Novel DERMA Fusion Technique for ECG Heartbeat Classification
Abstract
:1. Introduction
- 1.
- We designed a fusion-based method DERMA with FrlFT to preprocess the ECG signal efficiently and extract the features such as P-, QRS, and T-waves.
- 2.
- Our proposed method specifically identifies the abnormal morphological events that are associated with PVC, LBBB, RBBB, PACE, and APC.
- 3.
- We calculated the temporal values, which are associated with specific events such as PR and RT waveform duration.
- 4.
- Furthermore, this study performed classification using supervised learning models, such as KNN and SVM, by utilizing the MIT-BIH Arrhythmia dataset, whereas two different datasets were utilized, namely AHA and SPNH, for testing purposes.
2. Materials and Methods
2.1. Preprocessing of ECG Signals
2.2. Signal Filtering
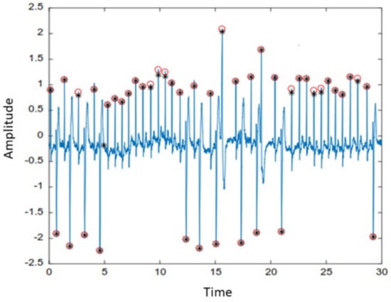
2.3. R-Peak Detection
3. Classification
3.1. Feature Extraction
Feature Matrix
4. Supervised Machine Learning Algorithms
4.1. Support Vector Machine Classifier
4.2. K-Nearest Neighbor
4.3. Evaluation Methods
5. Results and Discussion
5.1. Simulation Results
5.1.1. Feature Extraction Results
5.1.2. Classification Results
6. Conclusions
Author Contributions
Funding
Informed Consent Statement
Data Availability Statement
Acknowledgments
Conflicts of Interest
References
- Subathra, M.S.P.; Mohammed, M.A.; Maashi, M.S.; Garcia-Zapirain, B.; Sairamya, N.J.; George, S.T. Detection of focal and non-focal electroencephalogram signals using fast walsh-hadamard transform and artificial neural network. Sensors 2020, 20, 4952. [Google Scholar]
- Mastoi, Q.U.A.; Wah, T.Y.; Raj, R.G.; Iqbal, U. Automated Diagnosis of Coronary Artery Disease: A Review and Workflow. Cardiol. Res. Pract. 2018, 2018, 2016282. [Google Scholar] [CrossRef] [Green Version]
- Alyasseri, Z.A.A.; Alomari, O.A.; Papa, J.P.; Al-Betar, M.A.; Abdulkareem, K.H.; Mohammed, M.A.; Kadry, S.; Thinnukool, O.; Khuwuthyakorn, P. EEG Channel Selection Based User Identification via Improved Flower Pollination Algorithm. Sensors 2022, 22, 2092. [Google Scholar] [CrossRef]
- Abdi Alkareem Alyasseri, Z.; Alomari, O.A.; Al-Betar, M.A.; Awadallah, M.A.; Hameed Abdulkareem, K.; Abed Mohammed, M.; Kadry, S.; Rajinikanth, V.; Rho, S. EEG Channel Selection Using Multiobjective Cuckoo Search for Person Identification as Protection System in Healthcare Applications. Comput. Intell. Neurosci. 2022, 2022, 5974634. [Google Scholar] [CrossRef]
- Zhu, B.; Ding, Y.; Hao, K. A novel automatic detection system for ECG arrhythmias using maximum margin clustering with immune evolutionary algorithm. Comput. Math. Methods Med. 2013, 2013, 658243. [Google Scholar] [CrossRef] [Green Version]
- Mahesh, V.; Kandaswamy, A.; Vimal, C.; Sathish, B. Random Forest classifier-based ECG arrhythmia classification. Int. J. Healthc. Inf. Syst. Inform. 2010, 5, 1–10. [Google Scholar] [CrossRef]
- Romero, V.B. ECG baseline wander removal and noise suppression analysis in an embedded platform. Ene 2010, 16, 38. [Google Scholar]
- Elhoseny, M.; Mohammed, M.A.; Mostafa, S.A.; Abdulkareem, K.H.; Maashi, M.S.; Garcia-Zapirain, B.; Mutlag, A.A.; Maashi, M.S. A new multi-agent feature wrapper machine learning approach for heart disease diagnosis. Comput. Mater. Continua 2021, 67, 51–71. [Google Scholar] [CrossRef]
