Evaluation of the Phytochemistry–Therapeutic Activity Relationship for Grape Seeds Oil
Abstract
1. Introduction
2. Methodology of Research
3. Botanical and Taxonomical Description of Vitis vinifera L.
4. Strategies to Extract Oil from Grape Seeds
4.1. Cold Pressing
4.2. Soxhlet Extraction
4.3. Ultrasound-Assisted Extraction
4.4. Microwave-Assisted Extraction
4.5. Supercritical Fluid Extraction
Supercritical CO2 Extraction
5. Phytochemical Composition of Grape Seeds
5.1. The Lipophilic Components of GSO
5.1.1. Fatty Acids
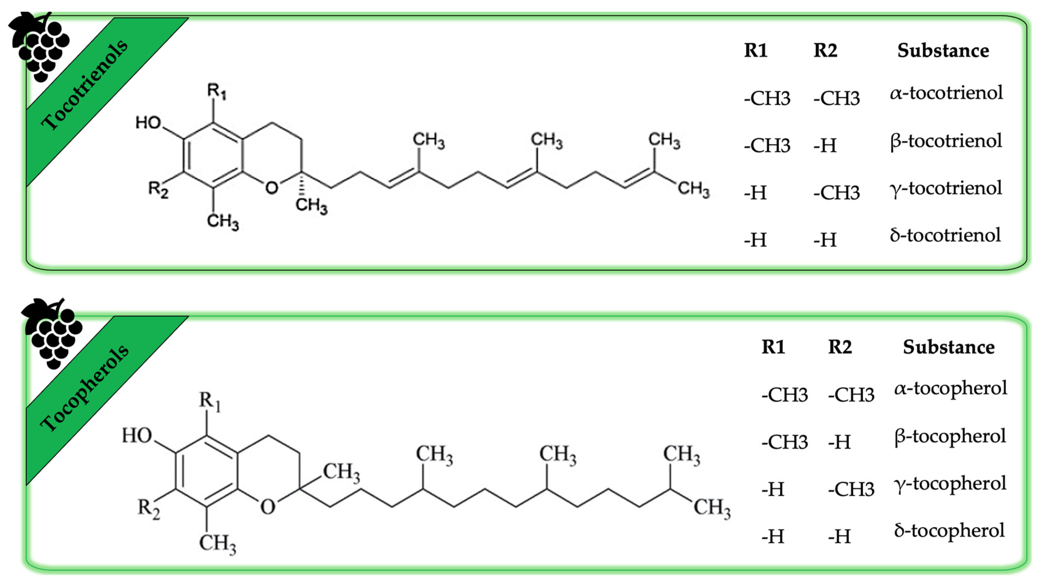
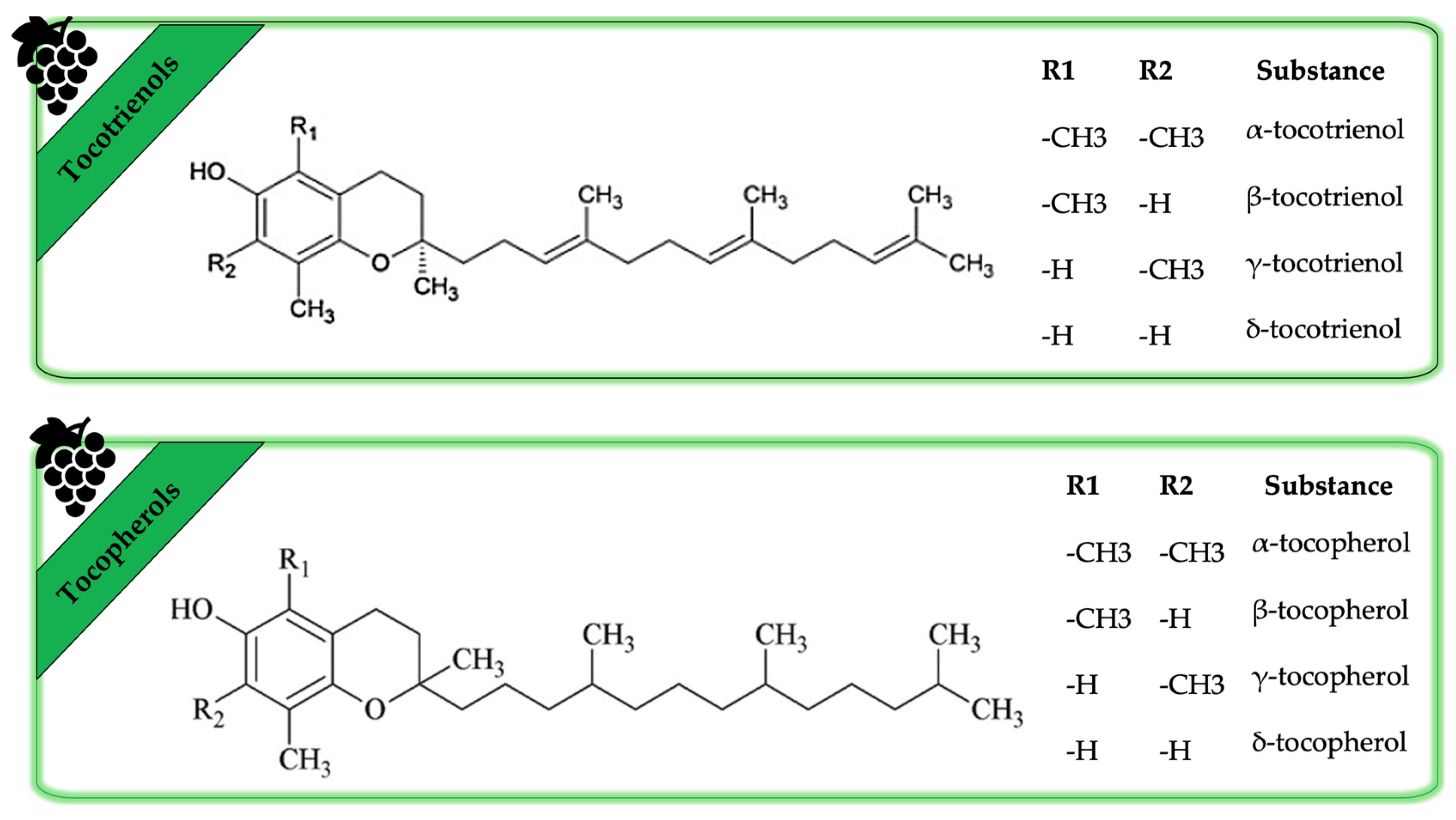
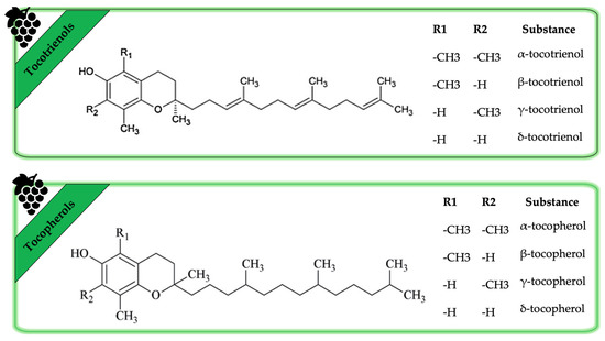
5.1.2. Vitamin E Isomers
5.1.3. Phytosterols
5.1.4. Carotenoids
5.2. The Hydrophilic Compounds of Grape Seeds
5.2.1. Flavonoids and Phenolic Acids
5.2.2. Stilbenes
5.2.3. Volatile Compounds
6. Biological Activity of GSO
6.1. Traditional Uses
6.2. Anti-Hypercholesterolemic and Cardioprotective Effects
6.3. Antioxidant Potential of GSO
6.4. Wound Healing Effect
6.5. Antimicrobial Effect
7. Experimental and Clinical Studies
8. Pharmaceutical Use
8.1. Topic Application
8.2. Cosmetic Use
9. Considerations for Manufacturing and Developing GSO Products
10. Conclusions
Funding
Institutional Review Board Statement
Informed Consent Statement
Data Availability Statement
Acknowledgments
Conflicts of Interest
References
- Dimić, I.; Teslić, N.; Putnik, P.; Bursać Kovačević, D.; Zeković, Z.; Šojić, B.; Mrkonjić, Ž.; Čolović, D.; Montesano, D.; Pavlić, B. Innovative and Conventional Valorizations of Grape Seeds from Winery By-Products as Sustainable Source of Lipophilic Antioxidants. Antioxidants 2020, 9, 568. [Google Scholar] [CrossRef]
- Poljšak, N.; Kočevar Glavač, N. Vegetable Butters and Oils as Therapeutically and Cosmetically Active Ingredients for Dermal Use: A Review of Clinical Studies. Front Pharm. 2022, 13, 868461. [Google Scholar] [CrossRef] [PubMed]
- Kremmyda, L.S.; Tvrzicka, E.; Stankova, B.; Zak, A. Fatty acids as biocompounds: Their role in human metabolism, health and disease: A review. Part 2: Fatty acid physiological roles and applications in human health and disease. Biomed. Pap. Med. Fac. Palacky Univ. Olomouc 2011, 155, 195–218. [Google Scholar] [CrossRef] [PubMed]
- Badea, M.; Di Modugno, F.; Floroian, L.; Tit, D.M.; Restani, P.; Bungau, S.; Iovan, C.; Badea, G.E.; Aleya, L. Electrochemical strategies for gallic acid detection: Potential for application in clinical, food or environmental analyses. Sci. Total Environ. 2019, 672, 129–140. [Google Scholar] [CrossRef] [PubMed]
- Shah, M.; Murad, W.; Ur Rehman, N.; Mubin, S.; Al-Sabahi, J.N.; Ahmad, M.; Zahoor, M.; Ullah, O.; Waqas, M.; Ullah, S.; et al. GC-MS Analysis and Biomedical Therapy of Oil from n-Hexane Fraction of Scutellaria edelbergii Rech. f.: In Vitro, In Vivo, and In Silico Approach. Molecules 2021, 26, 7676. [Google Scholar] [CrossRef] [PubMed]
- Bogdan, M.A.; Bungau, S.; Tit, D.M.; Zaha, D.C.; Nechifor, A.C.; Behl, T.; Chambre, D.; Lupitu, A.I.; Copolovici, L.; Copolovici, D.M. Chemical Profile, Antioxidant Capacity, and Antimicrobial Activity of Essential Oils Extracted from Three Different Varieties (Moldoveanca 4, Vis Magic 10, and Alba 7) of Lavandula angustifolia. Molecules 2021, 26, 4381. [Google Scholar] [CrossRef] [PubMed]
- Burr, G.O.; Burr, M.M. A new deficiency disease produced by the rigid exclusion of fat from the diet. J. Biol. Chem. 1929, 82, 345–367. [Google Scholar] [CrossRef]
- Burr, G.O.; Burr, M.M. On the nature and role of the fatty acids essential in nutrition. J. Biol. Chem. 1930, 86, 587–621. [Google Scholar] [CrossRef]
- Kaur, N.; Chugh, V.; Gupta, A.K. Essential fatty acids as functional components of foods-a review. J. Food Sci. Technol. 2014, 51, 2289–2303. [Google Scholar] [CrossRef]
- Lutterodt, H.; Slavin, M.; Whent, M.; Turner, E.; Yu, L. Fatty acid composition, oxidative stability, antioxidant and antiproliferative properties of selected cold-pressed grape seed oils and flours. Food Chem. 2011, 128, 391–399. [Google Scholar] [CrossRef]
- Jara, C.P.; Mendes, N.F.; Prado, T.P.d.; de Araújo, E.P. Bioactive fatty acids in the resolution of chronic inflammation in skin wounds. Adv. Wound Care 2020, 9, 472–490. [Google Scholar] [CrossRef] [PubMed]
- Sampath, H.; Ntambi, J.M. Polyunsaturated fatty acid regulation of gene expression. Nutr. Rev. 2004, 62, 333–339. [Google Scholar] [CrossRef] [PubMed]
- Ferreri, C.; Chatgilialoglu, C. Lipidomic Profiles and Intervention Strategies in Prevention and Diseases. In Membrane Lipidomics for Personalized Health; Ferreri, C., Chatgilialoglu, C., Eds.; Wiley: Hoboken, NJ, USA, 2015; pp. 135–155. [Google Scholar]
- Oprea, O.B.; Apostol, L.; Bungau, S.; Cioca, G.; Samuel, A.D.; Badea, M.; Gaceu, L. Researches on the chemical composition and the rheological properties of wheat and grape epicarp flour mixes. Rev. Chim. 2018, 69, 70–75. [Google Scholar] [CrossRef]
- Balić, A.; Vlašić, D.; Žužul, K.; Marinović, B.; Bukvić Mokos, Z. Omega-3 versus omega-6 polyunsaturated fatty acids in the prevention and treatment of inflammatory skin diseases. Int. J. Mol. Sci. 2020, 21, 741. [Google Scholar] [CrossRef]
- Csakvari, A.C.; Andreea, L.P.; Bungau, S.; Gitea, M.; Gitea, D.; Tit, D.M.; Copolovici, L.; Nemeth, S.; Copolovici, D. Fatty acids profile and antioxidant activity of almond oils obtained from six Romanian varieties. Farmacia 2019, 67, 882–887. [Google Scholar] [CrossRef]
- Dabetic, N.M.; Todorovic, V.M.; Djuricic, I.D.; Antic Stankovic, J.A.; Basic, Z.N.; Vujovic, D.S.; Sobajic, S.S. Grape Seed Oil Characterization: A Novel Approach for Oil Quality Assessment. Eur. J. Lipid Sci. Technol. 2020, 122, 1900447. [Google Scholar] [CrossRef]
- Moisa, C.; Lupitu, A.; Pop, G.; Chambre, D.R.; Copolovici, L.; Cioca, G.; Bungau, S.; Copolovici, D.M. Variation of the chemical composition of Thymus vulgaris essential oils by phenological stages. Rev. Chim. 2019, 70, 633–637. [Google Scholar] [CrossRef]
