Comparative Transcriptome Profiling Provides Insights into Plant Salt Tolerance in Watermelon (Citrullus lanatus)
Abstract
:1. Introduction
2. Materials and Methods
2.1. Plant Materials and Treatments
2.2. Measurements of Physiological and Biochemical Index
2.3. RNA Extraction, Sequencing and Expression Profiling
2.4. RT-qPCR for DEGs
3. Results
3.1. Salt Stress Inhibits the Growth of Watermelon Seedlings
3.2. RNA-Seq for the Roots and Leaves of Watermelon under Salt Treatment
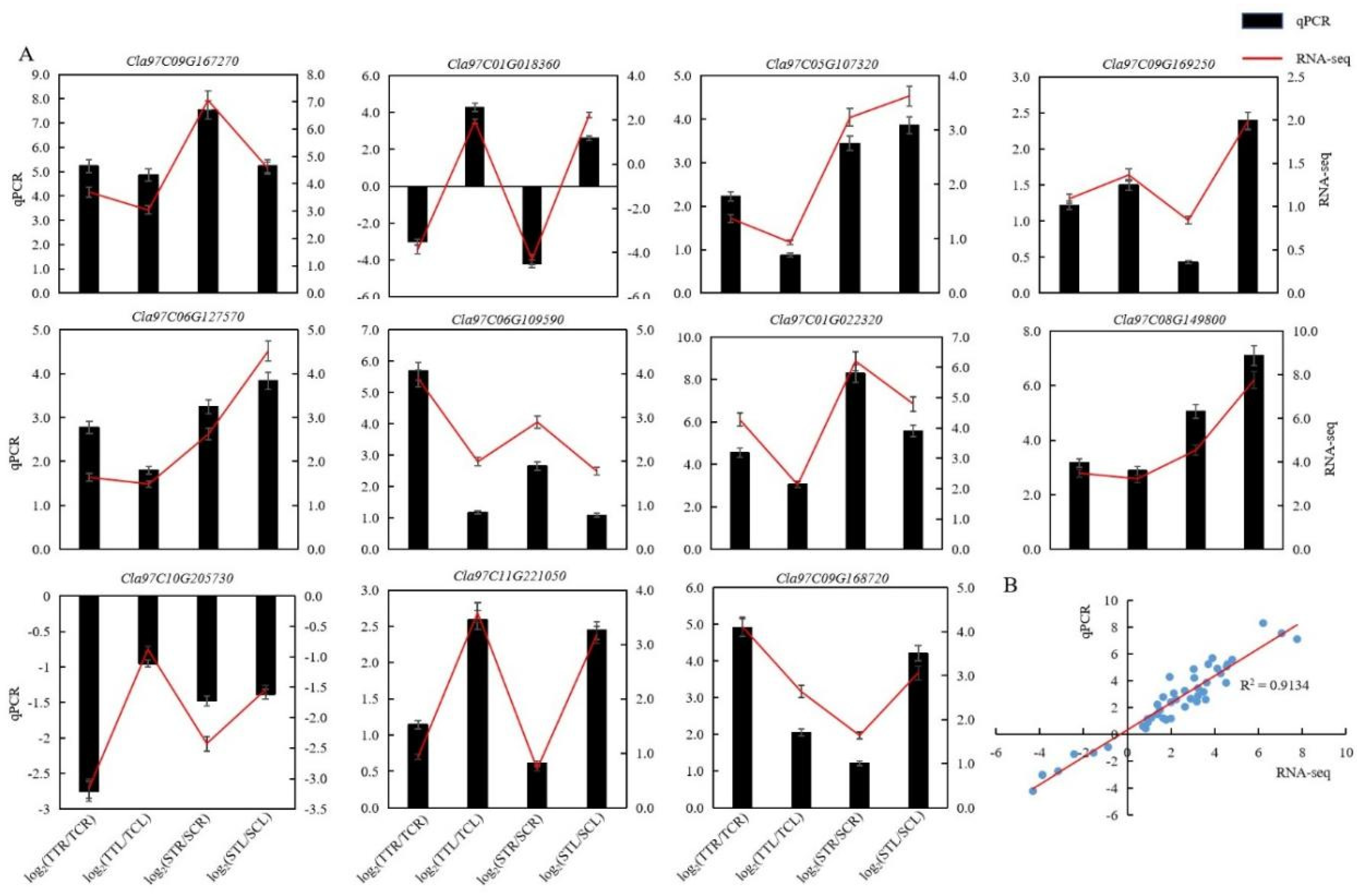
3.3. Verification of DEGs by RT-qPCR
3.4. GO Classification and KEGG Pathway Enrichment Analysis of DEGs
3.5. Transcription Factors Respond to Salt Stress
3.6. DEGs in Response to Salt Stress
3.7. Key DEGs Related to Salt Stress in Watermelon
4. Discussion
5. Conclusions
Supplementary Materials
Author Contributions
Funding
Institutional Review Board Statement
Informed Consent Statement
Data Availability Statement
Conflicts of Interest
Abbreviations
| RWC | relative water content |
| MDA | malondialdehyde acid |
| ROS | reactive oxygen species |
| NAA | naphthaleneacetic acid |
| JA | jasmonic acid |
| IAA | indole-3-acetic acid |
| GA | gibberellin |
| SA | salicylic acid |
| DEGs | differentially expressed genes |
| FDR | false discovery rate |
| ORF | open reading frame |
| TPS | trehalose-6-phosphate synthase |
| HKT | high-affinity K+ transporter |
| KUP | K+ uptake permease |
| PCA | principal component analysis |
| HSP | heat shock protein |
| CYP | cytochrome P450 |
| SAUR | small auxin up RNA |
| GH3 | gretchen hagen 3 |
| ARF | auxin response factor |
| CESAs | cellulose synthases |
| PEPCK | phosphoenolpyruvate carboxykinase |
References
- Oh, E.; Zhu, J.Y.; Bai, M.Y.; Augusto, A.R.; Wang, Z.Y. Cell elongation is regulated through a central circuit of interacting transcription factors in the Arabidopsis hypocotyl. Elife 2014, 3, e03031. [Google Scholar] [CrossRef] [PubMed]
- Yang, Y.Q.; Guo, Y. Elucidating the molecular mechanisms mediating plant salt-stress responses. New Phytol. 2018, 217, 523–539. [Google Scholar] [CrossRef] [Green Version]
- Hasegawa, P.; Bressan, R.; Zhu, J.; Bohnert, H.J. Plant cellular and molecular responses to high salinity. Annu. Rev. Plant Physiol. Plant Mol. Biol. 2000, 51, 463–499. [Google Scholar] [CrossRef] [Green Version]
- Munns, R.; Tester, M. Mechanisms of salinity tolerance. Annu. Rev. Plant Biol. 2008, 59, 651–681. [Google Scholar] [CrossRef] [Green Version]
- Ganie, S.A.; Molla, K.A.; Henry, R.; Bhat, K.V.; Mondal, T.K. Advances in understanding salt tolerance in rice. Theor. Appl. Genet. 2019, 132, 851–870. [Google Scholar] [CrossRef]
- Hao, S.H.; Wang, Y.R.; Yan, Y.X.; Liu, Y.H.; Wang, J.Y.; Chen, S. A review on plant responses to salt stress and their mechanisms of salt resistance. Horticulturae 2021, 7, 132. [Google Scholar] [CrossRef]
