Lipidomic Characterization and Antioxidant Activity of Macro- and Microalgae Blend
Abstract
1. Introduction
2. Materials and Methods
2.1. Algae Material
2.2. Lipid Extraction
2.3. Fatty Acids Analysis by Gas Chromatography–Mass Spectrometry (GC–MS)
2.4. Polar Lipidome Analysis by Hydrophilic Interaction Liquid Chromatography-High-Resolution Tandem Mass Spectrometry (HILIC-HR-MS/MS)
2.5. ABTS+• Scavenging Assay
2.6. DPPH• Scavenging Assay
3. Results and Discussion
3.1. Total Lipid Content, Fatty Acid Profile, and Lipid Quality Indicators of the Algae Blend
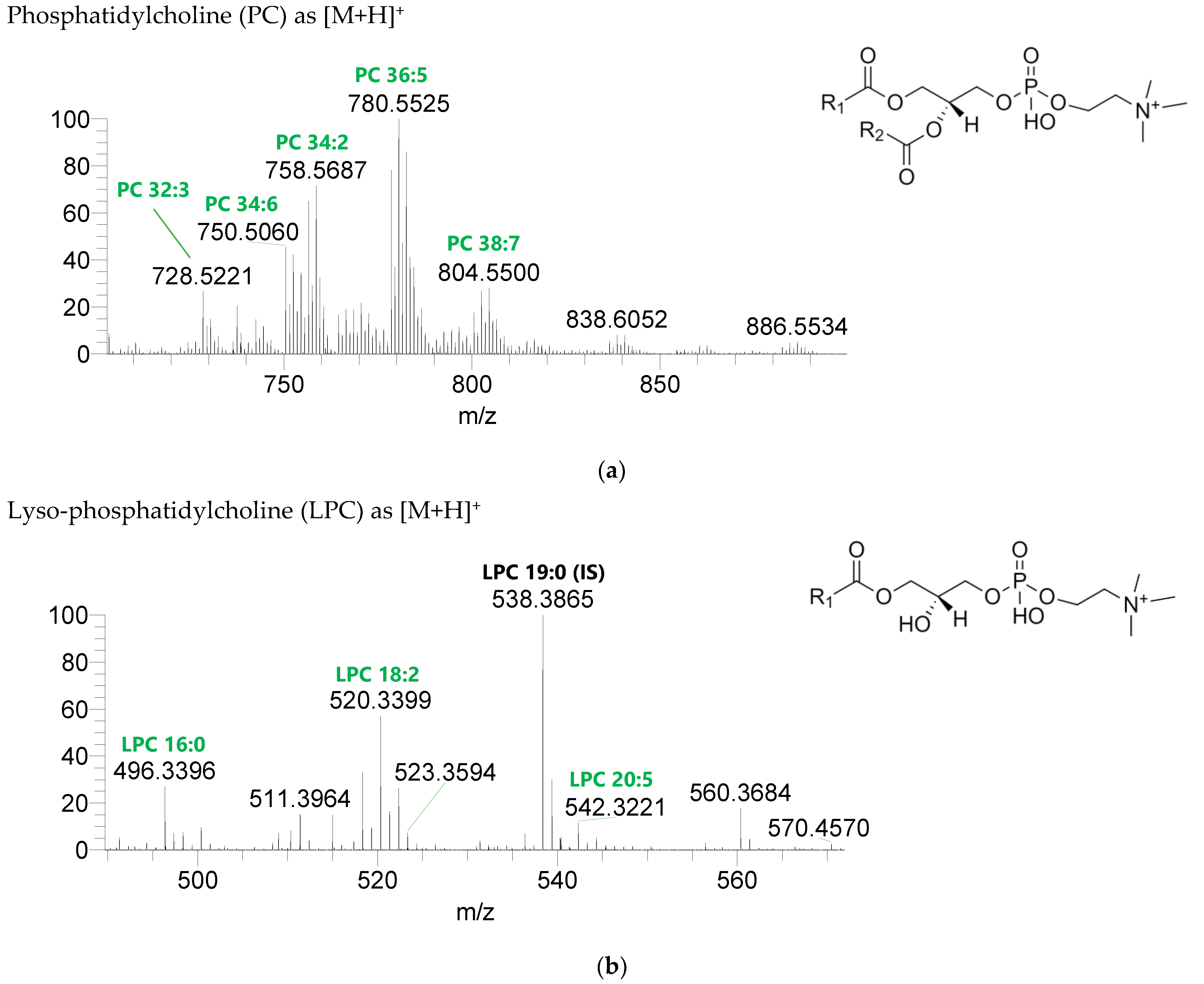
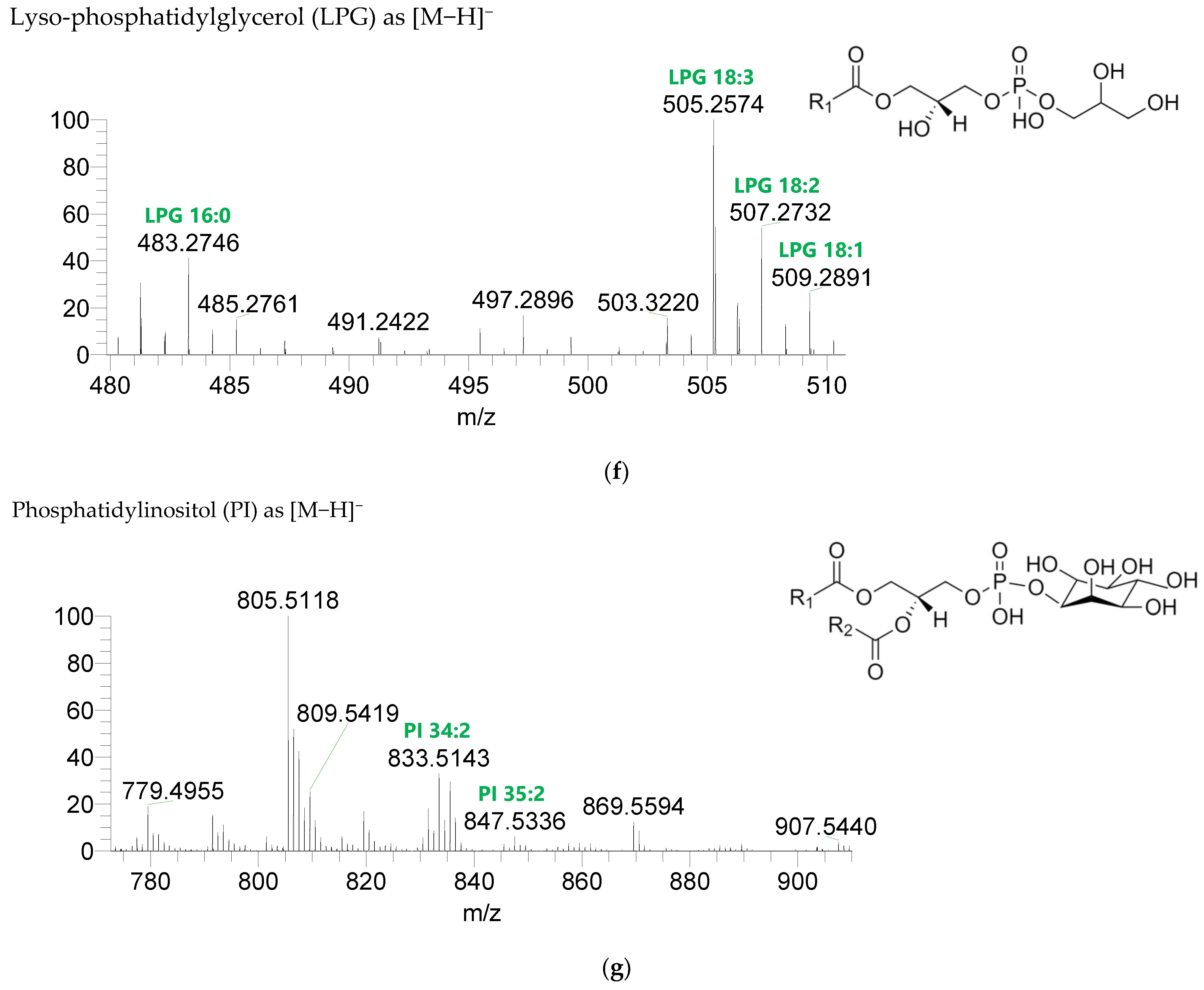
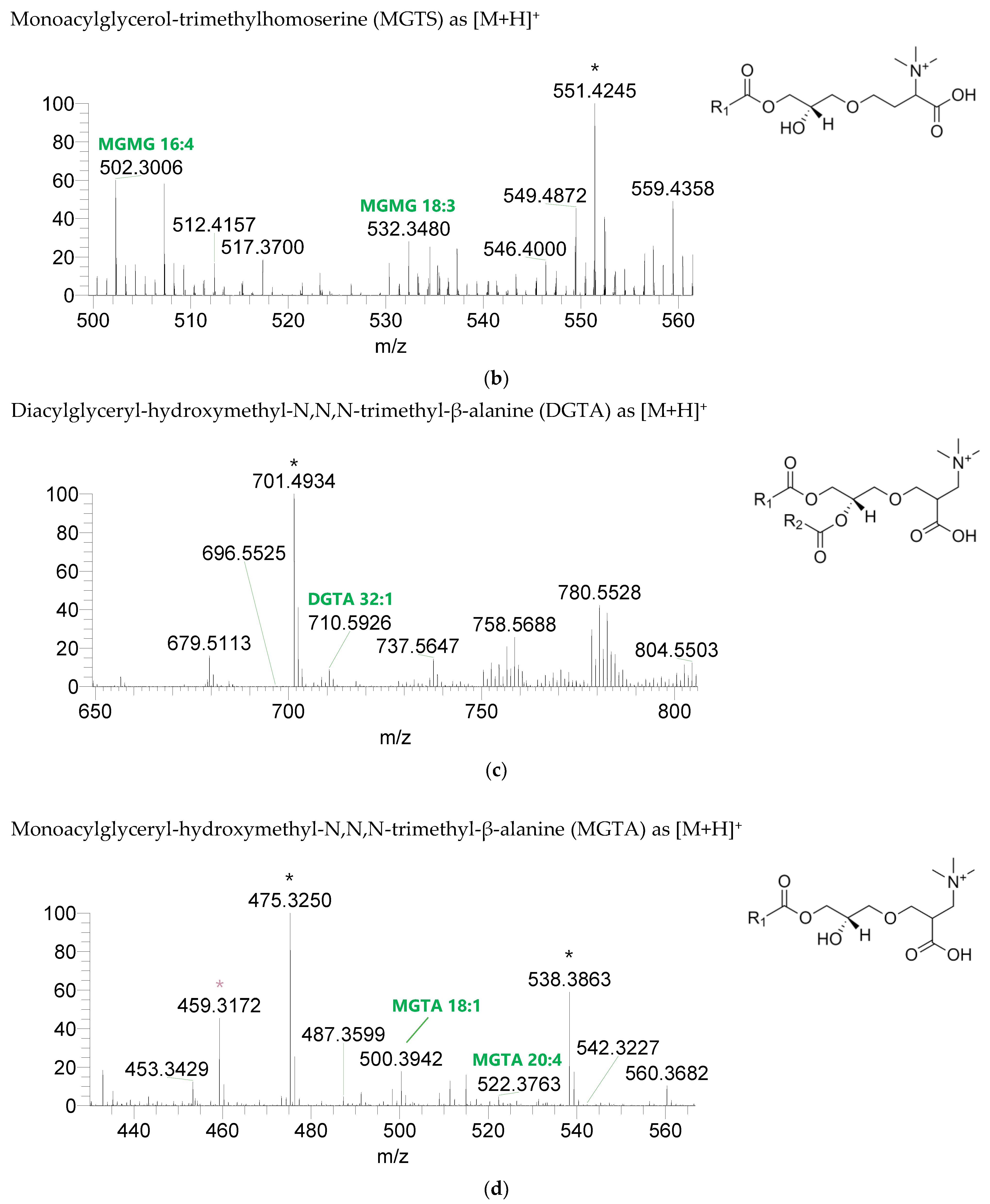
3.2. Polar Lipidome of the Algae Blend
3.3. Antioxidant Activity of the Algae Blend Total Lipid Extract
4. Conclusions
Supplementary Materials
Author Contributions
Funding
Institutional Review Board Statement
Informed Consent Statement
Data Availability Statement
Acknowledgments
Conflicts of Interest
References
- Araújo, R.; Vázquez Calderón, F.; Sánchez López, J.; Azevedo, I.C.; Bruhn, A.; Fluch, S.; Garcia Tasende, M.; Ghaderiardakani, F.; Ilmjärv, T.; Laurans, M.; et al. Current Status of the Algae Production Industry in Europe: An Emerging Sector of the Blue Bioeconomy. Front. Mar. Sci. 2021, 7, 1–24. [Google Scholar] [CrossRef]
- Ullmann, J.; Grimm, D. Algae and Their Potential for a Future Bioeconomy, Landless Food Production, and the Socio-Economic Impact of an Algae Industry. Org. Agric. 2021, 11, 261–267. [Google Scholar] [CrossRef]
- Slegers, P.M.; Helmes, R.J.K.; Draisma, M.; Broekema, R.; Vlottes, M.; van den Burg, S.W.K. Environmental Impact and Nutritional Value of Food Products Using the Seaweed Saccharina latissima. J. Clean. Prod. 2021, 319, 1–11. [Google Scholar] [CrossRef]
- European Commission Directorate General for Maritime Affairs and Fisheries; Addamo, A.M.; Calvo Santos, A.; Guillén, J.; Neehus, S.; Peralta Baptista, A.; Quatrini, S.; Telsnig, T.; Petrucco, G. The EU Blue Economy Report 2022; Publications Office of the European Union, 2022. [Google Scholar]
- Torres, M.D.; Flórez-Fernández, N.; Domínguez, H. Integral Utilization of Red Seaweed for Bioactive Production. Mar. Drugs 2019, 17, 314. [Google Scholar] [CrossRef] [PubMed]
- Lopes, D.; Rey, F.; Leal, M.C.; Lillebø, A.I.; Calado, R.; Domingues, M.R. Bioactivities of Lipid Extracts and Complex Lipids from Seaweeds: Current Knowledge and Future Prospects. Mar. Drugs 2021, 19, 686. [Google Scholar] [CrossRef]
- Conde, T.A.; Neves, B.F.; Couto, D.; Melo, T.; Neves, B.; Costa, M.; Silva, J.; Domingues, P.; Domingues, M.R. Microalgae as Sustainable Bio-Factories of Healthy Lipids: Evaluating Fatty Acid Content and Antioxidant Activity. Mar. Drugs 2021, 19, 357. [Google Scholar] [CrossRef]
- Rey, F.; Cartaxana, P.; Melo, T.; Calado, R.; Pereira, R.; Abreu, H.; Domingues, P.; Cruz, S.; Domingues, M.R. Domesticated Populations of Codium tomentosum Display Lipid Extracts with Lower Seasonal Shifts than Conspecifics from the Wild—Relevance for Biotechnological Applications of This Green Seaweed. Mar. Drugs 2020, 18, 188. [Google Scholar] [CrossRef]
- Moreira, A.S.P.; da Costa, E.; Melo, T.; Lopes, D.; Pais, A.; Santos, S.; Pitarma, B.; Mendes, M.; Abreu, M.H.; Collén, P.N.; et al. Polar Lipids of Commercial Ulva spp. of Different Origins: Profiling and Relevance for Seaweed Valorization. Foods 2021, 10, 914. [Google Scholar] [CrossRef]
- Susanto, E.; Fahmi, A.S.; Hosokawa, M.; Miyashita, K. Variation in Lipid Components from 15 Species of Tropical and Temperate Seaweeds. Mar. Drugs 2019, 17, 630. [Google Scholar] [CrossRef]
- Nascimento, I.A.; Marques, S.S.I.; Cabanelas, I.T.D.; Pereira, S.A.; Druzian, J.I.; de Souza, C.O.; Vich, D.V.; de Carvalho, G.C.; Nascimento, M.A. Screening Microalgae Strains for Biodiesel Production: Lipid Productivity and Estimation of Fuel Quality Based on Fatty Acids Profiles as Selective Criteria. BioEnergy Res. 2013, 6, 1–13. [Google Scholar] [CrossRef]
- da Costa, E.; Ricardo, F.; Melo, T.; Mamede, R.; Abreu, M.H.; Domingues, P.; Domingues, M.R.; Calado, R. Site-Specific Lipidomic Signatures of Sea Lettuce (Ulva spp., Chlorophyta) Hold the Potential to Trace Their Geographic Origin. Biomolecules 2020, 10, 489. [Google Scholar] [CrossRef]
- da Costa, E.; Domingues, P.; Melo, T.; Coelho, E.; Pereira, R.; Calado, R.; Abreu, M.H.; Domingues, M.R. Lipidomic Signatures Reveal Seasonal Shifts on the Relative Abundance of High-Valued Lipids from the Brown Algae Fucus vesiculosus. Mar. Drugs 2019, 17, 335. [Google Scholar] [CrossRef]
- White, D.; Rooks, P.; Kimmance, S.; Tait, K.; Jones, M.; Tarran, G.; Cook, C.; Llewellyn, C. Modulation of Polar Lipid Profiles in Chlorella sp. in Response to Nutrient Limitation. Metabolites 2019, 9, 39. [Google Scholar] [CrossRef]
- Couto, D.; Melo, T.; Conde, T.A.; Moreira, A.S.P.; Ferreira, P.; Costa, M.; Silva, J.; Domingues, R.; Domingues, P. Food Grade Extraction of Chlorella vulgaris Polar Lipids: A Comparative Lipidomic Study. Food Chem. 2022, 375, 1–10. [Google Scholar] [CrossRef]
- Lopes, D.; Melo, T.; Rey, F.; Costa, E.; Moreira, A.S.P.; Abreu, M.H.; Domingues, P.; Lillebø, A.I.; Calado, R.; Domingues, M.R. Insights of Species-Specific Polar Lipidome Signatures of Seaweeds Fostering Their Valorization in the Blue Bioeconomy. Algal Res. 2021, 55, 1–16. [Google Scholar] [CrossRef]
