Abstract
The aim of this study was to develop distributions of VO2max based on measured values that exist in the literature in prepubertal boys using cycle ergometry. PRISMA guidelines were followed in conducting this research. One database was searched for peak and maximal VO2 values in healthy boys with mean age under 11 years old. Data were split into articles reporting absolute and relative VO2max values and analyzed accordingly. Multilevel models grounded in Bayesian principles were used. We investigated associations between VO2max and body mass, year of the study, and country of origin. Differences in “peak” and “maximal” VO2 were assessed. Absolute VO2max (Lmin−1) increases with age (P ~100%) but mean relative VO2max does not change (P ~100%). Absolute VO2max is higher in more recent studies (P = 95.7 ± 0.3%) and mean relative VO2max is lower (P = 99.6 ± 0.1%). Relative VO2max in the USA is lower compared with boys from other countries (P = 98.8 ± 0.2%), but there are no differences in absolute values. Mean aerobic capacity estimates presented as “peak” values are higher than “maximal” values on an absolute basis (P = 97.5 ± 0.3%) but not on a relative basis (P = 99.6 ± 0.1%). Heavier boys have lower cardiorespiratory fitness (P ≈ 100%), and body mass seems to be increasing faster with age in the USA compared with other countries (P = 92.3 ± 0.3%). New reference values for cardiorespiratory fitness are presented for prepubertal boys obtained with cycle ergometry. This is new, as no reference values have been determined so far based on actual measured values in prepubertal boys. Aerobic capacity normalized to body weight does not change with age. Cardiorespiratory fitness in prepubertal boys is declining, which is associated with increasing body mass over the last few decades. Lastly, this study did not find any statistically significant difference in the sample’s mean aerobic capacity estimates using the ”peak” and “maximum” distinctions identified in the literature.
1. Introduction
Cardiopulmonary exercise testing is considered the gold standard for cardiorespiratory fitness (CRF) in pediatric medicine [1]. In exercise testing, maximal oxygen uptake (VO2max) is determined by using indirect calorimetry, which requires a skilled clinician and the use of standardized exercise treadmill protocols or cycle ergometry [2]. Reference values for CRF are needed to assess disease progression, for intervention monitoring, or to assess suboptimal aerobic performance [3]. Even though both treadmills and cycle ergometers are considered criterion measures of CRF, the two methods often produce statistically different estimates for the same child. The differences may be as large as 7–15%, with treadmill estimates being higher than cycle estimates [4,5,6]. Cycle ergometry has an advantage, however, as the test is not easily constrained by the mechanical limitations of the patient, such as deviant walking patterns and soreness in joints. In addition, during cycle ergometry, there is a lower chance of movement artifacts in the ECG and blood pressure recordings [1].
Another issue in exercise physiology is which criteria should be used for determining CRF. For a VO2max determination, a plateau of VO2 needs to be achieved. Usually, this is hard to attain in children. If relaxed criteria are used, the highest VO2 value is then called VO2peak. We know that the exercise physiology literature distinguishes between VO2max and VO2peak metrics, and we preserve this terminological difference in the tables but use CRF to designate maximal oxygen consumption in both cases. Differences in the two metrics are another aspect of uncertainty surrounding what is being measured. In fact, some reviewers state that the highly conditional nature of CRF estimates makes their validity and reliability questionable, especially during growth and maturation [7].
The literature has shown that a statistically significant difference in CRF could exist between girls and boys using absolute VO2max values or relative VO2max to body mass, and boys could have higher CRF values [7]. In addition, young girls and boys participate in different activities, and girls are less involved in organized sports and spend less time practicing [8]. These differences in activities cause boys to be outdoors more than girls, on average [9,10]. Thus, there are physiological and behavioral reasons why CRF estimates should be gender specific. Secondly, younger children spend more time outdoors and undertake more moderate and vigorous physical activities than older children, even if that time is modest—not optimal—for almost everyone [8,11,12]. When looking into CRF for children, using only children with mean age under 11 years of age can minimize physiological complications associated with puberty, resulting in significant changes in total body and muscle mass, stroke volume, growth velocity, oxygen uptake kinetics, fat oxidation rates, and blood lactate responses to work [13,14,15].
Given the lack of age- and gender-specific CRF reference values in prepubertal children, there is a need to develop observed distributions of VO2max based on criterion methods rather than estimated or regression-based predicted values that are currently widely used. To the best of our knowledge, this is the first meta-analysis to critically examine CRF in boys 11 y old or less measured with cycle ergometry and distinguishing between VO2max and VO2peak indicators. The aim of this analysis is to provide researchers, medical experts, and sports practitioners with criterion-based observed values based on sampled studies identified in the literature. In addition, the aim of this paper is to assess whether there are significant differences in VO2max and VO2peak in boys under 11 y old and to compare values in girls of the same age.
2. Materials and Methods
2.1. Design
The Consideration of Population, Intervention, Comparator, Outcomes, and Study design (PICOS) framework was used.
2.2. Population
Included subjects were subjects who: (1) had mean age under 11 years old, (2) were stated to be healthy, (3) were without cardiovascular disease, pulmonary diseases (except asthma), morbid obesity, developmental disabilities, or muscular dystrophies, and (4) were free from injury. Overweight participants were included. Children with asthma were also included, as they seemed to have physical activity levels comparable with those of the normal pediatric population [16].
2.3. Intervention
Regardless of the interventions reported in many of the original articles, only pre-intervention data were used.
2.4. Comparator
VO2max and VO2peak metrics used to denote aerobic capacity were compared. In addition, comparisons were made based on the year and location of the study (USA versus non-USA countries; conducted solely to provide compatible sample sizes).
2.5. Outcomes
The main outcomes were VO2max and VO2peak metrics measured with cycle ergometry.
2.6. Study Design
Articles were considered for the analysis if: (1) they were published in a peer-reviewed journal, (2) they had mean/standard deviation VO2max/VO2peak parameters for each sample, along with mean age data for the subjects, and (3) if maximal effort was achieved during the incremental test.
These measures provided us with children (girls and boys) that used various testing methods for measuring CRF. Consequently, all articles reporting CRF of girls and mixed-gender groups were removed from further analysis. In addition, analysis excluded articles with graphical results only, field studies, treadmill incremental tests, or other nonstandardized protocols and types of incremental tests. The study followed PRISMA guidelines, and the flow diagram presenting the study design can be found in Figure 1.
Figure 1.
Results of database searches and criteria used in the selection of studies included finding VO2max values in boys under 11 years old.
A systematic electronic literature search was conducted in Pubmed database until 2019 using key search words ((children) AND (oxygen consumption) OR (aerobic power) OR (peak oxygen consumption) OR (VO2) OR (VO2max) OR (VO2peak)). During the first search, potential articles included boys and girls with incremental tests in cycle ergometry and treadmills. All potential articles up to 2019 were hand searched by two researchers. In 2022, the same criteria were used to conduct an additional search from 1 January 2019 to 31 March 2022. Finally, articles that included data from girls and using treadmills were excluded. It is beyond the scope of one manuscript to include boys and girls, so girls were analyzed in a separate paper (in publication). This research includes only the comparison between boys and girls to determine whether there are any differences in cardiorespiratory fitness.
2.7. Statistical Analysis
All statistical conclusions developed in this paper utilize applied Bayesian inferential methodology included in the STAN library for R programming [17]. Among other attributes and capabilities, STAN promotes the use of Bayesian inferential models to allow a researcher to evaluate the likelihood that one distribution—in our case, VO2max—has the same statistical properties as another distribution purported to describe the same phenomenon. In general, random probability Markov chain Monte Carlo (MCMC) algorithms are used to sample from the two distributions to facilitate the comparisons. A wide variety of Bayesian model comparison techniques are available in STAN to facilitate these types of statistical testing.
When comparing two groups, we used a simple normal model (the so-called Bayesian t-test):
where y is the input data (VO2max or VO2peak measurements), µ is the location parameter, and σ the scale parameter. The default Stan priors (flat improper priors) were used. As observed, y is assumed to be approximately normally distributed.
For the linear regression model, the equation:
was used, where y is the input data (VO2max or VO2peak measurements), x is the dependent variable (e.g., age or year of study), α1 is the intercept for the location parameter, β1 is the regression coefficient for the location parameter, α2 is the intercept for the scale parameter, and β2 is the regression coefficient for the scale parameter.
In other words, this model can detect both changes in the mean VO2max and the VO2max between-study variance through time or with age. Before making any statistical inferences, we executed all the necessary diagnostics (e.g., trace plots, estimated sample sizes, posterior predictive checks) to ensure the suitability of our models.
With P, we denote the probability that a particular research claim is true. We used a capital P to not confuse the probabilities calculated with Bayesian analyses with P-values from frequentist statistics. Unlike with P-values, with Bayesian statistics, we can directly quantify the probability (P) of a particular research question, which arguably provides us with the most direct, transparent, and intuitive measure of how certain we are about a claim we are making. Note that with Bayesian approaches, we can easily calculate the probability that the opposite of a particular claim is true (1 − P). Because of all this, the use of Bayesian statistical analyses has been on the rise over the last couple of years [17,18,19]. Uncertainty in all our analyses is reported with the Monte Carlo standard error (MCSE) measure.
3. Results
The analyses included 95 study samples that reported absolute values of aerobic capacity (both VO2max and VO2peak metrics) in units of Lmin−1 (included articles can be found in Table S1) and 118 study samples that reported relative VO2max/VO2peak measures in units of mLkg−1min−1 (included articles can be found in Table S2) [15,20,21,22,23,24,25,26,27,28,29,30,31,32,33,34,35,36,37,38,39,40,41,42,43,44,45,46,47,48,49,50,51,52,53,54,55,56,57,58,59,60,61,62,63,64,65,66,67,68,69,70,71,72,73,74,75,76,77,78,79,80,81,82,83,84,85,86,87,88,89,90,91,92,93,94,95,96,97,98,99,100,101,102,103,104,105,106,107,108,109,110,111,112,113,114,115]. Observed distributions of VO2max/peak are presented in Table 1.
