Oncological Outcomes of Segmentectomy versus Lobectomy in Clinical Stage I Non-Small Cell Lung Cancer up to Two Centimeters: Systematic Review and Meta-Analysis
Abstract
1. Introduction
2. Materials and Methods
2.1. Search Strategy and Articles Selection
2.2. Data Extraction
2.3. Outcomes of Interest and Statistical Analysis
2.4. Quality and Publication Bias Assessment
3. Results
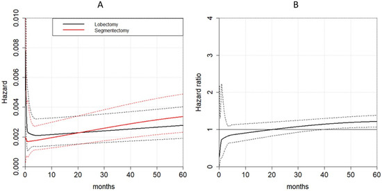
3.1. Meta-Analysis: Primary Outcomes
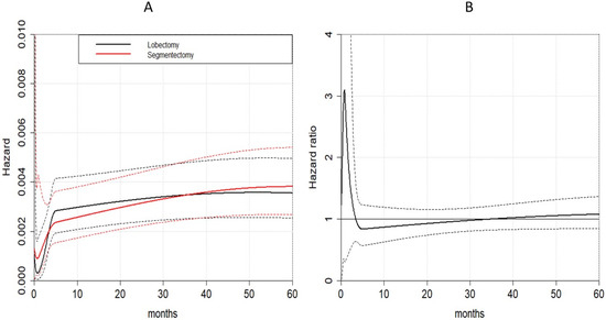
3.2. Meta-Analysis: Secondary Outcomes
4. Discussion
Supplementary Materials
Author Contributions
Funding
Institutional Review Board Statement
Informed Consent Statement
Data Availability Statement
Conflicts of Interest
References
- GLOBOCAN 2020. Available online: https://www.iarc.who.int/wp-content/uploads/2020/12/pr292_E.pdf (accessed on 8 March 2023).
- State of Lung Cancer 2020 Report. Available online: https://www.lung.org/getmedia/381ca407-a4e9-4069-b24b-195811f29a00/solc-2020-report-final.pdf (accessed on 8 March 2023).
- Lung Cancer: Diagnosis and Management. Available online: www.nice.org.uk/guidance/ng122 (accessed on 8 March 2023).
- Ginsberg, R.J.; Rubinstein, L.V. Randomized trial of lobectomy versus limited resection for T1 N0 non-small cell lung cancer. Lung Cancer Study Group. Ann. Thorac. Surg. 1995, 60, 615–622. [Google Scholar] [CrossRef] [PubMed]
- Bremers, A.J.; Rutgers, E.J.; van de Velde, C.J. Cancer surgery: The last 25 years. Cancer Treat. Rev. 1999, 25, 333–353. [Google Scholar] [CrossRef] [PubMed]
- Winckelmans, T.; Decaluwé, H.; De Leyn, P.; Van Raemdonck, D. Segmentectomy or lobectomy for early-stage non-small-cell lung cancer: A systematic review and meta-analysis. Eur. J. Cardio-Thorac. Surg. 2020, 57, 1051–1060. [Google Scholar] [CrossRef] [PubMed]
- Feng, J.; Wang, L.-F.; Han, T.-Y.; Wang, Y.; Wu, X.-Y.; Lv, F.; Liu, Y.; Chen, B.-H. Survival Outcomes of Lobectomy versus Segmentectomy in Clinical Stage I Non-Small Cell Lung Cancer: A Meta-Analysis. Adv. Ther. 2021, 38, 4130–4137. [Google Scholar] [CrossRef] [PubMed]
- Saji, H.; Okada, M.; Tsuboi, M.; Nakajima, R.; Suzuki, K.; Aokage, K.; Aoki, T.; Okami, J.; Yoshino, I.; Ito, H.; et al. Segmentectomy versus lobectomy in small-sized peripheral non-small-cell lung cancer (JCOG0802/WJOG4607L): A multicentre, open-label, phase 3, randomised, controlled, non-inferiority trial. Lancet 2022, 399, 1607–1617. [Google Scholar] [CrossRef]
- Stamatis, G.; Leschber, G.; Schwarz, B.; Brintrup, D.L.; Flossdorf, S.; Passlick, B.; Hecker, E.; Kugler, C.; Eichhorn, M.; Krbek, T.; et al. Survival outcomes in a prospective randomized multicenter Phase III trial comparing patients undergoing anatomical segmentectomy versus standard lobectomy for non-small cell lung cancer up to 2 cm. Lung Cancer 2022, 172, 108–116. [Google Scholar] [CrossRef]
