Exploring the Relationship Between Visceral Fat and Coronary Artery Calcification Risk Using Metabolic Score for Visceral Fat (METS-VF)
Abstract
1. Introduction
2. Materials and Methods
2.1. Study Design and Participants
2.2. Laboratory Examinations
2.3. Definitions of Hypertension and Diabetes
2.4. Definitions of METS-VF, METS-IR, VAI, and TyG Index
2.5. CACS Measurements and Severity of CAC
2.6. Statistical Analysis
3. Results
3.1. Characteristics of Study Participants Stratified by Tertiles of METS-VF
3.2. Associations of METS-VF and Anthropometric Indices with the Presence of CAC
3.3. Associations of METS-VF and Anthropometric Indices with Mild, Moderate, and Severe CAC
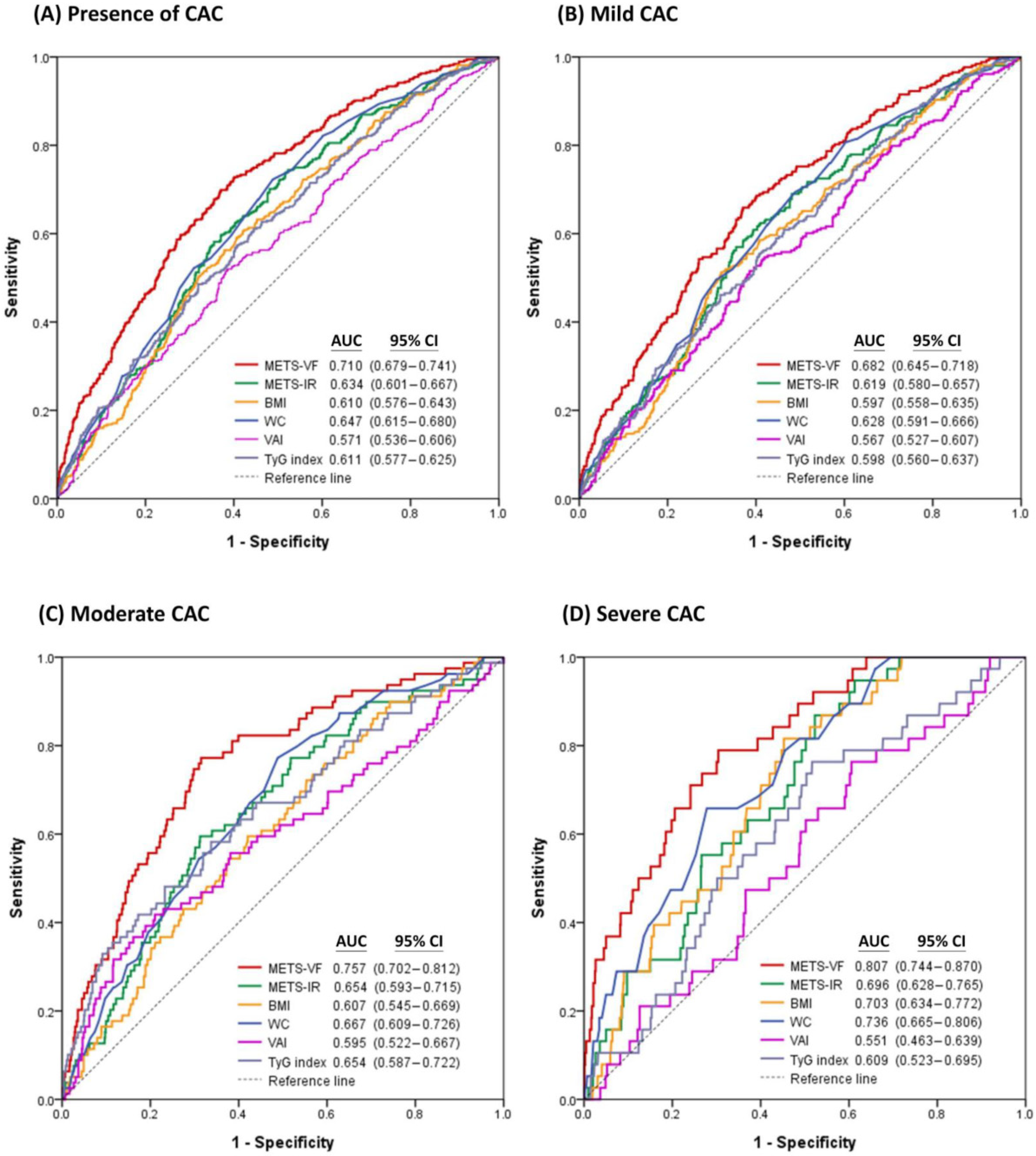
3.4. Performance of METS-VF and Anthropometric Indices in Estimating the Presence of CAC, Mild CAC, Moderate CAC, and Severe CAC
3.5. Cut-Off Values for METS-VF to Predict the Presence of CAC, Mild CAC, Moderate CAC, and Severe CAC
4. Discussion
5. Conclusions
Supplementary Materials
Author Contributions
Funding
Institutional Review Board Statement
Informed Consent Statement
Data Availability Statement
Conflicts of Interest
References
- Roth, G.A.; Mensah, G.A.; Johnson, C.O.; Addolorato, G.; Ammirati, E.; Baddour, L.M.; Barengo, N.C.; Beaton, A.Z.; Benjamin, E.J.; Benziger, C.P.; et al. Global Burden of Cardiovascular Diseases and Risk Factors, 1990–2019: Update from the GBD 2019 Study. J. Am. Coll. Cardiol. 2020, 76, 2982–3021. [Google Scholar] [CrossRef]
- Greenland, P.; Alpert, J.S.; Beller, G.A.; Benjamin, E.J.; Budoff, M.J.; Fayad, Z.A.; Foster, E.; Hlatky, M.A.; Hodgson, J.M.; Kushner, F.G.; et al. 2010 ACCF/AHA guideline for assessment of cardiovascular risk in asymptomatic adults: A report of the American College of Cardiology Foundation/American Heart Association Task Force on Practice Guidelines. J. Am. Coll. Cardiol. 2010, 56, e50–e103. [Google Scholar] [CrossRef]
- Agatston, A.S.; Janowitz, W.R.; Hildner, F.J.; Zusmer, N.R.; Viamonte, M.; Detrano, R. Quantification of coronary artery calcium using ultrafast computed tomography. J. Am. Coll. Cardiol. 1990, 15, 827–832. [Google Scholar] [CrossRef]
- Greenland, P.; Blaha, M.J.; Budoff, M.J.; Erbel, R.; Watson, K.E. Coronary Calcium Score and Cardiovascular Risk. J. Am. Coll. Cardiol. 2018, 72, 434–447. [Google Scholar] [CrossRef]
- Yeboah, J.; Young, R.; McClelland, R.L.; Delaney, J.C.; Polonsky, T.S.; Dawood, F.Z.; Blaha, M.J.; Miedema, M.D.; Sibley, C.T.; Carr, J.J.; et al. Utility of Nontraditional Risk Markers in Atherosclerotic Cardiovascular Disease Risk Assessment. J. Am. Coll. Cardiol. 2016, 67, 139–147. [Google Scholar] [CrossRef]