Table 1.
CRF values based on sampled studies for boys under 11 years old obtained with cycle ergometry (mean ± SD).
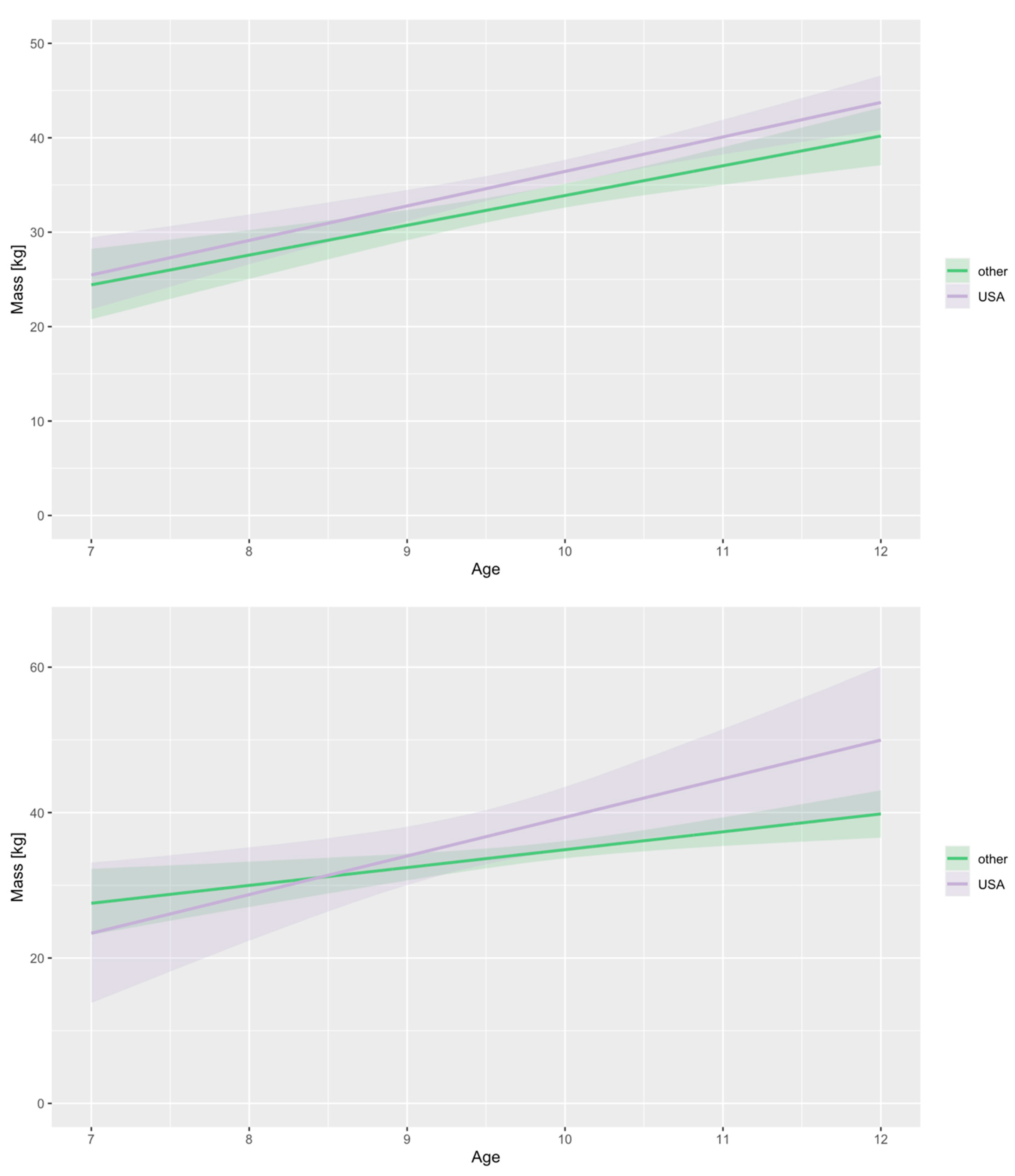
We are as sure as we can be (P ~100%) that absolute CRF increases with age. The probability that the between-study standard deviation increases with age is 87.1 ± 1.4% (Figure 2). Looking into differences between VO2max and VO2peak, this study suggests that mean VO2peak is larger than mean VO2max. We can claim this with a probability of 97.5 ± 0.3% (Figure 3). When checking for any changes across the years, the analysis showed that the mean absolute CRF is higher in more recent studies. We can claim this with a probability of 95.7 ± 0.3%. The between-study variability seems to be dropping, but we can claim this only with less than a 90% certainty (P = 89.9 ± 0.3%) (Figure 4). We also looked for any differences between CRF in the USA and other countries of the world. We cannot claim there are differences here (Figure 5). Lastly, we looked into body mass. In articles reporting absolute values, CRF (Lmin−1) is higher in boys with greater body mass (P ≈ 100%) (Figure 6). Looking into differences in body mass between the USA and countries in the rest of the world, there are no significant differences between trends in body mass (Figure 7), but in general, USA boys seem to be heavier (P = 96.05 ± 0.4%). What is more, boys in studies using VO2peak seem to be heavier than those with VO2max (P = 98.7 ± 0.2%).

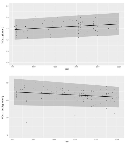
Figure 2.
Mean absolute VO2max (Lmin−1) increases with age (upper figure) in contrast to mean relative VO2max (mLkg−1min−1) (lower figure) and its standard deviation, which do not change with age in boys under 11 years old.

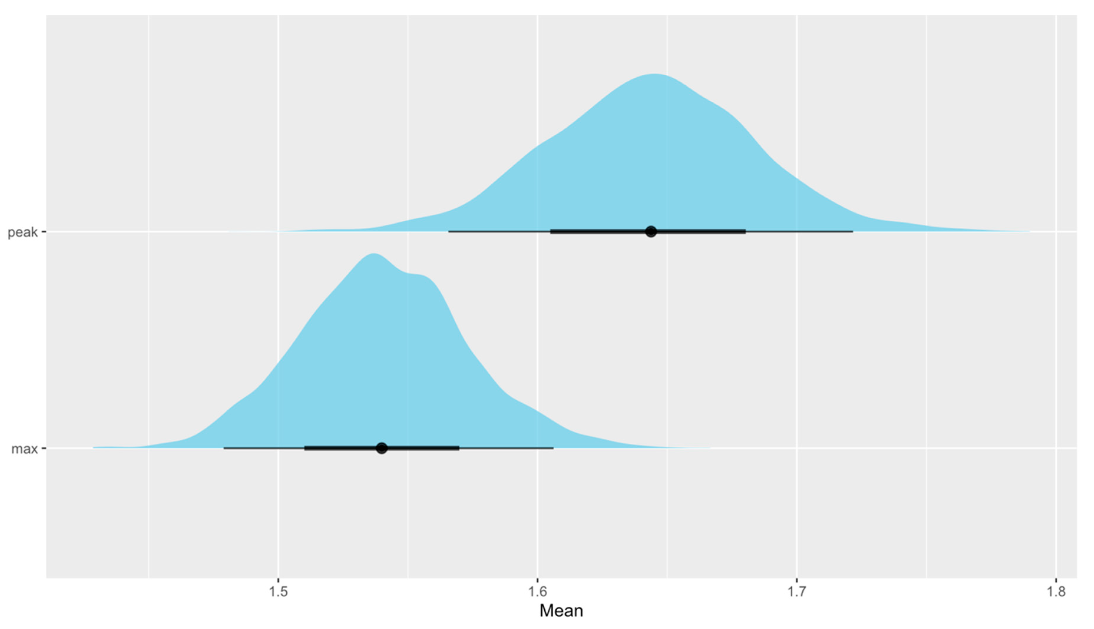
Figure 3.
The distribution of mean absolute peak VO2 values—VO2peak (Lmin−1)—and maximal VO2 values—VO2max (Lmin−1)—shows that mean VO2peak is higher (upper figure). However, mean relative VO2peak (mLkg−1min−1) is lower than mean relative VO2max (mLkg−1min−1) (lower figure).
