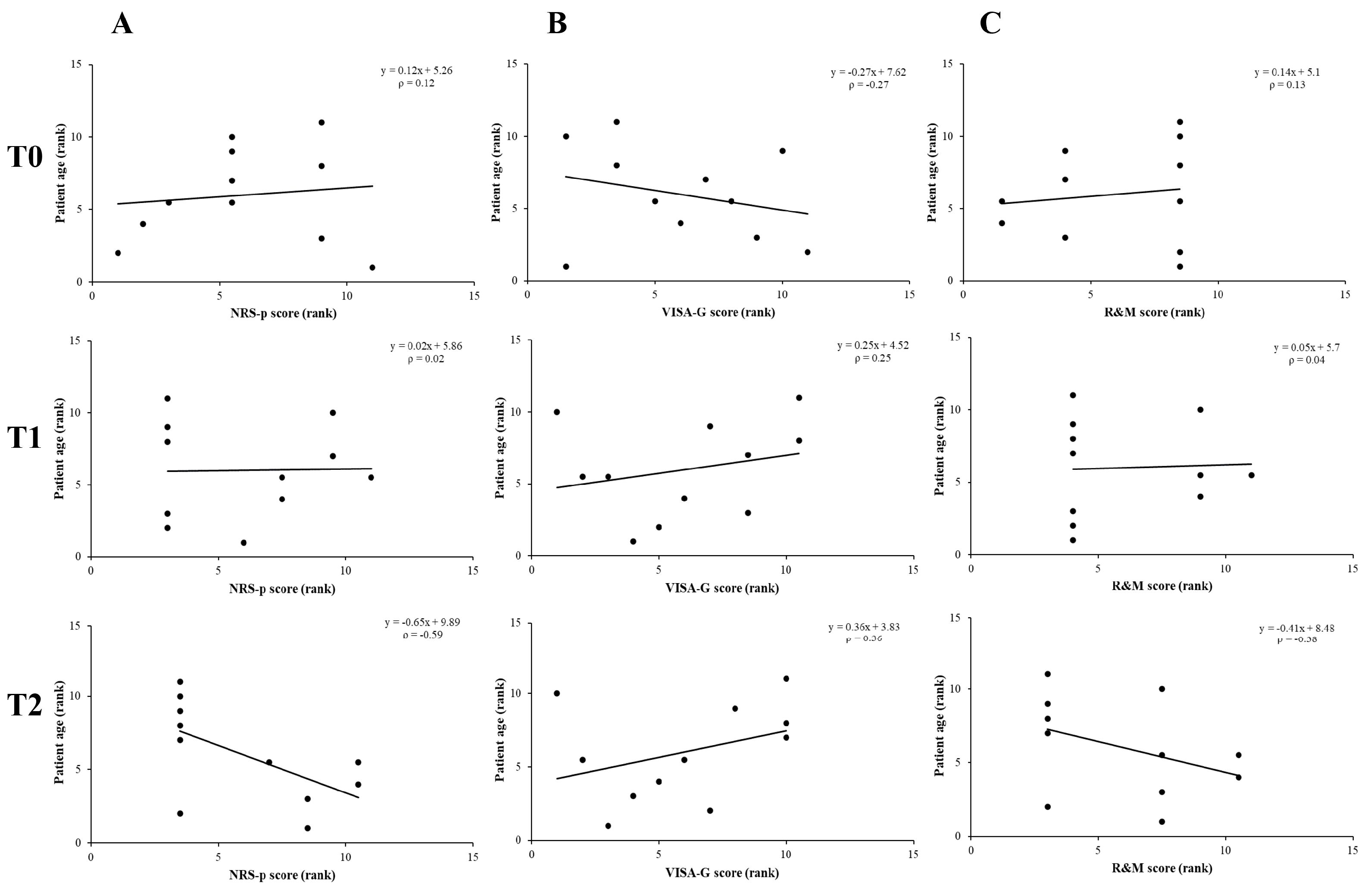
2.4. Statistical Analysis
3. Results
4. Discussion
5. Conclusions
Author Contributions
Funding
Institutional Review Board Statement
Informed Consent Statement
Data Availability Statement
Conflicts of Interest
References
- Speers, C.J.; Bhogal, G.S. Greater Trochanteric Pain Syndrome: A Review of Diagnosis and Management in General Practice. Br. J. Gen. Pract. 2017, 67, 479–480. [Google Scholar] [CrossRef] [PubMed]
- Ladurner, A.; Fitzpatrick, J.; O’Donnell, J.M. Treatment of Gluteal Tendinopathy: A Systematic Review and Stage-Adjusted Treatment Recommendation. Orthop. J. Sports Med. 2021, 9, 232596712110168. [Google Scholar] [CrossRef]
- Dancy, M.E.; Alexander, A.S.; Clark, C.J.; Marigi, E.M.; Hevesi, M.; Levy, B.A.; Krych, A.J.; Okoroha, K.R. Gluteal Tendinopathy: Critical Analysis Review of Current Nonoperative Treatments. JBJS Rev. 2023, 11, e23.00101. [Google Scholar] [CrossRef]
- Mellor, R.; Grimaldi, A.; Wajswelner, H.; Hodges, P.; Abbott, J.H.; Bennell, K.; Vicenzino, B. Exercise and Load Modification versus Corticosteroid Injection versus ‘Wait and See’ for Persistent Gluteus Medius/Minimus Tendinopathy (the LEAP Trial): A Protocol for a Randomised Clinical Trial. BMC Musculoskelet. Disord. 2016, 17, 196. [Google Scholar] [CrossRef] [PubMed]
- Palermi, S.; Guelfi, M.; Corsini, A.; Siagascot, S.M.G. Comprehensive Management of Lower Limb Tendinopathies in Athletes: Advances and Challenges. Joints 2024, 2, e931. [Google Scholar] [CrossRef]
- Canosa-Carro, L.; Bravo-Aguilar, M.; Abuín-Porras, V.; Almazán-Polo, J.; García-Pérez-de-Sevilla, G.; Rodríguez-Costa, I.; López-López, D.; Navarro-Flores, E.; Romero-Morales, C. Current Understanding of the Diagnosis and Management of the Tendinopathy: An Update from the Lab to the Clinical Practice. Disease-a-Month 2022, 68, 101314. [Google Scholar] [CrossRef]
- Williams, B.S.; Cohen, S.P. Greater Trochanteric Pain Syndrome: A Review of Anatomy, Diagnosis and Treatment. Anesth. Analg. 2009, 108, 1662–1670. [Google Scholar] [CrossRef]
- Segal, N.A.; Felson, D.T.; Torner, J.C.; Zhu, Y.; Curtis, J.R.; Niu, J.; Nevitt, M.C. Multicenter Osteoarthritis Study Group Greater Trochanteric Pain Syndrome: Epidemiology and Associated Factors. Arch. Phys. Med. Rehabil. 2007, 88, 988–992. [Google Scholar] [CrossRef]
- Albers, I.S.; Zwerver, J.; Diercks, R.L.; Dekker, J.H.; Van Den Akker-Scheek, I. Incidence and Prevalence of Lower Extremity Tendinopathy in a Dutch General Practice Population: A Cross Sectional Study. BMC Musculoskelet. Disord. 2016, 17, 16. [Google Scholar] [CrossRef]