- Flowers, T.J.; Colmer, T.D. Plant salt tolerance: Adaptations in halophytes. Ann. Bot. 2015, 115, 327–331. [Google Scholar] [CrossRef] [PubMed] [Green Version]
- Zhang, H.F.; Wang, S.M. Advance in study of Na+ uptake and transport in higher plants and Na+ homeostasis in the cell. Chin. Bull. Bot. 2017, 24, 561–571. [Google Scholar]
- Zhou, Y.; Huang, L.; Zhao, Y.; Tang, N.; Qu, R.; Tang, X.; Wang, K. Changes of ion absorption, distribution and essential oil components of flowering schizonepeta tenuifolia under salt stress. Zhongguo Zhong Yao Za Zhi 2018, 43, 4410–4418. [Google Scholar]
- Ottow, E.A.; Brinker, M.; Teichmann, T.; Fritz, E.; Kaiser, W.; Brosche, M.; Kangasjarvi, J.; Jiang, X.; Polle, A. Populus euphratica displays apoplastic sodium accumulation, osmotic adjustment by decreases in calcium and soluble car-bohydrates, and develops leaf succulence under salt stress. Plant Physiol. 2005, 139, 1762–1772. [Google Scholar] [CrossRef] [Green Version]
- Ma, G.M.; Zhao, M.R.; Huai, T.T.; Wang, Q.; Yuan, F.Y. Effects of salicylic acid on seed germination and seedling growth of watermelon under salt stress. China Fruits 2020, 6, 36–40. [Google Scholar]
- Han, Z.P. Effect of Salinity on the Growth and Physiologicalmetabolism of Mini-Watermelon and Alleviating Function of Exogenous Cacium and Putrescine; Nanjing Agricultural University: Nanjing, China, 2008. [Google Scholar]
- Gao, B.W.; Sun, D.X.; Yuan, G.P.; An, G.L.; Li, W.H.; Liu, J.P.; Zhu, Y.C. ldentification of salt tolerance of 121 watermelon (Citrullus lanatus L.) materials. J. Fruit Sci. 2022, 8, 1–13. [Google Scholar]
- Yuan, G.P.; Liu, J.P.; An, G.L.; Li, W.H.; Si, W.J.; Sun, D.X.; Zhu, Y.C. Genome-wide identification and characterization of the trehalose-6-phosphate synthetase (TPS) gene family in watermelon (Citrullus lanatus) and their transcriptional responses to salt stress. Int. J. Mol. Sci. 2021, 23, 276. [Google Scholar] [CrossRef] [PubMed]
- Kenneth, J.L.; Thomas, D.S. Analysis of relative gene expression data using real-time quantitative PCR and the 2−ΔΔCT method. Methods 2002, 25, 402–408. [Google Scholar]
- Debouba, M.; Maâroufi-Dghimi, H.; Suzuki, A.; Ghorbel, M.H.; Gouia, H. Changes in growth and activity of enzymes involved in nitrate reduction and ammonium assimilation in tomato seedlings in response to nacl stress. Ann. Bot. 2007, 99, 143–1151. [Google Scholar] [CrossRef] [Green Version]
- Shahbaz, M.; Ashraf, M.; Akram, N.A.; Hanif, A.; Hameed, S.; Joham, S.; Rehman, R. Salt-induced modulation in growth, photosynthetic capacity, proline content and ion accumulation in sunflower (Helianthus annuus L.). Acta Physiol. Plant 2011, 33, 1113–1122. [Google Scholar] [CrossRef]