- Kianoush, S.; Mirbolouk, M.; Makam, R.C.; Nasir, K.; Blaha, M.J. Coronary Artery Calcium Scoring in Current Clinical Practice: How to Define Its Value? Curr. Treat. Options. Cardiovasc. Med. 2017, 19, 85. [Google Scholar] [CrossRef]
- Nusrianto, R.; Ayundini, G.; Kristanti, M.; Astrella, C.; Amalina, N.; Muhadi; Riyadina, W.; Tahapary, D.L.; Soewondo, P. Visceral adiposity index and lipid accumulation product as a predictor of type 2 diabetes mellitus: The Bogor cohort study of non-communicable diseases risk factors. Diabetes Res. Clin. Pract. 2019, 155, 107798. [Google Scholar] [CrossRef]
- Marques, M.D.; Santos, R.D.; Parga, J.R.; Rocha-Filho, J.A.; Quaglia, L.A.; Miname, M.H.; Avila, L.F. Relation between visceral fat and coronary artery disease evaluated by multidetector computed tomography. Atherosclerosis 2010, 209, 481–486. [Google Scholar] [CrossRef]
- McNeely, M.J.; Shofer, J.B.; Leonetti, D.L.; Fujimoto, W.Y.; Boyko, E.J. Associations Among Visceral Fat, All-Cause Mortality, and Obesity-Related Mortality in Japanese Americans. Diabetes Care 2012, 35, 296–298. [Google Scholar] [CrossRef] [PubMed][Green Version]
- Xu, Z.; Liu, Y.; Yan, C.; Yang, R.; Xu, L.; Guo, Z.; Yu, A.; Cheng, X.; Ma, L.; Hu, C.; et al. Measurement of visceral fat and abdominal obesity by single-frequency bioelectrical impedance and CT: A cross-sectional study. BMJ Open 2021, 11, e048221. [Google Scholar] [CrossRef] [PubMed]
- Fang, H.; Berg, E.; Cheng, X.; Shen, W. How to best assess abdominal obesity. Curr. Opin. Clin. Nutr. Metab. Care. 2018, 21, 360–365. [Google Scholar] [CrossRef]
- Bello-Chavolla, O.Y.; Antonio-Villa, N.E.; Vargas-Vázquez, A.; Viveros-Ruiz, T.L.; Almeda-Valdes, P.; Gomez-Velasco, D.; Mehta, R.; Elias-López, D.; Cruz-Bautista, I.; Roldán-Valadez, E.; et al. Metabolic Score for Visceral Fat (METS-VF), a novel estimator of intra-abdominal fat content and cardio-metabolic health. Clin. Nutr. 2020, 39, 1613–1621. [Google Scholar] [CrossRef]
- Feng, Y.; Yang, X.; Li, Y.; Wu, Y.; Han, M.; Qie, R.; Huang, S.; Wu, X.; Zhang, Y.; Zhang, J.; et al. Metabolic Score for Visceral Fat: A novel predictor for the risk of type 2 diabetes mellitus. Br. J. Nutr. 2022, 128, 1029–1036. [Google Scholar] [CrossRef]
- Feng, Y.; Yang, X.; Li, Y.; Wu, Y.; Han, M.; Qie, R.; Huang, S.; Wu, X.; Zhang, Y.; Liu, D.; et al. Metabolic Score for Visceral Fat: A reliable indicator of visceral obesity for predicting risk for hypertension. Nutrition 2022, 93, 111443. [Google Scholar] [CrossRef]
- Yu, P.; Meng, X.; Kan, R.; Wang, Z.; Yu, X. Association between metabolic scores for visceral fat and chronic kidney disease: A cross-sectional study. Front. Endocrinol. 2022, 13, 1052736. [Google Scholar] [CrossRef]
