Initial Evaluation of Safety and Immunomodulatory Potential of Dietary Supplementation with Mangosteen Pericarp Extract for Sustainable Meat Production in Native Crossbred Chickens
Abstract
1. Introduction
2. Materials and Methods
2.1. Animals and Husbandry
2.2. Plant Extract Composition and Total Phenolic Biomarker Analysis
2.3. Dietary Preparation and Feeding
2.4. Safety Evaluations
2.5. Analysis of Immune-Related Gene Expressions
2.6. Measurement of Flock Productivity
2.7. Characterization of Carcasses
2.8. Measurement of Meat Quality
2.9. Statical Analysis
3. Results
3.1. Proximate Composition and Total Phenolic Biomarker of MPE
3.2. Safety
3.3. Flock Immunity
3.4. Growth Performance and Economic Viability
3.5. Carcass Traits
3.6. Muscular Chemical Composition and pH Values
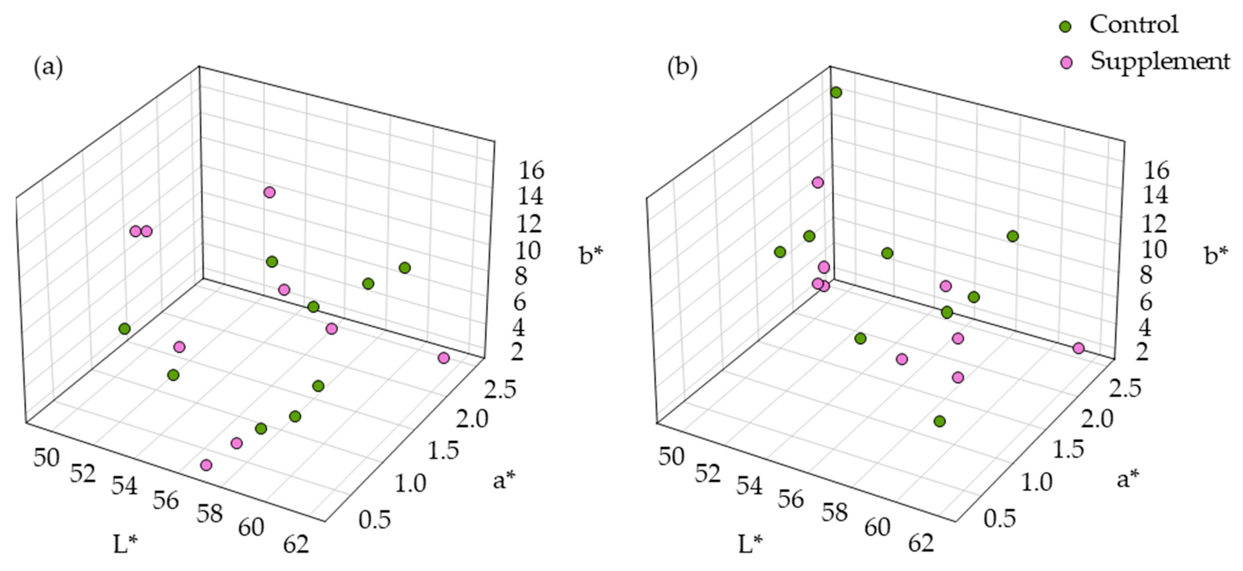
3.7. Muscular Color
3.8. Water-Holding Capacity and Shear Force
4. Discussion
5. Conclusions
Author Contributions
Funding
Institutional Review Board Statement
Informed Consent Statement
Data Availability Statement
Acknowledgments
Conflicts of Interest
References
- Ritchie, H.; Rodés-Guirao, L. Peak global population and other key findings from the 2024 UN World Population Prospects. Our World Data 2024. Available online: https://ourworldindata.org/un-population-2024-revision (accessed on 11 November 2024).
