A Study on the Phenotypic Variation of 103 Cucumber (Cucumis sativus L.) Landraces for the Development of Desirable Cultivars Suitable for the Changing Climate
Abstract
:1. Introduction
2. Material and Methods
2.1. Experimental Site
2.2. Experimental Materials, Methods, and Other Operations
2.3. Statistical Analysis
2.3.1. Estimates of Variability Parameter
2.3.2. Phenotypic and Genotypic Variance
Phenotypic Variance
2.3.3. Genotypic and Phenotypic Coefficients of Variation
2.3.4. Estimation of Heritability
2.3.5. Estimation of Genetic Advance
3. Results
3.1. Qualitative Traits
3.2. Analysis of Variance
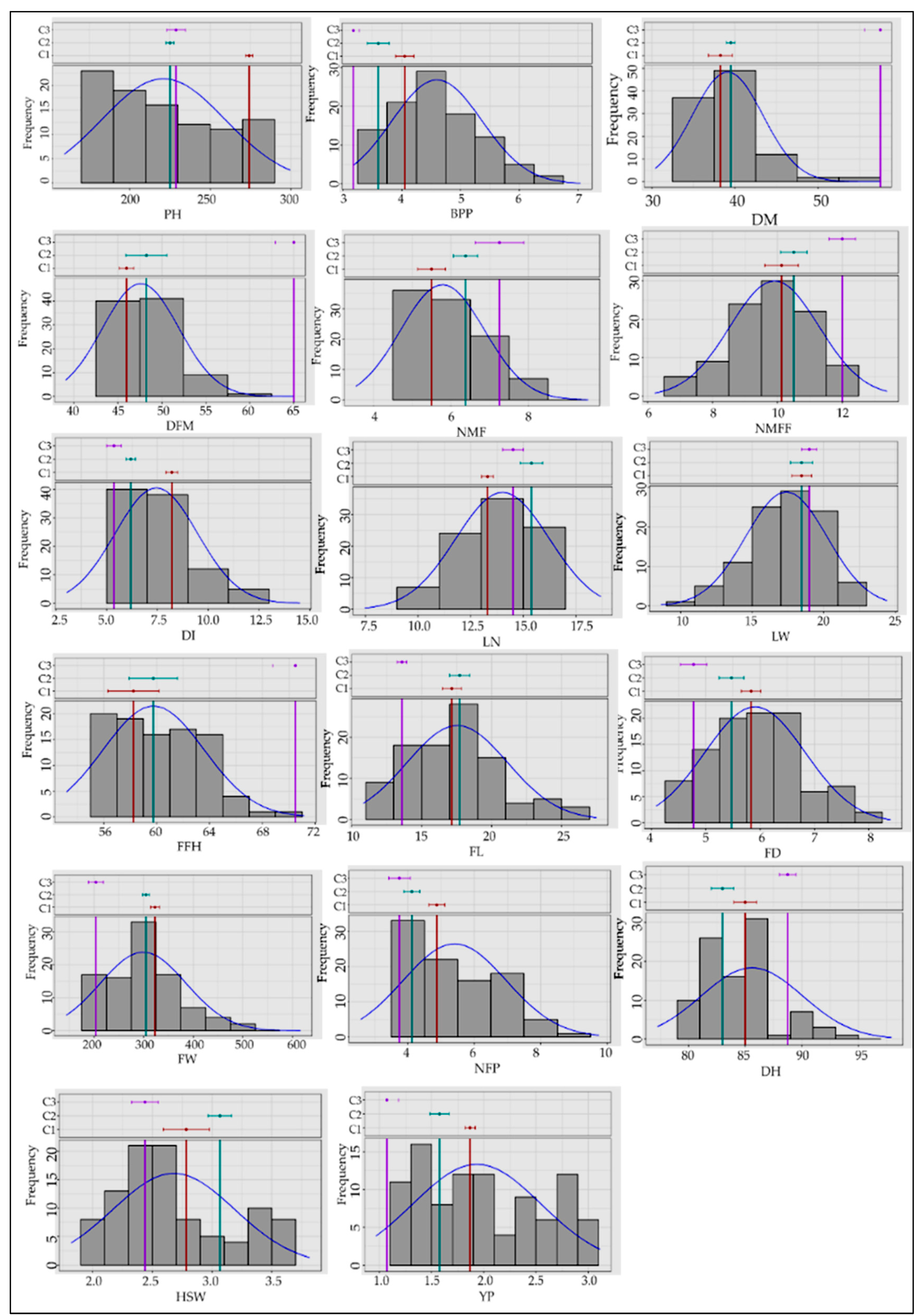
3.3. Descriptive Statistics
3.4. Genetic Variability Component
3.5. Analysis of the Correlation Matrix
3.6. Multivariate Analysis
3.6.1. Principal Component Analysis
3.6.2. PCA Biplot
3.6.3. Heatmap Analysis
3.6.4. Multi-Trait Index Based on Factor Analysis and Genotype–Ideotype Distance (MGIDI)
4. Discussion
4.1. Qualitative Traits
4.2. Descriptive Statistics of Quantitative Traits
4.3. Genetic Variability Component
4.4. Correlation Matrix
4.5. Multivariate Analysis
4.5.1. Principal Component Analysis
4.5.2. PCA Biplot
4.5.3. Heatmap Analysis
4.5.4. Multi-Trait Index Based on Factor Analysis and Genotype–Ideotype Distance (MGIDI)
5. Conclusions
Author Contributions
Funding
Institutional Review Board Statement
Informed Consent Statement
Data Availability Statement
Acknowledgments
Conflicts of Interest
References
- Miah, M.G.; Rahman, M.A.; Rahman, M.M.; Saha, S.R. Impacts of climate variability on major food crops in selected agro-ecosystems of Bangladesh. Ann. Bangladesh Agric. 2016, 20, 61–74. [Google Scholar]
- Amin, M.R.; Zhang, J.; Yang, M. Effects of climate change on the yield and cropping area of major food crops: A case of Bangladesh. Sustainability 2015, 7, 898–915. [Google Scholar] [CrossRef]
- Sarker, M.A.R.; Alam, K.; Gow, J. Exploring the relationship between climate change and rice yield in Bangladesh: An analysis of time series data. Agric. Sys. 2012, 112, 11–16. [Google Scholar] [CrossRef]
- Heeb, L.; Jenner, E.; Cock, M.J. Climate-smart pest management: Building resilience of farms and landscapes to changing pest threats. J. Pest. Sci. 2019, 92, 951–969. [Google Scholar] [CrossRef]
- Deutsch, C.A.; Tewksbury, J.J.; Tigchelaar, M.; Battisti, D.S.; Merrill, S.C.; Huey, R.B.; Naylor, R.L. Increase in crop losses to insect pests in a warming climate. Science 2018, 361, 916–919. [Google Scholar] [CrossRef]
- Zavala, J.A.; Casteel, C.L.; DeLucia, E.H.; Berenbaum, M.R. Anthropogenic increase in carbon dioxide compromises plant defense against invasive insects. Proc. Natl. Acad. Sci. USA 2008, 105, 5129–5133. [Google Scholar] [CrossRef] [PubMed]
- Rashid, M.S.; Hossain, M.A.; Islam, M.N.; Haque, M.; Bhandar, B.M.; Uddin, I.; Hossain, A.; Shahabuddin, M.; Biswas, S.N.; Uddin, J.; et al. Saline Soils of Bangladesh; SRMAF Project Report; Soil Resource Development Institute; Ministry of Agriculture, Government of the People’s Republic of Bangladesh: Dhaka, Bangladesh, 2010; p. 62. [Google Scholar]
- Jarvis, A.; Lane, A.; Hijmans, R.J. The effect of climate change on crop wild relatives. Agric. Ecosyst. Environ. 2008, 126, 13–23. [Google Scholar] [CrossRef]
- Department of Environment. The Fifth National Report of Bangladesh to the Convention on Biological Diversity; Ministry of Environment and Forest, Government of the People’s Republic of Bangladesh: Bangladesh, Dhaka, 2015. [Google Scholar]
- Sitterly, W.R. Breeding for disease resistance in Cucurbits. Annu. Rev. Plant Phytopathol. 1972, 10, 471–490. [Google Scholar] [CrossRef]
- Kirkbride, J.H., Jr. Biosystematics Monograph of the Genus Cucumis (Cucurbitaceae); Parkway Publishers: Boone, NC, USA, 1993; p. 159. [Google Scholar]
- Perl-Treves, R.; Galun, E. The Cucumis plastome: Physical map, intrageneric variation and phylogenetic relationships. Theor. Appl. Genet. 1985, 71, 417–429. [Google Scholar] [CrossRef] [PubMed]