- Sochorova, L.; Prusova, B.; Cebova, M.; Jurikova, T.; Mlcek, J.; Adamkova, A.; Nedomova, S.; Baron, M.; Sochor, J. Health effects of grape seed and skin extracts and their influence on biochemical markers. Molecules 2020, 25, 5311. [Google Scholar] [CrossRef]
- Page, M.J.; McKenzie, J.E.; Bossuyt, P.M.; Boutron, I.; Hoffmann, T.C.; Mulrow, C.D.; Shamseer, L.; Tetzlaff, J.M.; Akl, E.A.; Brennan, S.E. The PRISMA 2020 statement: An updated guideline for reporting systematic reviews. BMJ 2021, 372, n71. [Google Scholar] [CrossRef]
- Nassiri-Asl, M.; Hosseinzadeh, H. Review of the pharmacological effects of Vitis vinifera (Grape) and its bioactive compounds. Phytother. Res. 2009, 23, 1197–1204. [Google Scholar] [CrossRef]
- Nowshehri, J.A.; Bhat, Z.A.; Shah, M.Y. Pharmacognostic standardisation and phytochemical evaluation on the seeds of two Vitis vinefera L. varieties grown in Kashmir Valley, India. Pharmacogn. J. 2016, 8, 465–470. [Google Scholar] [CrossRef]
- Rombaut, N.; Savoire, R.; Thomasset, B.; Bélliard, T.; Castello, J.; Van Hecke, É.; Lanoisellé, J.-L. Grape seed oil extraction: Interest of supercritical fluid extraction and gas-assisted mechanical extraction for enhancing polyphenol co-extraction in oil. Comptes Rendus Chim. 2014, 17, 284–292. [Google Scholar] [CrossRef]
- Dos Santos Freitas, L.; de Oliveira, J.V.; Dariva, C.; Jacques, R.A.; Caramão, E.B. Extraction of grape seed oil using compressed carbon dioxide and propane: Extraction yields and characterization of free glycerol compounds. J. Agric. Food Chem. 2008, 56, 2558–2564. [Google Scholar] [CrossRef]
- Rombaut, N.; Savoire, R.; Thomasset, B.; Castello, J.; Van Hecke, E.; Lanoisellé, J.-L. Optimization of oil yield and oil total phenolic content during grape seed cold screw pressing. Ind. Crops Prod. 2015, 63, 26–33. [Google Scholar] [CrossRef]
- Celenk, V.U.; Gumus, Z.P.; Argon, Z.U.; Buyukhelvacigil, M.; Karasulu, E. Analysis of chemical compositions of 15 different cold-pressed oils produced in Turkey: A case study of tocopherol and fatty acid analysis. J. Turk. Chem. Soc. Sect. A Chem. 2018, 5, 1–18. [Google Scholar] [CrossRef]
- De Souza, R.d.C.; Machado, B.A.S.; Barreto, G.d.A.; Leal, I.L.; Anjos, J.P.d.; Umsza-Guez, M.A. Effect of experimental parameters on the extraction of grape seed oil obtained by low pressure and supercritical fluid extraction. Molecules 2020, 25, 1634. [Google Scholar] [CrossRef]
- Böger, B.R.; Salviato, A.; Valezi, D.F.; Di Mauro, E.; Georgetti, S.R.; Kurozawa, L.E. Optimization of ultrasound-assisted extraction of grape-seed oil to enhance process yield and minimize free radical formation. J. Sci. Food Agric. 2018, 98, 5019–5026. [Google Scholar] [CrossRef] [PubMed]
- Li, Y.; Skouroumounis, G.K.; Elsey, G.M.; Taylor, D.K. Microwave-assistance provides very rapid and efficient extraction of grape seed polyphenols. Food Chem. 2011, 129, 570–576. [Google Scholar] [CrossRef]
- Hong, N.; Yaylayan, V.A.; Vijaya Raghavan, G.S.; Paré, J.R.J.; Bélanger, J.M.R. Microwave-assisted Extraction of Phenolic Compounds from Grape Seed. Nat. Prod. Lett. 2001, 15, 197–204. [Google Scholar] [CrossRef]
- Cao, X.; Ito, Y. Supercritical fluid extraction of grape seed oil and subsequent separation of free fatty acids by high-speed counter-current chromatography. J. Chromatogr. A 2003, 1021, 117–124. [Google Scholar] [CrossRef]
- Ben Mohamed, H.; Duba, K.S.; Fiori, L.; Abdelgawed, H.; Tlili, I.; Tounekti, T.; Zrig, A. Bioactive compounds and antioxidant activities of different grape (Vitis vinifera L.) seed oils extracted by supercritical CO2 and organic solvent. LWT 2016, 74, 557–562. [Google Scholar] [CrossRef]
- Jakobović, M.; Kiš, D.; Aladić, K.; Jakobović, S.; Lončarić, M.; Jokić, S. Effect of Drying Method on Supercritical CO2 Extraction of Grape Seed Oil. Poljoprivreda 2019, 25, 81–88. [Google Scholar] [CrossRef]
- Wen, X.; Zhu, M.; Hu, R.; Zhao, J.; Chen, Z.; Li, J.; Ni, Y. Characterisation of seed oils from different grape cultivars grown in China. J. Food Sci. Technol. 2016, 53, 3129–3136. [Google Scholar] [CrossRef] [PubMed]
- Agostini, F.; Bertussi, R.A.; Agostini, G.; Atti Dos Santos, A.C.; Rossato, M.; Vanderlinde, R. Supercritical extraction from vinification residues: Fatty acids, α-tocopherol, and phenolic compounds in the oil seeds from different varieties of grape. Sci. World J. 2012, 2012, 790486. [Google Scholar] [CrossRef]
- Ma, Z.F.; Zhang, H. Phytochemical Constituents, Health Benefits, and Industrial Applications of Grape Seeds: A Mini-Review. Antioxidants 2017, 6, 71. [Google Scholar] [CrossRef] [PubMed]
- Martin, M.E.; Grao-Cruces, E.; Millan-Linares, M.C.; Montserrat-de la Paz, S. Grape (Vitis vinifera L.) Seed Oil: A Functional Food from the Winemaking Industry. Foods 2020, 9, 1360. [Google Scholar] [CrossRef] [PubMed]
- El-Beshbishy, H.A.; Mohamadin, A.M.; Abdel-Naim, A.B. In Vitro Evaluation of the Antioxidant Activities of Grape Seed (Vitis vinifera) Extract, Blackseed (Nigella sativa) Extract and Curcumin. J. Taibah Univ. Med. Sci. 2009, 4, 23–35. [Google Scholar] [CrossRef]
- Garavaglia, J.; Markoski, M.M.; Oliveira, A.; Marcadenti, A. Grape Seed Oil Compounds: Biological and Chemical Actions for Health. Nutr. Metab. Insights 2016, 9, 59–64. [Google Scholar] [CrossRef]
- Bombai, G.; Pasini, F.; Verardo, V.; Sevindik, O.; Di Foggia, M.; Tessarin, P.; Bregoli, A.M.; Caboni, M.F.; Rombolà, A.D. Monitoring of compositional changes during berry ripening in grape seed extracts of cv. Sangiovese (Vitis vinifera L.). J. Sci. Food Agric. 2017, 97, 3058–3064. [Google Scholar] [CrossRef]
- Mollica, A.; Scioli, G.; Della Valle, A.; Cichelli, A.; Novellino, E.; Bauer, M.; Kamysz, W.; Llorent-Martínez, E.J.; Fernández-de Córdova, M.L.; Castillo-López, R.; et al. Phenolic Analysis and In Vitro Biological Activity of Red Wine, Pomace and Grape Seeds Oil Derived from Vitis vinifera L. cv. Montepulciano d’Abruzzo. Antioxidants 2021, 10, 1704. [Google Scholar] [CrossRef]