- van Dijk, M.; Morley, T.; Rau, M.L.; Saghai, Y. A meta-analysis of projected global food demand and population at risk of hunger for the period 2010–2050. Nat. Food 2021, 2, 494–501. [Google Scholar] [CrossRef] [PubMed]
- Vaarst, M.; Steenfeldt, S.; Horsted, K. Sustainable development perspectives of poultry production. World's Poult. Sci. J. 2015, 71, 609–620. [Google Scholar] [CrossRef]
- Mourad, R.; Jaafar, H.H.; Daghir, N. New estimates of water footprint for animal products in fifteen countries of the Middle East and North Africa (2010–2016). Water Resour. Ind. 2019, 22, 100113. [Google Scholar] [CrossRef]
- Kuempel, C.D.; Frazier, M.; Verstaen, J.; Rayner, P.E.; Blanchard, J.L.; Cottrell, R.S.; Froehlich, H.E.; Gephart, J.A.; Jacobsen, N.S.; McIntyre, P.B.; et al. Environmental footprints of farmed chicken and salmon bridge the land and sea. Curr. Biol. 2023, 33, 990–997.e4. [Google Scholar] [CrossRef] [PubMed]
- Kpomasse, C.C.; Kouame, Y.; N’nanle, O.; Houndonougbo, F.; Tona, K.; Oke, O.E. The productivity and resilience of the indigenous chickens in the tropical environments: Improvement and future perspectives. J. Appl. Anim. Res. 2023, 51, 456–469. [Google Scholar] [CrossRef]
- Boonkum, W.; Chankitisakul, V.; Kananit, S.; Kenchaiwong, W. Heat stress effects on the genetics of growth traits in Thai native chickens (Pradu Hang dum). Anim. Biosci. 2024, 37, 16–27. [Google Scholar] [CrossRef]
- Sakulthai, A.; Sawangrat, C.; Pichpol, D.; Kongkapan, J.; Srikanchai, T.; Charoensook, R.; Sojithamporn, P.; Boonyawan, D. Improving the efficiency of crossbred Pradu Hang Dam chicken production for meat consumption using cold plasma technology on eggs. Sci. Rep. 2023, 13, 2836. [Google Scholar] [CrossRef]
- Padhi, M. Importance of Indigenous Breeds of Chicken for Rural Economy and Their Improvements for Higher Production Performance. Scientifica 2016, 2016, 2604685. [Google Scholar] [CrossRef]
- El-Sabrout, K.; Khalifah, A.; Mishra, B. Application of botanical products as nutraceutical feed additives for improving poultry health and production. Vet. World 2023, 16, 369–379. [Google Scholar] [CrossRef]
- Alagawany, M.; Elnesr, S.S.; Farag, M.R.; Tiwari, R.; Yatoo, M.I.; Karthik, K.; Michalak, I.; Dhama, K. Nutritional significance of amino acids, vitamins and minerals as nutraceuticals in poultry production and health—A comprehensive review. Vet. Q. 2020, 41, 1–29. [Google Scholar] [CrossRef]
- Shaharudin, M.A.; Zaki, N.M.; Saleh, M.N.; Mohd Noor, N.; Midin, M.R. The origin of mangosteen: A review. Genet. Resour. Crop Evol. 2022, 69, 2291–2299. [Google Scholar] [CrossRef]
- Albuquerque, B.R.; Dias, M.I.; Pinela, J.; Calhelha, R.C.; Pires, T.; Alves, M.J.; Correa, R.C.G.; Ferreira, I.; Oliveira, M.; Barros, L. Insights into the Chemical Composition and In Vitro Bioactive Properties of Mangosteen (Garcinia mangostana L.) Pericarp. Foods 2023, 12, 994. [Google Scholar] [CrossRef] [PubMed]