- Lopes, D.; Melo, T.; Rey, F.; Meneses, J.; Monteiro, F.L.; Helguero, L.A.; Abreu, M.H.; Lillebø, A.I.; Calado, R.; Domingues, M.R. Valuing Bioactive Lipids from Green, Red and Brown Macroalgae from Aquaculture, to Foster Functionality and Biotechnological Applications. Molecules 2020, 25, 3883. [Google Scholar] [CrossRef]
- Ghosh, S.; Sarkar, T.; Pati, S.; Kari, Z.A.; Edinur, H.A.; Chakraborty, R. Novel Bioactive Compounds From Marine Sources as a Tool for Functional Food Development. Front. Mar. Sci. 2022, 9, 1–28. [Google Scholar] [CrossRef]
- Kagan, M.L.; Levy, A.; Leikin-Frenkel, A. Comparative Study of Tissue Deposition of Omega-3 Fatty Acids from Polar-Lipid Rich Oil of the Microalgae Nannochloropsis oculata with Krill Oil in Rats. Food Funct. 2015, 6, 185–191. [Google Scholar] [CrossRef]
- Shiels, K.; Tsoupras, A.; Lordan, R.; Nasopoulou, C.; Zabetakis, I.; Murray, P.; Saha, S.K. Bioactive Lipids of Marine Microalga Chlorococcum sp. SABC 012504 with Anti-Inflammatory and Anti-Thrombotic Activities. Mar. Drugs 2021, 19, 28. [Google Scholar] [CrossRef]
- Banskota, A.H.; Stefanova, R.; Sperker, S.; Lall, S.P.; Craigie, J.S.; Hafting, J.T.; Critchley, A.T. Polar Lipids from the Marine Macroalga Palmaria palmata Inhibit Lipopolysaccharide-Induced Nitric Oxide Production in RAW264.7 Macrophage Cells. Phytochemistry 2014, 101, 101–108. [Google Scholar] [CrossRef]
- Mendonça, J.d.S.; Guimarães, R.d.C.A.; Zorgetto-Pinheiro, V.A.; Fernandes, C.D.P.; Marcelino, G.; Bogo, D.; Freitas, K.d.C.; Hiane, P.A.; de Pádua Melo, E.S.; Vilela, M.L.B.; et al. Natural Antioxidant Evaluation: A Review of Detection Methods. Molecules 2022, 27, 3563. [Google Scholar] [CrossRef] [PubMed]
- Abd El Baky, H.; El-Baroty, G.S.A.; Ibrahim, E.A.; El-Baz, F.K. Cytotoxicity, Antioxidants and Antimicrobial Activities of Lipids Extracted from Some Marine Algae. J. Aquac. Res. Dev. 2014, 5, 7. [Google Scholar] [CrossRef]
- Losada-Lopez, C.; Dopico, D.C.; Faína-Medín, J.A. Neophobia and Seaweed Consumption: Effects on Consumer Attitude and Willingness to Consume Seaweed. Int. J. Gastron. Food Sci. 2021, 24, 1–9. [Google Scholar] [CrossRef]
- Marques, F.; Lopes, D.; da Costa, E.; Conde, T.; Rego, A.; Ribeiro, A.I.; Abreu, M.H.; Domingues, M.R. Seaweed Blends as a Valuable Source of Polyunsaturated and Healthy Fats for Nutritional and Food Applications. Mar. Drugs 2021, 19, 684. [Google Scholar] [CrossRef] [PubMed]
- Haq, M.; Suraiya, S.; Ahmed, S.; Chun, B.-S. Phospholipids from Marine Source: Extractions and Forthcoming Industrial Applications. J. Funct. Foods 2021, 80, 1–13. [Google Scholar] [CrossRef]
- Rey, F.; Melo, T.; Lopes, D.; Couto, D.; Marques, F.; Rosário, M. Applications of Lipidomics in Marine Organisms: Progresses, Challenges and Future Perspectives. Mol. Omics 2022, 18, 357–386. [Google Scholar] [CrossRef]
- Neto, R.; Marçal, C.; Queirós, A.; Abreu, H.; Silva, A.; Cardoso, S. Screening of Ulva rigida, Gracilaria sp., Fucus vesiculosus and Saccharina latissima as Functional Ingredients. Int. J. Mol. Sci. 2018, 19, 2987. [Google Scholar] [CrossRef]
- Lopes, D.; Moreira, A.S.P.; Rey, F.; da Costa, E.; Melo, T.; Maciel, E.; Rego, A.; Abreu, M.H.; Domingues, P.; Calado, R.; et al. Lipidomic Signature of the Green Macroalgae Ulva rigida Farmed in a Sustainable Integrated Multi-Trophic Aquaculture. J. Appl. Phycol. 2019, 31, 1369–1381. [Google Scholar] [CrossRef]
- Couto, D.; Melo, T.; Conde, T.A.; Costa, M.; Silva, J.; Domingues, M.R.M.; Domingues, P. Chemoplasticity of the Polar Lipid Profile of the Microalgae Chlorella vulgaris Grown under Heterotrophic and Autotrophic Conditions. Algal Res. 2021, 53, 1–15. [Google Scholar] [CrossRef]
- Echave, J.; Lourenço-Lopes, C.; Carreira-Casais, A.; Chamorro, F.; Fraga-Corral, M.; Otero, P.; Garcia-Perez, P.; Baamonde, S.; Fernández-Saa, F.; Cao, H.; et al. Nutritional Composition of the Atlantic Seaweeds Ulva rigida, Codium tomentosum, Palmaria palmata and Porphyra purpurea. Chem. Proc. 2021, 5, 67. [Google Scholar] [CrossRef]
- Farag, M.A.; Gad, M.Z. Omega-9 Fatty Acids: Potential Roles in Inflammation and Cancer Management. J. Genet. Eng. Biotechnol. 2022, 20, 1–11. [Google Scholar] [CrossRef]
- Monnard, C.R.; Dulloo, A.G. Polyunsaturated Fatty Acids as Modulators of Fat Mass and Lean Mass in Human Body Composition Regulation and Cardiometabolic Health. Obes. Rev. 2021, 22, 1–18. [Google Scholar] [CrossRef]
- Hiki, M.; Miyazaki, T.; Shimada, K.; Sugita, Y.; Shimizu, M.; Aikawa, T.; Ouchi, S.; Shiozawa, T.; Takasu, K.; Takahashi, S.; et al. Significance of Serum Polyunsaturated Fatty Acid Level Imbalance in Patients with Acute Venous Thromboembolism. J. Atheroscler. Thromb. 2017, 24, 1016–1022. [Google Scholar] [CrossRef]
- Chen, J.; Liu, H. Nutritional Indices for Assessing Fatty Acids: A Mini-Review. Int. J. Mol. Sci. 2020, 21, 5695. [Google Scholar] [CrossRef]
- Couto, D.; Conde, T.A.; Melo, T.; Neves, B.; Costa, M.; Silva, J.; Domingues, M.R.; Domingues, P. The Chemodiversity of Polar Lipidomes of Different Taxa of Commercial Microalgae. Algal Res. 2023; under review. [Google Scholar]
- Kato, M.; Sakai, M.; Adachi, K.; Ikemoto, H.; Sano, H. Distribution of Betaine Lipids in Marine Algae. Phytochemistry 1996, 42, 1341–1345. [Google Scholar] [CrossRef]
- Riekhof, W.R.; Andre, C.; Benning, C. Two Enzymes, BtaA and BtaB, Are Sufficient for Betaine Lipid Biosynthesis in Bacteria. Arch. Biochem. Biophys. 2005, 441, 96–105. [Google Scholar] [CrossRef]
- Lopes, D.; Melo, T.; Meneses, J.; Abreu, M.H.; Pereira, R.; Domingues, P.; Lillebø, A.I.; Calado, R.; Domingues, M.R. A New Look for the Red Macroalga Palmaria palmata: A Seafood with Polar Lipids Rich in EPA and with Antioxidant Properties. Mar. Drugs 2019, 17, 533. [Google Scholar] [CrossRef]