- Rahman, A.U.; Saeed, M.; Mohammed, M.A.; Krishnamoorthy, S.; Kadry, S.; Eid, F. An Integrated Algorithmic MADM Approach for Heart Diseases’ Diagnosis Based on Neutrosophic Hypersoft Set with Possibility Degree-Based Setting. Life 2022, 12, 729. [Google Scholar] [CrossRef]
- Mastoi, Q.U.A.; Wah, T.Y.; Raj, R.G.; Lakhan, A. A novel cost-efficient framework for critical heartbeat task scheduling using the internet of medical things in a fog cloud system. Sensors 2020, 20, 441. [Google Scholar] [CrossRef] [Green Version]
- Mutlag, A.A.; Ghani, M.K.A.; Mohammed, M.A.; Lakhan, A.; Mohd, O.; Abdulkareem, K.H.; Garcia-Zapirain, B. Multi-Agent Systems in Fog—Cloud Computing for Critical Healthcare Task Management Model (CHTM) Used for ECG Monitoring. Sensors 2021, 21, 6923. [Google Scholar] [CrossRef]
- Celin, S.; Vasanth, K. Detection and classification of R-peak using Naïve bayes classifier. Int. J. Eng. Technol. 2018, 7, 397–403. [Google Scholar] [CrossRef]
- Chen, L.; Hao, Y. Feature Extraction and Classification of EHG between Pregnancy and Labour Group Using Hilbert-Huang Transform and Extreme Learning Machine. Comput. Math. Methods Med. 2017, 2017, 7949507. [Google Scholar] [CrossRef] [PubMed]
- Panigraphy, D.; Sahu, P.K. P and T wave detection and delineation of ECG signal using differential evolution (DE) optimization strategy. Australas. Phys. Eng. Sci. Med. 2018, 41, 225–241. [Google Scholar] [CrossRef] [PubMed]
- Costa, R.; Winkert, T.; Manhães, A.; Teixeira, J.P. QRS peaks, P and T waves identification in ECG. Procedia Comput. Sci. 2021, 181, 957–964. [Google Scholar] [CrossRef]
- Mark, G.; Moody, R. MIT-BIH Arrhythmia Database Directory; Massachusetts Institute of Technology: Cambridge, MA, USA, 1988. [Google Scholar]
- Ayub, S.; Saini, J.P. ECG classification and abnormality detection using cascade forward neural network. Int. J. Eng. Sci. Technol. 2011, 3, 41–46. [Google Scholar] [CrossRef]
- Mazidi, M.H.; Eshghi, M.; Raoufy, M.R. Detection of premature ventricular contraction (PVC) using linear and nonlinear techniques: An experimental study. Cluster Comput. 2020, 23, 759–774. [Google Scholar] [CrossRef]
- Kumar, S.U.; Inbarani, H.H. Neighborhood rough set based ECG signal classification for diagnosis of cardiac diseases. Soft Comput. 2017, 21, 4721–4733. [Google Scholar] [CrossRef]
- Padmavathi, K.; Ramakrishna, K.S. Classification of ECG signal during Atrial Fibrillation using Autoregressive modeling. Procedia Comput. Sci. 2015, 46, 53–59. [Google Scholar] [CrossRef] [Green Version]
- Azariadi, D.; Tsoutsouras, V.; Xydis, S.; Soudris, D. ECG signal analysis and arrhythmia detection on IoT wearable medical devices. In Proceedings of the 2016 5th International Conference on Modern Circuits and Systems Technologies (MOCAST), Thessaloniki, Greece, 12–14 May 2016. [Google Scholar] [CrossRef]
- Ozaktas, H.M.; Ankan, O.; Kutay, M.A.; Bozdagi, G. Digital computation of the fractional fourier transform. IEEE Trans. Signal Process. 1996, 44, 2141–2150. [Google Scholar] [CrossRef] [Green Version]