- Bi, C.; Xu, H.; Yu, J.; Ding, Z.; Liu, Z. Botanical characteristics, chemical components, biological activity, and potential applications of mangosteen. PeerJ 2023, 11, e15329. [Google Scholar] [CrossRef] [PubMed]
- Aizat, W.M.; Jamil, I.N.; Ahmad-Hashim, F.H.; Noor, N.M. Recent updates on metabolite composition and medicinal benefits of mangosteen plant. PeerJ 2019, 7, e6324. [Google Scholar] [CrossRef] [PubMed]
- Sriboonyong, P.; Poommarin, P.; Sittiya, J.; Opanasopit, P.; Ngawhirunpat, T.; Patrojanasophon, P.; Pornpitchanarong, C. The utilization of mangosteen pericarp extract for anticoccidial drug replacement in broiler feed. Int. J. Vet. Sci. Med. 2022, 10, 90–99. [Google Scholar] [CrossRef]
- Wanapat, M.; Chanthakhoun, V.; Phesatcha, K.; Kang, S. Influence of mangosteen peel powder as a source of plant secondary compounds on rumen microorganisms, volatile fatty acids, methane and microbial protein synthesis in swamp buffaloes. Livest. Sci. 2014, 162, 126–133. [Google Scholar] [CrossRef]
- Ban, C.; Paengkoum, S.; Yang, S.; Tian, X.; Thongpea, S.; Purba, R.A.P.; Paengkoum, P. Feeding meat goats mangosteen (Garcinia mangostana L.) peel rich in condensed tannins, flavonoids, and cinnamic acid improves growth performance and plasma antioxidant activity under tropical conditions. J. Appl. Anim. Res. 2022, 50, 307–315. [Google Scholar] [CrossRef]
- Yostawonkul, J.; Kamble, M.T.; Sakuna, K.; Madyod, S.; Sukkarun, P.; Medhe, S.V.; Rodkhum, C.; Pirarat, N.; Sewaka, M. Effects of Mangosteen (Garcinia mangostana) Peel Extract Loaded in Nanoemulsion on Growth Performance, Immune Response, and Disease Resistance of Nile Tilapia (Oreochromis niloticus) against Aeromonas veronii Infection. Animals 2023, 13, 1798. [Google Scholar] [CrossRef]
- Herawati, O.; Untari, T.; Anggita, M.; Artanto, S. Effect of mangosteen (Garcinia mangostana L.) peel extract as an antibiotic growth promoter on growth performance and antibiotic resistance in broilers. Vet. World 2019, 13, 796–800. [Google Scholar] [CrossRef]
- Singleton, V.L.; Orthofer, R.; Lamuela-Raventós, R.M. Analysis of total phenols and other oxidation substrates and antioxidants by means of folin-ciocalteu reagent. In Methods in Enzymology; Academic Press: Cambridge, MA, USA, 1999; Volume 299, pp. 152–178. [Google Scholar]
- Longchuphon, M.; Chongrattanameteekul, P.; Mektrirat, R.; Sringarm, K.; Tapingkae, W.; Srinual, O.; Huanhong, K.; Chaiphun, W.; Arjin, C.; Jaturasitha, S.; et al. Effects of Dietary Supplementation with Caesalpinia sappan Linn. Extract for Promoting Flock Health and Performance in Late-Phase Laying Hens. Animals 2024, 14, 515. [Google Scholar] [CrossRef]
- Marcu, A.; Vacaru-Opriș, I.; Dumitrescu, G.; Ciochină, L.; Marcu, A.; Nicula, M.; Peț, I.; Dronca, D.; Kelciov, B.; Mariș, C. The Influence of Genetics on Economic Efficiency of Broiler Chickens Growth. Sci. Pap. Anim. Sci. Biotechnol. 2013, 46, 339–346. [Google Scholar]