- Jensen, J.C.; Dardari, Z.A.; Blaha, M.J.; White, S.; Shaw, L.J.; Rumberger, J.; Rozanski, A.; Berman, D.S.; Budoff, M.J.; Nasir, K.; et al. Association of Body Mass Index With Coronary Artery Calcium and Subsequent Cardiovascular Mortality: The Coronary Artery Calcium Consortium. Circ. Cardiovasc. Imaging 2020, 13, e009495. [Google Scholar] [CrossRef]
- Park, J.; Lee, E.S.; Lee, D.Y.; Kim, J.; Park, S.E.; Park, C.Y.; Lee, W.Y.; Oh, K.W.; Park, S.W.; Rhee, E.J. Waist Circumference as a Marker of Obesity Is More Predictive of Coronary Artery Calcification than Body Mass Index in Apparently Healthy Korean Adults: The Kangbuk Samsung Health Study. Endocrinol. Metab. 2016, 31, 559–566. [Google Scholar] [CrossRef]
- Park, H.J.; Kim, J.; Park, S.E.; Park, C.Y.; Lee, W.Y.; Oh, K.W.; Park, S.W.; Rhee, E.J. Increased risk of subclinical atherosclerosis associated with high visceral adiposity index in apparently healthy Korean adults: The Kangbuk Samsung Health Study. Ann. Med. 2016, 48, 410–416. [Google Scholar] [CrossRef]
- Park, K.; Ahn, C.W.; Lee, S.B.; Kang, S.; Nam, J.S.; Lee, B.K.; Kim, J.H.; Park, J.S. Elevated TyG Index Predicts Progression of Coronary Artery Calcification. Diabetes Care 2019, 42, 1569–1573. [Google Scholar] [CrossRef]
- Yoon, J.; Jung, D.; Lee, Y.; Park, B. The Metabolic Score for Insulin Resistance (METS-IR) as a Predictor of Incident Ischemic Heart Disease: A Longitudinal Study among Korean without Diabetes. J. Pers. Med. 2021, 11, 742. [Google Scholar] [CrossRef]
- Levey, A.S.; Stevens, L.A.; Schmid, C.H.; Zhang, Y.L.; Castro, A.F., III; Feldman, H.I.; Kusek, J.W.; Eggers, P.; Van Lente, F.; Greene, T.; et al. A new equation to estimate glomerular filtration rate. Ann. Intern. Med. 2009, 150, 604–612. [Google Scholar] [CrossRef]
- Mancia, G.; Kreutz, R.; Brunström, M.; Burnier, M.; Grassi, G.; Januszewicz, A.; Muiesan, M.L.; Tsioufis, K.; Agabiti-Rosei, E.; Algharably, E.A.E.; et al. 2023 ESH Guidelines for the management of arterial hypertension The Task Force for the management of arterial hypertension of the European Society of Hypertension: Endorsed by the International Society of Hypertension (ISH) and the European Renal Association (ERA). J. Hypertens. 2023, 41, 1874–2071. [Google Scholar]
- American Diabetes Association Professional Practice Committee. 2. Diagnosis and Classification of Diabetes: Standards of Care in Diabetes-2024. Diabetes Care 2024, 47, S20–S42. [Google Scholar] [CrossRef]
- Amato, M.C.; Giordano, C.; Galia, M.; Criscimanna, A.; Vitabile, S.; Midiri, M.; Galluzzo, A.; AlkaMeSy Study, G. Visceral Adiposity Index: A reliable indicator of visceral fat function associated with cardiometabolic risk. Diabetes Care 2010, 33, 920–922. [Google Scholar] [CrossRef]