- Banskota, A.H.; Stefanova, R.; Sperker, S.; Lall, S.; Craigie, J.S.; Hafting, J.T. Lipids Isolated from the Cultivated Red Alga Chondrus crispus Inhibit Nitric Oxide Production. J. Appl. Phycol. 2014, 26, 1565–1571. [Google Scholar] [CrossRef]
- Banskota, A.H.; Gallant, P.; Stefanova, R.; Melanson, R.; O’Leary, S.J.B. Monogalactosyldiacylglycerols, Potent Nitric Oxide Inhibitors from the Marine Microalga Tetraselmis chui. Nat. Prod. Res. 2013, 27, 1084–1090. [Google Scholar] [CrossRef]
- Banskota, A.H.; Stefanova, R.; Gallant, P.; Osborne, J.A.; Melanson, R.; O’Leary, S.J.B. Nitric Oxide Inhibitory Activity of Monogalactosylmonoacylglycerols from a Freshwater Microalgae Chlorella sorokiniana. Nat. Prod. Res. 2013, 27, 1028–1031. [Google Scholar] [CrossRef] [PubMed]
- Bruno, A.; Rossi, C.; Marcolongo, G.; Di Lena, A.; Venzo, A.; Berrie, C.P.; Corda, D. Selective In Vivo Anti-Inflammatory Action of the Galactolipid Monogalactosyldiacylglycerol. Eur. J. Pharmacol. 2005, 524, 159–168. [Google Scholar] [CrossRef] [PubMed]
- Morimoto, T.; Nagatsu, A.; Murakami, N.; Sakakibara, J.; Tokuda, H.; Nishino, H.; Iwashima, A. Anti-Tumour-Promoting Glyceroglycolipids from the Green Alga, Chlorella vulgaris. Phytochemistry 1995, 40, 1433–1437. [Google Scholar] [CrossRef] [PubMed]
- Imbs, T.I.; Ermakova, S.P.; Fedoreyev, S.A.; Anastyuk, S.D.; Zvyagintseva, T.N. Isolation of Fucoxanthin and Highly Unsaturated Monogalactosyldiacylglycerol from Brown Alga Fucus evanescens C Agardh and In Vitro Investigation of Their Antitumor Activity. Mar. Biotechnol. 2013, 15, 606–612. [Google Scholar] [CrossRef] [PubMed]
- Jiang, R.-W.; Hay, M.E.; Fairchild, C.R.; Prudhomme, J.; Roch, K.L.; Aalbersberg, W.; Kubanek, J. Antineoplastic Unsaturated Fatty Acids from Fijian Macroalgae. Phytochemistry 2008, 69, 2495–2500. [Google Scholar] [CrossRef]
- Ma, A.-C.; Chen, Z.; Wang, T.; Song, N.; Yan, Q.; Fang, Y.-C.; Guan, H.-S.; Liu, H.-B. Isolation of the Molecular Species of Monogalactosyldiacylglycerols from Brown Edible Seaweed Sargassum horneri and Their Inhibitory Effects on Triglyceride Accumulation in 3T3-L1 Adipocytes. J. Agric. Food Chem. 2014, 62, 11157–11162. [Google Scholar] [CrossRef]
- Baz, F.K.E.; Baroty, G.S.E.; Baky, H.H.A.E.; El-Salam, O.I.A.; Ibrahim, E.A. Structural Characterization and Biological Activity of Sulfolipids from Selected Marine Algae. Grasas Aceites 2013, 64, 561–571. [Google Scholar] [CrossRef]
- Plouguerné, E.; De Souza, L.M.; Sassaki, G.L.; Cavalcanti, J.F.; Villela Romanos, M.T.; Da Gama, B.A.P.; Pereira, R.C.; Barreto-Bergter, E. Antiviral Sulfoquinovosyldiacylglycerols (SQDGs) from the Brazilian Brown Seaweed Sargassum vulgare. Mar. Drugs 2013, 11, 4628–4640. [Google Scholar] [CrossRef]
- Azevedo, M.A.; Cerqueira, M.A.; Fuciños, P.; Silva, B.F.B.; Teixeira, J.A.; Pastrana, L. Rhamnolipids-Based Nanostructured Lipid Carriers: Effect of Lipid Phase on Physicochemical Properties and Stability. Food Chem. 2021, 344, 1–9. [Google Scholar] [CrossRef]
- Lauritano, C.; Helland, K.; Riccio, G.; Andersen, J.H.; Ianora, A.; Hansen, E.H. Lysophosphatidylcholines and Chlorophyll-Derived Molecules from the Diatom Cylindrotheca closterium with Anti-Inflammatory Activity. Mar. Drugs 2020, 18, 166. [Google Scholar] [CrossRef]
- Tang, X.; Li, Z.-J.; Xu, J.; Xue, Y.; Li, J.-Z.; Wang, J.-F.; Yanagita, T.; Xue, C.-H.; Wang, Y.-M. Short Term Effects of Different Omega-3 Fatty Acid Formulation on Lipid Metabolism in Mice Fed High or Low Fat Diet. Lipids Health Dis. 2012, 11, 1–8. [Google Scholar] [CrossRef]
- Lu, F.S.H.; Nielsen, N.S.; Baron, C.P.; Jacobsen, C. Marine Phospholipids: The Current Understanding of Their Oxidation Mechanisms and Potential Uses for Food Fortification. Crit. Rev. Food Sci. Nutr. 2017, 57, 2057–2070. [Google Scholar] [CrossRef]
- Holderer, O.; Koutsioubas, A.; Garvey, C.J.; Nylander, T. Editorial: Membrane Structure and Dynamics Studied With Neutron Scattering. Front. Chem. 2021, 9, 1–2. [Google Scholar] [CrossRef]
- Banskota, A.H.; Stefanova, R.; Sperker, S.; McGinn, P.J. New Diacylglyceryltrimethylhomoserines from the Marine Microalga Nannochloropsis granulata and Their Nitric Oxide Inhibitory Activity. J. Appl. Phycol. 2013, 25, 1513–1521. [Google Scholar] [CrossRef]
- Khatib, S.; Artoul, F.; Paluy, I.; Boluchevsky, L.; Kvitnitsky, E.; Vaya, J. Nannochloropsis Sp. Ethanol Extract Prevents Macrophage and LDL Oxidation and Enhances PON1 Activity through the Principal Active Compound Lyso-Diacylglyceryltrimethylhomoserine (Lyso-DGTS). J. Appl. Phycol. 2018, 30, 1679–1689. [Google Scholar] [CrossRef]
- Terme, N.; Boulho, R.; Kucma, J.-P.; Bourgougnon, N.; Bedoux, G. Radical Scavenging Activity of Lipids from Seaweeds Isolated by Solid-Liquid Extraction and Supercritical Fluids. OCL 2018, 25, 1–6. [Google Scholar] [CrossRef]
- Richard, D.; Kefi, K.; Barbe, U.; Bausero, P.; Visioli, F. Polyunsaturated Fatty Acids as Antioxidants. Pharmacol. Res. 2008, 57, 451–455. [Google Scholar] [CrossRef]
- da Costa, E.; Melo, T.; Reis, M.; Domingues, P.; Calado, R.; Abreu, M.H.; Domingues, M.R. Polar Lipids Composition, Antioxidant and Anti-Inflammatory Activities of the Atlantic Red Seaweed Grateloupia turuturu. Mar. Drugs 2021, 19, 414. [Google Scholar] [CrossRef]
- Santos, F.; Monteiro, J.P.; Duarte, D.; Melo, T.; Lopes, D.; da Costa, E.; Domingues, M.R. Unraveling the Lipidome and Antioxidant Activity of Native Bifurcaria bifurcata and Invasive Sargassum muticum Seaweeds: A Lipid Perspective on How Systemic Intrusion May Present an Opportunity. Antioxidants 2020, 9, 642. [Google Scholar] [CrossRef]