- Ali, M.; Miah, A.K.; Mamun, E.A. Improvement of Some Cucurbits. In Breeding High Female Bitter Less Cucumber, Proceedings of the Workshop IPSA, Gazipur, Bangladesh, 9–10 March 1993; ISPA: Gazipur, Bangladesh, 1993. [Google Scholar]
- Rashid, M.M. Sabgi Biggan; Rashid Publishing House: Daaca, Bangladesh, 1999; p. 303. (In Bangla) [Google Scholar]
- Afangideh, U.; Uyoh, E.A.; Ittah, M.; Uko, A.E. Morphological characterization of some cultivars of cucumber (Cucumis sativus L.). J. Sust. Trop. Agric. Res. 2005, 14, 13–18. [Google Scholar]
- Subramanian, A.; Subbaraman, N. Hierarchical cluster analysis of genetic diversity in maize germplasm. Electron. J. Plant Breed. 2010, 1, 431–436. [Google Scholar]
- Darvasi, A.; Soller, M. Selective DNA pooling for determination of linkage between a molecular marker and a quantitative trait locus. Genetics 1994, 138, 1365–1373. [Google Scholar] [CrossRef]
- Smith, J.S.C.; Smith, O.S. The description and assessment of distances between inbred lines of maize: The utility of morphological, biochemical and genetic descriptors and a scheme for the testing of distinctiveness between inbred lines. Maydica 1989, 34, 151–161. [Google Scholar]
- Olivoto, T.; Nardino, M. MGIDI: Toward an effective multivariate selection in biological experiments. Bioinformatics 2021, 37, 1383–1389. [Google Scholar] [CrossRef]
- FRG. Fertilizer Recommendation Guide. Bangladesh Agricultural Research Council (BARC); Farmgate: Dhaka, Bangladesh, 2012; p. 274. [Google Scholar]
- ECPGR Secretariat. Minimum Descriptors for Cucurbita spp., Cucumber, Melon and Watermelon; European Cooperative Program for Plant Genetic Resources: Brussels, Belgium, 2008; pp. 5–6. [Google Scholar]
- UPOV. Guidelines for the Conduct of Test for Distinctness, Uniformity and Stability for Cucumber, Gherkin (Cucumis sativus L.); International Union for the Protection of New Varieties of Plants: Geneva, Switzerland, 2007. [Google Scholar]
- Shannon, C.; Weaver, W. The Mathematical Theory of Communication; University of Illions Press: Urbana, IL, USA, 1949. [Google Scholar]
- Jain, S.K.; Qualset, C.O.; Bhatt, G.M.; Wu, K.K. Geographical patterns of phenotypic diversity in a world collection of durum wheat. Crop Sci. 1975, 15, 700–704. [Google Scholar] [CrossRef]
- Pinherio, J.; Bates, D.; DebRoy, S.; Deepayan, S.; Team, R.C. Linear and Nonlinear Mixed Effects Models. R Package Version 3.1-145. 2007, Volume 3, pp. 1–89. Available online: https://ftp.uni-bayreuth.de/math/statlib/R/CRAN/doc/packages/nlme.pdf (accessed on 15 July 2022).
- Aravind, J.; Mukesh, S.; Wankhede, D.; Kaur, V. Augmented RCBD: Analysis of Augmented Randomised Complete Block Designs. R Package Version 0.1. 2020, Volume 2. Available online: https://aravind-j.github.io/augmentedRCBD/ (accessed on 15 July 2022).
- Johnson, H.W.; Robinson, H.F.; Comstock, R.E. Estimates of genetic and environmental variability in soybeans. Agron. J. 1955, 47, 314–318. [Google Scholar] [CrossRef]
- Hanson, C.H.; Robinson, H.F.; Comstock, R.E. Biometrical studies of yield in segregating populations of korean lespedeza. Agron. J. 1956, 48, 268–272. [Google Scholar] [CrossRef]
- Burton, G.W.; DeVane, E.H. Estimating heritability in tall fescue (Festuca arundinacea) from replicated clonal material. Agron. J. 1953, 45, 478–481. [Google Scholar] [CrossRef]
- Lush, J.L. Heritability of Quantitative Characters in Farm Animals. In Heritability of Quantitative Characters in Farm Animals; CABI: Wallingford, UK, 1949; pp. 356–375. [Google Scholar]
- Burton, G.W. Quantitative Inheritance in Grasses. In Proceedings of the 6th International Grassland Congress, State College, PA, USA, 17–23 August 1952; pp. 277–283. [Google Scholar]
- Robinson, H.F.; Cornstock, R.E.; Harvey, P.H. Estimates of heritability and degree of dominance in corn. Agron. J. 1949, 41, 353–359. [Google Scholar] [CrossRef]
- Wickham, H.; Chang, W.; Wickham, M.H. Package ‘ggplot2′. Create elegant data visualisations using the grammar of graphics. R Package Version. 2016, Volume 2, pp. 1–189.