- DerSimonian, R.; Laird, N. Meta-analysis in clinical trials. Control Clin. Trials 1986, 7, 177–188. [Google Scholar] [CrossRef]
- Higgins, J.P.T.; Thompson, S.G. Quantifying heterogeneity in a meta-analysis. Stat. Med. 2002, 21, 1539–1558. [Google Scholar] [CrossRef]
- Borenstein, M.; Hedges, L.V.; Higgins, J.P.T.; Rothstein, H.R. Introduction to Meta-Analysis; John Wiley and Sons: Chichester, UK, 2009. [Google Scholar]
- Guyot, P.; Ades, A.E.; Ouwens, M.J.N.M.; Welton, N.J. Enhanced secondary analysis of survival data: Reconstructing the data from published Kaplan-Meier survival curves. BMC Med. Res. Methodol. 2012, 12, 9. [Google Scholar] [CrossRef]
- Royston, P.; Parmar, M.K. Restricted mean survival time: An alternative to the hazard ratio for the design and analysis of randomized trials with a time-to-event outcome. BMC Med. Res. Methodol. 2013, 13, 152. [Google Scholar] [CrossRef]
- Viechtbauer, W. Model checking in meta-analysis. In Handbook of Meta-Analysis; Schmid, C.H., Stijnen, T., White, I.R., Eds.; CRC Press: Boca Raton, FL, USA, 2021. [Google Scholar]
- Charvat, H.; Belot, A. mexhaz: An R Package for Fitting Flexible Hazard-Based Regression Models for Overall and Excess Mortality with a Random Effect. J. Stat. Softw. 2021, 98, 1–36. [Google Scholar] [CrossRef]
- R Core Team. R: A Language and Environment for Statistical Computing; R Foundation for Statistical Computing: Vienna, Austria, 2021; Available online: https://www.R-project.org/ (accessed on 8 March 2023).
- Yamashita, S.-I.; Tokuishi, K.; Anami, K.; Moroga, T.; Miyawaki, M.; Chujo, M.; Yamamoto, S.; Kawahara, K. Thoracoscopic segmentectomy for T1 classification of non-small cell lung cancer: A single center experience. Eur. J. Cardio-Thorac. Surg. 2012, 42, 83–88. [Google Scholar] [CrossRef]
- Zhong, C.; Fang, W.; Mao, T.; Yao, F.; Chen, W.; Hu, D. Comparison of Thoracoscopic Segmentectomy and Thoracoscopic Lobectomy for Small-Sized Stage IA Lung Cancer. Ann. Thorac. Surg. 2012, 94, 362–367. [Google Scholar] [CrossRef]
- Deng, B.; Cassivi, S.D.; de Andrade, M.; Nichols, F.C.; Trastek, V.F.; Wang, Y.; Wampfler, J.A.; Stoddard, S.M.; Wigle, D.A.; Shen, R.K.; et al. Clinical outcomes and changes in lung function after segmentectomy versus lobectomy for lung cancer cases. J. Thorac. Cardiovasc. Surg. 2014, 148, 1186–1192.e3. [Google Scholar] [CrossRef]
- Nishio, W.; Yoshimura, M.; Maniwa, Y.; Kitamura, Y.; Tane, K.; Takenaka, D.; Adachi, S. Re-Assessment of Intentional Extended Segmentectomy for Clinical T1aN0 Non-Small Cell Lung Cancer. Ann. Thorac. Surg. 2016, 102, 1702–1710. [Google Scholar] [CrossRef]