- Floegel, A. Comparison of ABTS/DPPH Assays to Measure Antioxidant Capacity in Popular Antioxidant-Rich US Foods. J. Food Compos. Anal. 2011, 24, 1043–1048. [Google Scholar] [CrossRef]
- Monteiro, M.; Santos, R.A.; Iglesias, P.; Couto, A.; Serra, C.R.; Gouvinhas, I.; Barros, A.; Oliva-Teles, A.; Enes, P.; Díaz-Rosales, P. Effect of Extraction Method and Solvent System on the Phenolic Content and Antioxidant Activity of Selected Macro- and Microalgae Extracts. J. Appl. Phycol. 2020, 32, 349–362. [Google Scholar] [CrossRef]
) and reported in the literature for Chlorella vulgaris (
), Fucus vesiculosus (
), and Ulva rigida (
).
) and reported in the literature for Chlorella vulgaris (
), Fucus vesiculosus (
), and Ulva rigida (
).








| Fatty Acids | Relative Abundance (%) |
|---|---|
| 14:0 | 04.22 ± 0.32 |
| 16:0 | 14.74 ± 0.31 |
| 16:1 n-9 | 01.08 ± 0.06 |
| 16:1 n-7 | 01.76 ± 0.10 |
| 16:2 n-6 | 01.94 ± 0.03 |
| 16:3 n-3 | 04.06 ± 0.10 |
| 18:0 | 04.28 ± 0.79 |
| 18:1 n-9 (oleic acid, OA) | 30.10 ± 0.51 |
| 18:1 n-7 | 02.29 ± 0.06 |
| 18:2 n-6 (linoleic acid, LA) | 11.58 ± 0.13 |
| 18:3 n-4 | 01.15 ± 0.12 |
| 18:3 n-3 (α-linolenic acid, ALA) | 11.73 ± 0.33 |
| 18:4 n-3 | 01.50 ± 0.10 |
| 20:4 n-6 (arachidonic acid, AA) | 04.90 ± 0.19 |
| 20:5 n-3 (eicosapentaenoic acid, EPA) | 01.53 ± 0.17 |
| Others 1 | 04.73 |
| Lipid Indicators | BLEND | Chlorella vulgaris [7,30] | Fucus vesiculosus [13,17,28] | Ulva rigida [9,12,17,28] |
|---|---|---|---|---|
| PUFA/SFA | 1.63 ± 0.05 | 2.00–2.59 | 0.94–1.96 | 2.63 |
| n-6/n-3 PUFA | 0.98 ± 0.02 | 0.06–0.60 | 0.40–1.95 | 0.03–0.37 |
| AI | 0.41 ± 0.01 | 0.20–0.28 | 0.66–0.90 | 0.27–1.23 |
| TI | 0.27 ± 0.01 | 0.21 | 0.26–0.34 | 0.10–0.60 |
| Polar Lipids Classes | BLEND | Chlorella vulgaris [14,15,30,36] | Fucus vesiculosus [13,16] | Ulva rigida [9,12,16,29] | ||||
|---|---|---|---|---|---|---|---|---|
| Nº | Major Lipid Species | Nº | Major Lipid Species | Nº | Major Lipid Species | Nº | Major Lipid Species | |
| Glycolipids (GL) | ||||||||
| Total GL | 118 | 66 | 93 | 103 | ||||
| MGDG | 29 | 34:6 | 17 | 34:6 | 23 | 38:7 or 38:8 | 29 | 34:8 |
| MGMG | 11 | 16:4 | 5 | 18:3 | 9 | 16:4 or 18:4 | 13 | 16:4 |
| DGDG | 33 | 34:6 | 23 | 34:6 | 23 | 38:8 | 21 | 34:1 or 34:3 |
| DGMG | 8 | 16:0 | 3 | 16:0 | 5 | 18:3 | 10 | 16:0 or 16:4 |
| SQDG | 34 | 34:1 | 18 | 32:0 | 26 | 34:1 | 25 | 34:1 |
| SQMG | 3 | 16:0 | 0 | – | 7 | 16:0 | 5 | 16:0 |
| Phospholipids (PL) | ||||||||
| Total PL | 206 | 160 | 82 | 93 | ||||
| PA | 0 | – | 0 | – | 3 | 40:8 | 0 | – |
| PC | 60 | 36:5 | 54 | 36:6 | 19 | 36:2 or 36:3 or 38:7 | 24 | 36:2 |
| LPC | 21 | 18:2 | 16 | 18:2 | 6 | 18:1 | 9 | 16:0 |
| PE | 47 | 34:2 | 41 | 34:2 | 19 | 40:8 | 21 | 30:3 or 32:1 or 34:2 |
| LPE | 18 | 16:0 | 13 | 16:1 or 18:1 | 6 | 20:4 | 7 | 16:1 or 22:5 |
| PG | 34 | 34:2 | 23 | 34:3 | 11 | 34:4 | 18 | 34:4 |
| LPG | 5 | 18:3 | 2 | 16:0 | 3 | 16:1 | 4 | 16:1 |
| PI | 21 | 34:2 | 10 | 34:2 | 12 | 34:1 or 34:2 | 9 | 34:1 or 34:2 or 34:3 |
| LPI | 0 | – | 0 | – | 2 | 18:1 | 1 | 16:0 |
| PS | 0 | – | 0 | – | 1 | 30:3 | 0 | – |
| Betainelipids (BL) | ||||||||
| Total BL | 138 | 43 | 81 | 68 | ||||
| DGTS | 61 | 34:4 | 29 | 34:4 | 17 | 32:1 | 47 | 32:1 or 34:4 |
| MGTS | 28 | 16:0 | 14 | nd | 8 | 16:0 or 18:3 | 21 | 16:0 or 18:4 |
| DGTA | 36 | 32:1 | 0 | – | 43 | 32:1 | 0 | – |
| MGTA | 13 | 18:1 | 0 | – | 13 | 18:1 | 0 | – |
| Total | 454 | 269 | 256 | 264 | ||||
| Lipid Species (C:N) | Observed m/z | Fatty Acyl Chains (C:N) | Chlorella vulgaris [14,15,30,36] | Fucus Vesiculosus [13,16] | Ulva rigida [9,12,16,29] |
|---|---|---|---|---|---|
| MGDG identified as [M+NH4]+ | |||||
| MGDG 30:4 | 712.4980 | ** | × | ||
| MGDG 32:1 | 746.5765 | ** | × | ||
| MGDG 32:2 | 744.5604 | ** | × | × | |
| MGDG 32:3 | 742.5447 | ** | × | × | × |
| MGDG 32:4 | 740.5289 | ** | × | × | × |
| MGDG 32:5 | 738.5144 | 14:1_18:4 and 16:1_16:4 and 16:2_16:3 | × | × | |
| MGDG 32:6 | 736.4986 | 16:2_16:4 and 16:3/16:3 | × | × | |
| MGDG 34:1 | 774.6058 | ** | × | × | × |
| MGDG 34:2 | 772.5925 | ** | × | × | |
| MGDG 34:3 | 770.5747 | 16:0_18:3 and 16:3_18:0 | × | × | × |
| MGDG 34:4 | 768.5607 | 16:0_18:4 and 16:1_18:3 and 16:2_18:2 | × | × | × |
| MGDG 34:5 | 766.5441 | ** | × | × | |
| MGDG 34:6 | 764.5302 | 16:2_18:4 and 16:3_18:3 and 16:4_18:2 | × | × | × |
| MGDG 34:8 | 760.4984 | 16:4_18:4 | × | ||
| MGDG 34:9 | 758.4871 | * | × | ||
| MGDG 35:1 | 784.5930 | ** | × | ||
| MGDG 35:6 | 778.5442 | 17:3_18:3 | |||
| MGDG 36:4 | 796.5921 | 18:1_18:3 and 18:2_18:2 | × | × | × |
| MGDG 36:5 | 794.5766 | ** | × | × | |
| MGDG 36:6 | 792.5615 | 18:3/18:3 | × | × | × |
| MGDG 36:7 | 790.5487 | ** | × | × | |
| MGDG 36:8 | 788.5333 | ** | × | × | |
| MGDG 36:9 | 786.5195 | ** | × | × | |
| MGDG 38:5 | 822.6093 | ** | × | × | |
| MGDG 38:6 | 820.5954 | 18:2_20:4 | × | ||
| MGDG 38:7 | 818.5770 | ** | × | × | |
| MGDG 38:8 | 816.5594 | ** | × | ||
| MGDG 38:9 | 814.5447 | ** | × | ||
| MGDG 40:9 | 842.5744 | ** | × | ||
| MGMG identified as [M+NH4]+ | |||||
| MGMG 16:0 | 510.3633 | ** | × | × | × |
| MGMG 16:1 | 508.3484 | ** | × | × | |
| MGMG 16:2 | 506.3328 | ** | × | × | |
| MGMG 16:3 | 504.3172 | ** | × | × | × |
| MGMG 16:4 | 502.3006 | ** | × | × | |
| MGMG 18:1 | 536.3795 | ** | × | × | |
| MGMG 18:2 | 534.3642 | ** | × | × | × |
| MGMG 18:3 | 532.3479 | ** | × | × | × |
| MGMG 18:4 | 530.3320 | ** | × | × | |
| MGMG 20:4 | 558.3630 | ** | × | ||
| MGMG 20:5 | 556.3481 | ** | × | × | |