- Bao, L.; Huang, J.H.; Yang, W.Y.; Wang, F. Effects of naci stress on growth and water physiology at different stages of Salicornia europaea. Shandong Agric. Sci. 2017, 49, 48–53. [Google Scholar]
- Han, Z.P.; Guo, S.R.; Zheng, R.N.; Shu, S.; Yan, H.X. Effect of salinity on distribution of ions in mini-watermelon seedlings. J. Plant Nutr. Fertil. 2013, 19, 908–917. [Google Scholar]
- Guo, Y.P.; Gong, B.; Wang, X.F.; Wei, M.; Yang, F.J.; Li, Y.; Shi, Q.H. Effects of nacl stress on physiological characteristics of wild and cultivated watermelon seedlings. Shandong Agric. Sci. 2016, 48, 45–48+52. [Google Scholar]
- Du, Y.T.; Zhao, M.J.; Wang, C.T.; Gao, Y.; Wang, Y.X.; Liu, Y.W.; Chen, M.; Chen, J.; Zhou, Y.B.; Xu, Z.S.; et al. Identification and characterization of GmMYB118 responses to drought and salt stress. BMC Plant Biol. 2018, 18, 320. [Google Scholar] [CrossRef]
- Li, M.; Zhang, K.; Sun, Y.; Cui, H.; Cao, S.; Yan, L.; Xu, M. Growth, physiology, and tran-scriptional analysis of two contrasting carex rigescens genotypes under salt stress reveals salt-tolerance mechanisms. Plant Physiol. 2018, 229, 77–88. [Google Scholar] [CrossRef]
- Han, Z.P.; Guo, S.R.; You, X.N.; Sun, J.; Duan, J.J. Metabolism of reactive oxygen species and contents of osmotic substances in watermelon seedlings under salinity stress. Acta Bot. Boreali-Occident. Sin. 2010, 30, 2210–2218. [Google Scholar]
- Zhao, Y.K.; Wang, T.; Zhang, W.S.; Li, X. SOS3 mediates lateral root development under low salt stress through regulation of auxin redistribution and maxima in Arabidopsis. New Phytol. 2011, 189, 1122–1134. [Google Scholar] [CrossRef]
- Park, J.E.; Seo, P.J.; Lee, A.K.; Jung, J.H.; Kim, Y.S.; Park, C.M. An Arabidopsis GH3 gene, encoding an auxin-conjugating enzyme, mediates phytochrome B-regulated light signals in hypocotyl growth. Plant Cell Physiol. 2007, 48, 1236–1241. [Google Scholar] [CrossRef] [Green Version]
- Tian, C.; Muto, H.; Higuchi, K.; Matamura, T.; Tatematsu, K.; Koshiba, T.; Yamamoto, K. Disruption and overexpression of auxin response factor 8 gene of Arabidopsis affect hypocotyl elongation and root growth habit, indicating its possible involvement in auxin homeostasis in light condition. Plant J. 2004, 40, 333–343. [Google Scholar] [CrossRef]
- Zhu, J. Identification and Mapping of QTL/Genes for Salinity Tolerance in Barley (Hordeum vulgare L.); Yangzhou University: Yangzhou, China, 2020. [Google Scholar]
- Janicka-Russak, M.; Klobus, G. Modification of plasma membrane and vacuolar H+- ATPases in response to NaCl and ABA. J. Plant Physiol. 2007, 164, 295–302. [Google Scholar] [CrossRef]
- Yang, S.H.; Maeshima, M.; Tanaka, Y.; Komatsu, S. Modulation of vacuolar H+-pumps and aquaporin by phytohormones in rice seedling leaf sheaths. Biol. Pharm. Bull. 2003, 26, 88–92. [Google Scholar] [CrossRef] [Green Version]