- Moon, M.H.; Moon, Y.K.; Moon, S.W. Segmentectomy versus lobectomy in early non-small cell lung cancer of 2 cm or less in size: A population-based study. Respirology 2018, 23, 695–703. [Google Scholar] [CrossRef]
- Wen, Z.; Zhao, Y.; Fu, F.; Hu, H.; Sun, Y.; Zhang, Y.; Chen, H. Comparison of outcomes following segmentectomy or lobectomy for patients with clinical N0 invasive lung adenocarcinoma of 2 cm or less in diameter. J. Cancer Res. Clin. Oncol. 2020, 146, 1603–1613. [Google Scholar] [CrossRef]
- Darras, M.; Ojanguren, A.; Forster, C.; Zellweger, M.; Perentes, J.Y.; Krueger, T.; Gonzalez, M. Short-term local control after VATS segmentectomy and lobectomy for solid NSCLC of less than 2 cm. Thorac. Cancer 2021, 12, 453–461. [Google Scholar] [CrossRef]
- Handa, Y.; Tsutani, Y.; Mimae, T.; Miyata, Y.; Imai, K.; Ito, H.; Nakayama, H.; Ikeda, N.; Yoshimura, K.; Okada, M. Oncologic Outcomes of Complex Segmentectomy: A Multicenter Propensity Score-Matched Analysis. Ann. Thorac. Surg. 2021, 111, 1044–1051. [Google Scholar] [CrossRef]
- Tane, S.; Kitamura, Y.; Kimura, K.; Shimizu, N.; Matsumoto, G.; Uchino, K.; Nishio, W. Segmentectomy versus lobectomy for inner-located small-sized early non-small-cell lung cancer. Interact. Cardiovasc. Thorac. Surg. 2022, 35, ivac218. [Google Scholar] [CrossRef]
- Zhao, Z.-R.; Situ, D.-R.; Lau, R.W.; Mok, T.S.; Chen, G.G.; Underwood, M.J.; Ng, C.S. Comparison of Segmentectomy and Lobectomy in Stage IA Adenocarcinomas. J. Thorac. Oncol. 2017, 12, 890–896. [Google Scholar] [CrossRef] [PubMed]
- Handa, Y.; Tsutani, Y.; Mimae, T.; Miyata, Y.; Okada, M. Complex segmentectomy in the treatment of stage IA non-small-cell lung cancer. Eur. J. Cardio-Thorac. Surg. 2020, 57, 114–121. [Google Scholar] [CrossRef] [PubMed]
- Baig, M.Z.; Razi, S.S.; Weber, J.F.; Connery, C.P.; Bhora, F.Y. Lobectomy is superior to segmentectomy for peripheral high grade non-small cell lung cancer ≤ 2 cm. J. Thorac. Dis. 2020, 12, 5925–5933. [Google Scholar] [CrossRef] [PubMed]
- Qiu, C.; Wang, G.; Xu, J.; Cui, L.; Dong, W.; Ni, Y.; Qu, X.; Du, J. Sublobectomy versus lobectomy for stage I non-small cell lung cancer in the elderly. Int. J. Surg. 2017, 37, 1–7. [Google Scholar] [CrossRef]
- Altorki, N.; Wang, X.; Kozono, D.; Watt, C.; Landrenau, R.; Wigle, D.; Port, J.; Jones, D.R.; Conti, M.; Ashrafi, A.S.; et al. Lobar or Sublobar Resection for Peripheral Stage IA Non–Small-Cell Lung Cancer. N. Engl. J. Med. 2023, 388, 489–498. [Google Scholar] [CrossRef]
- King, G.; Nielsen, R. Why Propensity Scores Should Not Be Used for Matching. Political Anal. 2019, 27, 435–454. [Google Scholar] [CrossRef]
- Fourdrain, A.; Epailly, J.; Blanchard, C.; Georges, O.; Meynier, J.; Berna, P. Lymphatic drainage of lung cancer follows an intersegmental pathway within the visceral pleura. Lung Cancer 2021, 154, 118–123. [Google Scholar] [CrossRef]