| DGDG identified as [M+NH4]+ | |||||
| DGDG 28:0 | 854.5833 | * | × | ||
| DGDG 30:0 | 882.6153 | * | × | ||
| DGDG 32:0 | 910.6476 | ** | × | × | |
| DGDG 32:1 | 908.6297 | 14:0_18:1 | × | × | × |
| DGDG 32:2 | 906.6156 | 14:0_18:2 | × | × | |
| DGDG 32:3 | 904.6006 | 14:0_18:3 and 16:0_16:3 | × | × | |
| DGDG 32:4 | 902.5836 | 14:0_18:4 and 16:1_16:3 and 16:2/16:2 | × | × | |
| DGDG 32:5 | 900.5676 | 16:1_16:4 and 16:2_16:3 | × | ||
| DGDG 34:1 | 936.6602 | 16:0_18:1 and 16:1_18:0 | × | × | × |
| DGDG 34:2 | 934.6447 | 16:0_18:2 and 16:1_18:1 and 17:0_17:2 | × | × | × |
| DGDG 34:3 | 932.6294 | 16:0_18:3 and 16:1_18:2 and 16:2_18:1 | × | × | × |
| DGDG 34:4 | 930.6140 | 16:0_18:4 and 16:1_18:3 and 16:2_18:2 and 16:3_18:1 | × | × | × |
| DGDG 34:5 | 928.5969 | 16:2_18:3 and 16:3_18:2 | × | × | × |
| DGDG 34:6 | 926.5831 | 16:3_18:3 | × | × | |
| DGDG 34:7 | 924.5653 | ** | × | × | |
| DGDG 34:8 | 922.5515 | 16:4_18:4 | × | ||
| DGDG 35:1 | 950.6733 | ** | × | ||
| DGDG 35:2 | 948.6634 | ** | × | ||
| DGDG 35:3 | 946.6464 | 17:0_18:3 | × | ||
| DGDG 36:1 | 964.6890 | * | × | ||
| DGDG 36:2 | 962.6748 | ** | × | × | × |
| DGDG 36:3 | 960.6590 | ** | × | × | |
| DGDG 36:4 | 958.6438 | ** | × | × | × |
| DGDG 36:5 | 956.6301 | ** | × | × | × |
| DGDG 36:6 | 954.6157 | 18:3/18:3 | × | × | × |
| DGDG 36:7 | 952.6031 | ** | × | × | × |
| DGDG 36:8 | 950.5872 | ** | × | ||
| DGDG 36:9 | 948.5730 | ** | |||
| DGDG 38:5 | 984.6586 | ** | × | × | |
| DGDG 38:6 | 982.6450 | 18:1_20:5 | × | × | |
| DGDG 38:7 | 980.6286 | ** | × | × | |
| DGDG 38:8 | 978.6140 | 18:3_20:5 | × | ||
| DGDG 38:9 | 976.6000 | ** | × | ||
| DGMG identified as [M+NH4]+ | |||||
| DGMG 16:0 | 672.4163 | ** | × | × | × |
| DGMG 16:1 | 670.4004 | ** | × | ||
| DGMG 16:4 | 664.3538 | ** | × | ||
| DGMG 18:1 | 698.4322 | ** | × | ||
| DGMG 18:2 | 696.4172 | * | × | × | |
| DGMG 18:3 | 694.4015 | ** | × | × | × |
| DGMG 18:4 | 692.3839 | ** | × | × | |
| DGMG 20:5 | 718.4000 | ** | × | ||
| SQDG identified as [M+H]– | |||||
| SQDG 28:0 | 737.4519 | 14:0/14:0 | × | × | |
| SQDG 30:0 | 765.4831 | 14:0_16:0 | × | × | × |
| SQDG 30:1 | 763.4671 | * | × | × | |
| SQDG 30:4 | 757.4215 | 14:0_16:4 | |||
| SQDG 31:1 | 777.4821 | 15:0_16:1 | |||
| SQDG 32:0 | 793.5142 | 16:0/16:0 | × | × | × |
| SQDG 32:1 | 791.4987 | 14:0_18:1 | × | × | × |
| SQDG 32:2 | 789.4831 | 14:0_18:2 and 16:0_16:2 | × | × | × |
| SQDG 32:3 | 787.4676 | 14:0_18:3 and 16:0_16:3 and 16:1_16:2 | × | × | × |
| SQDG 32:4 | 785.4528 | ** | × | × | |
| SQDG 33:0 | 807.5259 | ** | |||
| SQDG 33:1 | 805.5113 | 14:0_19:1 and 15:0_18:1 and 16:1_17:0 | × | ||
| SQDG 33:3 | 801.4830 | 15:0_18:3 | |||
| SQDG 34:0 | 821.5433 | 14:0_20:0 and 16:0_18:0 | × | ||
| SQDG 34:1 | 819.5302 | 16:0_18:1 | × | × | × |
| SQDG 34:2 | 817.5118 | * | × | × | × |
| SQDG 34:3 | 815.4987 | 16:0_18:3 | × | × | × |
| SQDG 34:4 | 813.4834 | 16:0_18:4 | × | × | × |
| SQDG 34:5 | 811.4678 | 16:2_18:3 | × | × | |
| SQDG 34:6 | 809.4519 | 16:4_18:2 | |||
| SQDG 36:0 | 849.5737 | * | × | ||
| SQDG 36:1 | 847.5602 | 18:0_18:1 | × | × | × |
| SQDG 36:2 | 845.5452 | ** | × | × | × |
| SQDG 36:3 | 843.5280 | ** | × | × | × |
| SQDG 36:4 | 841.5137 | 18:2/18:2 | × | × | × |
| SQDG 36:5 | 839.4970 | * | × | × | × |
| SQDG 36:6 | 837.4830 | 18:3/18:3 | × | × | × |
| SQDG 38:0 | 877.6068 | ** | × | × | |
| SQDG 38:1 | 875.5922 | 14:0_24:1 and 16:0_22:1 | × | ||
| SQDG 38:5 | 867.5301 | ** | × | × | |
| SQDG 40:1 | 903.6240 | 16:0_24:1 | × | ||
| SQDG 42:1 | 931.6566 | ** | × | ||
| SQDG 42:8 | 917.5426 | ** | |||
| SQDG 44:5 | 951.6221 | ** | |||
| SQMG identified as [M+H]– | |||||
| SQMG 16:0 | 555.2839 | ** | × | × | |
| SQMG 16:4 | 547.2213 | ** | |||
| SQMG 18:1 | 581.2996 | 18:1 | × | × | |
| Lipid Species (C:N) | Calculated m/z | Fatty Acyl Chains (C:N) | Chlorella vulgaris [14,15,30,36] | Fucus vesiculosus [13,16] | Ulva rigida [9,12,16,29] |
|---|---|---|---|---|---|
| PC identified as [M+H]+ | |||||
| PC 30:0 | 706.5389 | ** | × | × | |
| PC 30:3 | 700.4890 | ** | × | ||
| PC 31:1 | 718.5362 | 15:0_16:1 and 15:1_16:0 | × | ||
| PC 31:3 | 714.5067 | 15:0_16:3 and 15:1_16:2 | × | ||
| PC 31:4 | 712.4907 | ** | |||
| PC 32:0 | 734.5679 | ** | × | ||
| PC 32:1 | 732.5521 | 16:0_16:1 | × | × | |
| PC 32:2 | 730.5370 | 16:0_16:2 and 16:1_16:1 and 14:0_18:2 | × | × | × |
| PC 32:3 | 728.5224 | 16:0_16:3 and 16:1_16:2 | × | ||
| PC 32:4 | 726.5065 | 16:1_16: and 16:2/16:2 | × | ||
| PC 32:5 | 724.4914 | 16:2_16:3 | × | ||
| PC 32:6 | 722.4753 | 16:3/16:3 | × | ||
| PC 33:2 | 744.5528 | ** | × | ||
| PC 33:3 | 742.5381 | 15:0_18:3 and 16:1_17:2 and 16:2_17:1 and 16:3_17:0 | × | ||
| PC 33:4 | 740.5223 | 16:2_17:2 and 16:3_17:1 and 16:4_17:0 | × | ||
| PC 33:5 | 738.5068 | ** | × | ||
| PC 33:6 | 736.4907 | 16:3_17:3 | |||
| PC 34:1 | 760.5820 | 16:0_18:1 and 16:1_18:0 | × | × | × |
| PC 34:2 | 758.5688 | * | × | × | × |
| PC 34:3 | 756.5535 | 16:0_18:3 and 16:1_18:2 and 16:2_18:1 and 16:3_18:0 | × | × | × |
| PC 34:4 | 754.5374 | 16:0_18:4 and 16:1_18:3 and 16:2_18:2 and 16:3_18:1 and 16:4_18:0 | × | × | |
| PC 34:5 | 752.5216 | 16:1_18:4 and 16:2_18:3 and 16:3_18:2 | × | ||
| PC 34:6 | 750.5063 | 16:3_18:3 | × | ||
| PC 34:7 | 748.4904 | ** | × | ||
| PC 34:8 | 746.4734 | ** | × | ||
| PC 34:9 | 744.4590 | * | × | ||
| PC 35:1 | 774.5998 | 17:0_18:1 | × | ||
| PC 35:2 | 772.5842 | 17:0_18:2 | × | ||
| PC 35:3 | 770.5689 | 17:0_18:3 and 17:1_18:2 and 17:2_18:3 | × | ||
| PC 35:4 | 768.5526 | 17:1_18:3 and 17:2_18:2 | × | ||
| PC 35:5 | 766.5367 | 17:2_18:3 and 17:3_18:2 | × | ||