- Yunoki, K.; Tanji, M.; Murakami, Y.; Yasui, Y.; Hirose, S.; Ohnishi, M. Fatty Acid Compositions of Commercial Red Wines. Biosci. Biotechnol. Biochem. 2005, 68, 2623–2626. [Google Scholar] [CrossRef]
- Crews, C.; Hough, P.; Godward, J.; Brereton, P.; Lees, M.; Guiet, S.; Winkelmann, W. Quantitation of the Main Constituents of Some Authentic Grape-Seed Oils of Different Origin. J. Agric. Food Chem. 2006, 54, 6261–6265. [Google Scholar] [CrossRef] [PubMed]
- Konuskan, D.B.; Kamiloglu, O.; Demirkeser, O. Fatty acid composition, total phenolic content and antioxidant activity of grape seed oils obtained by cold-pressed and solvent extraction. Indian J. Pharm. Educ. Res. 2019, 53, 144–150. [Google Scholar] [CrossRef]
- Đorđevski, N.; Stojković, D.; Živković, J.; Pljevljakušić, D.; Ristanović, E.; Nikolić, B.; Ćirić, A. Tamjanika, a Balkan native variety of Vitis vinifera L.: Chemical characterization, antibacterial, and anti-dermatomycosis potential of seed oil. Food Sci. Nutr. 2022, 10, 1312–1319. [Google Scholar] [CrossRef] [PubMed]
- Szabó, É.; Marosvölgyi, T.; Szilágyi, G.; Kőrösi, L.; Schmidt, J.; Csepregi, K.; Márk, L.; Bóna, Á. Correlations between Total Antioxidant Capacity, Polyphenol and Fatty Acid Content of Native Grape Seed and Pomace of Four Different Grape Varieties in Hungary. Antioxidants 2021, 10, 1101. [Google Scholar] [CrossRef]
- Sotiropoulou, E.; Varelas, V.; Liouni, M.; Nerantzis, E. Grape Seed Oil: From A Winery Waste to A Value Added Cosmetic Product—A Review. 2015. Available online: http://uest.ntua.gr/iwwatv/proceedings/presentations/21_May/SESSION_VI/grape_seed_oil_conference_presentationfinal.pdf (accessed on 15 September 2022).
- Kim, D.-J.; Jeon, G.; Sung, J.; Oh, S.-K.; Hong, H.-C.; Lee, J. Effect of grape seed oil supplementation on plasma lipid profiles in rats. Food Sci. Biotechnol. 2010, 19, 249–252. [Google Scholar] [CrossRef]
- Ziboh, V.A.; Miller, C.C.; Cho, Y. Metabolism of polyunsaturated fatty acids by skin epidermal enzymes: Generation of antiinflammatory and antiproliferative metabolites. Am. J. Clin. Nutr. 2000, 71, 361s–366s. [Google Scholar] [CrossRef]
- Ziboh, V.A.; Miller, C.C. Essential fatty acids and polyunsaturated fatty acids: Significance in cutaneous biology. Annu. Rev. Nutr. 1990, 10, 433–450. [Google Scholar] [CrossRef]
- Jiang, S.J.; Hwang, S.M.; Choi, E.H.; Elias, P.M.; Ahn, S.K.; Lee, S.H. Structural and functional effects of oleic acid and iontophoresis on hairless mouse stratum corneum. J. Investig. Derm. 2000, 114, 64–70. [Google Scholar] [CrossRef]
- Mack Correa, M.C.; Mao, G.; Saad, P.; Flach, C.R.; Mendelsohn, R.; Walters, R.M. Molecular interactions of plant oil components with stratum corneum lipids correlate with clinical measures of skin barrier function. Exp. Derm. 2014, 23, 39–44. [Google Scholar] [CrossRef]
- Tanojo, H.; Boelsma, E.; Junginger, H.E.; Ponec, M.; Boddé, H.E. In vivo human skin barrier modulation by topical application of fatty acids. Ski. Pharm. Appl. Ski. Physiol. 1998, 11, 87–97. [Google Scholar] [CrossRef]
- Kang, M.J.; Shin, M.S.; Park, J.N.; Lee, S.S. The effects of polyunsaturated:saturated fatty acids ratios and peroxidisability index values of dietary fats on serum lipid profiles and hepatic enzyme activities in rats. Br. J. Nutr. 2005, 94, 526–532. [Google Scholar] [CrossRef]
- Blaak, J.; Staib, P. An updated review on efficacy and benefits of sweet almond, evening primrose and jojoba oils in skin care applications. Int. J. Cosmet. Sci. 2022, 44, 1–9. [Google Scholar] [CrossRef]
- Horvath, G.; Wessjohann, L.; Bigirimana, J.; Monica, H.; Jansen, M.; Guisez, Y.; Caubergs, R.; Horemans, N. Accumulation of tocopherols and tocotrienols during seed development of grape (Vitis vinifera L. cv. Albert Lavallée). Plant Physiol. Biochem. 2006, 44, 724–731. [Google Scholar] [CrossRef] [PubMed]
- Ustun Argon, Z.; Celenk, V.U.; Gumus, Z.P. Cold pressed grape (Vitis vinifera) seed oil. In Cold Pressed Oils; Academic Press: Cambridge, MA, USA, 2020; pp. 39–52. [Google Scholar] [CrossRef]
- Michalak, M.; Kiełtyka-Dadasiewicz, A. Oils from fruit seeds and their dietetic and cosmetic significance. Herba Pol. 2018, 64, 63–70. [Google Scholar] [CrossRef]
- Bouymajane, A.; Oulad El Majdoub, Y.; Cacciola, F.; Russo, M.; Salafia, F.; Trozzi, A.; Rhazi Filali, F.; Dugo, P.; Mondello, L. Characterization of Phenolic Compounds, Vitamin E and Fatty Acids from Monovarietal Virgin Olive Oils of “Picholine marocaine” Cultivar. Molecules 2020, 25, 5428. [Google Scholar] [CrossRef]
- Choi, Y.; Lee, J. Antioxidant and antiproliferative properties of a tocotrienol-rich fraction from grape seeds. Food Chem. 2009, 114, 1386–1390. [Google Scholar] [CrossRef]
- Sabir, A.; Unver, A.; Kara, Z. The fatty acid and tocopherol constituents of the seed oil extracted from 21 grape varieties (Vitis spp.). J. Sci. Food Agric. 2012, 92, 1982–1987. [Google Scholar] [CrossRef]
- Bada, J.; León-Camacho, M.; Copovi, P.; Alonso, L. Characterization of grape seed oil from wines with protected denomination of origin (PDO) from Spain. Grasas Aceites 2015, 66, e085. [Google Scholar]
- Behl, T.; Bungau, S.; Kumar, K.; Zengin, G.; Khan, F.; Kumar, A.; Kaur, R.; Venkatachalam, T.; Tit, D.M.; Vesa, C.M. Pleotropic Effects of Polyphenols in Cardiovascular System. Biomed. Pharmacother. 2020, 130, 110714. [Google Scholar] [CrossRef]
- Pardo, J.E.; Fernández, E.; Rubio, M.; Alvarruiz, A.; Alonso, G.L. Characterization of grape seed oil from different grape varieties (Vitis vinifera). Eur. J. Lipid Sci. Technol. 2009, 111, 188–193. [Google Scholar] [CrossRef]
- Beveridge, T.H.J.; Girard, B.; Kopp, T.; Drover, J.C.G. Yield and Composition of Grape Seed Oils Extracted by Supercritical Carbon Dioxide and Petroleum Ether: Varietal Effects. J. Agric. Food Chem. 2005, 53, 1799–1804. [Google Scholar] [CrossRef] [PubMed]