- Xu, X.L. Gene Expression Profile under Salt Stress and Function Analysis Ofsalt Respond Tanscription Factor Genes bZIP110, WRKY49 and WRKY111 in Soybean; Nanjing Agricultural University: Nanjing, China, 2013. [Google Scholar]
- Bhanbhro, N. Adaptive Strategy of Allohexaploid Wheat (Triticum aestivium L.) to Long-Termsalinity Stress; Northeast Normal University: Changchun, China, 2020. [Google Scholar]
- Yi, S.; Ku, S.S.; Sim, H.J.; Kim, S.K.; Park, J.; Lyu, J.; So, E.; Choi, S.; Kim, J.; Ahn, M.; et al. An Alcohol Dehydrogenase Gene from Synechocystis sp. Confers Salt Tolerance in Transgenic Tobacco. Front. Plant Sci. 2017, 8, 1965. [Google Scholar] [CrossRef] [Green Version]
- Fu, Y. The Molecular Mechanism of iar4 Modulation of Primary Root Growth under Salt Stress in Arabidopsis; Huazhong Agricultural University: Wuhan, China, 2019. [Google Scholar]
- Yin, Y.G.; Tominaga, T.; Lijima, Y.; Aoki, K.; Shibata, D.; Ashihara, H.; Nishimura, S.; Ezura, H.; Matsukura, C. Metabolic Alterations in Organic Acids and γ-Aminobutyric Acid in Developing Tomato (Solanum lycopersicum L.) Fruits. Plant Cell Physiol. 2010, 51, 1300–1314. [Google Scholar] [CrossRef] [Green Version]
- Somerville, C.; Youngs, H.; Taylor, C.; Davis, S.C.; Long, S.P. Feedstocks for lignocellulosic biofuels. Science 2010, 329, 790–792. [Google Scholar] [CrossRef] [Green Version]
- Aline, V.; Herman, H. Cell wall integrity signaling in plants:“To grow or not to grow that’s the question”. Glycobiology 2016, 26, 950–960. [Google Scholar]
- Zhang, R.; Li, L. Research progress of plant cell wall singals. Plant Physiol. J. 2018, 54, 1254–1262. [Google Scholar]
- Endler, A.; Kesten, C.; Schneider, R.; Zhang, Y.; Alexander, L.; Froehlich, A.; Funke, N.; Persson, S. A mechanism for sustained cellulose synthesis during salt stress. Cell 2015, 162, 1353–1364. [Google Scholar] [CrossRef] [Green Version]
- Kesten, C.; Menna, A.; Sanchez-Rodriguez, C. Regulation of cellulose synthesis in response to stress. Curr. Opin. Plant Biol. 2017, 40, 106–113. [Google Scholar] [CrossRef]
- Deinlein, U.; Stephan, A.B.; Horie, T.; Luo, W.; Xu, G.; Schroeder, J.I. Plant salt-tolerance mechanisms. Trends Plant Sci. 2014, 19, 371–379. [Google Scholar] [CrossRef] [Green Version]
- Babgohari, M.Z.; Ebrahimie, E.; Niazi, A.I. In silico analysis of high affinity potassium transporter (HKT) isoforms in different plants. Aquat. Biosyst. 2014, 10, 9. [Google Scholar] [CrossRef] [Green Version]
- Han, Y.; Yin, S.; Huang, L.; Wu, X.; Zeng, J.; Liu, X.; Qiu, L.; Munns, R.; Chen, Z.H.; Zhang, G. A sodium transporter HvHKT1; 1 confers salt tolerance in barley via regulating tissue and cell ion homeostasis. Plant Cell Phys. 2018, 59, 1976–1989. [Google Scholar] [CrossRef]