- Connell, D.A.; Bass, C.; Sykes, C.J.; Young, D.; Edwards, E. Sonographic Evaluation of Gluteus Medius and Minimus Tendinopathy. Eur. Radiol. 2003, 13, 1339–1347. [Google Scholar] [CrossRef] [PubMed]
- Grimaldi, A.; Mellor, R.; Hodges, P.; Bennell, K.; Wajswelner, H.; Vicenzino, B. Gluteal Tendinopathy: A Review of Mechanisms, Assessment and Management. Sports Med. 2015, 45, 1107–1119. [Google Scholar] [CrossRef]
- Asensio-Olea, L.; Leirós-Rodríguez, R.; Marqués-Sánchez, M.P.; De Carvalho, F.O.; Maciel, L.Y.S. Efficacy of Percutaneous Electrolysis for the Treatment of Tendinopathies: A Systematic Review and Meta-Analysis. Clin. Rehabil. 2023, 37, 747–759. [Google Scholar] [CrossRef]
- Patricio Cordeiro, T.T.; Rocha, E.A.B.; Scattone Silva, R. Effects of Exercise-Based Interventions on Gluteal Tendinopathy. Systematic Review with Meta-Analysis. Sci. Rep. 2024, 14, 3343. [Google Scholar] [CrossRef] [PubMed]
- Manske, R.C.; Wolfe, C.; Page, P.; Voight, M.L.; Bardowski, E. The Utilization of Diagnostic Musculoskeletal Ultrasound in the Evaluation of Gluteus Medius Tendon Pathology: A Perspective for Rehabilitation Providers. Int. J. Sports Phys. Ther. 2024, 19, 642–645. [Google Scholar] [CrossRef] [PubMed]
- Saad, A.; McLoughlin, E.; S Kalia, S.; Almeer, G.; C Azzopardi, C.; Botchu, R. Gluteus Medius Muscle Pathologies—A Case Series & Pictorial Review. J. Orthop. 2020, 21, 270–274. [Google Scholar] [CrossRef] [PubMed]
- Furia, J.P.; Rompe, J.D.; Maffulli, N. Low-Energy Extracorporeal Shock Wave Therapy as a Treatment for Greater Trochanteric Pain Syndrome. Am. J. Sports Med. 2009, 37, 1806–1813. [Google Scholar] [CrossRef]
- Mittermayr, R.; Haffner, N.; Feichtinger, X.; Schaden, W. The Role of Shockwaves in the Enhancement of Bone Repair—From Basic Principles to Clinical Application. Injury 2021, 52, S84–S90. [Google Scholar] [CrossRef]
- Ryskalin, L.; Morucci, G.; Natale, G.; Soldani, P.; Gesi, M. Molecular Mechanisms Underlying the Pain-Relieving Effects of Extracorporeal Shock Wave Therapy: A Focus on Fascia Nociceptors. Life 2022, 12, 743. [Google Scholar] [CrossRef] [PubMed]
- Cheng, J.-H.; Wang, C.-J. Biological Mechanism of Shockwave in Bone. Int. J. Surg. 2015, 24, 143–146. [Google Scholar] [CrossRef]
- Antonic, V.; Mittermayr, R.; Schaden, W.; Stojadinovic, A. Evidence Supporting Extracorporeal Shock Wave Therapy for Acute and Chronic Soft Tissue Wounds. Wounds 2011, 23, 204–215. [Google Scholar] [PubMed]