- Carrillo-Perdomo, E.; Vidal, A.; Kreplak, J.; Duborjal, H.; Leveugle, M.; Duarte, J.; Desmetz, C.; Deulvot, C.; Raffiot, B.; Marget, P. Development of new genetic resources for faba bean (Vicia faba L.) breeding through the discovery of gene-based SNP markers and the construction of a high-density consensus map. Sci. Rep. 2020, 10, 6790. [Google Scholar] [CrossRef]
- Rashidi, M.; Salmani, K.A.; Zand, B. Agro-Morphological characterization and assessment of variability in local germplasm of Cucumis melo L. In Iran. Agric. Eng. Res. J. 2017, 7, 30–35. [Google Scholar]
- Zhang, C.; Pratap, A.S.; Natarajan, S.; Pugalendhi, L.; Kikuchi, S.; Sassa, H.; Senthil, N.; Koba, T. Evaluation of Morphological and Molecular Diversity Among South Asian Germplasm of Cucumis Sativus and Cucumis Melo. ISRN Agron. 2012, 2012, 134134. [Google Scholar] [CrossRef]
- Kumar, S.; Kumar, D.; Kumar, R.; Thakur, K.S.; Dogra, B.S. Estimation of genetic variability and divergence for fruit yield and quality traits in cucumber (Cucumis sativus L.) in North-Western Himalays. Univers. J. Plant Sci. 2013, 1, 27–36. [Google Scholar] [CrossRef]
- Pal, S.; Sharma, H.R.; Rai, A.K.; Bhardwaj, R.K. Genetic variability, heritability and genetic gain for yield and quality traits in cucumber (Cucumis sativus L.). Bioscan 2016, 11, 1985–1990. [Google Scholar]
- Raza, A.; Ayyub, C.M.; Ghani, M.A.; Ahmed, N. Assessment of morphological diversity among indigenous cucumber germpalsm of Pakistan. Pak. J. Agric. Sci. 2020, 57, 1573–1580. [Google Scholar]
- Grandillo, S.; Hsin-Mei, K.; Tanksley, S.D. Characterization of a major QTL influencing fruit shape in tomato. Mol. Breed. 1996, 2, 251–260. [Google Scholar] [CrossRef]
- Esteras, C.; Diez, M.J.; Pico, B.; Sifires, A.; Valcarcel, J.V.; Nuez, F. Diversity of Spanish Landraces of Cucumis sativus and cucurbita ssp. Cucurbitaceae. In Proceedings of the IXth Eucarpia Meeting on Genetics and Breeding of Cucurbitaceae, Avignon, France, 21–24 May 2008; pp. 67–76. [Google Scholar]
- Kennard, W.C.; Havey, M.J. Quantitative trait analysis of fruit quality in cucumber: QTL detection, confirmation and comparison with mating-design variation. Theor. Appl. Genet. 1995, 91, 53–61. [Google Scholar]
- Ahmed, M.; Abdul, H.; Zarqa, A. Growth and yield performance of six cucumber (Cucumis sativus L.) cultivars under agro-climatic conditions of Rawalakot, Azad Jammu and Kashmir. Int. J. Agric. 2004, 6, 396–399. [Google Scholar]
- Balkaya, A.; Kurtar, E.S.; Yanmaz, R.; Ozbakir, M. Investigation on Collecting, Characterization and Utilization of Winter Squash and Pumpkin Genetic Resources in the Black Sea Region; The Scientific and Technical Research (TUBITAK) Project No. 104-144: Ankara, Turkey, 2005. [Google Scholar]
- Ferriol, M.; Pico, B. Pumpkin and Winter Squash. In Handbook of Plant Breeding: Volume 1. Vegetables, Prohens, J., Nuez, F., Eds.; Springer: Berlin/Heidelberg, Germany, 2008; pp. 317–349. [Google Scholar]
- Gwanama, C.; Labuschange, M.T.; Botha, A.M. Analysis of genetic variation in Cucurbita moschata by random amplified polymorphic DNA (RAPD) markers. Euphytica 2000, 113, 19–24. [Google Scholar] [CrossRef]
- Al-Rawahi, M.; Al-Said, F.; Khan, I.A.; Al-Khanjary, S. Diversity of cucumber accessions in Oman. Int. J. Agric. Biol. 2011, 13, 505–510. [Google Scholar]
- Maliki, A.; Staub, J.E.; Zhangyong, S.; Ghorbel, A. Genetic diversity in African cucumber (Cucumis sativus L.) provides potential for germplasm enhancement. Gen. Res. Crop Evol. 2003, 50, 461–468. [Google Scholar] [CrossRef]
- Staub, J.E.; Serguen, F.C.; Horejsi, T.; Chen, J.F. Genetic diversity in cucumber (Cucumis sativus L.): IV. An evaluation of Chinese germplasm. Genet. Res. Crop. Evol. 1999, 46, 297–310. [Google Scholar] [CrossRef]
- Abusaleha; Dutta, O.P. Study on variability, heritability and scope of improvement in cucumber. Haryana. J. Hort. Sci. 1990, 19, 349–352. [Google Scholar]
- Hossain, M.D.F.; Rabbani, M.G.; Hakim, M.A.; Amanullah, A.S.M.; Ahsanullah, A.S.M. Study on variability character association and yield performance of cucumber (Cucumis sativus L.). Bangl. Res. Pub. J. 2010, 4, 297–311. [Google Scholar]
- Sharma, A.K.; Vidyasagr, N.; Pathania, K. Studies on combining ability for earliness and marketable fruit yield in cucumber (Cucumis sativus L.). Himachal J. Agric. Res. 2000, 26, 54–61. [Google Scholar]
- Prasad, K.; Singh, D.P. Standardized potency and combining ability in slicing cucumber (Cucumis sativus L.). Indian J. Hort. 1994, 51, 77–84. [Google Scholar]
- Munshi, A.D.; Kumar, R.; Panda, B. Studies on genetic components of varieties. Indian J. Horti. 2006, 63, 213–214. [Google Scholar]
- Soleimani, A.; Ahmadikah, A. Performance of different greenhouse cucumber cultivars (Cucumis sativus L.) in southern Iran. Afr. J. Biotech. 2009, 8, 4077–4083. [Google Scholar]
- Munshi, A.D.; Panda, B.; Behera, T.K.; Kumar, R. Genetic variability in Cucumis sativus var. hardwickii R. (Alef.) germplasm. Cucurbit Genet. Coop. Rep. 2007, 30, 5–10. [Google Scholar]
- Ullah, M.Z.; Hasan, M.J.; Chowdhary, A.Z.M.K.A.; Saki, A.I.; Rahman, A.H.M.A. Genetic variability and correlation in exotic cucumber (Cucumis sativus L.) varieties. Bangladesh J. Plant Breed. Genet. 2012, 25, 17–23. [Google Scholar] [CrossRef]