- Huang, L.; Kuang, L.; Wu, L.; Shen, Q.; Han, Y.; Jiang, L.; Wu, D.; Zhang, G. The HKT transporter HvHKT1;5 negatively regulates salt tolerance. Plant Physiol. 2020, 182, 584–596. [Google Scholar] [CrossRef]
- Kader, A.; Seidel, T.; Golldack, D.; Lindberg, S. Expressions of OsHKT1, OsHKT2, and OsVHA are differentially regulated under NaCl stress in salt-sensitive and salt-tolerant rice (Oryza sativa L.) cultivars. J. Exp. Bot. 2006, 57, 4257–4268. [Google Scholar] [CrossRef] [Green Version]
- Nelson, D.R.; Koymans, L.; Kamataki, T.; Stegeman, J.J.; Feyereisen, R.; Waxman, D.J.; Waterman, M.R.; Gotoh, O.; Coon, M.J.; Estabrook, R.W.; et al. P450 superfamily:Update on new sequences, gene mapping, accession numbers and nomenclature. Pharmacogenetics 1996, 6, 1–42. [Google Scholar] [CrossRef]
- Liu, C.J.; Huhman, D.; Sumner, L.W.; Dixon, R.A. Regiospecific hydroxylation of isoflavones by cytochrome p450 81E enzymes from Medicago truncatula. Plant J. 2003, 36, 471–484. [Google Scholar] [CrossRef] [Green Version]
- Kim, H.; Triplett, B. Involvement of extracellular Cu/Zn superoxide dismutase in cottonfiber primary and secondary cell wall biosynthesis. Plant Signal. Behav. 2008, 3, 1119–1121. [Google Scholar] [CrossRef] [Green Version]
- Shafi, A.; Gill, T.; Zahoor, I.; Ahuja, P.S.; Sreenivasulu, Y.; Kumar, S.; Singh, A.K. Ectopic expression of SOD and APX genes in Arabidopsis alters metabolic pools and genes related to secondary cell wall cellulose biosynthesis and improve salt tolerance. Mol. Biol. Rep. 2019, 87, 615–631. [Google Scholar] [CrossRef]
- Quiroga, M.; Guerrero, C.; Botella, M.; Barcelo, A.; Amaya, I.; Medina, M.; Alonso, F.; De Forchetti, S.; Tigier, H.; Valpuesta, V. A tomato peroxidase involved in the synthesis of lignin and suberin. Plant Physiol. 2000, 122, 1119–1127. [Google Scholar] [CrossRef] [Green Version]
- Yang, Y.; Yu, T.F.; Ma, J.; Chen, J.; Zhou, Y.B.; Chen, M.; Ma, Y.Z.; Wei, W.L.; Xu, Z.S. The soybean bzip transcription factor gene GmbZIP2 confers drought and salt resistances in transgenic plants. Int. J. Mol. Sci. 2020, 21, 670. [Google Scholar] [CrossRef] [Green Version]
- Rajappa, S.; Krishnamurthy, P.; Kumar, P.P. Regulation of AtKUP2 expression by bHLH and WRKY transcription factors helps to confer increased salt tolerance to Arabidopsis thaliana Plants. Front. Plant Sci. 2020, 11, 1311. [Google Scholar] [CrossRef]
- Cui, M.H.; Yoo, K.S.; Hyoung, S.; Nguyen, H.T.K.; Kim, Y.Y.; Kim, H.J.; Ok, S.H.; Yoo, S.D.; Shin, J.S. An Arabidopsis R2R3-Mybtranscription factor, AtMYB20, negatively regulates type 2c serine/threonine protein phosphatases to enhance salt tolerance. FEBS Lett. 2013, 587, 1773–1778. [Google Scholar] [CrossRef] [Green Version]