- Chaiwang, N.; Marupanthorn, K.; Krutthai, N.; Wattanakul, W.; Jaturasitha, S.; Arjin, C.; Sringarm, K.; Setthaya, P. Assessment of nucleic acid content, amino acid profile, carcass, and meat quality of Thai native chicken. Poult. Sci. 2023, 102, 103067. [Google Scholar] [CrossRef] [PubMed]
- AOAC. Official methods of analysis. Assoc. Anal. Chem. 1990, 62, 2742–2744. [Google Scholar]
- Honikel, K.O. Reference methods for the assessment of physical characteristics of meat. Meat Sci. 1998, 49, 447–457. [Google Scholar] [CrossRef]
- Krisanti, E.; Farizal, A.; Mulia, K. Garcinia mangostana L. fruit rind extract in ethyl acetate, n- butanol and water fractions: Phytochemical analysis, antioxidant assay and cytotoxicity assay. IOP Conf. Ser. Mater. Sci. Eng. 2021, 1053, 012040. [Google Scholar] [CrossRef]
- Khaw, K.; Chong, C.; Murugaiyah, V. LC-QTOF-MS analysis of xanthone content in different parts of Garcinia mangostana and its influence on cholinesterase inhibition. J. Enzym. Inhib. Med. Chem. 2020, 35, 1433–1441. [Google Scholar] [CrossRef]
- Yuvanatemiya, V.; Srean, P.; Klangbud, W.K.; Venkatachalam, K.; Wongsa, J.; Parametthanuwat, T.; Charoenphun, N. A Review of the Influence of Various Extraction Techniques and the Biological Effects of the Xanthones from Mangosteen (Garcinia mangostana L.) Pericarps. Molecules 2022, 27, 8775. [Google Scholar] [CrossRef]
- Dodda, S.; Alluri, V.K.; Golakoti, T.; Sengupta, K. Acute, Subacute, and Genotoxicity Assessments of a Proprietary Blend of Garcinia mangostana Fruit Rind and Cinnamomum tamala Leaf Extracts (CinDura®). J. Toxicol. 2020, 2020, 1435891. [Google Scholar] [CrossRef]
- Saiyed, Z.; Sengupta, K.; Alluri, K.; Golakoti, T.; Lau, F.; Lugo, J. Safety and toxicological evaluation of Meratri®: An herbal formulation for weight management. Food Chem. Toxicol. 2015, 78, 122–129. [Google Scholar] [CrossRef]
- Chivapat, S.; Chavalittumrong, P.; Wongsinkongman, P.; Phisalpong, C.; Rungsipipat, A. Chronic Toxicity Study of Garcinia mangostana Linn. pericarp Extract. Thai J. Vet. Med. 2011, 41, 45–54. [Google Scholar] [CrossRef]
- Setyawati, L.U.; Nurhidayah, W.; Khairul Ikram, N.K.; Mohd Fuad, W.E.; Muchtaridi, M. General toxicity studies of alpha mangostin from Garcinia mangostana: A systematic review. Heliyon 2023, 9, e16045. [Google Scholar] [CrossRef] [PubMed]
- Senanayake, S.; Ranasinghe, J.; Waduge, R.; Nizanantha, K.; Alexander, P. Changes in the Serum Enzyme Levels and Liver Lesions of Broiler Birds Reared Under Different Management Conditions. Trop. Agric. Res. 2015, 26, 584. [Google Scholar] [CrossRef]
- Tóthová, C.; Sesztáková, E.; Bielik, B.; Nagy, O. Changes of total protein and protein fractions in broiler chickens during the fattening period. Vet. World 2019, 12, 598. [Google Scholar] [CrossRef] [PubMed]