- Erbel, R.; Möhlenkamp, S.; Lehmann, N.; Schmermund, A.; Moebus, S.; Stang, A.; Grönemeyer, D.; Seibel, R.; Mann, K.; Volbracht, L.; et al. Sex related cardiovascular risk stratification based on quantification of atherosclerosis and inflammation. Atherosclerosis 2008, 197, 662–672. [Google Scholar] [CrossRef]
- Schneider, H.J.; Glaesmer, H.; Klotsche, J.; Böhler, S.; Lehnert, H.; Zeiher, A.M.; März, W.; Pittrow, D.; Stalla, G.K.; Wittchen, H.U. Accuracy of anthropometric indicators of obesity to predict cardiovascular risk. J. Clin. Endocrinol. Metab. 2007, 92, 589–594. [Google Scholar] [CrossRef]
- Luo, Y.; Zhan, X.; Liu, Y.; Chen, L.; Zhu, L.; Cai, W. Predicted visceral adiposity index in relation to risk of coronary heart disease and all-cause mortality: Insights from NHANES. Front. Endocrinol. 2024, 14, 1296398. [Google Scholar] [CrossRef]
- Wang, Z.; Hui, X.; Huang, X.; Li, J.; Liu, N. Relationship between a novel non-insulin-based metabolic score for insulin resistance (METS-IR) and coronary artery calcification. BMC Endocr. Disord. 2022, 22, 274. [Google Scholar] [CrossRef]
- Mirbolouk, M.; Kianoush, S.; Dardari, Z.; Miedema, M.D.; Shaw, L.J.; Rumberger, J.A.; Berman, D.S.; Budoff, M.J.; Rozanski, A.; Al-Mallah, M.H.; et al. The association of coronary artery calcium score and mortality risk among smokers: The coronary artery calcium consortium. Atherosclerosis 2020, 294, 33–40. [Google Scholar] [CrossRef]
- Wetscherek, M.T.A.; McNaughton, E.; Majcher, V.; Wetscherek, A.; Sadler, T.J.; Alsinbili, A.; Teh, W.H.; Moore, S.D.; Patel, N.; Smith, W.P.W.; et al. Incidental coronary artery calcification on non-gated CT thorax correlates with risk of cardiovascular events and death. Eur. Radiol. 2023, 33, 4723–4733. [Google Scholar] [CrossRef]
- Arnett, D.K.; Blumenthal, R.S.; Albert, M.A.; Buroker, A.B.; Goldberger, Z.D.; Hahn, E.J.; Himmelfarb, C.D.; Khera, A.; Lloyd-Jones, D.; McEvoy, J.W.; et al. 2019 ACC/AHA Guideline on the Primary Prevention of Cardiovascular Disease: Executive Summary: A Report of the American College of Cardiology/American Heart Association Task Force on Clinical Practice Guidelines. Circulation 2019, 140, e563–e595. [Google Scholar] [CrossRef] [PubMed]
- Visseren, F.L.J.; Mach, F.; Smulders, Y.M.; Carballo, D.; Koskinas, K.C.; Bäck, M.; Benetos, A.; Biffi, A.; Boavida, J.-M.; Capodanno, D.; et al. 2021 ESC Guidelines on cardiovascular disease prevention in clinical practice: Developed by the Task Force for cardiovascular disease prevention in clinical practice with representatives of the European Society of Cardiology and 12 medical societies with the special contribution of the European Association of Preventive Cardiology (EAPC). Eur. Heart J. 2021, 42, 3227–3337. [Google Scholar] [PubMed]