- Zhang, X.; Chen, L.; Shi, Q.; Ren, Z. SlMYB102, an R2R3-type MYB gene, confers salt tolerance in transgenic tomato. Plant Sci. 2020, 291, 110356. [Google Scholar] [CrossRef]
- Ju, Y.L.; Yue, X.F.; Min, Z.; Wang, X.H.; Fang, Y.L.; Zhang, J.X. VvNAC17, a novel stress-responsive grapevine (Vitis vinifera L.) NAC transcription factor, increases sensitivity to abscisic acid and enhances salinity, freezing, and drought tolerance in transgenic Arabidopsis. Plant Physiol. Biochem. 2020, 146, 98–111. [Google Scholar] [CrossRef]
- Martin-Trillo, M.; Cubas, P. TCP genes: A family snapshot ten years later. Trends Plant Sci. 2010, 15, 31–39. [Google Scholar] [CrossRef]
- Liu, H.L.; Gao, Y.M.; Wu, M.; Shi, Y.N.; Wang, H.; Wu, L.; Xiang, Y. TCP10, a TCP transcription factor in moso bamboo ( Phyllostachys edulis), confers drought tolerance to transgenic plants. Environ. Exp. Bot. 2020, 172, 104002. [Google Scholar] [CrossRef]
- Li, F.R.; Xu, S.J.; Liu, J.G.; Xiang, H.L.; Zhang, J.W.; Cui, S.; Ding, Y.Q.; Li, H.Y. Salt tolerance analysis of transgenic Betula platyphylla seedlings with inhibited BpTCP10 expression. J. Cent. South Univ. For. Technol. 2022, 42, 16–25+38. [Google Scholar]
- Zhou, M.; Li, D.Y.; Li, Z.G.; Hu, Q.; Yang, C.H.; Zhu, L.H.; Luo, H. Constitutive expression of a miR319 gene alters plant development and enhances salt and drought tolerance in transgenic creeping bentgrass. Plant Physiol. 2013, 161, 1375–1391. [Google Scholar] [CrossRef] [Green Version]
- Shi, X.P.; Jiang, F.L.; Wen, J.Q.; Wu, Z. Overexpression of Solanum habrochaites microRNA319d (sha-miR319d) confers chilling and heat stress tolerance in tomato (S. lycopersicum). Biol. Med. Cent. 2019, 19, 214. [Google Scholar] [CrossRef]
- Liu, Y.; Li, D.; Yan, J.; Wang, K.; Zhang, W. MiR319-mediated ethylene biosynthesis, signalling and salt stress response in switchgrass. Plant Biotechnol. J. 2019, 17, 2370–2383. [Google Scholar] [CrossRef]
- Shi, P.B. Identification and Function Anaiysis of TCP Transcription Factors in Watermelen; Zhejiang Agricultural University: Hangzhou, China, 2016. [Google Scholar]










| Tissue | Gene ID | KEGG Number | Log2 (TT/TC) | Log2 (ST/SC) | Nr Description |
|---|---|---|---|---|---|
| Root | Cla97C03G054690 | ko00620 | 1.85 | 6.31 | malate synthase |
| Cla97C05G107020 | ko00620 | −1.46 | −1.25 | pyruvate dehydrogenase E1 | |
| Cla97C05G107020 | ko00020 | −1.46 | −1.25 | pyruvate dehydrogenase E1 | |
| Novel_G000429 | ko00052 | −1.53 | −2.74 | UDP-sugar pyrophosphorylase | |
| Cla97C01G009200 | ko00052 | 0.78 | 1.19 | alpha-glucosidase | |
| Cla97C02G031490 | ko00052 | −2.47 | −2.20 | alcohol dehydrogenase (NADP+) | |
| Cla97C10G197800 | ko00052 | 1.37 | 1.96 | aldose 1-epimerase | |
| Cla97C10G197810 | ko00052 | 1.37 | 1.96 | alcohol dehydrogenase (NADP+) | |