- Frairia, R.; Berta, L. Biological Effects of Extracorporeal Shock Waves on Fibroblasts. A Review. Muscles Ligaments Tendons J. 2011, 1, 138–147. [Google Scholar] [PubMed]
- Simplicio, C.L.; Purita, J.; Murrell, W.; Santos, G.S.; Dos Santos, R.G.; Lana, J.F.S.D. Extracorporeal Shock Wave Therapy Mechanisms in Musculoskeletal Regenerative Medicine. J. Clin. Orthop. Trauma. 2020, 11, S309–S318. [Google Scholar] [CrossRef]
- Kou, D.; Chen, Q.; Wang, Y.; Xu, G.; Lei, M.; Tang, X.; Ni, H.; Zhang, F. The Application of Extracorporeal Shock Wave Therapy on Stem Cells Therapy to Treat Various Diseases. Stem Cell Res. Ther. 2024, 15, 271. [Google Scholar] [CrossRef] [PubMed]
- Wuerfel, T.; Schmitz, C.; Jokinen, L.L.J. The Effects of the Exposure of Musculoskeletal Tissue to Extracorporeal Shock Waves. Biomedicines 2022, 10, 1084. [Google Scholar] [CrossRef]
- Lv, F.; Li, Z.; Jing, Y.; Sun, L.; Li, Z.; Duan, H. The Effects and Underlying Mechanism of Extracorporeal Shockwave Therapy on Fracture Healing. Front. Endocrinol. 2023, 14, 1188297. [Google Scholar] [CrossRef] [PubMed]
- Chen, Y.; Lyu, K.; Lu, J.; Jiang, L.; Zhu, B.; Liu, X.; Li, Y.; Liu, X.; Long, L.; Wang, X.; et al. Biological Response of Extracorporeal Shock Wave Therapy to Tendinopathy in Vivo (Review). Front. Vet. Sci. 2022, 9, 851894. [Google Scholar] [CrossRef] [PubMed]
- Sukubo, N.G.; Tibalt, E.; Respizzi, S.; Locati, M.; d’Agostino, M.C. Effect of Shock Waves on Macrophages: A Possible Role in Tissue Regeneration and Remodeling. Int. J. Surg. 2015, 24, 124–130. [Google Scholar] [CrossRef]
- d’Agostino, M.C.; Craig, K.; Tibalt, E.; Respizzi, S. Shock Wave as Biological Therapeutic Tool: From Mechanical Stimulation to Recovery and Healing, through Mechanotransduction. Int. J. Surg. 2015, 24, 147–153. [Google Scholar] [CrossRef]
- Wang, C.-J. Extracorporeal Shockwave Therapy in Musculoskeletal Disorders. J. Orthop. Surg. Res. 2012, 7, 11. [Google Scholar] [CrossRef]
- Fulceri, F.; Ryskalin, L.; Morucci, G.; Busoni, F.; Soldani, P.; Gesi, M. Pain-Relieving Effects of Shockwave Therapy for Ledderhose Disease: An Ultrasound-Based Study of an Unusual Bilateral Case. Life 2024, 14, 169. [Google Scholar] [CrossRef] [PubMed]
- Ryskalin, L.; Fulceri, F.; Morucci, G.; Dell’Agli, S.; Soldani, P.; Gesi, M. Treatment of Delayed Union of the Forearm with Extracorporeal Shockwave Therapy: A Case Report and Literature Review. Front. Endocrinol. 2023, 14, 1286480. [Google Scholar] [CrossRef]