- Veena, R.; Sidhu, A.S.; Pitchaimuthu, M.; Souravi, K. Genetic evaluation of cucumber (Cucumis sativus L.) genotypes for some yield and related traits. Electron. J. Plant Breed. 2012, 3, 945–948. [Google Scholar]
- Hasan, R.; Hossain, M.K.; Alam, N.; Bashar, A.; Islam, S.; Tarafder, M.J.A. Genetic divergence in commercial cucumber (Cucumis sativus L.) genotypes. Bangladesh J. Bot. 2015, 44, 201–207. [Google Scholar] [CrossRef]
- Khan, Z.; Shah, A.H.; Gul, R.; Mazid, A.; Khan, U.; Ahmad, H. Morpho-agronomic characterization of cucumber germplasm for yield and yield associated traits. Int. J. Agron. Agric. Res. 2015, 6, 1–6. [Google Scholar]
- Ranjan, P.; Gangopadhyay, K.K.; Bag, M.K.; Roy, A.; Srivastava, R.; Bhardwaj, R.; Dutta, M. Evaluation of cucumber (Cucumis sativus L.) germplasm for agronomic traits and disease resistance and estimation of genetic variability. Indian J. Agric. Sci. 2015, 85, 234–239. [Google Scholar]
- Pushpalatha, N.; Anjanappa, M.; Pitchaimuthu, M. Genetic variability and heritability for growth and yield of cucumber (Cucumis sativus L.). Green Farm. 2017, 8, 6–10. [Google Scholar]
- Kanwar, M.S.; Rana, M. Genetic divergence and gene source studies in cucumber (Cucumis sativus L.). Indian J. Plant Genet. Res. 2006, 19, 221–225. [Google Scholar]
- Sharma, J.R. Statistical and Biometrical Techniques in Plant Breeding; New Age International Limited Publishers: New Delhi, India, 1988; p. 432. [Google Scholar]
- Eid, M.H. Estimation of heritability and genetic advance of yield traits in wheat (Triticum aestivum L.) under drought conditions. Int. J. Genet. Mol. Biol. 2009, 1, 115–120. [Google Scholar]
- Ndukauba, J.; Nwofia, G.E.; Okocha, P.I.; Ene-Obong, E.E. Variability in Egusi-Melon genotypes (Citrullus lanatus) in derived Savannah environment in South-Eastern Nigeria. Int. J. Plant Res. 2015, 5, 19–26. [Google Scholar]
- Gaikwad, A.G.; Musmade, A.M.; Dhumal, S.S.; Sonawane, H.G. Variability studies in cucumber (Cucumis sativus L.). Ecol. Environ. Conserv. 2011, 17, 799–802. [Google Scholar]
- Banerjee, S.; Verma, A.; Bisht, Y.S.; Maurya, P.; Jamir, I.; Mondal, S.; Bhattacharjee, T.; Chattopadhyay, A. Genetic variability, correlation coefficient and path coefficient analysis in brinjal germplasm. Int. J. Chem. Stud. 2018, 6, 3069–3073. [Google Scholar]
- Pushpalatha, N.; Anjanappa, M.; Devappa, V.; Pitchaimuthu, M. Genetic variability and heritability for growth and yield in Cucumber (Cucumis sativus L.). J. Hort. Sci. 2016, 11, 33–36. [Google Scholar]
- Tazeen, M.; Nadia, K.; Farzana, N.N. Heritability, phenotypic correlation and path coefficient studies for some agronomic characters in synthetic elite lines of wheat. J. Food Agric. Environ. 2009, 7, 278–282. [Google Scholar]
- Eifediyi, E.K.; Remison, S.U.; Okaka, V.B. Relationship between morphological characters, dry matter yield and fruit yield of cucumber. Int. J. Agric. Biotech. 2005, 3, 4–5. [Google Scholar]
- Lawal, A.B. Response of Cucumber (Cucumis sativus L.) to Intercropping with Maize (Zea mays L.) and Varying Rates of Farmyard Manure and Inorganic Fertilizer. Ph.D. Thesis, Ahmadu Bello University, Zaria, Nigeria, 2000; p. 268. [Google Scholar]
- Olfati, J.A.; Samizadeh, H.; Peyvast, G.; Rabiei, B.; Khodaparast, S.A. Parental line selection for cucumber hybrid seed production by principal components analysis. Int. J. Veg. Sci. 2010, 16, 316–325. [Google Scholar] [CrossRef]
- Chikezie, O.E.; Ogbonna, P.E.; Agbo, C.U.; Chukwudi, U.P. Studies of phenotypic and genotypic variation in sixteen cucumber genotypes. Chil. J. Agric. Res. 2016, 76, 307–313. [Google Scholar]
- Zhang, M.; Cui, H.W. Application of factor analysis to cucumber breeding. Cucurbit Genet. Coop. Rep. 1993, 16, 27–29. [Google Scholar]
- Kumar, R.; Kumar, S.; Kumar, D.; Gupta, R.K. Characterization of cucumber genotypes through principal component and regression analysis. Indian J. Agric. Sci. 2014, 84, 765–769. [Google Scholar]
- Portis, E.; Nervo, G.; Cavallanti, F.; Barchi, L.; Lanteri, S. Multivariate analysis of genetic relationships between Italian pepper landraces. Crop Sci. 2006, 46, 2517–2525. [Google Scholar] [CrossRef]
- Koutsos, T.V.; Koutsika, S.M.; Gouli, V.E.; Tertivanidis, K. Study of genetic relationship of greek okra cultivars (Abelmoschus esculentus (L.) Moench.) by using agronomic traits, heterosis and combining ability. J. Veg. Crop Prod. 2000, 6, 25–35. [Google Scholar]
- Chakraborty, D.; Kumar, M.; Wangchu, L.; Singh, S.; Pandey, A.K. Genetic diversity among landraces of cucumber (Cucumis sativus L.) from North- East India. Bangladesh J. Bot. 2019, 48, 481–488. [Google Scholar] [CrossRef]
- Santchurn, D.; Ramdoyal, K.; Badaloo, M.G.H.; Labuschagne, M. From sugar industry to cane industry: Investigations on multivariate data analysis techniques in the identification of different high biomass sugarcane varieties. Euphytica 2012, 185, 543–558. [Google Scholar] [CrossRef]
- Santchurn, D.; Ramdoyal, K.; Badaloo, M.G.H.; Labuschagne, M. From sugar industry to cane industry: Evaluation and simultaneous selection of different types of high biomass canes. Biomass Bioenergy 2014, 61, 82–92. [Google Scholar] [CrossRef]
- Van Oijen, M.; Höglind, M. toward a Bayesian procedure for using process-based models in plant breeding, with application to ideotype design. Euphytica 2016, 207, 627–643. [Google Scholar] [CrossRef]