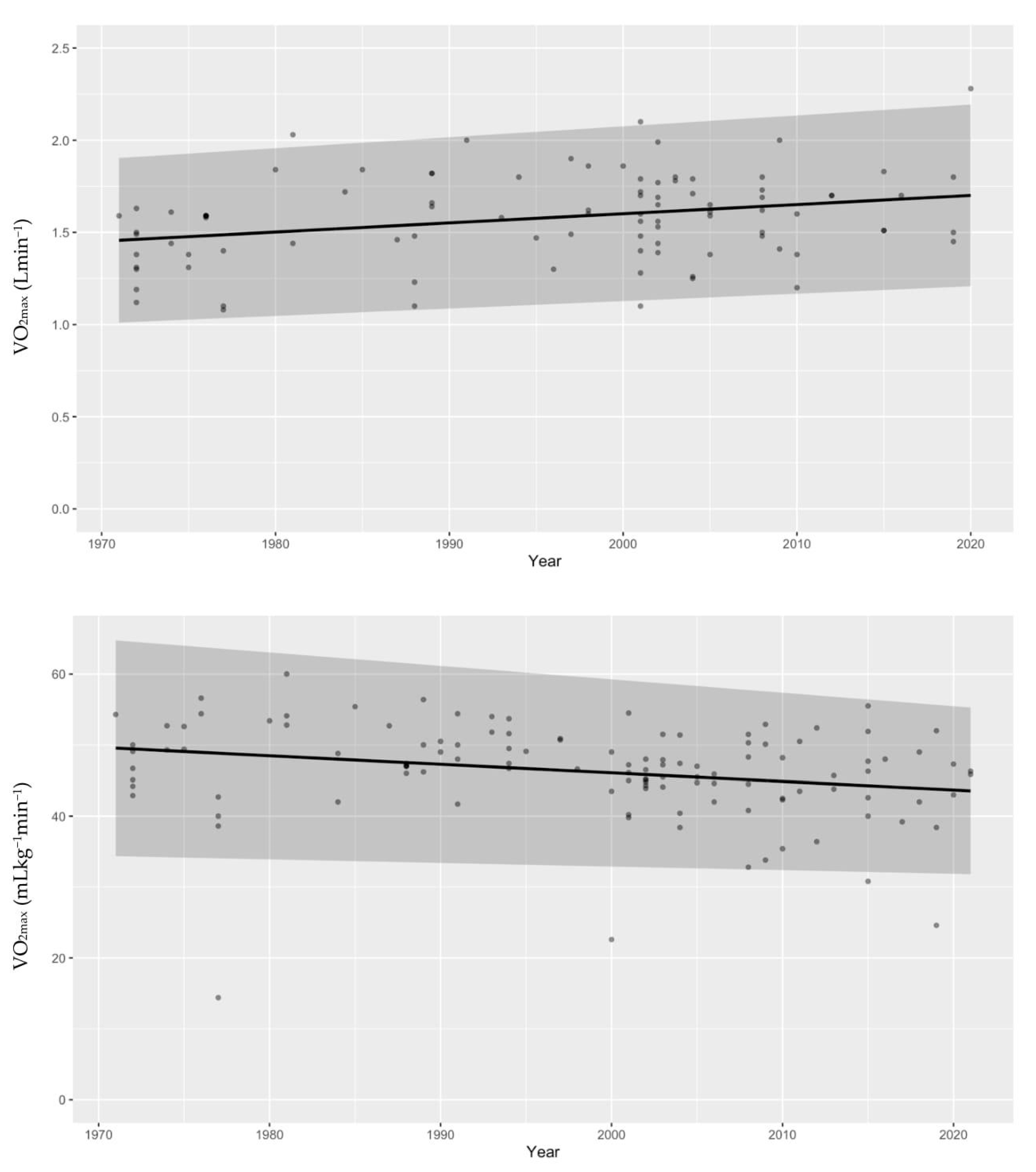
Figure 4.
The distribution of mean VO2max during the years shows that more recent studies have higher values of absolute VO2max (Lmin−1) (upper figure). This is the opposite of the finding with mean relative VO2max (mLkg−1min−1), which is lower in newer studies (lower figure). We can claim this with a probability of 99.57 ± 0.05%. The between-study variability seems to be dropping, and we can claim this with a probability of 90.94 ± 0.3%.
Figure 5.
There are no differences in absolute VO2max (Lmin−1) between studies with subjects from USA and other countries (upper figure), but looking into studies using relative values, higher VO2max (mLkg−1min−1) values were reported in subjects from other countries than in USA (lower figure). We can claim this with a probability of 98.75 ± 0.2%.
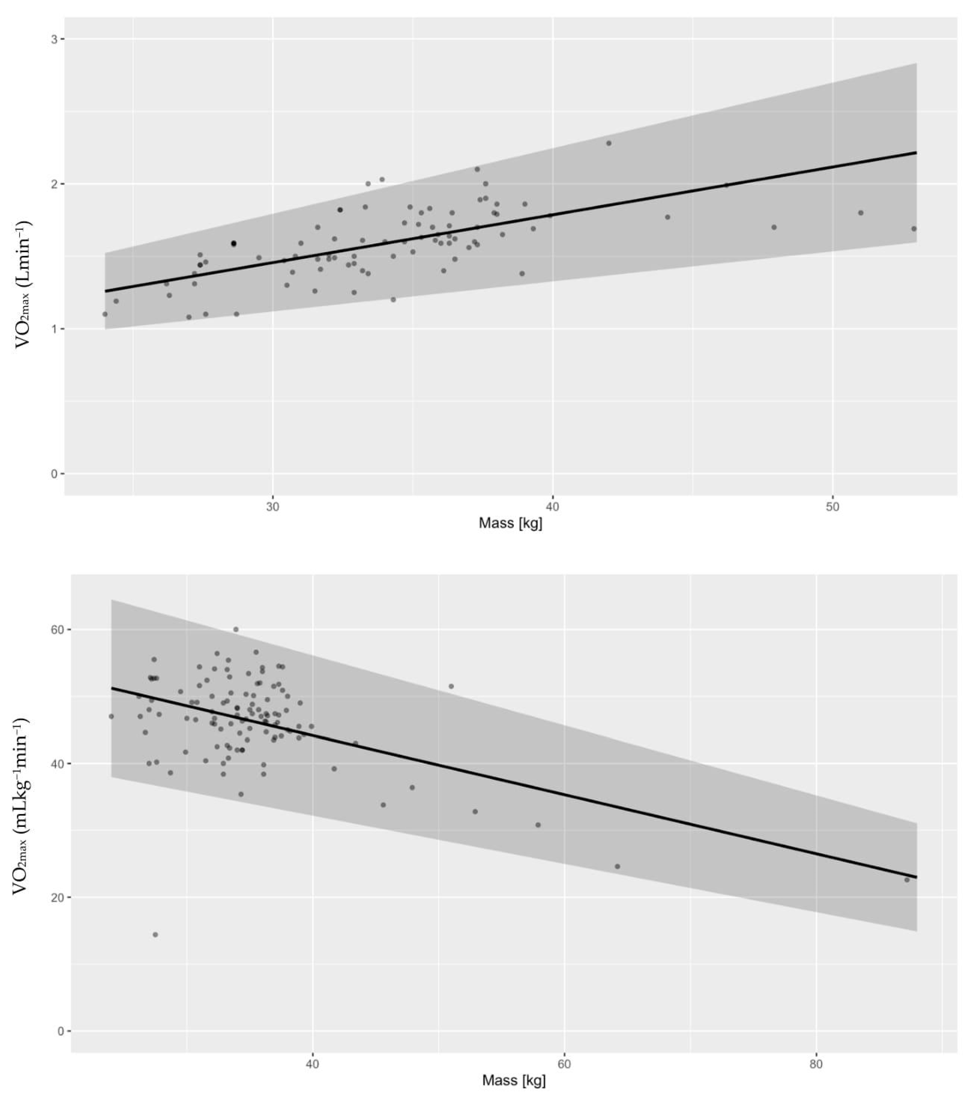
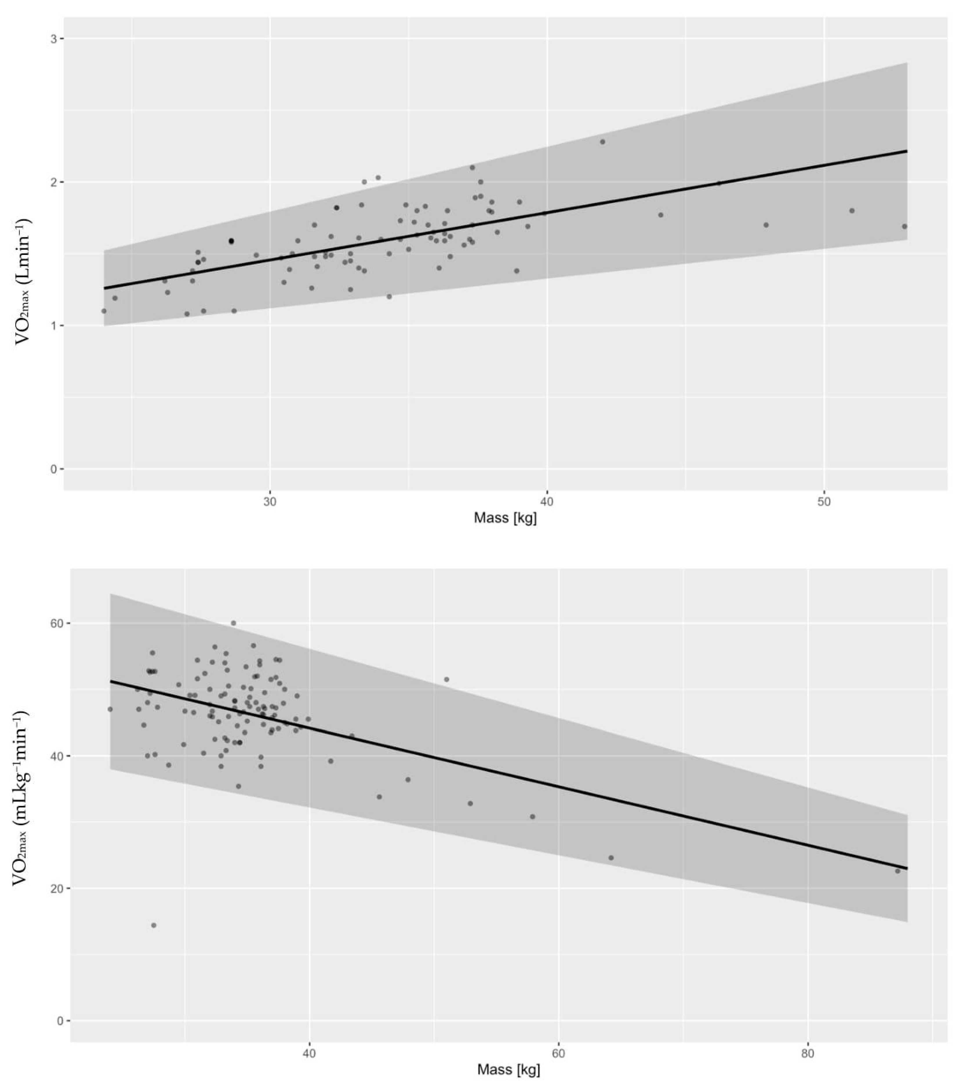
Figure 6.