| PC 35:6 | 764.5212 | ** | × | ||
| PC 35:7 | 762.5049 | * | × | ||
| PC 35:9 | 758.4750 | * | |||
| PC 36:2 | 786.6020 | 16:1_20:1 and 17:1_19:1 and 18:0_18:2 and 18:1/18:1 | × | × | × |
| PC 36:3 | 784.5842 | 18:0_18:3 and 18:1_18:2 | × | × | × |
| PC 36:4 | 782.5690 | 16:1_20:3 and 16:2_20:2 and 18:1_18:3 and 18:2/18:2 | × | × | |
| PC 36:5 | 780.5535 | 16:0_20:5 and 16:1_20:4 and 18:2_18:3 | × | × | × |
| PC 36:6 | 778.5372 | 16:3_20:3 and 18:2_18:4 and 18:3/18:3 | × | × | × |
| PC 36:7 | 776.5212 | ** | × | × | × |
| PC 36:8 | 774.5038 | ** | × | × | × |
| PC 36:9 | 772.4887 | ** | × | ||
| PC 37:3 | 798.6003 | ** | × | ||
| PC 37:4 | 796.5851 | 18:3_19:1 | × | ||
| PC 38:2 | 814.6302 | 18:1_20:1 and 18:2_20:0 | × | × | |
| PC 38:3 | 812.6163 | 18:1_20:2 and 18:2_20:1 and 18:3_20:0 | × | × | |
| PC 38:4 | 810.6008 | * | × | ||
| PC 38:5 | 808.5827 | 18:2_20:3 and 18:3_20:2 | × | × | × |
| PC 38:6 | 806.5663 | 18:2_20:4 and 18:3_20:3 | × | × | × |
| PC 38:7 | 804.5525 | ** | × | × | × |
| PC 38:8 | 802.5367 | ** | × | × | × |
| PC 38:9 | 800.5199 | ** | × | × | × |
| PC 39:9 | 814.5347 | ** | |||
| PC 40:6 | 834.5972 | ** | × | ||
| PC 40:7 | 832.5833 | ** | × | ||
| PC 40:8 | 830.5668 | ** | × | × | |
| PC 40:9 | 828.5521 | ** | × | × | |
| PC 40:10 | 826.5352 | ** | × | × | |
| PC 44:2 | 898.7245 | ** | |||
| PC 44:3 | 896.7108 | ** | |||
| LPC identified as [M+H]+ | |||||
| LPC 14:0 | 468.3085 | ** | × | ||
| LPC 16:0 | 496.3395 | 16:0 | × | × | × |
| LPC 16:1 | 494.3241 | 16:1 | × | × | × |
| LPC 16:2 | 492.3083 | 16:2 | × | ||
| LPC 16:3 | 490.2925 | 16:3 | × | ||
| LPC 17:0 | 510.3551 | 17:0 | × | ||
| LPC 17:1 | 508.3391 | 17:1 | × | ||
| LPC 17:3 | 504.3075 | 17:3 | |||
| LPC 18:0 | 524.3709 | 18:0 | × | ||
| LPC 18:1 | 522.3563 | ** | × | × | × |
| LPC 18:2 | 520.3400 | 18:2 | × | ||
| LPC 18:3 | 518.3237 | 18:3 | × | × | × |
| LPC 19:1 | 536.3723 | 19:1 | |||
| LPC 19:2 | 534.3546 | 19:2 | |||
| LPC 20:1 | 550.3869 | 20:1 | × | ||
| LPC 20:2 | 548.3696 | 20:2 | |||
| LPC 20:3 | 546.3536 | ** | × | ||
| LPC 20:4 | 544.3387 | ** | × | × | |
| LPC 20:5 | 542.3235 | 20:5 | × | × | × |
| LPC 22:5 | 570.3542 | ** | × | ||
| LPC 22:6 | 568.3385 | ** | × | × | × |
| PE identified as [M-H]– | |||||
| PE 28:1 | 632.4302 | 14:0_14:1 | |||
| PE 29:0 | 648.4611 | 14:0_15:0 | |||
| PE 29:1 | 646.4456 | 14:1_15:0 | × | ||
| PE 30:0 | 662.4770 | 15:0/15:0 | × | × | × |
| PE 30:1 | 660.4612 | 14:0_16:1 and 14:1_16:0 | × | × | |
| PE 30:2 | 658.4467 | 14:0_16:2 | × | ||
| PE 30:3 | 656.4320 | ** | × | × | |
| PE 31:1 | 674.4766 | 15:0_16:1 | × | ||
| PE 31:2 | 672.4615 | 15:0_16:2 | × | ||
| PE 31:3 | 670.4462 | 15:0_16:3 | × | ||
| PE 32:1 | 688.4922 | 16:0_16:1 | × | × | |
| PE 32:2 | 686.4768 | 16:0_16:2 and 16:1/16:1 | × | × | × |
| PE 32:3 | 684.4612 | 14:0_18:3 and 16:0_16:3 and 16:1_16:2 | × | ||
| PE 32:4 | 682.4463 | 16:1_16:3 and 16:2/16:2 | × | × | |
| PE 32:5 | 680.4296 | ** | × | ||
| PE 32:6 | 678.4140 | * | × | ||
| PE 33:1 | 702.5079 | ** | × | ||
| PE 33:2 | 700.4920 | 15:0_18:2 and 16:1_17:1 | |||
| PE 33:3 | 698.4770 | 15:0_18:3 and 16:3_17:0 | × | ||
| PE 34:1 | 716.5203 | 16:0_18:1 | × | × | × |
| PE 34:2 | 714.5075 | 16:0_18:2 and 16:1_18:1 | × | × | × |
| PE 34:3 | 712.4924 | 16:0_18:3 and 16:1_18:2 and 16:2_18:1 | × | × | × |
| PE 34:4 | 710.4767 | 16:1_18:3 and 16:2_18:2 and 16:3_18:1 | × | × | |
| PE 34:5 | 708.4613 | 16:2_18:3 and 16:3_18:2 | × | × | × |
| PE 34:6 | 706.4456 | 16:3_18:3 | × | ||
| PE 35:2 | 728.5236 | 17:0_18:2 and 17:1_18:1 | × | ||
| PE 35:3 | 726.5079 | 17:0_18:3 and 17:1_18:2 and 17:2_18:1 | × | ||
| PE 35:4 | 724.4924 | 17:0_18:4 and 17:1_18:3 and 17:2_18:2 | × | ||
| PE 35:5 | 722.4765 | 17:2_18:3 | × | ||
| PE 35:6 | 720.4610 | 17:3/18:3 | × | ||
| PE 36:2 | 742.5387 | 18:0_18:2 and 18:1/18:1 | × | × | |
| PE 36:3 | 740.5227 | ** | × | × | × |
| PE 36:4 | 738.5090 | 18:1_18:3 and 18:2_18:2 | × | × | × |
| PE 36:5 | 736.4923 | * | × | × | × |
| PE 36:6 | 734.4769 | 18:3/18:3 | × | × | |
| PE 37:3 | 754.5374 | 18:2_19:1 | × | ||
| PE 37:4 | 752.5234 | 18:3_19:1 | × | ||
| PE 37:5 | 750.5075 | 18:3_19:2 | × | ||
| PE 38:2 | 770.5696 | 18:1_20:1 and 18:2_20:0 | |||
| PE 38:3 | 768.5545 | 18:1_20:2 and 18:2_20:1 and 18:3_20:0 | |||
| PE 38:4 | 766.5389 | 18:2_20:2 and 18:3_20:1 | |||
| PE 38:5 | 764.5219 | * | |||
| PE 38:7 | 760.4909 | * | × | × | |
| PE 40:8 | 786.5082 | 20:4/20:4 | × | × | |
| PE 40:9 | 784.4915 | * | × | × | |
| PE 40:11 | 780.4598 | * | |||
| PE 42:2 | 826.6337 | ** | |||
| LPE identified as [M-H]– | |||||
| LPE 14:0 | 424.2469 | * | × | ||
| LPE 15:0 | 438.2626 | * | × | ||
| LPE 16:0 | 452.2783 | * | × | × | |
| LPE 16:1 | 450.2626 | 16:1 | × | × | × |
| LPE 16:2 | 448.2470 | ** | × | ||
| LPE 16:3 | 446.2314 | ** | × | ||
| LPE 17:0 | 466.2939 | * | × | ||
| LPE 17:1 | 464.2780 | 17:1 | × | ||
| LPE 18:1 | 478.2940 | 18:1 | × | × | × |
| LPE 18:2 | 476.2782 | 18:2 | × | × | × |
| LPE 18:3 | 474.2624 | 18:3 | × | × | |
| LPE 19:1 | 492.3097 | 19:1 | |||
| LPE 20:0 | 508.3410 | ** | |||
| LPE 20:1 | 506.3255 | ** | |||
| LPE 20:4 | 500.2784 | 20:4 | × | × | × |
| LPE 20:5 | 498.2626 | ** | × | × | × |
| LPE 22:1 | 534.3576 | * | |||
| LPE 22:5 | 526.2938 | * | × | ||
| PG identified as [M-H]– | |||||
| PG 28:1 | 663.4221 | 14:0_14:1 | |||
| PG 30:0 | 693.4711 | 14:0_16:0 | × | × | |
| PG 30:1 | 691.4542 | ** | × | × | |
| PG 32:0 | 721.5026 | 16:0/16:0 | × | × | × |
| PG 32:1 | 719.4870 | 16:0_16:1 | × | × | × |
| PG 32:2 | 717.4714 | 16:0_16:2 and 16:1/16:1 | × | × | × |