- Olivoto, T.; Diel, M.I.; Schmidt, D.; Lúcio, A.D.C. Multivariate analysis of strawberry experiments: Where are we now and where can we go? BioRxiv 2021, 1–10. [Google Scholar] [CrossRef]
- Uddin, M.S.; Billah, M.; Afroz, R.; Rahman, S.; Jahan, N.; Hossain, M.G.; Bagum, S.A.; Uddin, M.S.; Khaldun, A.B.M.; Azam, M.G.; et al. Evaluation of 130 Eggplant (Solanum melongena L.) Genotypes for Future Breeding Program Based on Qualitative and Quantitative Traits and Various Genetic Parameters. Horticulturae 2021, 7, 376. [Google Scholar] [CrossRef]






| SL No. | Landrace Code | Collected Location | Geographical Location | SL No. | Landrace Code | Collected Location | Geographical Location |
|---|---|---|---|---|---|---|---|
| 1 | AH-19 | Dinajpur | N-25°45.612′ E-88°40.734′ | 53 | AC-294 | Dhaka | N-23°55.826′ E-90°43.044′ |
| 2 | AH-20 | Dinajpur | N-25°45.612′ E-88°40.734′ | 54 | AC-299 | Dhaka | N-23°55.826′ E-90°04.344′ |
| 3 | AH-29 | Panchagarh | N-25°56.799′ E-88°47.088′ | 55 | AC-305 | Dhaka | N-23°55.826′ E-90°04.344′ |
| 4 | AH-38 | Bogra | N-24°66.099′ E-89°41.236′ | 56 | AC-340 | Gazipur | N-23°54.76′ E-90°30.473′ |
| 5 | AH-63 | Gazipur | N-23°59.503′ E-90°24.903′ | 57 | AC-343 | Gazipur | N-23°54.761′ E-90°30.473′ |
| 6 | IAH-58 | Rajshahi | N-24°28.012′E-88°19.506′ | 58 | AC-379 | Gazipur | N-24°02.070′ E-90°31.017′ |
| 7 | IAH-74 | Gazipur | N-24°05.562′ E-90°34.855′ | 59 | AC-418 | Dhaka | N-23°39.605′ E-90°21.566′ |
| 8 | IAH-273 | Bhola | N-22°13.352′ E-90°42.090′ | 60 | AC-426 | Narsingdi | N-24°05.735′ E-90°50.853′ |
| 9 | IAH-274 | Bhola | N-22°41.153′ E-90°38.751′ | 61 | AC-451 | Narsingdi | N-24°04.985′ E-90°53.282′ |
| 10 | IAH-275 | Patuakhali | N-21°84′ E-90°12′ | 62 | AC-457 | Narsingdi | N-24°04.985′ E-90°53.282′ |
| 11 | IAH-323 | Pirojpur | N-22°30.440′ E-89°57.502′ | 63 | AC-471 | Narsingdi | N-24°09.496′ E-90°48.603′ |
| 12 | IAH-327 | Jhalokathi | N-22°44.170′ E-90°11.124′ | 64 | AC-495 | Narsingdi | N-23°53.217′ E-90°44.899′ |
| 13 | AMA-129 | Mymensingh | N-24°34.085′ E-90°25.330′ | 65 | AC-498 | Narsingdi | N-23°53.217′ E-90°44.899′ |
| 14 | AMA-204 | Mymensingh | N-24°28.512′ E-90°28.133′ | 66 | RAI-68 | Chittagong | N-22°41.187′ E-91°46.506′ |
| 15 | AMA-354 | Sherpur | N-25°08.298′ E-89°52.938′ | 67 | RAI-103 | Chittagong | N-22°38.012′ E91°46.633′ |
| 16 | AMA-406 | Sherpur | N-25°16.482′ E-89°56.733′ | 68 | RAI-106 | Chittagong | N-22°38.012′ E-91°46.633′ |
| 17 | AMA-413 | Sherpur | N-25°16.887′ E-89°56.770′ | 69 | RAI-116 | Chittagong | N-22°38.012′ E-91°46.633′ |
| 18 | AHI-05 | Jhenaidah | N-23°26.474′ E-88°57.389′ | 70 | RAI-117 | Chittagong | N-22°38.012′ E-91°46.633′ |
| 19 | AHI-15 | Jhenaidah | N-23°26.474′ E-88°57.389′ | 71 | RAI-122 | Chittagong | N-22°19.049′ E-92°00.134′ |
| 20 | AHI-22 | Jhenaidah | N-23°27.049′ E-88°59.396′ | 72 | RAI-127 | Chittagong | N-22°19.049′ E-92°00.134′ |
| 21 | AHI-26 | Jhenaidah | N-23°27.049′ E-88°59.396′ | 73 | RAI-137 | Chittagong | N-22°19.049′ E-92°00.134′ |
| 22 | AHI-33 | Jhenaidah | N-23°27.021′ E-88°59.956′ | 74 | RAI-149 | Chittagong | N-22°18.182′ E-91°59.500′ |
| 23 | AHI-34 | Jhenaidah | N-23°26.474′ E-88°57.389′ | 75 | RAI-209 | Chittagong | N-22°09.666′ E-92°03.996′ |
| 24 | AHI-35 | Jhenaidah | N-23°26.474′ E-88°57.389′ | 76 | RAI-215 | Chittagong | N-22°30.020′ E-91°48.417′ |
| 25 | AHI-41 | Jhenaidah | N-23°24.427′ E-89°00.582′ | 77 | RAI-217 | Chittagong | N-22°30.020′ E-91°48.417′ |
| 26 | AHI-48 | Jhenaidah | N-23°18.190′ E-89°08.938′ | 78 | RAI-245 | Rangpur | N-25°49.007′ E-89°00.585′ |
| 27 | AHI-49 | Jhenaidah | N-23°18.190′ E-89°08.938′ | 79 | RAI-253 | Rangpur | N-25°49.007′ E-89°00.585′ |
| 28 | AHI-70 | Jhenaidah | N-23°18.190′ E-89°08.938′ | 80 | RAI-255 | Rangpur | N-25°49.007′ E-89°00.585′ |
| 29 | AHI-72 | Jhenaidah | N-23°18.190′ E-89°08.938′ | 81 | RAI-265 | Thakurgaon | N-26°01.711′ E-88°27.829′ |
| 30 | AHI-78 | Jessore | N-23°12.821′ E-89°11.123′ | 82 | RC-07 | Rangpur | N-25° 46.012′ E-89° 24.208′ |
| 31 | AHI-89 | Jessore | N-23°12.821′ E-89°11.123′ | 83 | RC-31 | Rangpur | N-25° 26.146′ E-89°21.038′ |
| 32 | AHI-100 | Jessore | N-23°12.828′ E-89°11.136′ | 84 | RC-152 | Kurigram | N-25°38.808 E-89°41.548′ |
| 33 | AHI-113 | Jessore | N-23°12.828′ E-89°11.136′ | 85 | TR-2 | Khagrachari | N-23°17.250′ E-91°54. 00′ |
| 34 | AHI-116 | Satkhira | N-22°45.030′ E-89°06.253′ | 86 | TRMR-9 | Cumilla | N-23°20.705′ E-91°12.087′ |
| 35 | AHI-120 | Khulna | N-22°47.320′E-89°27.445′ | 87 | TRMR-10 | Chandpur | N-23°04.012′ E-90°38.015′ |
| 36 | AC-14 | Dhaka | N-24°01.720′ E-90°12.480′ | 88 | TRMR-85 | Cumilla | N-23°27.755′ E-91°11.487′ |
| 37 | AC-42 | Dhaka | N-24°08.220′ E-90°13.530′ | 89 | TRMR-103 | Cumilla | N-23°22.520′ E-91°14.412′ |
| 38 | AC-59 | Tangail | N-24°24.501′ E-90°08.686′ | 90 | TRMR-137 | Cumilla | N-23°33.297′ E-91°07.555′ |
| 39 | AC-74 | Tangail | N-24°23.808′ E-90°11.435′ | 91 | TT-06 | Mymensing | N-24°34.807′ E-90°23.429′ |
| 40 | AC-92 | Tangail | N-24°19.197′ E-90°10.123′ | 92 | TT-16 | Mymensing | N-24°34.807′ E-90°23.429′ |
| 41 | AC-97 | Tangail | N-24°17.384′ E-90°05.30′ | 93 | TT-94 | Netrokona | N-24°49.817′ E-90°46.067′ |
| 42 | AC-145 | Narayanganj | N-23°48.140′ E-90°42.832′ | 94 | TT-127 | Netrokona | N-24°41.936′ E-90°46.452′ |