Absolute values of VO2max (Lmin−1) are higher in boys with greater body mass (P ≈ 100%) (upper figure), whereas mean relative VO2max (mLkg−1min−1) is lower when participants have higher body mass (P ≈ 100%) (lower figure).
Figure 7.
There are no significant differences between trends in articles reporting absolute VO2max values (Lmin−1) comparing USA and other countries (upper figure) as opposed to articles reporting relative VO2max values (mLkg−1min−1) (lower figure). Analysis showed that in those articles’ bodies: mLkg−1min−1, relative cardiorespiratory fitness.
We cannot claim that the mean relative CRF or its standard deviation changes with age (Figure 2). Secondly, we checked for differences between VO2peak and VO2max. The opposite was found in the absolute CRF. Our study suggests that mean VO2max is higher than mean VO2peak. We can claim this with a probability of 99.6 ± 0.1% (Figure 3). Moreover, it seems that the mean relative CRF is lower in more recent studies. We can claim this with a probability of 99.6 ± 0.1%. The between-study variability seems to be dropping, which we can claim with a probability of only 90.9 ± 0.3% (Figure 4). Our study also suggests that the mean relative CRF in other countries is higher than in the USA. We can claim this with a probability of 98.8 ± 0.2% (Figure 5). Investigating body mass in articles reporting relative values, mean relative CRF (mLkg−1min−1) is lower when participants have higher body mass (P ≈ 100%) (Figure 6). It could be that USA boys are a bit heavier on average, but we cannot claim this with a very high probability (P = 82.9 ± 0.7%). We did, however, observe that in these articles, body mass seems to be increasing faster with age in the USA compared to other countries (P = 92.3 ± 0.3%) (Figure 7). Finally, boys in studies using VO2peak also seem to be heavier in articles reporting relative values compared with studies with VO2max (P = 99.6 ± 0.1%).
3.1. Is There Any Difference between Boys and Girls?
No significant differences exist between relative cardiorespiratory fitness values in prepubertal boys and girls. The probability that boys have lower values than girls is only 73.6 ± 1%.
3.2. Models in Practice
At https://demsarjure.shinyapps.io/vo2max/, (access date: 26 December 2022) a simple app can be found in which the measured VO2max in Lmin−1, participant’s age, and weight are put in the calculator. The app then uses the fitted Bayesian models to calculate and visualize the percentile for the data that were provided. The app calculates absolute VO2max when VO2max and age are provided and relative VO2max when weight is provided as well. The dashed vertical lines denote the 95% CI.
4. Discussion
To the best of our knowledge, this is a meta-analysis with the largest dataset of CRF measurements in boys with mean age under 11 that performed cycle ergometry. Based on the articles included, normative values for prepubertal boys are presented, and a prediction model based on age has been developed for researchers and clinicians to use.
Children with mean ages 4 to 11 were included in this meta-analysis. Relative CRF (normalized to body mass) or its standard deviation did not change with age, which is in line with norms found in boys from 8 to 18 years old [116]. However, articles reporting CRF not normalized to body mass (mean absolute CRF) showed that CRF and its standard deviation in prepubertal boys are dependent on age. This can be explained by increasing body mass as boys age. Body mass is metabolically active tissue that uses oxygen consumption during exercise. This finding is supported by higher absolute CRF in heavier boys in this meta-analysis. Interestingly, mean relative CRF is lower in heavier boys, which we suggest can be explained by the methodology used. We excluded only morbid obesity, so overweight subjects were included in our analysis. The decision to include them seemed necessary since obesity has become a global epidemic during the last three decades, especially in developed countries. In 2013, 23.8% of boys were overweight or obese [117]. In children with obesity, CRF has declined in the last decades, and it is vital to improve the level of physical activity and to improve their aerobic fitness [118]. Creating normative values for boys with normal body mass index only would not be useful for those who are overweight or obese. Heavier children might be more susceptible to cardiovascular risk later in life and will need clinical evaluation and follow-up. To conclude, heavier boys seem to have lower aerobic capacity, which can be explained by overweight individuals also included in this analysis. Having normative values for boys (both absolute and relative CRF values) is, thus, necessary for understanding an individual’s fitness and could gain even greater importance as boys seem to have become heavier in recent years.
Although specifics of determining VO2peak in contrast to VO2max are widely discussed in the literature, there are no recommendations for their use in children based on large studies. This analysis showed that mean VO2peak is higher than mean VO2max in studies reporting absolute values, and the opposite was found in studies with relative values. In theory, lower VO2peak than VO2max could be explained by subjects not reaching their actual maximal oxygen uptake in articles using VO2peak metric, which is a general concern when reporting maximal VO2 in children and adults. However, there is no clear explanation why children with measured absolute values would show higher VO2peak than mean VO2max. Our study cannot provide clarification of this finding. However, we would like to suggest that higher body mass in boys with VO2peak as compared with boys with VO2max could be a reason for this. We also observed higher body mass in studies using relative VO2peak as compared with boys with relative VO2max, but these values are normalized to body mass.
In more recent studies, absolute CRF values (not normalized to body mass) are higher and mean relative CRF values (normalized to body mass) are lower. We can assume this is the result of increasing body mass in boys involved in the studies analyzed. The between-study variability is dropping, which we suggest can be explained by improved methodological approaches and more articles in recent years (85 groups prior to 1995 vs. 128 subject groups after 1995). Understanding that based on these results, prepubertal boys are becoming less fit, which is not only observed or estimated but can now be supported by actual VO2max measurements as well.
Finally, there is no difference between absolute CRF in the USA and other countries, but relative values are lower in the USA. We found an association between higher body mass and higher absolute values, and we can also say with certainty that USA boys are heavier in the studies included in our analysis. Both absolute and relative values thus indicate that prepubertal boys from the USA have lower endurance capacity than boys from other countries. If we try to interpret that with the data from our analysis that body mass in the USA increases faster than in other countries, we can expect endurance capacity to decrease even further in the future. This is alarming since CRF is the most important marker of health among the health-related physical fitness components in children and adolescents [119,120,121], and there is an inverse relationship between cardiorespiratory fitness during childhood and cardiovascular disease risk factors in adulthood [122].
Limitations
There are some limitations that should be considered. Firstly, we did not distinguish among the many protocols used for each of the approaches during cycle ergometry. These protocols are quite important in estimating aerobic capacity, but protocol nuances used by individual laboratories make sorting them into logical categories very difficult. The same can be said about criteria used to determine whether a child has attained his personal best CRF for a particular test averaging time [123]. These criteria usually include: RER (≥1.0), no change in VO2 with increasing workload (i.e., a plateau in VO2), visible signs of exhaustion, and attainment of age-predicted heart rate or some percentage of it [5,124] but are not identical in all studies involved.
5. Conclusions
New reference values for CRF are presented for prepubertal boys that can be used for physical fitness classification on an individual level for medical experts and sports practitioners. Aerobic capacity normalized to body weight does not change with mean age in boys 4–11 years old, which can be very useful in clinical settings for early diagnosis of reduced cardiorespiratory fitness. It seems that values are not different from those in prepubertal girls.
CRF in prepubertal boys is declining. Our results show that this is associated with increasing body mass, but it also suggests boys with mean age under 11 years old might be less active than in the past. In addition, aerobic capacity is lower in boys in the USA, which is associated with increased body mass. In light of the obesity pandemic, these results indicate more action is needed to improve physical activity in prepubertal boys in order to reduce the likelihood of increased cardiovascular risk later in life. CRF references presented by this analysis can aid in evaluating obesity criteria and physical fitness in prepubertal boys.
Finally, this study did not find any advantage in determining CRF values with the VO2peak or VO2max metrics. Based on our findings, it seems that in prepubertal boys, the differences are not significant enough to be important. This can help researchers and clinicians as they perform cardiopulmonary tests on prepuberal boys.
Supplementary Materials
The following supporting information can be downloaded at: https://www.mdpi.com/article/10.3390/life13020276/s1, Table S1: Included Studies for Absolute VO2max/peak values (Lmin−1); Table S2: Included Studies for Relative VO2max/peak values (Lmin−1)
Author Contributions
Conceptualization, I.J. and T.M.; methodology, I.J., T.M. and J.D.; software, J.D.; formal analysis, I.J. and J.D.; data curation, I.J. and T.M.; writing—original draft preparation, I.J., T.M. and J.D.; writing—review and editing, I.J. and T.M.; supervision, T.M.; project administration, I.J. All authors have read and agreed to the published version of the manuscript.
Funding
This research received no external funding.
Institutional Review Board Statement
The study was conducted in accordance with the Declaration of Helsinki.
Informed Consent Statement
Not applicable.
Data Availability Statement
All data are available in the Supplementary Materials.
Acknowledgments
Linda McCurdy assisted in the 100% check of data inputs. We thank Alenka Franko for her support in this project.
Conflicts of Interest
The authors declare no conflict of interest.