- Reilly, J.M.; Bluman, E.; Tenforde, A.S. Effect of Shockwave Treatment for Management of Upper and Lower Extremity Musculoskeletal Conditions: A Narrative Review. PMR 2018, 10, 1385–1403. [Google Scholar] [CrossRef]
- Moya, D.; Ramón, S.; Schaden, W.; Wang, C.-J.; Guiloff, L.; Cheng, J.-H. The Role of Extracorporeal Shockwave Treatment in Musculoskeletal Disorders. J. Bone Jt. Surg. 2018, 100, 251–263. [Google Scholar] [CrossRef] [PubMed]
- Hsu, C.-J.; Wang, D.-Y.; Tseng, K.-F.; Fong, Y.-C.; Hsu, H.-C.; Jim, Y.-F. Extracorporeal Shock Wave Therapy for Calcifying Tendinitis of the Shoulder. J. Shoulder Elb. Surg. 2008, 17, 55–59. [Google Scholar] [CrossRef] [PubMed]
- Sun, J.; Gao, F.; Wang, Y.; Sun, W.; Jiang, B.; Li, Z. Extracorporeal Shock Wave Therapy Is Effective in Treating Chronic Plantar Fasciitis: A Meta-Analysis of RCTs. Medicine 2017, 96, e6621. [Google Scholar] [CrossRef] [PubMed]
- Ryskalin, L.; Fulceri, F.; Morucci, G.; Busoni, F.; Soldani, P.; Gesi, M. Efficacy of Focused Extracorporeal Shock Wave Therapy for Fabella Syndrome. PMR 2024, 16, 1165–1167. [Google Scholar] [CrossRef]
- Yun, P.H.; DeLuca, S.; Robinson, D.; Park, A.; Rosenberg, C.; Kohler, M.J.; Tenforde, A.S. Radial versus Combined Shockwave Therapy in the Management of Proximal Hamstring Tendinopathy: Similar Functional Outcomes in Running Cohort. Muscle Ligaments Tendons J. 2021, 11, 742. [Google Scholar] [CrossRef]
- Saxena, A.; Shou, L. Combined ESWT and RSW Therapy for Achilles Tendinopathy: A Prospective Study. Muscle Ligaments Tendons J. 2019, 09, 552. [Google Scholar] [CrossRef]
- DeLuca, S.; Robinson, D.M.; Yun, P.H.; Rosenberg, C.; Tan, C.O.; Tenforde, A.S. Similar Functional Gains Using Radial Versus Combined Shockwave Therapy in Management of Plantar Fasciitis. J. Foot Ankle Surg. 2021, 60, 1098–1102. [Google Scholar] [CrossRef]
- Robinson, D.M.; Tan, C.O.; Tenforde, A.S. Functional Gains Using Radial and Combined Shockwave Therapy in the Management of Achilles Tendinopathy. J. Foot Ankle Surg. 2022, 61, 99–103. [Google Scholar] [CrossRef] [PubMed]
- Abo Al-Khair, M.A.; El Khouly, R.M.; Khodair, S.A.; Al Sattar Elsergany, M.A.; Hussein, M.I.; Eldin Mowafy, M.E. Focused, Radial and Combined Shock Wave Therapy in Treatment of Calcific Shoulder Tendinopathy. Physician Sportsmed. 2021, 49, 480–487. [Google Scholar] [CrossRef]
- Rompe, J.D.; Segal, N.A.; Cacchio, A.; Furia, J.P.; Morral, A.; Maffulli, N. Home Training, Local Corticosteroid Injection, or Radial Shock Wave Therapy for Greater Trochanter Pain Syndrome. Am. J. Sports Med. 2009, 37, 1981–1990. [Google Scholar] [CrossRef]