- Alizadeh, A.; Rofehgarinejad, L.; Darabi Amin, M.; Hosseinzadeh Moghbeli, A.H. Fatty acid, phytosterols and tochopherol content of grape seed oil from juicer by-products. Minerva Biotecnol. 2016, 28, 7–11. [Google Scholar]
- Shinagawa, F.B.; Santana, F.C.d.; Araujo, E.; Purgatto, E.; Mancini-Filho, J. Chemical composition of cold pressed Brazilian grape seed oil. Food Sci. Technol. 2017, 38, 164–171. [Google Scholar] [CrossRef]
- Li, F.-X.; Li, F.-H.; Yang, Y.-X.; Yin, R.; Ming, J. Comparison of phenolic profiles and antioxidant activities in skins and pulps of eleven grape cultivars (Vitis vinifera L.). J. Integr. Agric. 2019, 18, 1148–1158. [Google Scholar] [CrossRef]
- Šikuten, I.; Štambuk, P.; Andabaka, Ž.; Tomaz, I.; Marković, Z.; Stupić, D.; Maletić, E.; Kontić, J.K.; Preiner, D. Grapevine as a Rich Source of Polyphenolic Compounds. Molecules 2020, 25, 5604. [Google Scholar] [CrossRef]
- Padilla-González, G.F.; Grosskopf, E.; Sadgrove, N.J.; Simmonds, M.S.J. Chemical Diversity of Flavan-3-Ols in Grape Seeds: Modulating Factors and Quality Requirements. Plants 2022, 11, 809. [Google Scholar] [CrossRef]
- Vujasinović, V.; Bjelica, M.; Čorbo, S.; Dimić, S.; Rabrenović, B. Characterization of the chemical and nutritive quality of cold-pressed grape seed oils produced in the Republic of Serbia from different red and white grape varieties. Grasas Aceites 2021, 72, 0222201. [Google Scholar] [CrossRef]
- Matthäus, B. Virgin grape seed oil: Is it really a nutritional highlight? Eur. J. Lipid Sci. Technol. 2008, 110, 645–650. [Google Scholar] [CrossRef]
- Kabbas, T., Jr.; de Moura, C.; do Carmo, M.A.V.; Azevedo, L.; Esmerino, L.A.; Tardivo, R.C.; Kilpeläinen, P.; Granato, D. Chemical Composition, Antioxidant, Antimicrobial and Cytotoxic/Cytoprotective Activity of Non-Polar Extracts of Grape (Vitis labrusca cv. Bordeaux) and Blackberry (Rubus fruticosus) Seeds. Molecules 2021, 26, 4057. [Google Scholar]
- Kapcsándi, V.; Hanczné Lakatos, E.; Sik, B.; Linka, L.Á.; Székelyhidi, R. Characterization of fatty acid, antioxidant, and polyphenol content of grape seed oil from different Vitis vinifera L. varieties. Oilseeds Fats Crops Lipids 2021, 28, 30. [Google Scholar] [CrossRef]
- Canuti, V.; Frost, S.; Lerno, L.; Tanabe, C.; Zweigenbaum, J.; Zanoni, B.; Ebeler, S. Chemical Characteristics of Sangiovese Wines from California and Italy of 2016 Vintage. J. Agric. Food Chem. 2019, 67, 2647–2659. [Google Scholar] [CrossRef]
- Fermo, P.; Comite, V.; Sredojević, M.; Ćirić, I.; Gašić, U.; Mutić, J.; Baošić, R.; Tešić, Ž. Elemental Analysis and Phenolic Profiles of Selected Italian Wines. Foods 2021, 10, 158. [Google Scholar] [CrossRef]
- Ky, I.; Lorrain, B.; Kolbas, N.; Crozier, A.; Teissedre, P.-L. Wine by-Products: Phenolic Characterization and Antioxidant Activity Evaluation of Grapes and Grape Pomaces from Six Different French Grape Varieties. Molecules 2014, 19, 482–506. [Google Scholar] [CrossRef]
- Rasines-Perea, Z.; Ky, I.; Cros, G.; Crozier, A.; Teissedre, P.-L. Grape Pomace: Antioxidant Activity, Potential Effect Against Hypertension and Metabolites Characterization after Intake. Diseases 2018, 6, 60. [Google Scholar] [CrossRef]
- Mirabal, Y.; Caramantin Soriano, M.; Olate-Olave, V.; Guzmán, L.; Pyarasani, R.; John, A.; Laurie, F. Characterization of five Chilean agribusiness by-products and their potential use as food supplements. Emir. J. Food Agric. 2021, 33, 607–612. [Google Scholar] [CrossRef]
- Osorio-Macías, D.; Vásquez, P.; Carrasco Villanueva, C.; Bergenståhl, B.; Peñarrieta, M. Resveratrol, phenolic antioxidants, and saccharides in South American red wines. Int. J. Wine Res. 2018, 10, 1–11. [Google Scholar] [CrossRef]
- Belmiro, T.M.C.; Pereira, C.F.; Paim, A.P.S. Red wines from South America: Content of phenolic compounds and chemometric distinction by origin. Microchem. J. 2017, 133, 114–120. [Google Scholar] [CrossRef]
- Xu, C.; Zhang, Y.; Wang, J.; Lu, J. Extraction, distribution and characterisation of phenolic compounds and oil in grapeseeds. Food Chem. 2010, 122, 688–694. [Google Scholar] [CrossRef]
- Janu, C.; Kumar, D.R.S.; Reshma, M.V.; Jayamurthy, P.; Sundaresan, A.; Nisha, P. Comparative Study on the Total Phenolic Content and Radical Scavenging Activity of Common Edible Vegetable Oils. J. Food Biochem. 2014, 38, 38–49. [Google Scholar] [CrossRef]
- Yilmaz, Y.; Göksel, Z.; Erdoğan, S.S.; Öztürk, A.; Atak, A.; Özer, C. Antioxidant Activity and Phenolic Content of Seed, Skin and Pulp Parts of 22 Grape (Vitis vinifera L.) Cultivars (4 Common and 18 Registered or Candidate for Registration). J. Food Process. Preserv. 2015, 39, 1682–1691. [Google Scholar] [CrossRef]
- Yu, J.; Smith, I.; Carver, J.; Holmes, B. Fatty Acid Composition of Grape Seed Oil as Affected by Grape Variety and Extraction Solvent. EC Nutr. 2021, 16, 51–58. [Google Scholar]
- Lin, T.-K.; Zhong, L.; Santiago, J.L. Anti-Inflammatory and Skin Barrier Repair Effects of Topical Application of Some Plant Oils. Int. J. Mol. Sci. 2018, 19, 70. [Google Scholar] [CrossRef] [PubMed]
- Burin, V.M.; Ferreira-Lima, N.E.; Panceri, C.P.; Bordignon-Luiz, M.T. Bioactive compounds and antioxidant activity of Vitis vinifera and Vitis labrusca grapes: Evaluation of different extraction methods. Microchem. J. 2014, 114, 155–163. [Google Scholar] [CrossRef]
- Yalcin, H.; Kavuncuoglu, H.; Ekici, L.; Sagdic, O. Determination of Fatty Acid Composition, Volatile Components, Physico-Chemical and Bioactive Properties of Grape (Vitis vinifera) Seed and Seed Oil. J. Food Process. Preserv. 2017, 41, e12854. [Google Scholar] [CrossRef]
- Bocsan, I.C.; Pop, R.M.; Sabin, O.; Sarkandy, E.; Boarescu, P.-M.; Roşian, Ş.H.; Leru, P.M.; Chedea, V.S.; Socaci, S.A.; Buzoianu, A.D. Comparative Protective Effect of Nigella sativa Oil and Vitis vinifera Seed Oil in an Experimental Model of Isoproterenol-Induced Acute Myocardial Ischemia in Rats. Molecules 2021, 26, 3221. [Google Scholar] [CrossRef] [PubMed]