| PG 32:3 | 715.4552 | * | |||
| PG 32:4 | 713.4409 | 14:0_18:3 and 16:1_16:3 and 16:2/16:2 | × | ||
| PG 32:5 | 711.4210 | ** | × | ||
| PG 33:0 | 735.5186 | ** | × | ||
| PG 33:1 | 733.5025 | 15:0_18:1 and 16:0_17:1 and 16:1_17:0 | × | ||
| PG 33:2 | 731.4868 | 15:0_18:2 and 16:0_17:2 and 16:1_17:1 | × | ||
| PG 33:3 | 729.4714 | 15:0_18:3 and 16:3_17:0 | × | ||
| PG 34:0 | 749.5309 | 14:0_20:0 and 16:0_18:0 | × | × | × |
| PG 34:1 | 747.5154 | 16:0_18:1 and 16:1_18:0 | × | × | × |
| PG 34:2 | 745.5020 | 16:0_18:2 and 16:1_18:1 | × | × | × |
| PG 34:3 | 743.4869 | 16:0_18:3 and 16:1_18:2 | × | × | × |
| PG 34:4 | 741.4714 | 14:0_20:4 and 16:0_18:4 and 16:1_18:3 and 16:2_18:2 | × | × | × |
| PG 34:5 | 739.4559 | 14:0_20:5 and 16:1_18:4 and 16:2_18:3 and 16:3_18:2 and 16:4_18:1 | × | × | |
| PG 35:2 | 759.5170 | 14:0_21:2 and 17:0_18:2 | × | ||
| PG 35:3 | 757.5018 | 14:0_21:3 and 17:0_18:3 | × | ||
| PG 35:4 | 755.4859 | 17:1_18:3 | × | ||
| PG 35:6 | 751.4556 | 17:2_18:4 | |||
| PG 36:1 | 775.5458 | ** | |||
| PG 36:2 | 773.5334 | 18:0_18:2 and 18:1/18:1 | × | × | × |
| PG 36:3 | 771.5174 | ** | × | × | × |
| PG 36:4 | 769.5020 | 16:0_20:4 and 16:1_20:3 and 18:1_18:3 and 18:2/18:2 | × | × | × |
| PG 36:5 | 767.4860 | ** | × | × | |
| PG 36:9 | 759.4227 | * | |||
| PG 38:5 | 795.5207 | 18:1_20:4 and 18:2_20:3 and 18:3_20:2 | × | ||
| PG 40:11 | 811.4561 | * | |||
| PG 42:11 | 839.4862 | * | |||
| PG 44:5 | 879.6088 | ** | |||
| PG 46:5 | 907.6429 | ** | |||
| LPG identified as [M–H]– | |||||
| LPG 16:0 | 483.2744 | 16:0 | × | × | × |
| LPG 16:1 | 481.2571 | * | × | × | |
| LPG 18:1 | 509.2893 | ** | × | × | |
| LPG 18:2 | 507.2732 | ** | |||
| LPG 18:3 | 505.2573 | 18:3 | × | × | |
| PI identified as [M–H]– | |||||
| PI 30:0 | 781.4844 | ** | × | ||
| PI 30:2 | 777.4545 | 14:0_16:2 and 14:1_16:1 | |||
| PI 32:3 | 803.4719 | ** | × | ||
| PI 34:0 | 837.5458 | ** | × | ||
| PI 34:1 | 835.5308 | 16:0_18:1 | × | × | × |
| PI 34:2 | 833.5185 | 16:0_18:2 and 16:1_18:1 | × | × | × |
| PI 34:3 | 831.5037 | 16:0_18:3 and 16:1_18:2 | × | × | × |
| PI 34:4 | 829.4841 | 16:0_18:4 and 16:1_18:3 and 16:2_18:2 | × | ||
| PI 34:5 | 827.4712 | 14:0_20:5 and 16:1_18:4 and 16:2_18:3 and 16:3_18:2 and 16:4_18:1 | × | ||
| PI 35:2 | 847.5334 | 15:0_20:2 and 17:0_18:2 | × | ||
| PI 36:1 | 863.5620 | ** | × | ||
| PI 36:2 | 861.5478 | ** | × | × | |
| PI 36:3 | 859.5336 | 16:0_20:3 and 16:1_20:2 and 16:2_20:1 and 18:0_18:3 and 18:2_18:1 | × | × | |
| PI 36:4 | 857.5166 | 16:0_20:4 and 18:0_18:4 and 18:1_18:3 and 18:2/18:2 | × | × | × |
| PI 36:5 | 855.5034 | 16:0_20:5 and 18:1_18:4 and 18:2_18:3 | × | ||
| PI 36:6 | 853.4895 | ** | |||
| PI 38:4 | 885.5527 | 18:0_20:4 and 18:1_20:3 and 18:2_20:2 and 18:3_20:1 | × | ||
| PI 38:5 | 883.5373 | ** | |||
| PI 38:8 | 877.4843 | ** | × | × | |
| PI 40:7 | 907.5305 | ** | × | ||
| PI 40:10 | 901.4855 | ** | |||
| Lipid Species (C:N) | Calculated m/z | Fatty Acyl Chains (C:N) | Chlorella vulgaris [14,15,30,36] | Fucus vesiculosus [13,16] | Ulva rigida [9,12,16,29] |
|---|---|---|---|---|---|
| DGTS identified as [M+H]+ | |||||
| DGTS 28:0 | 656.5463 | * | × | × | |
| DGTS 30:0 | 684.5781 | 14:0_16:0 | × | × | × |
| DGTS 30:1 | 682.5614 | 14:0_16:1 | × | × | × |
| DGTS 30:3 | 678.5291 | 14:0_16:3 | × | × | |
| DGTS 30:4 | 676.5144 | ** | × | ||
| DGTS 32:0 | 712.6080 | 16:0/16:0 | × | × | |
| DGTS 32:1 | 710.5924 | 14:0_18:1 and 16:0_16:1 | × | × | × |
| DGTS 32:2 | 708.5768 | 14:0_18:2 and 16:0_16:2 and 16:1/16:1 | × | × | |
| DGTS 32:3 | 706.5599 | * | × | × | × |
| DGTS 32:4 | 704.5455 | 14:0_18:4 and 16:0_16:4 | × | × | |
| DGTS 32:6 | 700.5140 | ** | × | ||
| DGTS 33:1 | 724.6093 | 16:0_17:1 | × | ||
| DGTS 33:2 | 722.5925 | 16:0_17:2 | × | ||
| DGTS 33:3 | 720.5790 | 15:0_18:3 | × | ||
| DGTS 33:4 | 718.5612 | 15:0_18:4 | × | ||
| DGTS 34:1 | 738.6232 | 16:0_18:1 | × | × | × |
| DGTS 34:2 | 736.6066 | 16:0_18:2 and 16:1_18:1 | × | × | × |
| DGTS 34:3 | 734.5915 | 16:0_18:3 | × | × | × |
| DGTS 34:4 | 732.5768 | 16:0_18:4 | × | × | × |
| DGTS 34:5 | 730.5608 | 16:1_18:4 and 16:2_18:3 | × | × | |
| DGTS 34:6 | 728.5463 | * | × | × | |
| DGTS 34:7 | 726.5286 | 16:4_18:3 | × | × | |
| DGTS 34:8 | 724.5159 | 16:4_18:4 | × | ||
| DGTS 35:4 | 746.5931 | 15:0_20:4 and 17:1_18:3 | × | ||
| DGTS 35:5 | 744.5763 | 17:1_18:4 | × | ||
| DGTS 36:1 | 766.6528 | 16:0_20:1 and 18:0_18:1 | |||
| DGTS 36:2 | 764.6399 | 16:0_20:2 and 18:1/18:1 | × | × | × |
| DGTS 36:3 | 762.6231 | 16:0_20:3 | × | × | |
| DGTS 36:4 | 760.6069 | 16:0_20:4 and 18:1_18:3 | × | × | |
| DGTS 36:5 | 758.5923 | 16:0_20:5 and 18:1_18:4 and 18:2_18:3 | × | × | × |
| DGTS 36:6 | 756.5743 | 18:3/18:3 | × | × | × |
| DGTS 36:7 | 754.5594 | 18:3_18:4 | × | × | × |
| DGTS 36:8 | 752.5452 | 18:4/18:4 | × | × | |
| DGTS 36:9 | 750.5328 | ** | × | ||
| DGTS 36:10 | 748.5142 | * | |||
| DGTS 38:0 | 796.7023 | ** | × | ||
| DGTS 38:1 | 794.6881 | 18:1_20:0 | |||
| DGTS 38:3 | 790.6542 | * | |||
| DGTS 38:5 | 786.6238 | 18:0_20:5 | × | × | |
| DGTS 38:6 | 784.6072 | 16:0_22:5 | × | × | |
| DGTS 38:7 | 782.5901 | ** | × | ||
| DGTS 38:8 | 780.5744 | 18:4_20:4 | × | ||
| DGTS 38:9 | 778.5592 | 18:4_20:5 | × | ||
| DGTS 38:10 | 776.5439 | * | × | ||
| DGTS 40:3 | 818.6850 | ** | × | ||
| DGTS 40:4 | 816.6710 | 16:0_24:4 and 18:4_22:0 | × | ||
| DGTS 40:5 | 814.6525 | ** | × | ||
| DGTS 40:6 | 812.6402 | 18:1_22:5 | × | ||
| DGTS 40:7 | 810.6229 | ** | × | ||
| DGTS 40:8 | 808.6066 | 18:3_22:5 | × | ||
| DGTS 40:9 | 806.5920 | 18:4_22:5 | × | × | |