- Torun, C.; Ankaralı, H.; Caştur, L.; Uzunlulu, M.; Erbakan, A.N.; Akbaş, M.M.; Gündüz, N.; Doğan, M.B.; Oğuz, A. Is Metabolic Score for Visceral Fat (METS-VF) a Better Index than Other Adiposity Indices for the Prediction of Visceral Adiposity. Diabetes Metab. Syndr. Obes. 2023, 16, 2605–2615. [Google Scholar] [CrossRef] [PubMed]
- Ha, E.E.; Bauer, R.C. Emerging Roles for Adipose Tissue in Cardiovascular Disease. Arterioscler. Thromb. Vasc. Biol. 2018, 38, e137–e144. [Google Scholar] [CrossRef]
- Oikonomou, E.K.; Antoniades, C. The role of adipose tissue in cardiovascular health and disease. Nat. Rev. Cardiol. 2019, 16, 83–99. [Google Scholar] [CrossRef]
- Lumeng, C.N.; Bodzin, J.L.; Saltiel, A.R. Obesity induces a phenotypic switch in adipose tissue macrophage polarization. J. Clin. Investig. 2007, 117, 175–184. [Google Scholar] [CrossRef]
- Hall, J.E.; do Carmo, J.M.; da Silva, A.A.; Wang, Z.; Hall, M.E. Obesity-induced hypertension: Interaction of neurohumoral and renal mechanisms. Circ. Res. 2015, 116, 991–1006. [Google Scholar] [CrossRef]
- Xiao, X.; Liu, Y.Z.; Cheng, Z.B.; Sun, J.X.; Shao, Y.D.; Qu, S.L.; Huang, L.; Zhang, C. Adipokines in vascular calcification. Clin. Chim. Acta. 2021, 516, 15–26. [Google Scholar] [CrossRef]
- Luo, X.H.; Zhao, L.L.; Yuan, L.Q.; Wang, M.; Xie, H.; Liao, E.Y. Development of arterial calcification in adiponectin-deficient mice: Adiponectin regulates arterial calcification. J. Bone Miner. Res. 2009, 24, 1461–1468. [Google Scholar] [CrossRef]
- Son, B.K.; Akishita, M.; Iijima, K.; Kozaki, K.; Maemura, K.; Eto, M.; Ouchi, Y. Adiponectin antagonizes stimulatory effect of tumor necrosis factor-alpha on vascular smooth muscle cell calcification: Regulation of growth arrest-specific gene 6-mediated survival pathway by adenosine 5′-monophosphate-activated protein kinase. Endocrinology 2008, 149, 1646–1653. [Google Scholar] [CrossRef]



| Variables | All Participants (n = 1217) | Lowest METS-VF Tertile (n = 405) | Middle METS-VF Tertile (n = 406) | Highest METS-VF Tertile (n = 406) | p-Value |
|---|---|---|---|---|---|
| Age (years) | 50.7 ± 9.9 | 47.4 ± 9.7 | 50.8 ± 9.1 | 53.9 ± 9.9 | <0.001 |
| Male, n (%) | 655 (53.8) | 89 (22.0) | 231 (56.9) | 335 (82.5) | <0.001 |
| Hypertension, n (%) | 234 (19.2) | 20 (4.9) | 71 (17.5) | 143 (35.2) | <0.001 |
| Diabetes, n (%) | 58 (4.8) | 3 (0.7) | 15 (3.7) | 40 (9.9) | <0.001 |
| Current smoking, n (%) | 82 (6.7) | 9 (2.2) | 22 (5.4) | 51 (12.6) | <0.001 |