- Bail, S.; Stuebiger, G.; Krist, S.; Unterweger, H.; Buchbauer, G. Characterisation of various grape seed oils by volatile compounds, triacylglycerol composition, total phenols and antioxidant capacity. Food Chem. 2008, 108, 1122–1132. [Google Scholar] [CrossRef]
- Navas, P.B. Chemical composition of the virgin oil obtained by mechanical pressing form several grape seed varieties (Vitis vinifera L.) with emphasis on minor constituents. Arch. Lat. Nutr. 2009, 59, 214–219. [Google Scholar]
- Fiume, M.M.; Bergfeld, W.F.; Belsito, D.V.; Hill, R.A.; Klaassen, C.D.; Liebler, D.C.; Marks, J.G., Jr.; Shank, R.C.; Slaga, T.J.; Snyder, P.W.; et al. Safety assessment of Vitis vinifera (grape)-derived ingredients as used in cosmetics. Int. J. Toxicol. 2014, 33, 48s–83s. [Google Scholar] [CrossRef]
- Terral, J.F.; Tabard, E.; Bouby, L.; Ivorra, S.; Pastor, T.; Figueiral, I.; Picq, S.; Chevance, J.B.; Jung, C.; Fabre, L.; et al. Evolution and history of grapevine (Vitis vinifera) under domestication: New morphometric perspectives to understand seed domestication syndrome and reveal origins of ancient European cultivars. Ann. Bot. 2010, 105, 443–455. [Google Scholar] [CrossRef]
- Cappellini, E.; Gilbert, M.T.; Geuna, F.; Fiorentino, G.; Hall, A.; Thomas-Oates, J.; Ashton, P.D.; Ashford, D.A.; Arthur, P.; Campos, P.F.; et al. A multidisciplinary study of archaeological grape seeds. Naturwissenschaften 2010, 97, 205–217. [Google Scholar] [CrossRef] [PubMed]
- Harutyunyan, M.; Malfeito-Ferreira, M. The Rise of Wine among Ancient Civilizations across the Mediterranean Basin. Heritage 2022, 5, 788–812. [Google Scholar] [CrossRef]
- Joshi, V.K.; Joshi, A.; Dhiman, K.S. The Ayurvedic Pharmacopoeia of India, development and perspectives. J. Ethnopharmacol. 2017, 197, 32–38. [Google Scholar] [CrossRef]
- Nadkarni, K.M. Indian Materia Medica: With Ayurvedic, Unani-Tibbi, Siddha, Allopathic, Homeopathic, Naturopathic & Home Remedies, Appendices & Indexes; Dr. KM Nadkarni’s Indian Materia Medica; Popular Prakashan: Bombay, India, 1996; Volume 1. [Google Scholar]
- Bungau, S.; Popa, V.-C. Between Religion and Science: Some Aspects: Concerning Illness and Healing in Antiquity. Transylv. Rev. 2015, 24, 3–19. [Google Scholar]
- Sabra, A.; Netticadan, T.; Wijekoon, C. Grape bioactive molecules, and the potential health benefits in reducing the risk of heart diseases. Food Chem. X 2021, 12, 100149. [Google Scholar] [CrossRef]
- Gorinstein, S.; Leontowicz, H.; Leontowicz, M.; Lojek, A.; Číž, M.; Krzeminski, R.; Zachwieja, Z.; Jastrzebski, Z.; Delgado-Licon, E.; Martin-Belloso, O.; et al. Seed oils improve lipid metabolism and increase antioxidant potential in rats fed diets containing cholesterol. Nutr. Res. 2003, 23, 317–330. [Google Scholar] [CrossRef]
- Zhang, J.S.; Zhang, S.J.; Li, Q.; Liu, Y.H.; He, N.; Zhang, J.; Zhou, P.H.; Li, M.; Guan, T.; Liu, J.R. Tocotrienol-rich fraction (TRF) suppresses the growth of human colon cancer xenografts in Balb/C nude mice by the Wnt pathway. PLoS ONE 2015, 10, e0122175. [Google Scholar] [CrossRef]
- Lu, Y.; Zhang, Y.; Xu, D.; Wang, Y.; Pan, D.; Wang, P.; Xia, J.; Yin, S.; Liao, W.; Wang, S.; et al. Tocotrienol-Rich Fractions Offer Potential to Suppress Pulmonary Fibrosis Progression. Int. J. Mol. Sci. 2022, 23, 14331. [Google Scholar] [CrossRef]
- Magalingam, K.B.; Ramdas, P.; Somanath, S.D.; Selvaduray, K.R.; Bhuvanendran, S.; Radhakrishnan, A.K. Tocotrienol-Rich Fraction and Levodopa Regulate Proteins Involved in Parkinson’s Disease-Associated Pathways in Differentiated Neuroblastoma Cells: Insights from Quantitative Proteomic Analysis. Nutrients 2022, 14, 4632. [Google Scholar] [CrossRef]
- Palmieri, B.; Gozzi, G.; Palmieri, G. Vitamin E Added Silicone Gel Sheets for Treatment of Hypertrophic Scars and Keloids. Int. J. Dermatol. 1995, 34, 506–509. [Google Scholar] [CrossRef]
- Vitale, S.; Colanero, S.; Placidi, M.; Di Emidio, G.; Tatone, C.; Amicarelli, F.; D’Alessandro, A.M. Phytochemistry and Biological Activity of Medicinal Plants in Wound Healing: An Overview of Current Research. Molecules 2022, 27, 3566. [Google Scholar] [CrossRef] [PubMed]
- Moalla Rekik, D.; Ben Khedir, S.; Ksouda Moalla, K.; Kammoun, N.G.; Rebai, T.; Sahnoun, Z. Evaluation of wound healing properties of grape seed, sesame, and fenugreek oils. Evid. Based Complement. Altern. Med. 2016, 2016, 7965689. [Google Scholar] [CrossRef]
- Oliveira, D.A.; Salvador, A.A.; Smânia, A.; Smânia, E.F.A.; Maraschin, M.; Ferreira, S.R.S. Antimicrobial activity and composition profile of grape (Vitis vinifera) pomace extracts obtained by supercritical fluids. J. Biotechnol. 2013, 164, 423–432. [Google Scholar] [CrossRef] [PubMed]
- Shivananda Nayak, B.; Dan Ramdath, D.; Marshall, J.R.; Isitor, G.; Xue, S.; Shi, J. Wound-healing Properties of the Oils of Vitis vinifera and Vaccinium macrocarpon. Phytother. Res. 2011, 25, 1201–1208. [Google Scholar] [CrossRef]
- Niknami, E.; Sajjadi, S.E.; Talebi, A.; Minaiyan, M. Protective Effect of Vitis vinifera (Black Grape) Seed Extract and Oil on Acetic Acid-Induced Colitis in Rats. Int. J. Prev. Med. 2020, 11, 102. [Google Scholar] [CrossRef] [PubMed]
- Ismail, A.F.M.; Salem, A.A.M.; Eassawy, M.M.T. Hepatoprotective effect of grape seed oil against carbon tetrachloride induced oxidative stress in liver of γ-irradiated rat. J. Photochem. Photobiol. B Biol. 2016, 160, 1–10. [Google Scholar] [CrossRef] [PubMed]
- Al-Warhi, T.; Zahran, E.M.; Selim, S.; Al-Sanea, M.M.; Ghoneim, M.M.; Maher, S.A.; Mostafa, Y.A.; Alsenani, F.; Elrehany, M.A.; Almuhayawi, M.S.; et al. Antioxidant and Wound Healing Potential of Vitis vinifera Seeds Supported by Phytochemical Characterization and Docking Studies. Antioxidants 2022, 11, 881. [Google Scholar] [CrossRef]