| 43 | AC-149 | Narayanganj | N-23°48.140′ E-90°42.832′ | 95 | TT-161 | Mymensing | N-24°42.155′ E-90°28.658′ |
| 44 | AC-183 | Narsingdi | N-24°01.020′ E-90°39.815′ | 96 | ZS-01 | Khagrachari | N-23°89.461′ E-91°84.209′ |
| 45 | AC-184 | Narsingdi | N-24°01.020′ E-90°39.815′ | 97 | ZS-08 | Khagrachari | N-23°91.341′ E-91°65.409′ |
| 46 | AC-199 | Narsingdi | N-23°58.752′ E-90°40.956′ | 98 | ZS-17 | Khagrachari | N-23°24.034′ E-92°05.069′ |
| 47 | AC-201 | Narsingdi | N-23°58.861′ E-90°41.315′ | 99 | ZS-27 | Khagrachari | N-23°24.034′ E-92°05.069′ |
| 48 | AC-239 | Manikganj | N-23°55.913′ E-90°00.788′ | 100 | ZS-40 | Khagrachari | N-22°59.055′ E-91°55.060′ |
| 49 | AC-245 | Manikganj | N-23°58.322′ E-90°02.207′ | 101 | Shila | Lal teer Seed | N-23°59.503′ E-90°40.906′ |
| 50 | AC-254 | Manikganj | N-23°58.322′ E-90°02.207′ | 102 | Baromashi | Metal Seed | N-23°59.503′ E-90°40.906′ |
| 51 | AC-279 | Dhaka | N-23°55.826′ E-90°04.344′ | 103 | Baromashi | Lal Teer Seed | N-23°59.503′ E-90°40.906′ |
| 52 | AC-281 | Dhaka | N-23°55.826′ E-90°04.344′ |
| Descriptor | Code | Descriptor State | Code | Descriptor State | Code | Descriptor State | Code | Descriptor State | Code | Descriptor State |
|---|---|---|---|---|---|---|---|---|---|---|
| Qualitative descriptors | ||||||||||
| Plant growth type (at the vegetative stage) | 1 | Determinate | 3 | Indeterminate | ||||||
| Plant growth habit (at the vegetative stage) | 1 | Viny | 3 | Intermediate | 5 | Prostate | ||||
| Stem colour (at the vegetative stage) | Light green | Green | Dark green | |||||||
| Stem pubescence density (at vegetative stage) | 1 | Dense | 2 | Intermediate | 3 | Spares | ||||
| Leaf intensity of the green colour (at the vegetative stage) | 1 | Light | 3 | Medium | 5 | Dark | ||||
| Leaf shape (at vegetative stage) | 1 | Orbicular | 2 | Sagittate | 3 | Raniform | 4 | Cordate | ||
| Leaf apex shape of terminal leaf lobe (at vegetative stage and fully developed leaf) | 1 | Obtuse | 3 | Rounded | ||||||
| Leaf pubescence density (at vegetative stage and fully developed leaf) | 1 | Dense | 2 | Intermediate | 3 | Spares | ||||
| Flower colour (at fully developed flower) | 1 | White | 2 | Yellow | ||||||
| Sex type (at fully developed flower) | 0 | Monoecious | 1 | Hermaphroditic | 3 | Androecious | 5 | Gynoecious | ||
| Stem end fruit shape (at table maturity stage) | 0 | Necked | 1 | Acute | 3 | Obtuse | ||||
| Blossom end fruit shape (at the table maturity stage) | 1 | Flat | 2 | Deep raised | 9 | Other | ||||
| Fruit skin texture | 0 | Smooth | 1 | Wrinkle | ||||||
| Fruit shape (at table maturity stage) | 1 | Oblong | 2 | Oval | 3 | Ellipsoid | 4 | Blossom end tapered | 5 | Ovate |
| Fruit skin colour (at table maturity stage) | 1 | Light green | 2 | Green | 3 | Dark green | 4 | Yellowish green | 5 | Greenish yellow |
| Fruit skin colour (at the mature harvest stage) | 1 | Brown | 2 | Yellow | ||||||
| Seed colour | 1 | White | 2 | Cream | ||||||
| Quantitative descriptors | ||||||||||
| Vine length (cm) | The vine length was measured from the ground to the tip of the growing point with the help of a meter scale at the final harvest stage, and the average vine length per plant was calculated. | |||||||||
| Internode length (cm) | The distance between two adjacent nodes of the middle portion of the main stem was measured with the help of a scale and was expressed in centimetres, and the average internode length was calculated. | |||||||||
| Number of Branches/plants | Branches arising from the main stem were counted and noted at different intervals. | |||||||||
| Number of nodes on the main stem | The number of nodes on the main stem per plant was counted. | |||||||||
| Number of days to the male flower | The number of days taken from the date of sowing to the date of the first male flower appearing was recorded. | |||||||||
| Number of days to the female flower | The number of days taken from the date of sowing to the date of the first female flower appearing was recorded. | |||||||||
| Number of nodes at the first male flower | The number of nodes from ground level to the node at which the first male flower appeared was recorded. | |||||||||
| Number of nodes at the first female flower | The number of nodes from ground level to the node at which the first female flower appeared was recorded. | |||||||||
| Number of days to the first fruit harvest | The number of days from the date of sowing to the first picking of green fruit (table maturity) was recorded and expressed in days. | |||||||||
| Number of days to a mature fruit harvest | The number of days from the date of sowing to the first picking of mature fruit was recorded and expressed in days. | |||||||||
| Leaf length (cm) | The leaf lengths of 10 fully developed leaves were randomly taken, leaf lengths were measured, and the average was determined and expressed in cm. | |||||||||
| Leaf width (cm) | The leaf widths of 10 fully developed leaves were randomly taken, leaf width were measured, and the average was determined and expressed in cm. | |||||||||
| Fruit length (cm) | The lengths of individual fruits were measured using a scale of five randomly selected fruits at the edible stage. | |||||||||
| Fruit width (cm): | The widths of individual fruits were measured using a scale of five randomly selected fruits at the edible stage. | |||||||||