- Seo, K.-H.; Lee, J.-Y.; Yoon, K.; Do, J.G.; Park, H.-J.; Lee, S.-Y.; Park, Y.S.; Lee, Y.-T. Long-Term Outcome of Low-Energy Extracorporeal Shockwave Therapy on Gluteal Tendinopathy Documented by Magnetic Resonance Imaging. PLoS ONE 2018, 13, e0197460. [Google Scholar] [CrossRef] [PubMed]
- Carlisi, E.; Cecini, M.; Di Natali, G.; Manzoni, F.; Tinelli, C.; Lisi, C. Focused Extracorporeal Shock Wave Therapy for Greater Trochanteric Pain Syndrome with Gluteal Tendinopathy: A Randomized Controlled Trial. Clin. Rehabil. 2019, 33, 670–680. [Google Scholar] [CrossRef] [PubMed]
- Ramon, S.; Russo, S.; Santoboni, F.; Lucenteforte, G.; Di Luise, C.; De Unzurrunzaga, R.; Vetrano, M.; Albano, M.; Baldini, R.; Cugat, R.; et al. Focused Shockwave Treatment for Greater Trochanteric Pain Syndrome: A Multicenter, Randomized, Controlled Clinical Trial. J. Bone Jt. Surg. 2020, 102, 1305–1311. [Google Scholar] [CrossRef]
- Tenforde, A.S.; Borgstrom, H.E.; DeLuca, S.; McCormack, M.; Singh, M.; Hoo, J.S.; Yun, P.H. Best Practices for Extracorporeal Shockwave Therapy in Musculoskeletal Medicine: Clinical Application and Training Consideration. PMR 2022, 14, 611–619. [Google Scholar] [CrossRef]
- Crevenna, R.; Mickel, M.; Schuhfried, O.; Gesslbauer, C.; Zdravkovic, A.; Keilani, M. Focused Extracorporeal Shockwave Therapy in Physical Medicine and Rehabilitation. Curr. Phys. Med. Rehabil. Rep. 2021, 9, 1–10. [Google Scholar] [CrossRef]
- Hwang, J.T.; Yoon, K.J.; Park, C.-H.; Choi, J.H.; Park, H.-J.; Park, Y.S.; Lee, Y.-T. Follow-up of Clinical and Sonographic Features after Extracorporeal Shock Wave Therapy in Painful Plantar Fibromatosis. PLoS ONE 2020, 15, e0237447. [Google Scholar] [CrossRef]
- Minetto, M.A.; Busso, C.; Giannini, A.; Meiburger, K.; Massazza, G.; Maffulli, N. Cross-Cultural Adaptation and Validation of the Victorian Institute of Sports Assessment for Gluteal Tendinopathy Questionnaire in Italian and Investigation of the Association between Tendinopathy-Related Disability and Pain. Eur. J. Phys. Rehabil. Med. 2021, 56, 764–770. [Google Scholar] [CrossRef]
- Fearon, A.M.; Ganderton, C.; Scarvell, J.M.; Smith, P.N.; Neeman, T.; Nash, C.; Cook, J.L. Development and Validation of a VISA Tendinopathy Questionnaire for Greater Trochanteric Pain Syndrome, the VISA-G. Man. Ther. 2015, 20, 805–813. [Google Scholar] [CrossRef]