- Lai, X.; Kang, X.; Zeng, L.; Li, J.; Yang, Y.; Liu, D. The protective effects and genetic pathways of thorn grape seeds oil against high glucose-induced apoptosis in pancreatic β-cells. BMC Complement. Altern. Med. 2014, 14, 10. [Google Scholar] [CrossRef]
- Sharif, A.; Akhtar, N.; Khan, M.S.; Menaa, A.; Menaa, B.; Khan, B.A.; Menaa, F. Formulation and evaluation on human skin of a water-in-oil emulsion containing Muscat hamburg black grape seed extract. Int. J. Cosmet. Sci. 2015, 37, 253–258. [Google Scholar] [CrossRef]
- Kaseb, F.; Biregani, A.N. Effects of olive oil and grape seed oil on lipid profile and blood pressure in patients with hyperlipidemia: A randomized clinical trial. Food Nutr. Sci. 2016, 7, 682. [Google Scholar] [CrossRef]
- Navaee, M.; Rakhshkhorshid, M. Comparing the Effect of Foot Massage with Grape Seed Oil and Sweet Almond Oil on Physiological Leg Edema in Primigravidae: A Randomized Clinical Trial. Evid. Based Complement. Altern. Med. 2020, 2020, 6835814. [Google Scholar] [CrossRef]
- Davidov-Pardo, G.; McClements, D.J. Nutraceutical delivery systems: Resveratrol encapsulation in grape seed oil nanoemulsions formed by spontaneous emulsification. Food Chem. 2015, 167, 205–212. [Google Scholar] [CrossRef] [PubMed]
- Heuschkel, S.; Shukla, A.; Neubert, R.H. Use of microemulsions for topical drug delivery. In Percutaneous Absorption; CRC Press: Boca Raton, FL, USA, 2005; pp. 737–754. [Google Scholar]
- Scomoroscenco, C.; Teodorescu, M.; Burlacu, S.G.; Gîfu, I.C.; Mihaescu, C.I.; Petcu, C.; Raducan, A.; Oancea, P.; Cinteza, L.O. Synergistic Antioxidant Activity and Enhanced Stability of Curcumin Encapsulated in Vegetal Oil-Based Microemulsion and Gel Microemulsions. Antioxidants 2022, 11, 854. [Google Scholar] [CrossRef] [PubMed]
- Lu, L.; Yang, P.; Chen, T.; Shen, Y.; Yao, Q.; Yan, J. Changes in Biological Activities after Olive Oil, Pomegranate Seed Oil, and Grape Seed Oil were Formulated into Self-Nanoemulsifying Systems. J. Oleo Sci. 2020, 69, 161–166. [Google Scholar] [CrossRef]
- Sun, L.; Wang, H.; Li, X.; Lan, S.; Wang, J.; Yu, D. Ultrasonic-assisted preparation of α-Tocopherol/casein nanoparticles and application in grape seed oil emulsion. Ultrason. Sonochem. 2021, 80, 105810. [Google Scholar] [CrossRef] [PubMed]
- Pratiwi, G.; Ramadhiani, A.R.; Shiyan, S. Understanding the combination of fractional factorial design and chemometrics analysis for screening super-saturable quercetin-self nano emulsifying components. Pharmacia 2022, 69, 273–284. [Google Scholar] [CrossRef]
- Gonçalves, S.; Gaivão, I. Natural Ingredients Common in the Trás-os-Montes Region (Portugal) for Use in the Cosmetic Industry: A Review about Chemical Composition and Antigenotoxic Properties. Molecules 2021, 26, 5255. [Google Scholar] [CrossRef]
- Vermaak, I.; Kamatou, G.P.P.; Komane-Mofokeng, B.; Viljoen, A.M.; Beckett, K. African seed oils of commercial importance—Cosmetic applications. S. Afr. J. Bot. 2011, 77, 920–933. [Google Scholar] [CrossRef]
- Afiq, M.A.; Rahman, R.A.; Man, Y.C.; Al-Kahtani, H.; Mansor, T. Date seed and date seed oil. Int. Food Res. J. 2013, 20, 2035. [Google Scholar]
- Baroi, A.M.; Popitiu, M.; Fierascu, I.; Sărdărescu, I.-D.; Fierascu, R.C. Grapevine Wastes: A Rich Source of Antioxidants and Other Biologically Active Compounds. Antioxidants 2022, 11, 393. [Google Scholar] [CrossRef]
- Ratz-Łyko, A.; Arct, J. Resveratrol as an active ingredient for cosmetic and dermatological applications: A review. J. Cosmet. Laser Ther. 2019, 21, 84–90. [Google Scholar] [CrossRef] [PubMed]
- Saewan, N.; Jimtaisong, A. Natural products as photoprotection. J. Cosmet. Dermatol. 2015, 14, 47–63. [Google Scholar] [CrossRef] [PubMed]
- Pallag, A.; Bungau, S.; Tit, D.M.; Tünde, J.; Sirbu, V.; Honiges, A.; Horhogea, C. Comparative Study of Polyphenols, Flavonoids and Chlorophylls in Equisetum arvense L. Populations. Rev. Chim. 2016, 67, 530–533. [Google Scholar]
- Grape Seed Oil Face Cream®, Ecco Verde. Available online: https://www.ecco-verde.com/dienikolai/grape-seed-oil-face-care (accessed on 11 September 2022).
- Lanolin Cream with Grape Seed®, Healthy Care. Available online: https://healthycare.com.au/products/lanolin-cream-with-grape-seed-100g (accessed on 12 September 2022).
- Apivita Wine Elixir Thick Texture Cream®. Available online: https://www.drmax.ro/apivita-wine-elixir-crema-rich-50ml?gclid=CjwKCAjw4JWZBhApEiwAtJUN0GldotodTKigWHcZHnRsTos6FnB1rs_D5KeF6Rr1sGrfW7NoXLkakxoCtFYQAvD_BwE (accessed on 12 September 2022).
- Fruit Pigmented Cream Foundation, Ecco Verde. Available online: https://www.ecco-verde.com/100-pure/fruit-pigmented-cream-foundation (accessed on 14 September 2022).
- Face and Body Oil, Nacomi Grape Seed Oil®. Available online: https://makeup.ro/product/431642/?gclid=CjwKCAjw4JWZBhApEiwAtJUN0L8BnYY18mLGxsRUzFhYDjrUxUyD0BFmhvtazgLJ8Qicj6tXCTq6qhoCwwgQAvD_BwE (accessed on 14 September 2022).
- Graoe Seed Oil, The Secret Soap Store Grape Seed Oil 100%®. Available online: https://makeup.ro/product/568462/?gclid=CjwKCAjw4JWZBhApEiwAtJUN0Ja86A_jS7_iAk_4J7s8CEd7uuf-ezFf9_MwvIW8BBbdJ1yCXvdVIBoCok0QAvD_BwE (accessed on 15 September 2022).
- Natural Beauty Products® by Hillinger Cosmetics. Available online: https://www.ecco-verde.com/hillinger-cosmetics (accessed on 15 September 2022).
- Johnson’s Body Wash—Vita-Rich®, Revitalising Grape Seed Oil. Available online: https://www.kanbkam.com/ae/en/johnsons-body-wash-vitarich-revitalising-grape-seed-oil-250ml-B07NZ19531 (accessed on 11 September 2022).
- Johnson’s Body Care®, Soap, Grape Seed Oil Nourishing. Available online: https://www.kanbkam.com/eg/en/johnsons-soap-grape-seed-oil-nourishing-2724626549146-B098TXWDD6 (accessed on 10 September 2022).
- Clbio Cleansing Pack®—Coconut, Grape Seed, Apricot Kernel, Avocado, Schisandra Chinensis Fruit, Castor Soap. Available online: https://dailymed.nlm.nih.gov/dailymed/drugInfo.cfm?setid=3adfd40f-c433-14aa-e054-00144ff8d46c (accessed on 12 September 2022).