| Fruit weight (g): | The fruit weight was derived using the weights of five individual randomly selected fruits, and the average was determined. | |||||||||
| 100-seed weight | The weight of 100 dried (12% moisture) seeds was determined. | |||||||||
| Number of fruits per plant | The total number of fruits harvested from each genotype was divided by the number of plants. | |||||||||
| Descriptor | Descriptor State | Landraces (No.) | Observed Frequency | SWDI |
|---|---|---|---|---|
| Plant and leaf characteristics | ||||
| Plant growth type | Indeterminate | 103 | 100 | 0 |
| Plant growth habit | Viny | 94 | 91.26 | 0.43647 |
| Intermediate | 9 | 8.74 | ||
| Stem colour | Light green | 4 | 3.88 | 0.66326 |
| Green | 73 | 70.87 | ||
| Dark green | 26 | 25.24 | ||
| Stem pubescence density | Dense | 61 | 59.22 | 0.61923 |
| Intermediate | 42 | 40.78 | ||
| Leaf intensity of green colour | Light green | 53 | 51.46 | 0.84547 |
| Medium green | 41 | 39.08 | ||
| Dark green | 9 | 8.74 | ||
| Leaf blade shape | Orbicular | 103 | 100 | 0 |
| Leaf apex shape of the terminal lobe | Obtuse | 72 | 69.90 | 0.44659 |
| Rounded | 31 | 30.10 | ||
| Leaf pubescence density | Dense | 103 | 100 | 0 |
| Flower characteristics | ||||
| Flower colour | Yellow | 103 | 100 | 0 |
| Sex type | Monoecious | 103 | 100 | 0 |
| Fruit characteristics | ||||
| Stem end fruit shape | Necked = 1 | 1 | 0.97 | 0.60374 |
| Acute | 30 | 29.13 | ||
| Obtuse | 72 | 69.90 | ||
| Blossom end fruit shape | Flat | 100 | 97.08 | 0.12265 |
| Deep raised | 3 | 2.92 | ||
| Fruit skin texture | Smooth | 31 | 30.09 | 0.89317 |
| Wrinkled | 72 | 69.90 | ||
| Fruit shape | Oblong | 87 | 84.47 | 0.37973 |
| Oval | 5 | 4.85 | ||
| Ellipsoid | 4 | 3.88 | ||
| Ovate | 7 | 6.80 | ||
| Fruit skin colour at the table maturity stage | Light green | 67 | 65.05 | 0.35919 |
| Green | 15 | 14.56 | ||
| Dark green | 4 | 3.88 | ||
| Yellowish green | 13 | 12.62 | ||
| Greenish yellow | 2 | 1.94 | ||
| Blackish green | 1 | 0.97 | ||
| Whitish green | 1 | 0.97 | ||
| Fruit skin colour at the mature harvest stage | Brown | 72 | 69.90 | 0.56353 |
| Yellow | 31 | 30.10 | ||
| Seed characteristics | ||||
| Seed colour | White | 43 | 41.75 | 0.98582 |
| Cream | 60 | 58.25 | ||
| Sources of Variation | Accession (G) with C (df-102) | Check (C) (df-2) | Accession vs. Check (1) | Accession (df-99) | Block (df-3) | Residuals (df-6) |
|---|---|---|---|---|---|---|
| PH | 1574.41 ** | 2985.9 ** | 5339.58 ** | 1507.87 ** | 5.14 ns | 84.28 |
| BPP | 0.58 ** | 0.77 * | 11.13 ** | 0.47 * | 0.13 ns | 0.08 |
| DI | 4.39 ** | 8.6 ** | 8.41 ** | 4.27 ** | 0.37 ns | 0.34 |
| DM | 23.81 * | 464.08 ** | 405.68 ** | 11.06 ns | 10.97 ns | 6.31 |
| DFM | 26.7 ns | 431.08 ** | 342.43 ** | 15.34 ns | 4.75 ns | 18.42 |
| NMF | 1.32 ns | 3.06 ns | 4.04 ns | 1.26 ns | 0.58 ns | 0.95 |
| NMFF | 1.85 ns | 3.94 ns | 10.69 * | 1.72 ns | 0.24 ns | 1.08 |
| LN | 5.14 * | 4.37 ns | 1.74 ns | 5.19 * | 0.56 ns | 0.91 |
| LW | 7.57 * | 0.38 ns | 17.92 * | 7.61 * | 2.37 ns | 1.55 |
| FFH | 16.1 ns | 178.58 ** | 107.21 * | 11.9 ns | 10.33 ns | 14.92 |
| FL | 13.33 ** | 20.03 ** | 22.03 * | 13.11 ** | 1.1 ns | 1.62 |
| FD | 0.91 * | 1.16 ns | 3.38 ** | 0.88 * | 0.11 ns | 0.23 |
| FW | 8176.14 ** | 16,532.02 ** | 5486.09 * | 8034.5 ** | 413.8 ns | 482.59 |
| NFP | 2.54 * | 1.31 ns | 15.3 ** | 2.43 * | 0.14 ns | 0.37 |
| DH | 18.18 * | 34.08 ** | 0.00048 ns | 18.04 * | 4.31 ns | 2.97 |
| YP | 0.41 ** | 0.65 ** | 2.08 ** | 0.39 ** | 0.01 ns | 0.04 |
| HSW | 0.15 * | 0.4 ** | 0.08 ns | 0.14 * | 0.18 ns | 0.03 |
| Trait | Max | Min | Mean | Std | CV |
|---|---|---|---|---|---|
| PH | 299.61 | 159.34 | 221.00 | 38.38 | 17.37 |
| BPP | 7.04 | 3.17 | 4.60 | 0.77 | 16.66 |
| DI | 14.52 | 3.02 | 7.44 | 2.03 | 27.30 |
| DM | 57.5 | 30.42 | 39.11 | 4.25 | 10.87 |
| DFM | 65 | 39.08 | 47.59 | 4.34 | 9.12 |
| LN | 18.68 | 7.47 | 14.01 | 2.22 | 15.83 |
| LW | 24.42 | 8.62 | 17.38 | 2.85 | 16.40 |
| NMF | 9.54 | 3.54 | 5.78 | 1.08 | 18.74 |
| NMFF | 13.37 | 6.21 | 9.91 | 1.37 | 13.83 |
| FFH | 71.17 | 53.17 | 59.76 | 3.82 | 6.40 |
| FL | 27.49 | 10.8 | 17.53 | 3.60 | 20.53 |
| FD | 8.4 | 4.08 | 5.91 | 0.93 | 15.69 |
| FW | 615.89 | 143.06 | 298.60 | 86.17 | 28.86 |
| NFP | 9.75 | 2.58 | 5.41 | 1.55 | 28.71 |
| DH | 97.92 | 77.25 | 85.59 | 4.48 | 5.23 |
| YP | 3.11 | 0.96 | 1.93 | 0.62 | 31.88 |
| HSW | 3.81 | 1.82 | 2.68 | 0.51 | 19.03 |
| Trait | PV | GV | GCV | GCV Cat. | PCV | PCV Cat. | h2 BS | h2 BS. Cat. | GA | GAM | GAM Cat. |
|---|---|---|---|---|---|---|---|---|---|---|---|
| PH | 1507.87 | 1423.59 | 17.07 | M | 17.57 | M | 94.41 | H | 75.63 | 34.22 | H |
| BPP | 0.47 | 0.4 | 13.74 | M | 14.98 | M | 84.17 | H | 1.2 | 26.01 | H |
| DM | 11.06 | 4.75 | 5.57 | L | 8.5 | L | 42.97 | M | 2.95 | 7.54 | L |
| NMF | 1.26 | 0.31 | 9.57 | L | 19.4 | M | 24.33 | L | 0.56 | 9.74 | L |
| NMFF | 1.72 | 0.65 | 8.12 | L | 13.25 | M | 37.54 | M | 1.02 | 10.27 | M |
| DI | 4.27 | 3.93 | 26.62 | H | 27.74 | H | 92.07 | H | 3.92 | 52.7 | H |
| LN | 5.19 | 4.28 | 14.77 | M | 16.26 | M | 82.51 | H | 3.88 | 27.67 | H |
| LW | 7.61 | 6.06 | 14.17 | M | 15.87 | M | 79.66 | H | 4.53 | 26.08 | H |
| FL | 13.11 | 11.48 | 19.32 | M | 20.64 | H | 87.61 | H | 6.54 | 37.31 | H |
| FD | 0.88 | 0.65 | 13.7 | M | 15.93 | M | 73.94 | H | 1.43 | 24.3 | H |