- Iyer, S.S.; Cheng, G. Role of interleukin 10 transcriptional regulation in inflammation and autoimmune disease. Crit. Rev. Immunol. 2012, 32, 23–63. [Google Scholar] [CrossRef] [PubMed]
- Gogoi, U.; Das, A.; Pathak Pratim, M.; Chattopadhyay, P.; Johari, S. Design, Synthesis, Computational and Biological Evaluation of Two New Series of 1, 3- and 1,6-dihydroxy Xanthone Derivatives as Selective COX-2 Inhibitors. Lett. Drug Des. Discov. 2021, 18, 884–914. [Google Scholar] [CrossRef]
- Boontiam, W.; Kumari, P. Effect of Mangosteen (Garcinia mangostana) Pericarp Extract in Reducing the Heat Stress of Laying Quails. Adv. Anim. Vet. Sci. 2019, 7, 452–460. [Google Scholar] [CrossRef]
- Ele, J.J.G.; Migalbin, J.R.; Sepelagio, E.G.; Jimenez, V.B.; Lacia, P.G.F. Immune Response of Broiler Chickens Fed Diets with Different Levels of Mangosteen (Garcinia mangostana L.) Rind Powder. Asia Pac. J. Multidiscip. 2018, 6, 35–44. [Google Scholar]
- Basiouni, S.; Tellez-Isaias, G.; Latorre, J.D.; Graham, B.D.; Petrone-Garcia, V.M.; El-Seedi, H.R.; Yalçın, S.; El-Wahab, A.A.; Visscher, C.; May-Simera, H.L.; et al. Anti-Inflammatory and Antioxidative Phytogenic Substances against Secret Killers in Poultry: Current Status and Prospects. Vet. Sci. 2023, 10, 55. [Google Scholar] [CrossRef]
- Phillips, C.J.C.; Hosseintabar-Ghasemabad, B.; Gorlov, I.F.; Slozhenkina, M.I.; Mosolov, A.A.; Seidavi, A. Immunomodulatory Effects of Natural Feed Additives for Meat Chickens. Life 2023, 13, 1287. [Google Scholar] [CrossRef]
- Setiawan, A.; Budiman, J.; Prasetyo, A. Anti-Inflammatory Potency of Mangosteen (Garcinia mangostana L.): A Systematic Review. Open Access Maced. J. Med. Sci. 2023, 11, 58–66. [Google Scholar] [CrossRef]
- Hidanah, S.; Warsito, S.; Nurhajati, T.; Lokapirnasari, W.; Malik, A. Effects of Mangosteen Peel (Garcinia mangostana) and Ginger Rhizome (Curcuma xanthorrhiza) on the Performance and Cholesterol Levels of Heat-stressed Broiler Chickens. Pak. J. Nutr. 2017, 16, 28–32. [Google Scholar] [CrossRef]
- Kusmayadi, A.; Bachtiar, K.; Prayitno, C. The effects of mangosteen peel (Garcinia mangostana L.) and Turmeric (Curcuma domestica Val) flour dietary supplementation on the growth performance, lipid profile, and abdominal fat content in Cihateup ducks. Vet. World 2019, 12, 402–408. [Google Scholar] [CrossRef] [PubMed]
- Choi, J.; Marshall, B.; Ko, H.; Shi, H.; Singh, A.K.; Thippareddi, H.; Holladay, S.; Gogal, R.M., Jr.; Kim, W.K. Antimicrobial and immunomodulatory effects of tannic acid supplementation in broilers infected with Salmonella Typhimurium. Poult. Sci. 2022, 101, 102111. [Google Scholar] [CrossRef]
- Choi, J.; Kong, B.; Bowker, B.C.; Zhuang, H.; Kim, W.K. Nutritional Strategies to Improve Meat Quality and Composition in the Challenging Conditions of Broiler Production: A Review. Animals 2023, 13, 1386. [Google Scholar] [CrossRef]