- Pellegrino, R.; Di Iorio, A.; Filoni, S.; Mondardini, P.; Paolucci, T.; Sparvieri, E.; Tarantino, D.; Moretti, A.; Iolascon, G. Radial or Focal Extracorporeal Shock Wave Therapy in Lateral Elbow Tendinopathy: A Real-Life Retrospective Study. Int. J. Environ. Res. Public Health 2023, 20, 4371. [Google Scholar] [CrossRef] [PubMed]
- Chen, Y.; Wang, C.; Yang, K.D.; Kuo, Y.; Huang, H.; Huang, Y.; Sun, Y.; Wang, F. Extracorporeal Shock Waves Promote Healing of Collagenase-induced Achilles Tendinitis and Increase TGF-β1 and IGF-I Expression. J. Orthop. Res. 2004, 22, 854–861. [Google Scholar] [CrossRef] [PubMed]
- Bosch, G.; Lin, Y.L.; Van Schie, H.T.M.; Van De Lest, C.H.A.; Barneveld, A.; Van Weeren, P.R. Effect of Extracorporeal Shock Wave Therapy on the Biochemical Composition and Metabolic Activity of Tenocytes in Normal Tendinous Structures in Ponies. Equine Vet. J. 2007, 39, 226–231. [Google Scholar] [CrossRef]
- Zhang, D.; Kearney, C.J.; Cheriyan, T.; Schmid, T.M.; Spector, M. Extracorporeal Shockwave-Induced Expression of Lubricin in Tendons and Septa. Cell Tissue Res. 2011, 346, 255–262. [Google Scholar] [CrossRef] [PubMed]
- Shao, H.; Zhang, S.; Chen, J.; Wen, A.; Wu, Z.; Huang, M.; Yao, W.; Lin, Z.; Liu, C.; Jin, Z.; et al. Radial Extracorporeal Shockwave Therapy Reduces Pain and Promotes Proximal Tendon Healing after Rotator Cuff Repair: Randomized Clinical Trial. Ann. Phys. Rehabil. Med. 2023, 66, 101730. [Google Scholar] [CrossRef]
- Joo, Y.; Choi, W.; Jung, J.; Kim, H.; Park, S.; Lee, S.; Lee, S. Does Radial Extracorporeal Shockwave Therapy Applied to the Achilles Tendon Influence Ankle Functionality? J. Funct. Morphol. Kinesiol. 2024, 9, 67. [Google Scholar] [CrossRef] [PubMed]
- Huang, P.-P.; Zhang, Q.-B.; Zhou, Y.; Liu, A.-Y.; Wang, F.; Xu, Q.-Y.; Yang, F. Effect of Radial Extracorporeal Shock Wave Combined With Ultrashort Wave Diathermy on Fibrosis and Contracture of Muscle. Am. J. Phys. Med. Rehabil. 2021, 100, 643–650. [Google Scholar] [CrossRef]






| Variable | Mean ± SEM (Range) |
|---|---|
| Sex: female (n), % | 9; 81.8% |
| Age (years) | 62.5 ± 3.2 (32–73) |
| Weight (kg) | 63.2 ± 3.7 (51.0–78.0) |
| Height (m) | 1.7 ± 0.02 (1.58–1.85) |
| BMI (kg/m2) | 22.4 ± 1.01 (19.37–25.40) |
| Variable | Mean ± SEM | Mean ± SEM |
|---|---|---|
| Sex | Female | Male |
| n (%) | 9 (81.8%) | 2 (18.2%) |
| Age (years) | 61.7 ± 4.5 | 67.0 ± 0.0 |
| Weight (kg) | 60.1 ± 3.7 | 77.5 ± 0.5 |
| Height (m) | 1.65 ± 0.03 | 1.8 ± 0.01 |
| BMI (kg/m2) | 22.0 ± 1.23 | 24.0 ± 0.3 |
| Patient Number | Age | Gender | Duration of Symptoms | Pathological Insertion Site | Pathology |
|---|---|---|---|---|---|
| 1 | 58 | F | ≤3 months | Distal | Enthesopathy + Tendinosis |