| DGTS 40:10 | 804.5748 | 20:5/20:5 | × | ||
| DGTS 42:5 | 842.6879 | ** | × | ||
| DGTS 42:6 | 840.6688 | ** | × | ||
| DGTS 42:7 | 838.6531 | 20:3_22:4 | |||
| DGTS 42:9 | 834.6230 | ** | |||
| DGTS 42:10 | 832.6071 | ** | × | ||
| DGTS 42:11 | 830.5905 | ** | × | ||
| DGTS 44:5 | 870.7184 | 22:0_22:5 | × | ||
| DGTS 44:10 | 860.6385 | 22:5/22:5 | × | ||
| DGTS 44:12 | 856.6055 | ** | |||
| MGTS identified as [M+H]+ | |||||
| MGTS 14:0 | 446.3472 | 14:0 | × | × | × |
| MGTS 15:0 | 460.3635 | * | × | ||
| MGTS 16:0 | 474.3788 | * | × | × | × |
| MGTS 16:1 | 472.3633 | * | × | × | × |
| MGTS 16:2 | 470.3478 | ** | × | ||
| MGTS 16:3 | 468.3343 | * | × | × | |
| MGTS 16:4 | 466.3162 | * | × | ||
| MGTS 17:1 | 486.3787 | * | × | ||
| MGTS 17:3 | 482.3462 | * | |||
| MGTS 18:0 | 502.4091 | * | × | × | |
| MGTS 18:1 | 500.3941 | * | × | × | × |
| MGTS 18:2 | 498.3800 | * | × | × | × |
| MGTS 18:3 | 496.3613 | 18:3 | × | × | × |
| MGTS 18:4 | 494.3473 | 18:4 | × | × | × |
| MGTS 18:5 | 492.3317 | 18:5 | × | ||
| MGTS 19:1 | 514.4115 | * | × | ||
| MGTS 20:0 | 530.4423 | * | × | ||
| MGTS 20:1 | 528.4255 | * | × | ||
| MGTS 20:3 | 524.3933 | * | × | ||
| MGTS 20:4 | 522.3785 | * | × | × | |
| MGTS 20:5 | 520.3624 | * | × | × | × |
| MGTS 22:0 | 558.4726 | * | × | ||
| MGTS 22:1 | 556.4596 | * | × | ||
| MGTS 22:3 | 552.4252 | * | |||
| MGTS 22:4 | 550.4095 | ** | |||
| MGTS 22:5 | 548.3944 | * | × | ||
| MGTS 22:6 | 546.3782 | * | |||
| MGTS 24:0 | 586.5038 | * | × | ||
| DGTA identified as [M+H]+ | |||||
| DGTA 28:0 | 656.5463 | 14:0/14:0 | × | ||
| DGTA 28:1 | 654.5305 | ** | × | ||
| DGTA 30:0 | 684.5772 | 14:0_16:0 | × | ||
| DGTA 30:1 | 682.5616 | ** | × | ||
| DGTA 30:3 | 678.5291 | ** | × | ||
| DGTA 32:1 | 710.5924 | 14:0_18:1 and 16:0_16:1 | × | ||
| DGTA 32:2 | 708.5766 | 14:0_18:2 | × | ||
| DGTA 32:3 | 706.5596 | 14:0_18:3 | × | ||
| DGTA 32:4 | 704.5455 | 14:0_18:4 and 16:0_16:4 | × | ||
| DGTA 34:1 | 738.6232 | 16:0_18:1 | × | ||
| DGTA 34:2 | 736.6083 | 16:0_18:2 | × | ||
| DGTA 34:3 | 734.5915 | 16:0_18:3 | × | ||
| DGTA 34:4 | 732.5768 | 16:0_18:4 | × | ||
| DGTA 34:5 | 730.5620 | 16:1_18:4 | |||
| DGTA 34:6 | 728.5433 | * | × | ||
| DGTA 34:7 | 726.5305 | ** | × | ||
| DGTA 36:1 | 766.6528 | ** | × | ||
| DGTA 36:2 | 764.6399 | 18:1/18:1 | × | ||
| DGTA 36:3 | 762.6219 | ** | × | ||
| DGTA 36:4 | 760.6069 | ** | × | ||
| DGTA 36:5 | 758.5923 | 16:0_20:5 | × | ||
| DGTA 36:6 | 756.5761 | ** | × | ||
| DGTA 36:7 | 754.5594 | * | × | ||
| DGTA 36:8 | 752.5432 | ** | × | ||
| DGTA 38:1 | 794.6881 | ** | × | ||
| DGTA 38:5 | 786.6229 | 18:1_20:4 | × | ||
| DGTA 38:6 | 784.6072 | 18:2_20:4 | × | ||
| DGTA 38:7 | 782.5913 | * | × | ||
| DGTA 38:8 | 780.5796 | ** | × | ||
| DGTA 40:6 | 812.6406 | 18:2_22:4 | × | ||
| DGTA 40:7 | 810.6237 | ** | × | ||
| DGTA 40:8 | 808.6075 | * | × | ||
| DGTA 40:9 | 806.5912 | * | × | ||
| DGTA 40:10 | 804.5748 | ** | × | ||
| DGTA 42:5 | 842.6871 | ** | × | ||
| DGTA 42:11 | 830.5896 | ** | × | ||
| MGTA identified as [M+H]+ | |||||
| MGTA 14:0 | 446.3472 | 14:0 | × | ||
| MGTA 16:0 | 474.3786 | * | × | ||
| MGTA 16:1 | 472.3632 | * | × | ||
| MGTA 18:1 | 500.3945 | * | × | ||
| MGTA 18:2 | 498.3788 | * | × | ||
| MGTA 18:3 | 496.3620 | 18:3 | × | ||
| MGTA 18:4 | 494.3478 | ** | × | ||
| MGTA 20:1 | 528.4265 | * | × | ||
| MGTA 20:2 | 526.4101 | ** | × | ||
| MGTA 20:3 | 524.3950 | ** | × | ||
| MGTA 20:4 | 522.3779 | * | × | ||
| MGTA 20:5 | 520.3630 | ** | × | ||
| MGTA 22:1 | 556.4580 | * | × | ||
| Assay | BLEND | Chlorella vulgaris | Fucus vesiculosus | Ulva rigida | ||||
|---|---|---|---|---|---|---|---|---|
| ABTS•+ | IC50 | 140.01 ± 4.40 | 51 | [7,30] | 27 | [17] | 31 | [17] |
| TE 1 | 126.56 ± 3.91 | 368 | 507 | 501 | ||||
| DPPH• | IC35 | 230.62 ± 3.30 | – | – | – | |||
| IC20 | 132.67 ± 9.91 | 51 | [7] | 106 | [17] | 121 | [17] | |
| TE 1 | 74.09 ± 1.07 | 192 | 90 | 88 | ||||
Disclaimer/Publisher’s Note: The statements, opinions and data contained in all publications are solely those of the individual author(s) and contributor(s) and not of MDPI and/or the editor(s). MDPI and/or the editor(s) disclaim responsibility for any injury to people or property resulting from any ideas, methods, instructions or products referred to in the content. |
© 2023 by the authors. Licensee MDPI, Basel, Switzerland. This article is an open access article distributed under the terms and conditions of the Creative Commons Attribution (CC BY) license (https://creativecommons.org/licenses/by/4.0/).
Share and Cite
Marques, F.; Lopes, D.; Conde, T.; Melo, T.; Silva, J.; Abreu, M.H.; Domingues, P.; Domingues, M.R. Lipidomic Characterization and Antioxidant Activity of Macro- and Microalgae Blend. Life 2023, 13, 231. https://doi.org/10.3390/life13010231
Marques F, Lopes D, Conde T, Melo T, Silva J, Abreu MH, Domingues P, Domingues MR. Lipidomic Characterization and Antioxidant Activity of Macro- and Microalgae Blend. Life. 2023; 13(1):231. https://doi.org/10.3390/life13010231
Chicago/Turabian StyleMarques, Francisca, Diana Lopes, Tiago Conde, Tânia Melo, Joana Silva, Maria Helena Abreu, Pedro Domingues, and Maria Rosário Domingues. 2023. "Lipidomic Characterization and Antioxidant Activity of Macro- and Microalgae Blend" Life 13, no. 1: 231. https://doi.org/10.3390/life13010231
APA StyleMarques, F., Lopes, D., Conde, T., Melo, T., Silva, J., Abreu, M. H., Domingues, P., & Domingues, M. R. (2023). Lipidomic Characterization and Antioxidant Activity of Macro- and Microalgae Blend. Life, 13(1), 231. https://doi.org/10.3390/life13010231