| Authors, Year | Country | Years | Study Design | Patients, n | Female (%) | Mean Age (Range) | Smoking History | Comorbidities | |||
|---|---|---|---|---|---|---|---|---|---|---|---|
| S | L | S | L | S | L | ||||||
| Yamashita et al., 2012 [18] | Japan | 2003–2011 | R | 76 | 72 | N.A. | N.A. | N.A. | N.A. | N.A. | N.A. |
| Zhong et al., 2012 [19] | China | 2006–2011 | R | 39 | 81 | 46 | 40.7 | 63.6 ± 8.0 | 64.9 ± 7.3 | N.A. | Yes |
| Deng et al., 2014 [20] | USA | 1997–2012 | R, PSM | 74 | 222 | 50 | 50.5 | 69.8 (11.9) | 69.8 (10.1) | Yes | Yes |
| Nishio et al., 2016 [21] | Japan | 1995–2009 | P, PSM | 59 | 59 | 35.6 | 35.6 | 64 (58–71) | 61 (57–70.5) | N.A. | N.A. |
| Moon et al., 2017 [22] | Korea USA | 2000–2014 | R, PSM | 809 | 809 | 65.6 | 65.8 | 67.8 ± 10.0 | 67.9 ± 9.5 | N.A. | N.A. |
| Wen et al., 2020 [23] | China | 2008–2018 | R, PSM | 214 | 214 | 67.3 | 66.8 | 59.3 ± 10 | 60.3 ± 10 | Yes | N.A. |
| Darras et al., 2021 [24] | Switzerland | 2014–2019 | R | 96 | 92 | 47 | 42 | 66.2 ± 10 | 63.6 ± 10.6 | Yes | Yes |
| Handa et al., 2021 [25] | Japan | 2010–2018 | R | 240 | 851 | 51.7 | 49.7 | 69 (62–74) | 68 (61–73) | Yes | N.A. |
| Saji et al., 2022 [8] | Japan | 2009–2014 | RCT | 552 | 554 | 47.5 | 47.1 | 67 (32–83) | 67 (35–85) | Yes | Yes |
| Stamatis et al., 2022 [9] | Germany | 2013–2021 | RMT | 53 | 54 | 39.6 | 44.4 | 69 (42–80) | 66 (52–79) | Yes | N.A. |
| Tane et al., 2022 [26] | Japan | 2007–2021 | R, PSM | 66 | 66 | 40.9 | 47–9 | 68.6 ± 8.5 | 68.1 ± 8.6 | N.A. | N.A. |
| Articles | Selection | Comparability | Outcomes | Total Quality Score | ||||||
|---|---|---|---|---|---|---|---|---|---|---|
| Representa-Tiveness of Exposed Cohort | Selection of Non-Exposed Cohort | Ascertainment of Exposure | Demonstration That Outcome of Interest Was Not Present at Start of Study | Adjust for the Most Important Risk Factors | Adjust for Other Risk Factors | Assessment of Outcome | Follow-Up Length | Loss to Follow-Up Rate | ||
| Yamashita et al., 2012 [18] | * | * | * | * | * | * | * | * | * | 9 |
| Zhong et al., 2012 [19] | * | * | * | * | * | 5 | ||||
| Deng et al., 2014 [20] | * | * | * | * | * | * | * | 7 | ||
| Nishio et al., 2016 [21] | * | * | * | * | * | * | * | * | 8 | |
| Moon et al., 2017 [22] | * | * | * | * | * | * | * | * | 8 | |
| Wen et al., 2020 [23] | * | * | * | * | * | 5 | ||||
| Darras et al., 2021 [24] | * | * | * | * | * | * | * | * | * | 9 |
| Handa et al., 2021 [25] | * | * | * | * | * | * | * | * | 8 | |
| Saji et al., 2022 [8] | * | * | * | * | * | * | * | * | 8 | |
| Stamatis et al., 2022 [9] | * | * | * | * | * | * | * | * | * | 9 |
| Tane et al., 2022 [26] | * | * | * | * | * | * | 6 | |||