| Systolic BP (mmHg) | 124.7 ± 15.6 | 117.3 ± 13.9 | 125.7 ± 15.3 | 131.0 ± 14.3 | <0.001 |
| Diastolic BP (mmHg) | 76.3 ± 11.7 | 71.2 ± 10.3 | 76.7 ± 11.3 | 81.0 ± 11.4 | <0.001 |
| BMI (kg/m2) | 25.1 ± 4.0 | 21.6 ± 2.2 | 24.8 ± 2.2 | 28.8 ± 3.6 | <0.001 |
| WC (cm) | 82.4 ± 10.9 | 71.3 ± 5.5 | 82.3 ± 4.6 | 93.4 ± 7.7 | <0.001 |
| VAI | 1.7 ± 1.6 | 1.1 ± 0.9 | 1.7 ± 1.5 | 2.2 ± 2.0 | <0.001 |
| TyG index | 8.5 ± 0.6 | 8.2 ± 0.5 | 8.6 ± 0.6 | 8.9 ± 0.6 | <0.001 |
| METS-IR | 37.0 ± 8.4 | 29.5 ± 4.2 | 36.5 ± 4.8 | 45.0 ± 7.1 | <0.001 |
| METS-VF | 6.2 ± 0.8 | 5.4 ± 0.5 | 6.3 ± 0.2 | 7.0 ± 0.3 | <0.001 |
| Fasting glucose (mg/dL) | 100.6 ± 18.9 | 94.2 ± 9.0 | 99.8 ± 17.0 | 107.9 ± 20.7 | <0.001 |
| Total cholesterol (mg/dL) | 207.3 ± 39.2 | 210.9 ± 39.2 | 209.5 ± 36.3 | 201.6 ± 41.2 | 0.001 |
| HDL cholesterol (mg/dL) | 53.5 ± 14.6 | 62.8 ± 14.9 | 52.4 ± 12.2 | 45.4 ± 10.9 | <0.001 |
| LDL cholesterol (mg/dL) | 125.5 ± 34.7 | 124.1 ± 34.7 | 128.1 ± 32.4 | 124.3 ± 36.7 | 0.153 |
| Triglyceride (mg/dL) | 102.0 (67.5–149.0) | 72.0 (53.0–102.5) | 105.0 (74.0–155.0) | 130.5 (95.0–175.3) | <0.001 |
| Uric acid (mg/dL) | 5.9 ± 1.4 | 5.1 ± 1.1 | 6.1 ± 1.3 | 6.5 ± 1.4 | <0.001 |
| Serum creatinine (mg/dL) | 0.83 ± 0.20 | 0.72 ± 0.17 | 0.84 ± 0.20 | 0.91 ± 0.19 | <0.001 |
| eGFR (mL/min/1.73 m2) | 95.4 ± 14.6 | 101.4 ± 13.3 | 94.5 ± 13.4 | 90.2 ± 14.9 | <0.001 |
| CACS > 0, n (%) | 375 (30.8) | 62 (15.3) | 111 (27.3) | 202 (49.8) | <0.001 |
| Mild CAC | 258 (68.8) | 50 (80.6) | 83 (74.8) | 125 (61.9) | <0.001 |
| Moderate CAC | 79 (21.1) | 9 (14.5) | 20 (18.0) | 50 (24.8) | <0.001 |
| Severe CAC | 38 (10.1) | 3 (4.8) | 8 (7.2) | 27 (13.4) | <0.001 |
| Variables | Spearman’s ρ | p-Value |
|---|---|---|
| BMI | 0.182 | <0.001 |
| WC | 0.243 | <0.001 |
| VAI | 0.110 | <0.001 |
| TyG index | 0.180 | <0.001 |
| METS-IR | 0.220 | <0.001 |
| METS-VF | 0.349 | <0.001 |
| Unadjusted OR (95% CI) | Adjusted OR (95% CI) | |||||
|---|---|---|---|---|---|---|
| Mild CAC (CACS 1–99) | Moderate CAC (CACS 100–399) | Severe CAC (CACS ≥ 400) | Mild CAC (CACS 1–99) | Moderate CAC (CACS 100–399) | Severe CAC (CACS ≥ 400) | |
| BMI (per 1-SD) | 1.378 (1.205–1.577) * | 1.398 (1.125–1.739) * | 1.741 (1.302–2.328) * | 1.137 (0.947–1.366) | 1.049 (0.734–1.499) | 1.487 (0.888–2.490) |
| WC (per 1-SD) | 1.607 (1.391–1.956) * | 1.793 (1.411–2.277) * | 2.362 (1.690–3.303) * | 1.176 (0.949–1.456) | 1.171 (0.789–1.738) | 1.493 (0.852–2.616) |
| VAI (per 1-SD) | 1.203 (1.057–1.369) * | 1.319 (1.095–1.589) * | 1.041 (0.740–1.463) | 0.911 (0.506–1.640) | 0.559 (0.213–1.473) | 0.333 (0.047–2.370) |
| TyG index (per 1-SD) | 1.426 (1.241–1.638) * | 1.763 (1.417–2.194) * | 1.428 (1.042–1.956) * | 1.046 (0.752–1.455) | 2.069 (1.122–3.815) * | 1.989 (0.709–5.583) |