- Vinicius de Oliveira Brisola Maciel, M.; da Rosa Almeida, A.; Machado, M.H.; Elias, W.C.; Gonçalves da Rosa, C.; Teixeira, G.L.; Noronha, C.M.; Bertoldi, F.C.; Nunes, M.R.; Dutra de Armas, R.; et al. Green synthesis, characteristics and antimicrobial activity of silver nanoparticles mediated by essential oils as reducing agents. Biocatal. Agric. Biotechnol. 2020, 28, 101746. [Google Scholar] [CrossRef]
- Rajeshwaran, N.; Ramamurthy, J.; Rajeshkumar, S. Green Synthesis of Grape Seed Oil Mediated Silver Nanoparticle and Preparation of Gel-For Periodontal Diseases. Plant Cell Biotechnol. Mol. Biol. 2020, 21, 32–42. [Google Scholar]
- Rajeshwaran, N.; Ramamurthy, J.; Rajeshkumar, S. Evaluation of Antioxidant and Anti Inflammatory Activity of Grape Seed Oil Infused With Silver Nano-particles an In Vitro Study. Int. J. Dent. Oral Sci. 2021, 8, 3318–3322. [Google Scholar]










| Grape Variety/Source | Method and Extraction Conditions | Oil Yield % (w/w) | TOTAL (%) | Refs. | |||||
|---|---|---|---|---|---|---|---|---|---|
| SFA | MUFA | PUFA | UFA | PUFA/SFA | |||||
| Red grapes/ Italy | Sangiovese | Fully automated Soxhlet system n-hexane/isopropanol, 80 °C, 6 h | 7.0 | 7.3 | 13.2 | 46 | 59.2 | 6.0 | [40] | 
| Montepulciano d’Abruzzo | Decoction in n-hexane, 60% MeOH/H2O | 10.2 | 11.6 | 18.7 | 69.8 | 88.5 | 7.5 | [41] | |
| White grapes/ France | Pinot Noir | Soxhlet, Chloroform, 70 °C, 6 h | - | 13.0 | 17.8 | 69.3 | 87,1 | 5 | [42,43] | 
| White grapes/ Serbia | Smederevka | Soxhlet Chloroform, 70 °C, 6 h | 14.7 | 14.6 | 17.5 | 67.8 | 85.3 | 5 | [17] | 
| Tamjanika | 17.2 | 16.1 | 19.8 | 63.6 | 83.4 | 4 | |||
| Rhine Riesling | 15.5 | 16.0 | 16.0 | 66.8 | 82.9 | 4 | |||
| Welschriesling | 15.7 | 14.9 | 17.5 | 67.1 | 84.5 | 4.5 | |||
| Chardonnay | 17.4 | 14.9 | 18.3 | 66.0 | 84.4 | 4.5 | |||
| Sauvignon Blanc | 17.0 | 15.9 | 16.1 | 67.9 | 84.0 | 4 | |||
| Red grapes/ Turkey | Syrah | Soxhlet n-hexane 80 °C, 6 h | 7.7 | 12.5 | 21.9 | 65.3 | 87.2 | 5 | [44] | 
| Cold-pressed Bligh and Dyer extraction | - | 12.4 | 21.9 | 64.9 | 86.8 | 5 | |||
| Merlot | Soxhlet n-hexane 80 °C, 6 h | 5.6 | 11.3 | 17.7 | 70.8 | 88.5 | 6 | ||
| Cold-pressed Bligh and Dyer extraction | - | 11.2 | 21.4 | 70.0 | 91.4 | 6 | |||
| Sangiovese | Soxhlet n-hexane 80 °C, 6 h | 4.9 | 11.1 | 20.9 | 67.7 | 88.7 | 6 | ||
| Cold-pressed Bligh and Dyer extraction | - | 11.0 | 21.6 | 67.0 | 88.7 | 6 | |||
| Cabernet Sauvignon | Soxhlet n-hexane 80 °C, 6 h | 5.6 | 13.8 | 20.3 | 68.1 | 88.4 | 5 | ||
| Cold-pressed Bligh and Dyer extraction | - | 12.6 | 20.4 | 65.8 | 85.3 | 5 | |||
| White grapes/ Turkey | Sauvignon Blanc | Soxhlet n-hexane 80 °C, 6 h | 7.1 | 13.6 | 18.7 | 67.3 | 86.0 | 5 | [44] | 
| Cold-pressed Bligh and Dyer extraction | - | 13.8 | 18.5 | 67.3 | 85.9 | 5 | |||
| Red grapes/ Serbia | Mixture of Cabernet Sauvignon, Merlot and Pinot noir 65:30:5 (m/m/m) | Supercritical fluid extraction 350 bar, 60 °C | 12.2 | 12.0 | 13.5 | 74.4 | 87.9 | 6 | [1] | 
| Ultrasound-assisted extraction n-hexane, 40 kHz, 50 °C, 40 min | - | 11.2 | 13.8 | 74.8 | 88.7 | 7 | |||
| Microwave-assisted extraction n-hexane, 600 W, 15 min | - | 11.9 | 16.3 | 71.7 | 88.0 | 6.0 | |||
| Soxhlet n-hexane, 6 h, 15 exchanges of extract | - | 11.6 | 14.1 | 74.2 | 88.3 | 6.5 | |||
| White grapes/ Serbia | Mixture of Chardonnay, Sauvignon Blanc, Riesling 60:30:10 (m/m/m) | Supercritical fluid CO2 extraction 350 bars, 60 °C | 11.8 | 12.2 | 17.7 | 70.0 | 87.7 | 6.0 | [1] | 
| Ultrasound-assisted extraction n-hexane, 40 kHz, 50 °C, 40 min | - | 12.1 | 18.5 | 69.3 | 87.8 | 6.0 | |||
| Microwave-assisted extraction n-hexane, 600 W, 15 min | - | 11.7 | 18.0 | 70.2 | 88.2 | 6.0 | |||
| Soxhlet n-hexane, 6 h, 15 exchanges of extract | - | 12.1 | 18.6 | 69.2 | 87.8 | 6.0 | |||
| Red grapes/ Brazil | Syrah | Soxhlet n-hexan, 6 h, 60–70 °C | -- | 34.8 | 7.3 | 57.8 | 65.1 | 2.0 | [27] | 
| Soxhlet n-hexan, 6 h 60–70 °C ultrasound pretreatment 30 °C, 30 min | - | 30.8 | 6.9 | 62.1 | 69.1 | 2.0 | |||
| Cold extraction Chloroform | - | 32.9 | 6.7 | 60.3 | 67.0 | 2.0 | |||
| Cold extraction Chloroform ultrasound pretreatment 30 °C, 30 min | 30.8 | 6.4 | 62.7 | 69.2 | 2.0 | ||||
| Supercritical fluid CO2 50 MPa, 50 °C, 6 g/min, 1.5 h | 12.3 | 31.5 | 5.6 | 62.7 | 68.4 | 2.0 | |||
| Supercritical fluid CO250 MPa, 50 °C, 6 g/min, 1.5 h ultrasound pretreatment | 13.9 | 31.5 | 5.6 | 62.8 | 68.5 | 2.0 | |||
| White grapes/ Serbia | Tamjanika | Soxhlet n-hexane 60 °C, 6 h | - | 11.0 | 7.4 | 81.4 | 88.9 | 8.0 | [45] | 
| Red grapes/ Hungary | Blue Portugal | Cold-pressed Bligh and Dyer extraction | 9.5 | 14.2 | 16.5 | 68.8 | 85.4 | 6.0 | [46] | 
| Syrah | 12.1 | 13.0 | 14.2 | 72.3 | 85.4 | 7.0 | |||
| Pinot Noir | 13.9 | 12.3 | 17.9 | 69.4 | 81.7 | 7.0 | |||
| Cabernet Sauvignon | 13.5 | 13.2 | 14.4 | 72.0 | 85.2 | 6.0 | |||
| Grape Variety/Source | Extracting Method | TPC (mg GAE/kg Oil) | Bioactivity | Refs. | |
|---|---|---|---|---|---|
| White grapes/Hungary | Italian Riesling | Soxhlet-extraction petroleum ether 70 °C, 3 h | 1.08 | FRAP | [74] | 
| Cabernet Franc | 0.28 | ||||
| Királyleányka | 1.13 | ||||
| Sauvignon Blanc | 0.61 | ||||
| Rhine Riesling | 0.65 | ||||
| Red grapes/Hungary | Pinot Noir | 0.24 | |||
| Merlot | 0.97 | ||||
| Lemberger | 0.28 | ||||
| Red grapes/Italy | Montepulciano | Extraction n-hexane | 12.03 | antioxidant properties antimicrobial, anti-inflammatory activity | [41] | 
| Sangiovese | Soxhlet n-hexane 80 °C 6 h | 1.71 | DPPH-scavenging capacity | [39,75] | |
| White grapes/Italy | Ribolla Gialla | Soxhlet n-hexane 80 °C 6 h | 0.81 | DPPH-scavenging capacity | [76] | 
| Pinot Grigio | 1.37 | ||||
| Red grapes/France | Grenache | Soxhlet, n-hexane 80 °C 6 h Crude extracts were solubilized in water/ethanol followed by Folin-Ciocalteu assay | 19.50 | Antioxidant Activity (FRAP, DPPH) | [77,78] | 
| Syrah | 24.30 | ||||
| Carignan Noir | 25.10 | ||||
| Mourvèdre | 26.30 | ||||
| Counoise | 20.50 | ||||
| Alicante Bouchet | 31.60 | ||||
| White grapes/Chile | Chardonnay | Soxhlet n-hexane 80 °C 6 h | 371.50 | Antioxidant Activity (FRAP, DPPH) | [79] | 
| Red grapes/Chile | Syrah | 327.00 | |||
| Red grapes/Argentina | Cabernet Sauvignon | Soxhlet n-hexane 80 °C 6 h | 97.57 | Antioxidant Activity (FRAP, DPPH) | [80,81] | 
| Syrah | 96.20 | ||||
| White grapes/China | Chardonnay | Supercritical CO2 extraction (28 MPa, 45 °C, 25 kg/h, 75 min) | 46.60 | DPPH- scavenging capacity | [34] | 
| Red grapes/China | Merlot | 80.68 | |||
| Cabernet Sauvignon | 98.19 | ||||
| White grapes/Serbia | Smederevka | Soxhlet extraction chloroform 6 h, 70 °C | 104.30 | Antioxidant Activity (FRAP, DPPH) Antimicrobial Activity | [17] | 
| Tamjanika | 76.10 | ||||
| Rhine Riesling | 94.30 | ||||
| Welschriesling | 91.30 | ||||
| Chardonnay | 73.40 | ||||
| Sauvignon Blanc | 100.50 | ||||
| Red grapes/Turkey | Syrah | Soxhlet n-hexane 80 °C 6 h | 182.59 | DPPH radical scavenging effect | [44] | 
| Cold-pressed Bligh and Dyer extraction | 148.21 | ||||
| Merlot | Soxhlet n-hexane 80 °C 6 h | 148.52 | |||
| Cold-pressed Bligh and Dyer extraction | 151.51 | ||||
| Sangiovese | Soxhlet n-hexane 80 °C 6 h | 352.29 | |||
| Cold-pressed Bligh and Dyer extraction | 177.30 | ||||
| Cabernet Sauvignon | Soxhlet n-hexane 80 °C 6 h | 452.99 | |||
| Cold-pressed Bligh and Dyer extraction | 182.41 | ||||
| White grapes/Turkey | Sauvignon Blanc | Soxhlet n-hexane 80 °C 6 h | 128.81 | DPPH radical scavenging effect | [44] | 
| Cold-pressed Bligh and Dyer Extraction | 102.55 | ||||
| Red grapes/Serbia | Merlot | Cold pressing | 12.66 | Evaluation of the free radical scavenging effect on DPPH radicals | [71] | 
| Hamburg | 44.69 | ||||
| White grapes/Serbia | Italian Riesling | 9.29 | |||
| Sila-Serbian autochthonous | 11.94 | ||||
| Grape Variety | Identification Methods | Volatile Compounds | Ref. | 