References
- Takken, T.; Bongers, B.C.; van Brussel, M.; Haapala, E.A.; Hulzebos, E.H.J. Cardiopulmonary Exercise Testing in Pediatrics. Ann. Am. Thorac. Soc. 2017, 14 (Suppl. S1), S123–S128. [Google Scholar] [CrossRef] [PubMed]
- Balady, G.J.; Arena, R.; Sietsema, K.; Myers, J.; Coke, L.; Fletcher, G.F.; Forman, D.; Franklin, B.; Guazzi, M.; Gulati, M.; et al. Clinician’s Guide to Cardiopulmonary Exercise Testing in Adults: A Scientific Statement from the American Heart Association. Circulation 2010, 122, 191–225. [Google Scholar] [CrossRef] [PubMed]
- Palange, P.; Laveneziana, P.; Neder, J.A.; Ward, S.A. Clinical Exercise Testing; Palange, P., Laveneziana, P., Neder, J.A., Ward, S.A., Eds.; European Respiratory Society: Sheffield, UK, 2018. [Google Scholar]
- Forbregd, T.R.; Aloyseus, M.A.; Berg, A.; Greve, G. Cardiopulmonary Capacity in Children During Exercise Testing: The Differences Between Treadmill and Upright and Supine Cycle Ergometry. Front. Physiol. 2019, 10, 1440. [Google Scholar] [CrossRef]
- Bergh, U.; Kanstrup, I.L.; Ekblom, B. Maximal Oxygen Uptake during Exercise with Various Combinations of Arm and Leg Work. J. Appl. Physiol. 1976, 41, 191–196. [Google Scholar] [CrossRef] [PubMed]
- LeMura, L.M.; von Duvillard, S.P.; Cohen, S.L.; Root, C.J.; Chelland, S.A.; Andreacci, J.; Hoover, J.; Weatherford, J. Treadmill and Cycle Ergometry Testing in 5- to 6-Year-Old Children. Eur. J. Appl. Physiol. 2001, 85, 472–478. [Google Scholar] [CrossRef]
- Armstrong, N. Aerobic Fitness and Physical Activity in Children. Pediatr. Exerc. Sci. 2013, 25, 548–560. [Google Scholar] [CrossRef]
- Whiting, S.; Buoncristiano, M.; Gelius, P.; Abu-Omar, K.; Pattison, M.; Hyska, J.; Duleva, V.; Musić Milanović, S.; Zamrazilová, H.; Hejgaard, T.; et al. Physical Activity, Screen Time, and Sleep Duration of Children Aged 6–9 Years in 25 Countries: An Analysis within the WHO European Childhood Obesity Surveillance Initiative (COSI) 2015–2017. Obes. Facts 2021, 14, 32. [Google Scholar] [CrossRef] [PubMed]
- Trost, S.G.; Rosenkranz, R.R.; Dzewaltowski, D. Physical Activity Levels among Children Attending After-School Programs. Med. Sci. Sports Exerc. 2008, 40, 622–629. [Google Scholar] [CrossRef]
- Hinkley, T.; Crawford, D.; Salmon, J.; Okely, A.D.; Hesketh, K. Preschool Children and Physical Activity. A Review of Correlates. Am. J. Prev. Med. 2008, 34, 435–441. [Google Scholar] [CrossRef]
- Bailey, R.C.; Olson, J.; Pepper, S.L.; Porszasz, J.; Barstow, T.J.; Cooper, D.M. The Level and Tempo of Children’s Physical Activities: An Observational Study. Med. Sci. Sports Exerc. 1995, 27, 1033–1041. [Google Scholar] [CrossRef]
- Pate, R.R.; O’Neill, J.R.; Liese, A.D.; Janz, K.F.; Granberg, E.M.; Colabianchi, N.; Harsha, D.W.; Condrasky, M.M.; O’Neil, P.M.; Lau, E.Y.; et al. Factors Associated with Development of Excessive Fatness in Children and Adolescents: A Review of Prospective Studies. Obes. Rev. 2013, 14, 645–658. [Google Scholar] [CrossRef] [PubMed]
- Armstrong, N.; Welsman, J.R. Assessment and Interpretation of Aerobic Fitness in Children and Adolescents. Exerc. Sport Sci. Rev. 1994, 22, 435–476. [Google Scholar] [CrossRef] [PubMed]
- Crisp, N.A.; Guelfi, K.J.; Licari, M.K.; Braham, R.; Fournier, P.A. Does Exercise Duration Affect Fat Max in Overweight Boys? Eur. J. Appl. Physiol. 2012, 112, 2557–2564. [Google Scholar] [CrossRef] [PubMed]
- Cunningham, D.A.; Paterson, D.H.; Blimkie, C.J.R.; Donner, A.P. Development of Cardiorespiratory Function in Circumpubertal Boys: A Longitudinal Study. J. Appl. Physiol. Respir. Environ. Exerc. Physiol. 1984, 56, 302–307. [Google Scholar] [CrossRef] [PubMed]
- Welsh, L.; Roberts, R.G.D.; Kemp, J.G. Fitness and Physical Activity in Children with Asthma. Sport. Med. 2004, 34, 861–870. [Google Scholar] [CrossRef] [PubMed]
- Stan Development Team RStan: The R Interface to Stan. Available online: https://mc-stan.org/ (accessed on 5 May 2022).
- Field, A.P. Discovering Statistics Using IBM SPSS Statistics, 5th ed.; SAGE Publications, Inc.: Thousand Oaks, CA, USA, 2018; p. 368. [Google Scholar]
- Odor, P.M.; Bampoe, S.; Cecconi, M. Cardiac Output Monitoring: Validation Studies–How Results Should Be Presented. Curr. Anesthesiol. Rep. 2017, 7, 410–415. [Google Scholar] [CrossRef] [PubMed]
- Agbaje, A.O.; Haapala, E.A.; Lintu, N.; Viitasalo, A.; Barker, A.R.; Takken, T.; Tompuri, T.; Lindi, V.; Lakka, T.A. Peak Oxygen Uptake Cut-Points to Identify Children at Increased Cardiometabolic Risk–The PANIC Study. Scand. J. Med. Sci. Sports 2019, 29, 16–24. [Google Scholar] [CrossRef]
- Andersen, K.L.; Ghesquiere, J. Sex Differences in Maximal Oxygen Uptake, Heart Rate and Oxygen Pulse at 10 and 14 Years in Norwegian Children. Hum. Biol. 1972, 44, 413–431. [Google Scholar]
- Arngrímsson, S.Á.; Sveinsson, T.; Jóhannsson, E. Peak Oxygen Uptake in Children: Evaluation of an Older Prediction Method and Development of a New One. Pediatr. Exerc. Sci. 2008, 20, 62–73. [Google Scholar] [CrossRef]
- Crisp, N.A.; Fournier, P.A.; Licari, M.K.; Braham, R.; Guelfi, K.J. Adding Sprints to Continuous Exercise at the Intensity That Maximises Fat Oxidation: Implications for Acute Energy Balance and Enjoyment. Metabolism 2012, 61, 1280–1288. [Google Scholar] [CrossRef]
- Davies, C.T.; Barnes, C.; Godfrey, S. Body Composition and Maximal Exercise Performance in Children. Hum. Biol. 1972, 44, 195–214. [Google Scholar] [PubMed]
- de Jonge, R. Effect of Anthropometric Characteristics and Socio-Economic Status on Physical Performances of Pre-Pubertal Children Living in Bolivia at Low Altitude. Eur. J. Appl. Physiol. Occup. Physiol. 1996, 74, 367–374. [Google Scholar] [CrossRef] [PubMed]
- Del Corral, P.; Mahon, A.D.; Duncan, G.E.; Howe, C.A.; Craig, B.W. The Effect of Exercise on Serum and Salivary Cortisol in Male Children. Med. Sci. Sports Exerc. 1994, 26, 1297–1301. [Google Scholar] [CrossRef] [PubMed]
- Docherty, D.; Gaul, C.A. Relationship of Body Size, Physique, and Composition to Physical Performance in Young Boys and Girls. Int. J. Sports Med. 1991, 12, 525–532. [Google Scholar] [CrossRef]
- Dunstheimer, D.; Hebestreit, H.; Staschen, B.; Starßburg, H.M.; Jeschke, R. Bilateral Deficit during Short-Term, High-Intensity Cycle Ergometry in Girls and Boys. Eur. J. Appl. Physiol. 2001, 84, 557–561. [Google Scholar] [CrossRef] [PubMed]
- Dzurenkova, D.; Marcek, T.; Hajkova, M. Specialities of Assessment of Endurance Capabilities in Sport Active Children. Bratisl. Lek. Listy 2001, 102, 432–433. [Google Scholar]
- Farr, C.; Middlebrooke, A.R.; Armstrong, N.; Barker, A.R.; Fulford, J.; Mawson, D.M.; McManus, A.M. Objectively Measured Aerobic Fitness Is Not Related to Vascular Health Outcomes and Cardiovascular Disease Risk in 9-10 Year Old Children. J. Sports Sci. Med. 2019, 18, 513–522. [Google Scholar] [PubMed]
- Fawkner, S.G.; Armstrong, N. Sex Differences in the Oxygen Uptake Kinetic Response to Heavy-Intensity Exercise in Prepubertal Children. Eur. J. Appl. Physiol. 2004, 93, 210–216. [Google Scholar] [CrossRef]
- Friberg, S.; Bevegård, S.; Graff-Lonnevig, V.; Hallbäck, I. Asthma from Childhood to Adulthood-A Follow-up Study of 20 Subjects with Special Reference to Work Capacity and Pulmonary Gas Exchange. J. Allergy Clin. Immunol. 1989, 84, 183–190. [Google Scholar] [CrossRef]
- Gaisl, G.; Buchberger, J. Determination of the Aerobic and Anaerobic Thresholds of 10-11-Year-Old Boys Using Blood-Gas Analysis; Berg, W., Eriksson, B.O., Eds.; University Park Press: Baltimore, MD, USA, 1980. [Google Scholar]