| METS-IR (per 1-SD) | 1.494 (1.301–1.717) * | 1.633 (1.313–2.031) * | 1.804 (1.342–2.425) * | 1.220 (0.957–1.555) | 1.212 (0.754–1.949) | 1.745 (0.858–3.548) |
| METS-VF (per 1-SD) | 2.259 (1.872–2.727) * | 3.460 (2.406–4.974) * | 5.913 (3.309–10.564) * | 1.450 (1.115–1.886) * | 1.865 (1.137–3.062) * | 2.316 (1.090–4.923) * |
| Cut-Off Value | Sensitivity (%) | Specificity (%) | Youden Index | |
|---|---|---|---|---|
| Presence of CAC | 6.405 | 69.9 | 63.0 | 0.328 |
| Mild CAC | 6.405 | 65.9 | 62.9 | 0.288 |
| Moderate CAC | 6.517 | 77.2 | 68.5 | 0.457 |
| Severe CAC | 6.532 | 78.9 | 69.6 | 0.485 |
Disclaimer/Publisher’s Note: The statements, opinions and data contained in all publications are solely those of the individual author(s) and contributor(s) and not of MDPI and/or the editor(s). MDPI and/or the editor(s) disclaim responsibility for any injury to people or property resulting from any ideas, methods, instructions or products referred to in the content. |
© 2024 by the authors. Licensee MDPI, Basel, Switzerland. This article is an open access article distributed under the terms and conditions of the Creative Commons Attribution (CC BY) license (https://creativecommons.org/licenses/by/4.0/).
Share and Cite
Huang, J.-C.; Huang, Y.-C.; Lu, C.-H.; Chuang, Y.-S.; Chien, H.-H.; Lin, C.-I.; Chao, M.-F.; Chuang, H.-Y.; Ho, C.-K.; Wang, C.-L.; et al. Exploring the Relationship Between Visceral Fat and Coronary Artery Calcification Risk Using Metabolic Score for Visceral Fat (METS-VF). Life 2024, 14, 1399. https://doi.org/10.3390/life14111399
Huang J-C, Huang Y-C, Lu C-H, Chuang Y-S, Chien H-H, Lin C-I, Chao M-F, Chuang H-Y, Ho C-K, Wang C-L, et al. Exploring the Relationship Between Visceral Fat and Coronary Artery Calcification Risk Using Metabolic Score for Visceral Fat (METS-VF). Life. 2024; 14(11):1399. https://doi.org/10.3390/life14111399
Chicago/Turabian StyleHuang, Jiun-Chi, Ya-Chin Huang, Chia-Hsin Lu, Yun-Shiuan Chuang, Hsu-Han Chien, Chia-I Lin, Ming-Fang Chao, Hung-Yi Chuang, Chi-Kung Ho, Chao-Ling Wang, and et al. 2024. "Exploring the Relationship Between Visceral Fat and Coronary Artery Calcification Risk Using Metabolic Score for Visceral Fat (METS-VF)" Life 14, no. 11: 1399. https://doi.org/10.3390/life14111399
APA StyleHuang, J.-C., Huang, Y.-C., Lu, C.-H., Chuang, Y.-S., Chien, H.-H., Lin, C.-I., Chao, M.-F., Chuang, H.-Y., Ho, C.-K., Wang, C.-L., & Dai, C.-Y. (2024). Exploring the Relationship Between Visceral Fat and Coronary Artery Calcification Risk Using Metabolic Score for Visceral Fat (METS-VF). Life, 14(11), 1399. https://doi.org/10.3390/life14111399