|---|---|---|---|
| Solaris grape oil, from the cold-pressed seed of Vitis vinifera L. | GC–MS | Hexanal, 1-butanol 3-methyl-acetate, α-pinene, furan 2-pentyl-, hexanoic acid, ethyl ester, d-limonene, octanoic acid ethyl ester | [89] | 
| Virgin grape oils from white and red grapes | HS-SPME coupled to GC–MS | Caproic acid (hexanoic acid), pentanal, hexanal, 2-hexenal, heptanal, trans-2-heptenal and 2-heptanone, 2,3-butandiole, 3- methyl butanol, 2-methylbutanol, hexanol, and ethyl hexanoate, α-pinene, limonene | [90] | 
| Grape seeds oil obtained by mechanical pressing from Syrah, Tintorera varieties and a mixture of Tempranillo, Merlot, and Syrah | SPME and chromatographic analyses | n-octanol, Hexanal, E-2-pentanal, 2-Pentilfurano, Hexan-1-ol, E-2-octenal, Trans-2-hexenal, 1-butanol, 1,3 butanediol, 2,3 butanediol, 1-butanol-3-methylacetato, Heptanal, Pentanol, Styrene, α-pinene, Limonene | [91] | 
| Main Objective | Conclusion | Ref. | 
|---|---|---|
| Animal Models | ||
| Rats with excision wounds were used to test the wound-healing properties of cranberry and grape oil | Animals that were administered cranberry and grape oil had considerably more hydroxyproline in their granulation tissue | [108] | 
| Analyze the anti-ulcerogenic and anti-inflammatory properties of Vitis vinifera seed extracts (BGSE) and oil (BGSO) in rat experimental colitis | After oral treatment, the hydroalcoholic extract and black grape seed oil displayed protective and prophylactic actions on the acute model of experimental ulcerative colitis, and this effect was highly dosage dependent | [109] | 
| This investigation looked at the impact of GSO on acute liver damage brought on by carbon tetrachloride in rats exposed to γ radiation (7 Gy) | Due to its powerful antioxidant, anti-apoptotic and anti-inflammatory properties, GSO has protective effects on CCl4-induced acute liver injury in γ-irradiated rats | [110] | 
| Used an excision wound model to investigate the in vivo wound healing ability of Vitis vinifera seed extract with emphasis on wound healing therapeutic targets | In contrast to the Mebo®-treated group, the wound healing data showed that V. vinifera seed extract increased wound closure rates, increased VEGF and TGF-β levels, and considerably decreased IL-1β and TNF-α levels | [111] | 
| Cells culture | ||
| By assessing insulin levels and cell apoptosis rates, this study intended to assess the impact of TGSO on elevated glucose-induced Rattus pancreatic β-cell death and identify its signal transduction pathway processes. | The experiment’s findings demonstrated that grape seed oil, which has 87% unsaturated fatty acids, can greatly lower pancreatic β-cell apoptosis and defend pancreatic β-cells | [112] | 
| Individuals | ||
| Compare the effects of a stable water-in-oil (W/O) emulsion with 2% M. Hamburg grape seed extract, to a placebo (the “base”) on human cheek skin | The presented grape-based lotion could be used effectively and safely to treat a variety of skin issues (e.g., hyper-pigmentation, acne, premature ageing) | [113] | 
| To evaluate how olive oil and grape seed oil influence blood pressure and serum lipids in subjects with hyperlipidemia in 2015 | Altogether, the benefits of grape seed oil and olive oil were superior to those of the control group. Yet, due to its more advantageous effects, replacing dietary lipids with olive oil is advised | [114] | 
| To assess the impact of foot massage on physiological leg edema in pregnant women when applying sweet almond oil and grape seed oil | This study supported the usefulness of foot massage to alleviate pregnancy-related physiological edema. Sweet almond and GSO were used. | [115] | 
| Pharmaceutical Form | Ingredients | Use/Effect of GSO | Ref. | 
|---|---|---|---|
| Microemulsion | Grape seed oil as oily phase (7.6%), water (23.7%), surfactant–cosurfactant mixture Tween 80 and Plurol® Diisostearique CG (45.2 and 15.1%, respectively), ethanol as the co-solvent (8.4%) | Curcumin’s antioxidant stability is preserved through an improved microemulsion that shields it from external degradants | [118] | 
| Gel microemulsion | Microemulsion GSO and three polymers Carbopol® 980 NF, sodium hyaluronate, and chitosan | Antioxidant | [118] | 
| Nanoemulsifying systems | GSO Cremophor EL, polyethylene glycol 400 | Antioxidant activity, and antibacterial activity towards E. coli, B. subtillis, and Yeast | [119] | 
| Nanoemulsifying systems | GSO Nanoparticles α-Tocopherol/casein | Antioxidant | [120] | 
| Nano emulsions | 10% oil phase (GSO plus orange oil) 10% surfactant (Tween 80) 80% aqueous phase | Based delivery systems to encapsulate resveratrol | [116] | 
| Nano emulsion | Grape seed oil 19.6%, croduret at 60%, and polyethylene glycol 400 as co-surfactant with a concentration of 16.6% | Increasing the solubility and bioavailability of quercetin. | [121] | 
| Name of the Product | Cosmetical Form | Use/Effect of GSO | Ref. | 
|---|---|---|---|
| Die Nikolai GSO face cream Nikolaihof Wachau, Austria | Cream | Antioxidants | [129] | 
| Lanolin cream with grape seed (Health care Australia, Chatswood, Australia) | Cream | Linoleic acid from grape seed oil has a considerable amount of antioxidants which are excellent for minimizing signs of skin ageing | [130] | 
| Wine elixir cream with a dense texture (Apivita, Markopoulo Mesogaias, Greece) | Cream | Moisturizes, antiaging effect | [131] | 
| Pigmented cream foundation (100% Pure, San Jose, CA, USA) | Foundation + powder in one | Light and mattifying effect | [132] | 
| Nacomi grape seed oil (Biokera, Wegierska Gorka, Poland) | Oil | Hydration, nutrition, revitalization for the face and neck | [133] | 
| Grape seed oil (Apivita) Markopoulo Mesogaias, Greece | Oil | Hydration, nutrition, softening | [134] | 
| Grape seed scrub (Hillinger Cosmetics, Jois, Austria) | Scrub | Gentle antiaging care for a fresher-looking complexion | [135] | 
| Body wash–vita-rich (Johnson’s, London, UK) | Shower gel | Revitalizing | [136] | 
| Soap (Johnson’s, London, UK) | Solid soap | Cleanse, hydration | [137] | 
| CLBiO Cleansing (CLBiO Co., Ltd. Seocho-gu Seoul, South Korea) | Solid soap | Cleanse, skin protector | [138] | 
| Disclaimer/Publisher’s Note: The statements, opinions and data contained in all publications are solely those of the individual author(s) and contributor(s) and not of MDPI and/or the editor(s). MDPI and/or the editor(s) disclaim responsibility for any injury to people or property resulting from any ideas, methods, instructions or products referred to in the content. | 
© 2023 by the authors. Licensee MDPI, Basel, Switzerland. This article is an open access article distributed under the terms and conditions of the Creative Commons Attribution (CC BY) license (https://creativecommons.org/licenses/by/4.0/).
Share and Cite
Gitea, M.A.; Bungau, S.G.; Gitea, D.; Pasca, B.M.; Purza, A.L.; Radu, A.-F. Evaluation of the Phytochemistry–Therapeutic Activity Relationship for Grape Seeds Oil. Life 2023, 13, 178. https://doi.org/10.3390/life13010178
Gitea MA, Bungau SG, Gitea D, Pasca BM, Purza AL, Radu A-F. Evaluation of the Phytochemistry–Therapeutic Activity Relationship for Grape Seeds Oil. Life. 2023; 13(1):178. https://doi.org/10.3390/life13010178
Chicago/Turabian StyleGitea, Manuel Alexandru, Simona Gabriela Bungau, Daniela Gitea, Bianca Manuela Pasca, Anamaria Lavinia Purza, and Andrei-Flavius Radu. 2023. "Evaluation of the Phytochemistry–Therapeutic Activity Relationship for Grape Seeds Oil" Life 13, no. 1: 178. https://doi.org/10.3390/life13010178
APA StyleGitea, M. A., Bungau, S. G., Gitea, D., Pasca, B. M., Purza, A. L., & Radu, A.-F. (2023). Evaluation of the Phytochemistry–Therapeutic Activity Relationship for Grape Seeds Oil. Life, 13(1), 178. https://doi.org/10.3390/life13010178
 
        

 
       