| Cla97C02G031490 | ko00010 | −2.47 | −2.20 | alcohol dehydrogenase (NADP+) | |
| Cla97C05G107020 | ko00010 | −1.46 | −1.25 | pyruvate dehydrogenase E1 | |
| Cla97C10G197800 | ko00010 | 1.37 | 1.96 | aldose 1-epimerase | |
| Cla97C10G197810 | ko00010 | 1.37 | 1.96 | aldose 1-epimerase | |
| Cla97C11G206680 | ko00780 | 2.43 | 3.67 | NADPH-dependent pterin aldehyde reductase-like | |
| Leaf | Cla97C10G192070 | ko00620 | 0.45 | 1.35 | phosphoenolpyruvate carboxykinase [ATP] |
| Cla97C11G216650 | ko00620 | −1.57 | −1.64 | lactoylglutathione lyase | |
| Cla97C11G220850 | ko00620 | 1.00 | 3.73 | phosphoenolpyruvate carboxykinase [ATP] | |
| Cla97C10G192070 | ko00020 | 0.45 | 1.35 | phosphoenolpyruvate carboxykinase [ATP] | |
| Cla97C11G220850 | ko00020 | 1.00 | 3.73 | phosphoenolpyruvate carboxykinase [ATP] | |
| Cla97C07G140230 | ko00052 | −0.58 | −0.83 | ATP-dependent 6-phosphofructokinase 6 | |
| Cla97C08G156510 | ko00052 | −1.18 | −1.42 | beta-fructofuranosidase | |
| Cla97C08G156670 | ko00052 | −1.31 | −1.47 | beta-fructofuranosidase | |
| Cla97C07G140230 | ko00010 | −0.58 | −0.83 | ATP-dependent 6-phosphofructokinase 6 | |
| Cla97C10G192070 | ko00010 | 0.45 | 1.35 | phosphoenolpyruvate carboxykinase [ATP] | |
| Cla97C11G220850 | ko00010 | 1.00 | 3.73 | phosphoenolpyruvate carboxykinase [ATP] | |
| Cla97C11G206570 | ko00780 | −0.47 | −0.93 | NADPH-dependent pterin aldehyde reductase |
Publisher’s Note: MDPI stays neutral with regard to jurisdictional claims in published maps and institutional affiliations. |
© 2022 by the authors. Licensee MDPI, Basel, Switzerland. This article is an open access article distributed under the terms and conditions of the Creative Commons Attribution (CC BY) license (https://creativecommons.org/licenses/by/4.0/).
Share and Cite
Zhu, Y.; Yuan, G.; Gao, B.; An, G.; Li, W.; Si, W.; Sun, D.; Liu, J. Comparative Transcriptome Profiling Provides Insights into Plant Salt Tolerance in Watermelon (Citrullus lanatus). Life 2022, 12, 1033. https://doi.org/10.3390/life12071033
Zhu Y, Yuan G, Gao B, An G, Li W, Si W, Sun D, Liu J. Comparative Transcriptome Profiling Provides Insights into Plant Salt Tolerance in Watermelon (Citrullus lanatus). Life. 2022; 12(7):1033. https://doi.org/10.3390/life12071033
Chicago/Turabian StyleZhu, Yingchun, Gaopeng Yuan, Bowen Gao, Guolin An, Weihua Li, Wenjing Si, Dexi Sun, and Junpu Liu. 2022. "Comparative Transcriptome Profiling Provides Insights into Plant Salt Tolerance in Watermelon (Citrullus lanatus)" Life 12, no. 7: 1033. https://doi.org/10.3390/life12071033
APA StyleZhu, Y., Yuan, G., Gao, B., An, G., Li, W., Si, W., Sun, D., & Liu, J. (2022). Comparative Transcriptome Profiling Provides Insights into Plant Salt Tolerance in Watermelon (Citrullus lanatus). Life, 12(7), 1033. https://doi.org/10.3390/life12071033