- Liu, Y.; Zhu, J.; Qu, S.; Shen, J.; Zhu, K. Plant-Derived Xanthones against Clostridial Enteric Infections. Antibiotics 2023, 12, 232. [Google Scholar] [CrossRef]
- Tocmo, R.; Le, B.; Heun, A.; van Pijkeren, J.P.; Parkin, K.; Johnson, J.J. Prenylated xanthones from mangosteen (Garcinia mangostana) activate the AhR and Nrf2 pathways and protect intestinal barrier integrity in HT-29 cells. Free Radic. Biol. Med. 2021, 163, 102–115. [Google Scholar] [CrossRef]
- Bihan-Duval, E.; Debut, M.; Berri, C.; Sellier, N.; Sante-Lhoutellier, V.; Jego, Y.; Beaumont, C. Chicken meat quality: Genetic variability and relationship with growth and muscle characteristics. BMC Genet. 2008, 9, 53. [Google Scholar] [CrossRef]
- Pastsart, U.; Pimpa, O. Growth Performance, Meat Quality, Meat Oxidation and Intestinal Bacterial Contents of Broilers Fed with Garcinia mangostana Peel Extract. Indian J. Anim. Res. 2021, 56, 966–971. [Google Scholar] [CrossRef]
- Widjastuti, T.; Wiradimadja, R.; Setiyatwan, H.; Rusmana, D. The Effect of Ration Containing Mangosteen Peel Meal (Garcinia mangostana) on Final Body Weight, Carcass Composition and Cholesterol Content of Sentul Chicken. SSRN Electron. J. 2018. [Google Scholar] [CrossRef]
- Adnyana, I.K.; Abuzaid, A.; Iskandar, E.; Kurniati, N. Pancreatic lipase and α-amylase inhibitory potential of mangosteen (Garcinia mangostana L.) pericarp extract. Int. J. Med. Res. Health Sci. 2016, 5, 23. [Google Scholar] [CrossRef]
- Attia, Y.A.; Al-Harthi, M.A.; Korish, M.A.; Shiboob, M.M. Evaluation of the broiler meat quality in the retail market: Effects of type and source of carcasses. Rev. Mex. Cienc. Pecu. 2016, 7, 321–339. [Google Scholar] [CrossRef]
- Wattanachant, S.; Benjakul, S.; Ledward, D.A. Microstructure and thermal characteristics of Thai indigenous and broiler chicken muscles. Poult. Sci. 2005, 84, 328–336. [Google Scholar] [CrossRef] [PubMed]
- Wattanachant, S.; Benjakul, S.; Ledward, D.A. Composition, color, and texture of Thai indigenous and broiler chicken muscles. Poult. Sci. 2004, 83, 123–128. [Google Scholar] [CrossRef] [PubMed]
- Fouda, M.; Atallah, S.; Darweish, R.; Wahed, N. Economic Efficiency of Chicken Breed on Broiler Production. Mansoura Vet. Med. J. 2017, 18, 117–131. [Google Scholar] [CrossRef]
- Puvača, N.; Roljevic, S.; Muhovic, A. Analysis of economic results of dietary medicinal plants usage in broilers production. Ekon. Poljopr. 2021, 68, 977–984. [Google Scholar] [CrossRef]





| Items | 4–6 Weeks | 7–12 Weeks |
|---|---|---|
| Ingredient (g/kg feed) | ||
| Corn meal | 70.0 | 57.5 |
| Rice bran | 0 | 7.5 |
| Full fat soybean meal | 0 | 2.5 |
| Soybean meal 44% | 20.5 | 19.25 |
| Meat meal 50% | 2.5 | 2.5 |
| Limestone | 1.0 | 2.5 |
| Calcium carbonate | 0 | 4.74 |
| Monopotassium phosphate 22% | 1.05 | 1.75 |
| Premix 1 | 0.25 | 0.25 |
| Methionine | 0.09 | 0.15 |
| Toxin binder | 0.1 | 0.05 |
| Salt | 0 | 0.2 |