- Gilliam, T.B.; Katch, V.L.; Thorland, W.; Weltman, A. Prevalence of Coronary Heart Disease Risk Factors in Active Children, 7 to 12 Years of Age. Med. Sci. Sports Exerc. 1977, 9, 21–25. [Google Scholar] [CrossRef]
- Hansen, H.S.; Froberg, K.; Nielsen, J.R.; Hyldebrandt, N. A New Approach to Assessing Maximal Aerobic Power in Children: The Odense School Child Study. Eur. J. Appl. Physiol. Occup. Physiol. 1989, 58, 618–624. [Google Scholar] [CrossRef] [PubMed]
- Hermansen, L.; Oseid, S. Direct and Indirect Estimation of Maximal Oxygen Uptake in Pre-Pubertal Boys. Acta Paediatr. Scand. Suppl. 1971, 217, 18–23. [Google Scholar] [CrossRef] [PubMed]
- Ikai, M.; Kitagawa, K. Maximum Oxygen Uptake of Japanese Related to Sex and Age. Med. Sci. Sports Exerc. 1972, 4, 127–131. [Google Scholar] [CrossRef]
- Inbar, O.; Bar-Or, O. The Effects of Intermittent Warm-up on 7-9 Year-Old Boys. Eur. J. Appl. Physiol. Occup. Physiol. 1975, 34, 81–89. [Google Scholar] [CrossRef]
- Janz, K.F.; Burns, T.L.; Witt, J.D.; Mahoney, L.T. Longitudinal Analysis of Scaling VO2 for Differences in Body Size during Puberty: The Muscatine Study. Med. Sci. Sports Exerc. 1998, 30, 1436–1444. [Google Scholar] [CrossRef]
- Janz, K.F.; Dawson, J.D.; Mahoney, L.T. Tracking Physical Fitness and Physical Activity from Childhood to Adolescence: The Muscatine Study. Med. Sci. Sports Exerc. 2000, 32, 1250–1257. [Google Scholar] [CrossRef]
- Kolle, E.; Steene-Johannessen, J.; Andersen, L.B.; Anderssen, S.A. Objectively Assessed Physical Activity and Aerobic Fitness in a Population-Based Sample of Norwegian 9- and 15-Year-Olds. Scand. J. Med. Sci. Sports 2010, 20, e41–e47. [Google Scholar] [CrossRef]
- Kowaluk, A.; Woźniewski, M. Peak Oxygen Uptake and Exercise Capacity of Children Undergoing Leukemia Treatment. Int. J. Environ. Res. Public Health 2020, 17, 1–18. [Google Scholar] [CrossRef] [PubMed]
- Lange Andersen, K.; Seliger, V.; Rutenfranz, J.; Skrobak-Kaczynski, J. Physical Performance Capacity of Children in Norway-Part IV. The Rate of Growth in Maximal Aerobic Power and the Influence of Improved Physical Education of Children in a Rural Community-Population Parameters in a Rural Community. Eur. J. Appl. Physiol. Occup. Physiol. 1976, 35, 49–58. [Google Scholar] [CrossRef]
- Lange Andersen, K.; Seliger, V.; Rutenfranz, J.; Mocellin, R. Physical Performance Capacity of Children in Norway-Part I. Population Parameters in a Rural Inland Community with Regard to Maximal Aerobic Power. Eur. J. Appl. Physiol. Occup. Physiol. 1974, 33, 177–195. [Google Scholar] [CrossRef]
- Lazzer, S.; Molin, M.; Stramare, D.; Facchini, S.; Francescato, M.P. Effects of an Eight-Month Weight-Control Program on Body Composition and Lipid Oxidation Rate during Exercise in Obese Children. J. Endocrinol. Invest. 2008, 31, 509–514. [Google Scholar] [CrossRef] [PubMed]
- Lintu, N.; Viitasalo, A.; Tompuri, T.; Veijalainen, A.; Hakulinen, M.; Laitinen, T.; Savonen, K.; Lakka, T.A. Cardiorespiratory Fitness, Respiratory Function and Hemodynamic Responses to Maximal Cycle Ergometer Exercise Test in Girls and Boys Aged 9–11 Years: The PANIC Study. Eur. J. Appl. Physiol. 2015, 115, 235–243. [Google Scholar] [CrossRef] [PubMed]
- Lu, K.D.; Bar-Yoseph, R.; Radom-Aizik, S.; Cooper, D.M. A New Approach to Estimate Aerobic Fitness Using the NHANES Dataset. Scand. J. Med. Sci. Sports 2019, 29, 1392–1401. [Google Scholar] [CrossRef] [PubMed]
- Mahon, A.D.; Stephens, B.R.; Cole, A.S. Exercise Responses in Boys with Attention Deficit/Hyperactivity Disorder: Effects of Stimulant Medication. J. Atten. Disord. 2008, 12, 170–176. [Google Scholar] [CrossRef] [PubMed]
- Massicotte, D.R.; Gauthier, R.; Markon, P. Prediction of VO2max from the Running Performance in Children Aged 10-17 Years. J. Sport. Med. Phys. Fit. 1985, 25, 10–17. [Google Scholar]
- McManus, A.M.; Cheng, C.H.; Leung, M.P.; Yung, T.C.; Macfarlane, D.J. Improving Aerobic Power in Primary School Boys: A Comparison of Continuous and Interval Training. Int. J. Sports Med. 2005, 26, 781–786. [Google Scholar] [CrossRef]
- McMurray, R.G.; Harrell, J.S.; Bradley, C.; Deng, S.; Bangdiwala, S.I. Predicted Maximal Aerobic Power in Youth Is Related to Gender, Ethnicity, and Body Composition. Med. Sci. Sports Exerc. 2001, 33, S31. [Google Scholar] [CrossRef]
- McNarry, M.A.; Farr, C.; Middlebrooke, A.; Welford, D.; Breese, B.; Armstrong, N.; Barker, A.R. Aerobic Function and Muscle Deoxygenation Dynamics during Ramp Exercise in Children. Med. Sci. Sports Exerc. 2015, 47, 1877–1884. [Google Scholar] [CrossRef][Green Version]
- Nourry, C.; Fabre, C.; Bart, F.; Grosbois, J.M.; Berthoin, S.; Mucci, P. Evidence of Exercise-Induced Arterial Hypoxemia in Prepubescent Trained Children. Pediatr. Res. 2004, 55, 674–681. [Google Scholar] [CrossRef]
- Ortega, F.B.; Ruiz, J.R.; Hurtig-Wennlöf, A.; Vicente-Rodríguez, G.; Rizzo, N.S.; Castillo, M.J.; Sjöström, M. Cardiovascular Fitness Modifies the Associations between Physical Activity and Abdominal Adiposity in Children and Adolescents: The European Youth Heart Study. Br. J. Sports Med. 2010, 44, 256–262. [Google Scholar] [CrossRef]
- Peralta-Huertas, J.; Livingstone, K.; Banach, A.; Klentrou, P.; O’Leary, D. Differences in Left Ventricular Mass between Overweight and Normal-Weight Preadolescent Children. Appl. Physiol. Nutr. Metab. 2008, 33, 1172–1180. [Google Scholar] [CrossRef] [PubMed]
- Rivera-Brown, A.M.; Alvarez, M.; Rodríguez-Santana, J.R.; Benetti, P.J. Anaerobic Power and Achievement of VO2 Plateau in Pre-Pubertal Boys. Int. J. Sports Med. 2001, 22, 111–115. [Google Scholar] [CrossRef] [PubMed]
- Robertson, R.J.; Goss, F.L.; Boer, N.; Gallagher, J.D.; Thompkins, T.; Bufalino, K.; Balasekaran, G.; Meckes, C.; Pintar, J.; Williams, A. OMNI Scale Perceived Exertion at Ventilatory Breakpoint in Children: Response Normalized. Med. Sci. Sports Exerc. 2001, 33, 1946–1952. [Google Scholar] [CrossRef] [PubMed]
- Rowland, T.W.; Rambusch, J.M.; Staab, J.S.; Unnithan, V.B.; Siconolfi, S.F. Accuracy of Physical Working Capacity (PWC170) in Estimating Aerobic Fitness in Children. J. Sport. Med. Phys. Fit. 1993, 33, 184–188. [Google Scholar]
- Rowland, T.W. The Development of Aerobic Fitness in Children; Armstrong, N., Ed.; E & FN Spon.: London, UK, 1997. [Google Scholar]
- Rowland, T.W. Does Peak VO2 Reflect VO2max in Children?: Evidence from Supramaximal Testing. Med. Sci. Sports Exerc. 1993, 25, 689–693. [Google Scholar] [CrossRef]
- Rutenfranz, J.; Andersen, K.L.; Seliger, V.; Klimmer, F.; Berndt, I.; Ruppel, M. Maximum Aerobic Power and Body Composition during the Puberty Growth Period: Similarities and Differences between Children of Two European Countries. Eur. J. Pediatr. 1981, 136, 123–133. [Google Scholar] [CrossRef]
- Mandigout, S.; Lecoq, A.; Courteix, D.; Guenon, P.; Obert, P. Effect of Gender in Response to an Aerobic Training Programme in Prepubertal Children. Acta Paediatr. 2001, 90, 9–15. [Google Scholar] [CrossRef]
- Sockolov, R.; Irwin, B.; Dressendorfer, R.H.; Bernauer, E.M. Exercise Performance in 6 to 11 Year Old Boys with Duchenne Muscular Dystrophy. Arch. Phys. Med. Rehabil. 1977, 58, 195–201. [Google Scholar]
- Sunnegårdh, J.; Bratteby, L.E. Maximal Oxygen Uptake, Anthropometry and Physical Activity in a Randomly Selected Sample of 8 and 13 Year Old Children in Sweden. Eur. J. Appl. Physiol. Occup. Physiol. 1987, 56, 266–272. [Google Scholar] [CrossRef]
- Swain, K.E.; Rosenkranz, S.K.; Beckman, B.; Harms, C.A. Expiratory Flow Limitation during Exercise in Prepubescent Boys and Girls: Prevalence and Implications. J. Appl. Physiol. 2010, 108, 1267–1274. [Google Scholar] [CrossRef]