| FW | 8034.5 | 7551.91 | 29.1 | H | 30.02 | H | 93.99 | H | 173.81 | 58.21 | H |
| NFP | 2.43 | 2.07 | 26.57 | H | 28.84 | H | 84.88 | H | 2.73 | 50.49 | H |
| DH | 18.04 | 15.07 | 4.54 | L | 4.96 | L | 83.53 | H | 7.32 | 8.55 | L |
| HSW | 0.14 | 0.11 | 12.5 | M | 14.09 | M | 78.67 | H | 0.61 | 22.87 | H |
| YP | 0.39 | 0.35 | 30.73 | H | 32.41 | H | 89.89 | H | 1.16 | 60.11 | H |
| Traits | PC1 | PC2 | PC3 | PC4 | PC5 |
|---|---|---|---|---|---|
| VL | −0.151 | 0.103 | −0.016 | 0.154 | −0.510 |
| BPP | −0.270 | 0.206 | 0.093 | 0.438 | −0.114 |
| DM | 0.353 | 0.280 | 0.016 | 0.103 | −0.086 |
| DFM | 0.354 | 0.307 | 0.007 | 0.180 | −0.048 |
| NMF | 0.178 | 0.201 | 0.258 | −0.163 | −0.311 |
| NMFF | 0.260 | −0.256 | 0.092 | −0.089 | −0.141 |
| DI | −0.071 | −0.033 | −0.369 | 0.422 | 0.110 |
| LN | 0.065 | 0.057 | −0.617 | −0.181 | −0.127 |
| LW | 0.104 | 0.006 | −0.618 | −0.166 | −0.138 |
| FFH | 0.252 | 0.382 | −0.013 | 0.170 | −0.010 |
| FL | −0.275 | 0.402 | −0.007 | −0.158 | 0.100 |
| FD | −0.236 | 0.367 | −0.015 | −0.241 | 0.201 |
| FW | −0.253 | 0.335 | −0.022 | −0.262 | 0.250 |
| NFP | −0.285 | 0.292 | −0.067 | 0.377 | −0.256 |
| DH | 0.222 | 0.209 | −0.093 | 0.204 | 0.220 |
| HSW | −0.119 | −0.015 | 0.027 | −0.309 | −0.570 |
| YP | −0.364 | 0.299 | −0.056 | 0.089 | −0.037 |
| Eigenvalue | 3.962 | 3.209 | 2.152 | 1.543 | 1.297 |
| Variability (%) | 23.91 | 20.01 | 11.92 | 8.96 | 6.71 |
| Cumulative variability (%) | 23.91 | 43.92 | 55.84 | 64.80 | 71.51 |
| Cluster (No.) | Landraces (No.) | Name of Genotype in Each Cluster |
|---|---|---|
| I | 13 | AC-279, AC-254, AHI-113, AHI-41, AHI-48, AHI-49, AMA 413, RAI-106, RAI-117, RAI-127, RAI-245, RC-152, TRMR-10 |
| II | 2 | C3, C3, AH-38, C3, C3 |
| III | 22 | AC-14, AC-145, AC-418, AC-42, AC-451, AC-59, AC-92, AC-97, AH-20, AC-457, AC-471, AC-495, AMA-204, RAI- 103, RAI-122, RAI-137, RAI-209, RAI-68, RC-31, TRMR- 137, TRMR-85, TT-06 |
| IV | 14 | AC-183, AC-184, AC-201, AC-340, AC-498, AMA-129, RAI-116, RAI-215, RAI-217, RAI-253, TRMR- 9, TRMR-103, TT-16, TT-161 |
| V | 22 | C2, AC-199, AC-426, C2, Iah-273, Iah-274, Iah-275, Iah-323, Iah-327, C2, AH-19, AH-63, AHI-120, RAI-149, C2, RAI-255, RAI-265, RC-07, TR-2, TT-94, ZS-01, ZS-08, ZS-17, ZS-27, ZS-40 |
| VI | 30 | C1, AC-239, AC-245, AC-281, AC-294, AC-299, AC-343, AC-379, AC-74, C1, AH-29, AHI-05, AHI-100, AHI-116, AHI-15, AHI-22, AHI-26, AHI-33, AHI-34, AHI-35, AHI-70, AHI-72, AHI-78, AHI-89, AMA- 406, AMA-354, IAh-58, IAh-74, C1, AC-149, AC-305, C1, TT-127 |
| Cluster | PH | BPP | DM | DFM | NMF | NMFF | DI | LN | LW | FFH | FL | FD | FW | NFP | DH | HSW | YP |
|---|---|---|---|---|---|---|---|---|---|---|---|---|---|---|---|---|---|
| C-I | 227.65 | 4.80 | 37.54 | 43.77 | 6.48 | 10.00 | 5.47 | 12.57 | 15.76 | 55.77 | 15.90 | 5.51 | 286.20 | 4.96 | 82.77 | 3.01 | 1.75 |
| C-II | 218.80 | 3.42 | 57.20 | 64.60 | 7.70 | 12.30 | 5.67 | 15.04 | 19.12 | 70.80 | 14.70 | 4.96 | 238.66 | 4.10 | 90.40 | 2.37 | 1.33 |
| C-III | 235.42 | 4.70 | 41.14 | 49.73 | 6.03 | 10.34 | 7.24 | 14.71 | 17.86 | 62.36 | 22.27 | 7.06 | 399.79 | 5.25 | 87.36 | 2.67 | 2.36 |
| C-IV | 247.06 | 5.52 | 38.14 | 47.43 | 5.35 | 9.64 | 9.00 | 12.57 | 15.82 | 60.93 | 18.89 | 6.08 | 318.92 | 7.64 | 84.57 | 2.68 | 2.72 |
| C-V | 198.03 | 4.13 | 39.52 | 49.48 | 6.25 | 10.54 | 7.09 | 13.70 | 17.01 | 60.76 | 15.43 | 5.58 | 249.17 | 4.16 | 86.04 | 2.74 | 1.30 |
| C-VI | 221.36 | 4.33 | 37.36 | 45.24 | 5.03 | 9.11 | 8.00 | 14.91 | 18.72 | 57.52 | 16.10 | 5.45 | 267.95 | 5.58 | 84.88 | 2.57 | 1.81 |
Publisher’s Note: MDPI stays neutral with regard to jurisdictional claims in published maps and institutional affiliations. |
© 2022 by the authors. Licensee MDPI, Basel, Switzerland. This article is an open access article distributed under the terms and conditions of the Creative Commons Attribution (CC BY) license (https://creativecommons.org/licenses/by/4.0/).
Share and Cite
Ahmed, I.; Rohman, M.M.; Hossain, M.A.; Molla, M.R.; Azam, M.G.; Hasan, M.M.; Gaber, A.; Albogami, B.; Hossain, A. A Study on the Phenotypic Variation of 103 Cucumber (Cucumis sativus L.) Landraces for the Development of Desirable Cultivars Suitable for the Changing Climate. Life 2022, 12, 1235. https://doi.org/10.3390/life12081235
Ahmed I, Rohman MM, Hossain MA, Molla MR, Azam MG, Hasan MM, Gaber A, Albogami B, Hossain A. A Study on the Phenotypic Variation of 103 Cucumber (Cucumis sativus L.) Landraces for the Development of Desirable Cultivars Suitable for the Changing Climate. Life. 2022; 12(8):1235. https://doi.org/10.3390/life12081235
Chicago/Turabian StyleAhmed, Iftekhar, Md. Motiar Rohman, Md. Amir Hossain, Md. Rezwan Molla, Md. Golam Azam, Md. Mahadi Hasan, Ahmed Gaber, Bander Albogami, and Akbar Hossain. 2022. "A Study on the Phenotypic Variation of 103 Cucumber (Cucumis sativus L.) Landraces for the Development of Desirable Cultivars Suitable for the Changing Climate" Life 12, no. 8: 1235. https://doi.org/10.3390/life12081235
APA StyleAhmed, I., Rohman, M. M., Hossain, M. A., Molla, M. R., Azam, M. G., Hasan, M. M., Gaber, A., Albogami, B., & Hossain, A. (2022). A Study on the Phenotypic Variation of 103 Cucumber (Cucumis sativus L.) Landraces for the Development of Desirable Cultivars Suitable for the Changing Climate. Life, 12(8), 1235. https://doi.org/10.3390/life12081235