| Time Horizon | No. Trials | RMSTD (Months) | SE | 95% CI | p Value |
|---|---|---|---|---|---|
| 12 months | 11 | 0.03 | 0.04 | From −0.04 to 0.11 | 0.369 |
| 24 months | 11 | 0.14 | 0.09 | From −0.04 to 0.32 | 0.123 |
| 36 months | 11 | 0.25 | 0.18 | From −0.12 to 0.62 | 0.185 |
| 48 months | 11 | 0.26 | 0.30 | From −0.34 to 0.87 | 0.397 |
| 60 months | 7 | 0.44 | 0.35 | From −0.26 to 1.13 | 0.218 |
| Time Horizon | No. Trials | RMSTD (Months) | SE | 95% CI | p Value |
|---|---|---|---|---|---|
| 12 months | 8 | 0.00 | 0.02 | −0.04 to 0.05 | 0.724 |
| 24 months | 8 | 0.12 | 0.11 | −0.09 to 0.33 | 0.275 |
| 36 months | 8 | 0.25 | 0.21 | −0.17 to 0.67 | 0.241 |
| 48 months | 8 | 0.33 | 0.33 | −0.32 to 0.97 | 0.324 |
| 60 months | 4 | 0.54 | 0.48 | −0.40 to 1.47 | 0.261 |
Disclaimer/Publisher’s Note: The statements, opinions and data contained in all publications are solely those of the individual author(s) and contributor(s) and not of MDPI and/or the editor(s). MDPI and/or the editor(s) disclaim responsibility for any injury to people or property resulting from any ideas, methods, instructions or products referred to in the content. |
© 2023 by the authors. Licensee MDPI, Basel, Switzerland. This article is an open access article distributed under the terms and conditions of the Creative Commons Attribution (CC BY) license (https://creativecommons.org/licenses/by/4.0/).
Share and Cite
Righi, I.; Maiorca, S.; Diotti, C.; Bonitta, G.; Mendogni, P.; Tosi, D.; Nosotti, M.; Rosso, L. Oncological Outcomes of Segmentectomy versus Lobectomy in Clinical Stage I Non-Small Cell Lung Cancer up to Two Centimeters: Systematic Review and Meta-Analysis. Life 2023, 13, 947. https://doi.org/10.3390/life13040947
Righi I, Maiorca S, Diotti C, Bonitta G, Mendogni P, Tosi D, Nosotti M, Rosso L. Oncological Outcomes of Segmentectomy versus Lobectomy in Clinical Stage I Non-Small Cell Lung Cancer up to Two Centimeters: Systematic Review and Meta-Analysis. Life. 2023; 13(4):947. https://doi.org/10.3390/life13040947
Chicago/Turabian StyleRighi, Ilaria, Sebastiano Maiorca, Cristina Diotti, Gianluca Bonitta, Paolo Mendogni, Davide Tosi, Mario Nosotti, and Lorenzo Rosso. 2023. "Oncological Outcomes of Segmentectomy versus Lobectomy in Clinical Stage I Non-Small Cell Lung Cancer up to Two Centimeters: Systematic Review and Meta-Analysis" Life 13, no. 4: 947. https://doi.org/10.3390/life13040947
APA StyleRighi, I., Maiorca, S., Diotti, C., Bonitta, G., Mendogni, P., Tosi, D., Nosotti, M., & Rosso, L. (2023). Oncological Outcomes of Segmentectomy versus Lobectomy in Clinical Stage I Non-Small Cell Lung Cancer up to Two Centimeters: Systematic Review and Meta-Analysis. Life, 13(4), 947. https://doi.org/10.3390/life13040947