- Tolfrey, K.; Campbell, I.G.; Batterham, A.M. Aerobic Trainability of Prepubertal Boys and Girls. Pediatr. Excercise Sci. 1998, 10, 248–263. [Google Scholar] [CrossRef]
- Tompuri, T.; Lintu, N.; Savonen, K.; Laitinen, T.; Laaksonen, D.; Jääskeläinen, J.; Lakka, T.A. Measures of Cardiorespiratory Fitness in Relation to Measures of Body Size and Composition among Children. Clin. Physiol. Funct. Imaging 2015, 35, 469–477. [Google Scholar] [CrossRef] [PubMed]
- Turley, K.R.; Rogers, D.M.; Harper, K.M.; Kujawa, K.I.; Wilmore, J.H. Maximal Treadmill versus Cycle Ergometry Testing in Children: Differences, Reliability, and Variability of Responses. Pediatr. Exerc. Sci. 1995, 7, 49–60. [Google Scholar] [CrossRef]
- Turley, K.R.; Wilmore, J.H. Cardiovascular Responses to Submaximal Exercise in 7- to 9-Yr-Old Boys and Girls. Med. Sci. Sports Exerc. 1997, 29, 824–832. [Google Scholar] [CrossRef]
- Van Praagh, E.; Bedu, M.; Falgairette, G.; Fellmann, N.; Coudert, J. Comparaison Entre over VO2 Max Direct et Indirect Chez l’enfant de 7 et 12 Ans. Validation d’une Épreuve de Terrain. Sci. Sports 1988, 3, 327–332. [Google Scholar] [CrossRef]
- Vandekerckhove, K.; Coomans, I.; Moerman, A.; De Wolf, D.; Boone, J. Characterizing Cerebral and Locomotor Muscle Oxygenation to Incremental Ramp Exercise in Healthy Children: Relationship with Pulmonary Gas Exchange. Eur. J. Appl. Physiol. 2016, 116, 2345–2355. [Google Scholar] [CrossRef] [PubMed]
- Vinet, A.; Mandigout, S.; Nottin, S.; Nguyen, L.D.; Lecoq, A.M.; Courteix, D.; Obert, P. Influence of Body Composition, Hemoglobin Concentration, and Cardiac Size and Function of Gender Differences in Maximal Oxygen Uptake in Prepubertal Children. Chest 2003, 124, 1494–1499. [Google Scholar] [CrossRef] [PubMed]
- Washington, R.L.; van Gundy, J.C.; Cohen, C.; Sondheimer, H.M.; Wolfe, R.R. Normal Aerobic and Anaerobic Exercise Data for North American School-Age Children. J. Pediatr. 1988, 112, 223–233. [Google Scholar] [CrossRef]
- Weber, G.; Kartodihardjo, W.; Klissouras, V. Growth and Physical Training with Reference to Heredity. J. Appl. Physiol. 1976, 40, 211–215. [Google Scholar] [CrossRef]
- Weinstein, Y.; Kamerman, T.; Berry, E.; Falk, B. Mechanical Efficiency of Normal-Weight Prepubertal Boys Predisposed to Obesity. Med. Sci. Sports Exerc. 2004, 36, 567–573. [Google Scholar] [CrossRef]
- Welsman, J.; Bywater, K.; Farr, C.; Welford, D.; Armstrong, N. Reliability of Peak VO2 and Maximal Cardiac Output Assessed Using Thoracic Bioimpedance in Children. Eur. J. Appl. Physiol. 2005, 94, 228–234. [Google Scholar] [CrossRef]
- Winsley, R.J.; Fulford, J.; Roberts, A.C.; Welsman, J.R.; Armstrong, N. Sex Difference in Peak Oxygen Uptake in Prepubertal Children. J. Sci. Med. Sport 2009, 12, 647–651. [Google Scholar] [CrossRef] [PubMed]
- Yamaji, K.; Miyashita, M. Oxygen Transport System during Exhaustive Exercise in Japanese Boys. Eur. J. Appl. Physiol. Occup. Physiol. 1977, 36, 93–99. [Google Scholar] [CrossRef] [PubMed]
- Zebrowska, A.; Zwierzchowska, A. Spirometric Values and Aerobic Efficency of Children and Adolescents with Hearing Loss. J. Physiol. Pharmacol. 2006, 57, 443–447. [Google Scholar] [PubMed]
- Aandstad, A.; Berntsen, S.; Hageberg, R.; Klasson-Heggebø, L.; Anderssen, S.A. A Comparison of Estimated Maximal Oxygen Uptake in 9 and 10 Year Old Schoolchildren in Tanzania and Norway. Br. J. Sports Med. 2006, 40, 287–292. [Google Scholar] [CrossRef]
- Adegboye, A.R.A.; Anderssen, S.A.; Froberg, K.; Sardinha, L.B.; Heitmann, B.L.; Steene-Johannessen, J.; Kolle, E.; Andersen, L.B. Recommended Aerobic Fitness Level for Metabolic Health in Children and Adolescents: A Study of Diagnostic Accuracy. Br. J. Sports Med. 2011, 45, 722–728. [Google Scholar] [CrossRef]
- Barkley, J.E.; Roemmich, J.N. Validity of the CALER and OMNI-Bike Ratings of Perceived Exertion. Med. Sci. Sports Exerc. 2008, 40, 760–766. [Google Scholar] [CrossRef]
- Birat, A.; Bourdier, P.; Piponnier, E.; Blazevich, A.J.; Maciejewski, H.; Duché, P.; Ratel, S. Metabolic and Fatigue Profiles Are Comparable between Prepubertal Children and Well-Trained Adult Endurance Athletes. Front. Physiol. 2018, 9. [Google Scholar] [CrossRef]
- Boissière, J.; Maufrais, C.; Baquet, G.; Schuster, I.; Dauzat, M.; Doucende, G.; Obert, P.; Berthoin, S.; Nottin, S. Specific Left Ventricular Twist-Untwist Mechanics during Exercise in Children. J. Am. Soc. Echocardiogr. 2013, 26, 1298–1305. [Google Scholar] [CrossRef]
- Cooper, D.M.; Weiler-Ravell, D.; Whipp, B.J.; Wasserman, K. Aerobic Parameters of Exercise as a Function of Body Size during Growth in Children. J. Appl. Physiol. Respir. Environ. Exerc. Physiol. 1984, 56, 628–634. [Google Scholar] [CrossRef]
- Cunningham, D.A.; Telford, P.; Swart, G.T. The Cardiopulmonary Capacities of Young Hockey Players: Age 10. Med. Sci. Sports Exerc. 1976, 8, 23–25. [Google Scholar] [CrossRef]
- Danielson, A.; Thorsson, O.; Karlsson, M.K.; Wollmer, P.; Andersen, L.B.; Dencker, M. School-Based Study Found That Physical Activity and Aerobic Fitness Predicted Increases in Total Body Fat and Abdominal Fat at a Mean Age of 9.8 Years. Acta Paediatr. Int. J. Paediatr. 2018, 107, 1810–1817. [Google Scholar] [CrossRef] [PubMed]
- Dencker, M.; Thorsson, O.; Karlsson, M.K.; Lindén, C.; Svensson, J.; Wollmer, P.; Andersen, L.B. Daily Physical Activity and Its Relation to Aerobic Fitness in Children Aged 8-11 Years. Eur. J. Appl. Physiol. 2006, 96, 587–592. [Google Scholar] [CrossRef]
- DeStefano, R.A.; Caprio, S.; Fahey, J.T.; Tamborlane, W.V.; Goldberg, B. Changes in Body Composition after a 12-Wk Aerobic Exercise Program in Obese Boys. Pediatr. Diabetes 2000, 1, 61–65. [Google Scholar] [CrossRef]
- Dotan, R.; Falk, B.; Raz, A. Intensity Effect of Active Recovery from Glycolytic Exercise on Decreasing Blood Lactate Concentration in Prepubertal Children. Med. Sci. Sports Exerc. 2000, 32, 564–570. [Google Scholar] [CrossRef]
- Falgairette, G.; Bedu, M.; Fellmann, N.; Van-Praagh, E.; Coudert, J. Bio-Energetic Profile in 144 Boys Aged from 6 to 15 Years with Special Reference to Sexual Maturation. Eur. J. Appl. Physiol. Occup. Physiol. 1991, 62, 151–156. [Google Scholar] [CrossRef]
- Falk, B.; Bar-Or, O. Longitudinal Changes in Peak Aerobic and Anaerobic Mechanical Power of Circumpubertal Boys. Pediatr. Exerc. Sci. 1993, 5, 318–331. [Google Scholar] [CrossRef]
- Fellmann, N.; Beaune, B.; Coudert, J. Blood Lactate after Maximal and Supramaximal Exercise in 10- to 12-Year-Old Bolivian Boys Effects of Altitude and Socioeconomic Status. Int. J. Sports Med. 1994, 15, S90–S95. [Google Scholar] [CrossRef]
- Foraita, R.; Brandes, M.; Günther, F.; Bammann, K.; Pigeot, I.; Ahrens, W. The Influence of Aerobic Fitness on Obesity and Its Parent-Offspring Correlations in a Cross-Sectional Study among German Families. BMC Public Health 2015, 15, 638. [Google Scholar] [CrossRef]
- García-Prieto, J.C.; Martinez-Vizcaino, V.; García-Hermoso, A.; Sánchez-López, M.; Arias-Palencia, N.; Fonseca, J.F.O.; Mora-Rodriguez, R. Energy Expenditure in Playground Games in Primary School Children Measured by Accelerometer and Heart Rate Monitors. Int. J. Sport Nutr. Exerc. Metab. 2017, 27, 467–474. [Google Scholar] [CrossRef]
- Guerrero, L.; Naranjo, J.; Carranza, M.D. Influence of Gender on Ventilatory Efficiency during Exercise in Young Children. J. Sports Sci. 2008, 26, 1455–1457. [Google Scholar] [CrossRef] [PubMed]