| Multi protein plus 68% | 4.5 | 1.1 |
| Phytase | 0.01 | 0.01 |
| Analyzed composition (% dry matter basis) | ||
| Moisture | 12.23 | 9.78 |
| Ash | 6.79 | 11.91 |
| Crude protein | 22.22 | 18.02 |
| Crude fiber | 4.56 | 3.82 |
| Crude fat | 5.15 | 4.59 |
| Metabolizable Energy (Kcal/Kg) | 2964.92 | 3081.65 |
| Parameters | Composition (g/100 g Dryweight Basis) |
|---|---|
| Dry matter (%) | 96.50 |
| Moisture (%) | 0.51 |
| Ash (%) | 0.22 |
| Crude protein (%) | 0.44 |
| Crude fat (%) | 4.54 |
| Parameters | Experimental Group | t-Statistic | p-Value | |
|---|---|---|---|---|
| Control (n = 12) | Supplement (n = 12) | |||
| Aspartate transaminase (U/L) | 264.33 ± 56.04 | 252.33 ± 17.59 | 0.29 | 0.79 |
| Alanine transaminase (U/L) | 0.97 ± 0.05 | 0.93 ± 0.05 | 0.71 | 0.52 |
| Alkaline phosphatase (U/L) | 1721.33 ± 383.75 | 1621 ± 354.55 | 0.27 | 0.80 |
| Total protein (mg/dL) | 3.87 ± 0.39 | 3.80 ± 0.14 | 0.23 | 0.83 |
| Albumin (mg/dL) | 2.53 ± 0.34 | 2.43 ± 0.12 | 0.39 | 0.72 |
| Globulin (mg/dL) | 1.33 ± 0.17 | 1.37 ± 0.09 | 0.24 | 0.82 |
| Total bilirubin (mg/dL) | 0.18 ± 0.01 | 0.20 ± 0.01 | 1.25 | 0.28 |
| Direct bilirubin (mg/dL) | 0.02 ± 0.01 | 0.02 ± 0.01 | 0.35 | 0.74 |
| Indirect bilirubin (mg/dL) | 0.17 ± 0.02 | 0.18 ± 0.02 | 0.69 | 0.53 |
| Total cholesterol (mg/dL) | 91.00 ± 17.96 | 92.00 ± 15.77 | 0.06 | 0.96 |
| Triglyceride (mg/dL) | 53.00 ± 17.8 | 101.67 ± 37.95 | 1.64 | 0.18 |
| Parameters | Experimental Group | t-Statistic | p-Value | |
|---|---|---|---|---|
| Control (n = 24) | Supplement (n = 24) | |||
| Initial weight (g) | 158.79 ± 3.46 | 157.11 ± 3.36 | 0.50 | 0.63 |
| Final weight (g) | 1116.82 ± 95.38 | 1243.00 ± 66.94 | 2.42 | 0.04 |
| Average daily feed intake (g) | 49.17 ± 1.46 | 54.63 ±1.58 | 5.07 | <0.01 |
| Carcass weight (g) | 766.11 ± 55.48 | 881.63 ± 66.57 | 4.36 | <0.01 |
| Dressing weight (%) | 61.90 ± 1.59 | 62.53 ± 1.61 | 0.93 | 0.37 |
| European broiler index | 47.58 ± 9.98 | 53.16 ± 4.08 | 1.04 | 0.34 |
| Production efficiency factor | 0.67 ± 0.12 | 0.63 ± 0.05 | 1.04 | 0.34 |
| Muscle | Parameters | Experimental Group | t-Statistic | p-Value | |
|---|---|---|---|---|---|
| Control (n = 12) | Supplement (n = 12) | ||||
| Breast | Composition (%) | ||||
| Water | 1.71 ± 0.04 | 1.72 ± 0.01 | 0.24 | 0.83 | |
| Protein | 23.08 ± 0.26 | 24.29 ± 0.04 | 6.56 | 0.02 | |
| Fat | 1.15 ± 0.01 | 0.75 ± 0.02 | 150.80 | <0.01 | |
| pH value | |||||
| Initial pH | 5.10 ± 0.22 | 5.76 ± 0.21 | 2.87 | <0.01 | |
| Ultimate pH | 5.47 ± 0.09 | 5.50 ± 0.05 | 1.05 | 0.31 | |
| Thigh | Composition (%) | ||||
| Water | 1.07 ± 0.01 | 1.08 ± 0.02 | 2.20 | 0.16 | |
| Protein | 19.63 ± 0.12 | 19.21 ± 0.18 | 5.56 | 0.03 | |
| Fat | 4.53 ± 0.01 | 3.82 ± 0.01 | 50.66 | <0.01 | |
| pH value | |||||
| Initial pH | 6.28 ± 0.16 | 6.34 ± 0.10 | 1.29 | 0.21 | |
| Ultimate pH | 5.80 ± 0.08 | 5.80 ± 0.11 | 0.05 | 0.96 | |