| 2 | 49 | F | 3–6 months | Proximal | Enthesopathy + Tendinosis |
| 3 | 67 | M | ≤3 months | Distal | Tendinosis |
| 4 | 67 | M | ≤3 months | Distal | Tendinosis |
| 5 | 71 | F | 3–6 months | Distal | Tendinosis |
| 6 | 69 | F | ≤3 months | Proximal | Tendinosis |
| 7 | 32 | F | ≤3 months | Distal | Enthesopathy |
| 8 | 68 | F | 3–6 months | Distal | Enthesopathy |
| 9 | 73 | F | ≤3 months | Proximal and distal | Enthesopathy |
| 10 | 72 | F | ≥6 months | Distal | Enthesopathy |
| 11 | 62 | F | ≥6 months | Distal | Enthesopathy |
| Variable | Female | Male | p-Value |
|---|---|---|---|
| NRS-p score | 6.9 ± 0.7 | 6.0 ± 1.0 | 0.6 |
| VISA-G score | 40.0 ± 7.6 | 46.5 ± 9.5 | 0.7 |
| R&M score | 3.4 ± 0.2 | 3.0 ± 1.0 | 0.5 |
Disclaimer/Publisher’s Note: The statements, opinions and data contained in all publications are solely those of the individual author(s) and contributor(s) and not of MDPI and/or the editor(s). MDPI and/or the editor(s) disclaim responsibility for any injury to people or property resulting from any ideas, methods, instructions or products referred to in the content. |
© 2024 by the authors. Licensee MDPI, Basel, Switzerland. This article is an open access article distributed under the terms and conditions of the Creative Commons Attribution (CC BY) license (https://creativecommons.org/licenses/by/4.0/).
Share and Cite
Fulceri, F.; Ryskalin, L.; Morucci, G.; Busoni, F.; Soldani, P.; Gesi, M. Long-Term Efficacy of Combined Focused and Radial Extracorporeal Shockwave Therapy for Gluteus Medius Tendon Pathology: A Pilot Study. Life 2024, 14, 1698. https://doi.org/10.3390/life14121698
Fulceri F, Ryskalin L, Morucci G, Busoni F, Soldani P, Gesi M. Long-Term Efficacy of Combined Focused and Radial Extracorporeal Shockwave Therapy for Gluteus Medius Tendon Pathology: A Pilot Study. Life. 2024; 14(12):1698. https://doi.org/10.3390/life14121698
Chicago/Turabian StyleFulceri, Federica, Larisa Ryskalin, Gabriele Morucci, Francesco Busoni, Paola Soldani, and Marco Gesi. 2024. "Long-Term Efficacy of Combined Focused and Radial Extracorporeal Shockwave Therapy for Gluteus Medius Tendon Pathology: A Pilot Study" Life 14, no. 12: 1698. https://doi.org/10.3390/life14121698
APA StyleFulceri, F., Ryskalin, L., Morucci, G., Busoni, F., Soldani, P., & Gesi, M. (2024). Long-Term Efficacy of Combined Focused and Radial Extracorporeal Shockwave Therapy for Gluteus Medius Tendon Pathology: A Pilot Study. Life, 14(12), 1698. https://doi.org/10.3390/life14121698