- Haapala, E.A.; Gao, Y.; Hartikainen, J.; Rantalainen, T.; Finni, T. Associations of Fitness, Motor Competence, and Adiposity with the Indicators of Physical Activity Intensity during Different Physical Activities in Children. Sci. Rep. 2021, 11, 12521. [Google Scholar] [CrossRef]
- Herman, K.M.; Chaput, J.P.; Sabiston, C.M.; Mathieu, M.E.; Tremblay, A.; Paradis, G. Combined Physical Activity/Sedentary Behavior Associations with Indices of Adiposity in 8- to 10-Year-Old Children. J. Phys. Act. Health 2015, 12, 20–29. [Google Scholar] [CrossRef]
- Inbar, O.; Bar-Or, O.; Dotan, R.; Gutin, B. Conditioning versus Exercise in Heat as Methods for Acclimatizing 8- to 10-Yr-Old Boys to Dry Heat. J. Appl. Physiol. Respir. Environ. Exerc. Physiol. 1981, 50, 406–411. [Google Scholar] [CrossRef]
- Petzl, D.H.; Haber, P.; Schuster, E.; Popow, C.; Haschke, F. Reliability of Estimation of Maximum Performance Capacity on the Basis of Submaximum Ergometric Stress Tests in Children 10-14 Years Old. Eur. J. Pediatr. 1988, 147, 174–178. [Google Scholar] [CrossRef]
- Rivas, E.; Huynh, H.; Galassetti, P.R. Obesity Affects Submaximal Oxygen Uptake-Heart Rate Relationship and Exercise Economy Differently in Pre- and Post-Pubescent Boys and Girls. Int. J. Exerc. Sci. 2019, 12, 748–763. [Google Scholar]
- Rutenfranz, J.; Máček, M.; Lange Andersen, K.; Bell, R.D.; Vávra, J.; Radvanský, J.; Klimmer, F.; Kylian, H. The Relationship between Changing Body Height and Growth Related Changes in Maximal Aerobic Power. Eur. J. Appl. Physiol. Occup. Physiol. 1990, 60, 282–287. [Google Scholar] [CrossRef] [PubMed]
- Schöffl, I.; Ehrlich, B.; Stanger, S.; Rottermann, K.; Dittrich, S.; Schöffl, V. Exercise Field Testing in Children: A New Approach for Age-Appropriate Evaluation of Cardiopulmonary Function. Pediatr. Cardiol. 2020, 41, 1099–1106. [Google Scholar] [CrossRef] [PubMed]
- Springer, C.; Barstow, T.J.; Wasserman, K.; Cooper, D.M. Oxygen Uptake and Heart Rate Responses during Hypoxic Exercise in Children and Adults. Med. Sci. Sports Exerc. 1991, 23, 71–79. [Google Scholar] [CrossRef] [PubMed]
- Steene-Johannessen, J.; Anderssen, S.A.; Kolle, E.; Andersen, L.B. Low Muscle Fitness Is Associated with Metabolic Risk in Youth. Med. Sci. Sports Exerc. 2009, 41, 1361–1367. [Google Scholar] [CrossRef]
- van der Steeg, G.E.; Takken, T. Reference Values for Maximum Oxygen Uptake Relative to Body Mass in Dutch/Flemish Subjects Aged 6–65 Years: The LowLands Fitness Registry. Eur. J. Appl. Physiol. 2021, 121, 1189–1196. [Google Scholar] [CrossRef] [PubMed]
- Wedderkopp, N.; Froberg, K.; Hansen, H.S.; Riddoch, C.; Andersen, L.B. Cardiovascular Risk Factors Cluster in Children and Adolescents with Low Physical Fitness: The European Youth Heart Study (EYHS). Pediatr. Exerc. Sci. 2003, 15, 419–427. [Google Scholar] [CrossRef]
- Yoshizawa, S. A Comparative Study of Aerobic Work Capacity in Urban and Rural Adolescents. J. Hum. Ergol. 1972, 1, 45–65. [Google Scholar]
- Zunquin, G.; Theunynck, D.; Sesboüé, B.; Arhan, P.; Bouglé, D. Evolution of Fat Oxidation during Exercise in Obese Pubertal Boys: Clinical Implications. J. Sports Sci. 2009, 27, 315–318. [Google Scholar] [CrossRef]
- Langer, R.D.; da Costa, K.G.; Bortolotti, H.; Fernandes, G.A.; de Jesus, R.S.; Gonçalves, E.M. Phase Angle Is Associated with Cardiorespiratory Fitness and Body Composition in Children Aged between 9 and 11 Years. Physiol. Behav. 2020, 215. [Google Scholar] [CrossRef]
- Leclair, E.; Berthoin, S.; Borel, B.; Thevenet, D.; Carter, H.; Baquet, G.; Mucci, P. Faster Pulmonary Oxygen Uptake Kinetics in Children vs Adults Due to Enhancements in Oxygen Delivery and Extraction. Scand. J. Med. Sci. Sports 2013, 23, 705–712. [Google Scholar] [CrossRef]
- Leclair, E.; Mucci, P.; Borel, B.; Baquet, G.; Carter, H.; Berthoin, S. Time to Exhaustion and Time Spent at a High Percentage of Vo2max in Severe Intensity Domain in Children and Adults. J. Strength Cond. Res. 2011, 25, 1151–1158. [Google Scholar] [CrossRef]
- Mahon, A.D.; Anderson, C.S.; Hipp, M.J.; Hunt, K.A. Heart Rate Recovery from Submaximal Exercise in Boys and Girls. Med. Sci. Sports Exerc. 2003, 35, 2093–2097. [Google Scholar] [CrossRef]
- Martin, R.; Hautier, C.; Bedu, M. Effect of Age and Pedalling Rate on Cycling Efficiency and Internal Power in Humans. Eur. J. Appl. Physiol. 2002, 86, 245–250. [Google Scholar] [CrossRef]
- Obert, P.; Mandigouts, S.; Nottin, S.; Vinet, A.; N’Guyen, L.D.; Lecoq, A.M. Cardiovascular Responses to Endurance Training in Children: Effect of Gender. Eur. J. Clin. Invest. 2003, 33, 199–208. [Google Scholar] [CrossRef]
- Bongers, B.C.; Hulzebos, E.H.J.; van Brussel, M.; Takken, T. Pediatric Norms for Cardiopulmonary Exercise Testing: In Relation to Gender and Age; Uitgeverij BOXPRESS: ’s-Hertogenbosch, The Netherlands, 2012; p. 129. [Google Scholar]
- Ng, M.; Fleming, T.; Robinson, M.; Thomson, B.; Graetz, N.; Margono, C.; Mullany, E.C.; Biryukov, S.; Abbafati, C.; Abera, S.F.; et al. Global, Regional, and National Prevalence of Overweight and Obesity in Children and Adults during 1980–2013: A Systematic Analysis for the Global Burden of Disease Study 2013. Lancet 2014, 384, 766–781. [Google Scholar] [CrossRef]
- Johansson, L.; Brissman, M.; Morinder, G.; Westerståhl, M.; Marcus, C. Reference Values and Secular Trends for Cardiorespiratory Fitness in Children and Adolescents with Obesity. Acta Paediatr. Int. J. Paediatr. 2020, 109, 1665–1671. [Google Scholar] [CrossRef] [PubMed]
- Ortega, F.B.; Ruiz, J.R.; Castillo, M.J.; Sjöström, M. Physical Fitness in Childhood and Adolescence: A Powerful Marker of Health. Int. J. Obes. 2008, 32, 1–11. [Google Scholar] [CrossRef] [PubMed]
- Raghuveer, G.; Hartz, J.; Lubans, D.R.; Takken, T.; Wiltz, J.L.; Mietus-Snyder, M.; Perak, A.M.; Baker-Smith, C.; Pietris, N.; Edwards, N.M. Cardiorespiratory Fitness in Youth: An Important Marker of Health: A Scientific Statement From the American Heart Association. Circulation 2020, 142, E101–E118. [Google Scholar] [CrossRef]
- Aadland, E.; Kvalheim, O.M.; Rajalahti, T.; Skrede, T.; Resaland, G.K. Aerobic Fitness and Metabolic Health in Children: A Clinical Validation of Directly Measured Maximal Oxygen Consumption versus Performance Measures as Markers of Health. Prev. Med. Rep. 2017, 7, 74–76. [Google Scholar] [CrossRef]
- Högström, G.; Nordström, A.; Nordström, P. High Aerobic Fitness in Late Adolescence Is Associated with a Reduced Risk of Myocardial Infarction Later in Life: A Nationwide Cohort Study in Men. Eur. Heart J. 2014, 35, 3133–3140. [Google Scholar] [CrossRef] [PubMed]
- Martin-Rincon, M.; Calbet, J.A.L. Progress Update and Challenges on VO2max Testing and Interpretation. Front. Physiol. 2020, 11, 1070. [Google Scholar] [CrossRef]
- Howley, E.T.; Bassett, D.R.; Welch, H.G. Criteria for Maximal Oxygen Uptake: Review and Commentary. Med. Sci. Sports Exerc. 1995, 27, 1292–1301. [Google Scholar] [CrossRef]
Disclaimer/Publisher’s Note: The statements, opinions and data contained in all publications are solely those of the individual author(s) and contributor(s) and not of MDPI and/or the editor(s). MDPI and/or the editor(s) disclaim responsibility for any injury to people or property resulting from any ideas, methods, instructions or products referred to in the content. |
© 2023 by the authors. Licensee MDPI, Basel, Switzerland. This article is an open access article distributed under the terms and conditions of the Creative Commons Attribution (CC BY) license (https://creativecommons.org/licenses/by/4.0/).