| Parameters | Muscle | Correlation Coefficient Value | p-value | |
|---|---|---|---|---|
| Breasts (n = 12) | Thighs (n = 12) | |||
| Initial pH | 5.77 ± 0.18 | 6.35 ± 0.11 | 0.87 | 0.13 |
| Ultimate pH | 5.51 ± 0.05 | 5.87 ± 0.08 | 0.19 | 0.81 |
| Lightness | 52.85 ± 1.04 | 61.56 ± 5.62 | −0.40 | 0.60 |
| Redness | 1.04 ± 0.86 | 3.1 ± 1.87 | 0.10 | 0.90 |
| Yellowness | 6.06 ± 1.02 | 2.6 ± 1.63 | 0.60 | 0.40 |
| Drip loss (%) | 6.18 ± 0.72 | 2.28 ± 0.82 | 0.10 | 0.80 |
| Boiling loss (%) | 14.96 ± 1.12 | 17.59 ± 0.9 | −0.46 | 0.54 |
| Shear force (N) | 47.46 ± 35.49 | 27.5 ± 0.64 | 0.91 | 0.27 |
Disclaimer/Publisher’s Note: The statements, opinions and data contained in all publications are solely those of the individual author(s) and contributor(s) and not of MDPI and/or the editor(s). MDPI and/or the editor(s) disclaim responsibility for any injury to people or property resulting from any ideas, methods, instructions or products referred to in the content. |
© 2024 by the authors. Licensee MDPI, Basel, Switzerland. This article is an open access article distributed under the terms and conditions of the Creative Commons Attribution (CC BY) license (https://creativecommons.org/licenses/by/4.0/).
Share and Cite
Kaewtui, P.; Lumsangkul, C.; Satsook, A.; Sringarm, K.; Arjin, C.; Tapingkae, W.; Khamtavee, P.; Srinual, O.; Punyatong, M.; Huanhong, K.; et al. Initial Evaluation of Safety and Immunomodulatory Potential of Dietary Supplementation with Mangosteen Pericarp Extract for Sustainable Meat Production in Native Crossbred Chickens. Life 2024, 14, 1481. https://doi.org/10.3390/life14111481
Kaewtui P, Lumsangkul C, Satsook A, Sringarm K, Arjin C, Tapingkae W, Khamtavee P, Srinual O, Punyatong M, Huanhong K, et al. Initial Evaluation of Safety and Immunomodulatory Potential of Dietary Supplementation with Mangosteen Pericarp Extract for Sustainable Meat Production in Native Crossbred Chickens. Life. 2024; 14(11):1481. https://doi.org/10.3390/life14111481
Chicago/Turabian StyleKaewtui, Phruedrada, Chompunut Lumsangkul, Apinya Satsook, Korawan Sringarm, Chaiwat Arjin, Wanaporn Tapingkae, Pimporn Khamtavee, Orranee Srinual, Montri Punyatong, Kiattisak Huanhong, and et al. 2024. "Initial Evaluation of Safety and Immunomodulatory Potential of Dietary Supplementation with Mangosteen Pericarp Extract for Sustainable Meat Production in Native Crossbred Chickens" Life 14, no. 11: 1481. https://doi.org/10.3390/life14111481
APA StyleKaewtui, P., Lumsangkul, C., Satsook, A., Sringarm, K., Arjin, C., Tapingkae, W., Khamtavee, P., Srinual, O., Punyatong, M., Huanhong, K., Chongrattanameteekul, P., Rattaworapanit, N., Mangkang, T., & Mektrirat, R. (2024). Initial Evaluation of Safety and Immunomodulatory Potential of Dietary Supplementation with Mangosteen Pericarp Extract for Sustainable Meat Production in Native Crossbred Chickens. Life, 14(11), 1481. https://doi.org/10.3390/life14111481