- Sejdić, E.; Djurović, I.; Stanković, L. Fractional Fourier transform as a signal processing tool: An overview of recent developments. Signal Processing 2011, 91, 1351–1369. [Google Scholar] [CrossRef] [Green Version]
- Pławiak, P.; Acharya, U.R. Novel deep genetic ensemble of classifiers for arrhythmia detection using ECG signals. Neural Comput. Appl. 2020, 32, 11137–11161. [Google Scholar] [CrossRef] [Green Version]
- Masetic, Z.; Subasi, A. Congestive heart failure detection using random forest classifier. Comput. Methods Programs Biomed. 2016, 130, 54–64. [Google Scholar] [CrossRef]
- Zheng, J.; Zhang, J.; Danioko, S.; Yao, H.; Guo, H.; Rakovski, C. A 12-lead electrocardiogram database for arrhythmia research covering more than 10,000 patients. Sci. Data 2020, 7, 48. [Google Scholar] [CrossRef] [PubMed] [Green Version]
- Cuomo, S.; De Pietro, G.; Farina, R.; Galletti, A.; Sannino, G. A revised scheme for real time ECG Signal denoising based on recursive filtering. Biomed. Signal Process. Control 2016, 27, 134–144. [Google Scholar] [CrossRef]
- Peterson, L. K-nearest neighbor. Scholarpedia 2009, 4, 1883. [Google Scholar] [CrossRef]
- Fix, E.; Hodges, J.L., Jr. Discriminatory analysis—Nonparametric discrimination: Small sample performance. In Project No. 21-49-004, Report No. 11, Contract No. AF 41 (129)-31; USAF School of Aviation: Randolph Field, TX, USA, 1952. [Google Scholar]
- Orozco-Duque, A.; Martinez-Tabares, F.J.; Gallego, J.; Rodriguez, C.A.; Mora, I.D.; Castellanos-Dominguez, G.; Bustamante, J. Classification of premature ventricular contraction based on Discrete Wavelet Transform for real time applications. In Proceedings of the Pan American Health Care Exchanges, PAHCE, Medellin, Colombia, 29 April–4 May 2013; pp. 1–5. [Google Scholar] [CrossRef]
- Faziludeen, S.; Sankaran, P. ECG Beat Classification Using Evidential K-Nearest Neighbour. Procedia Comput. Sci. 2016, 89, 499–505. [Google Scholar] [CrossRef] [Green Version]
- Kalaiselvi, C. Diagnosing of heart diseases using average k-nearest neighbor algorithm of data mining. In Proceedings of the 2016 3rd International Conference on Computing for Sustainable Global Development (INDIACom), New Delhi, India, 16–19 March 2016; pp. 3099–3103. [Google Scholar]
- Gilani, M.; Eklund, J.M.; Makrehchi, M. Automated detection of atrial fibrillation episode using novel heart rate variability features. In Proceedings of the Annual International Conference of the IEEE Engineering in Medicine and Biology Society, EMBS, Orlando, FL, USA, 16–20 August 2016; pp. 3461–3464. [Google Scholar] [CrossRef]
- Gupta, V.; Mittal, M.; Mittal, V.; Chaturvedi, Y. Detection of R-peaks using fractional Fourier transform and principal component analysis. J. Ambient Intell. Humaniz. Comput. 2021, 13, 961–972. [Google Scholar] [CrossRef]
- Yaqoob, T.; Aziz, S.; Ahmed, S.; Amin, O.; Aluomini, M.S. Fractional Fourier Transform Based QRS Complex Detection in ECG Signal. In Proceedings of the ICASSP 2020-2020 IEEE International Conference on Acoustics, Speech and Signal Processing (ICASSP), Barcelona, Spain, 4–8 May 2020; Volume 2020, pp. 931–935. [Google Scholar] [CrossRef]
- Zhang, J.; Liu, A.; Liang, D.; Chen, X.; Gao, M. Interpatient ECG Heartbeat Classification with an Adversarial Convolutional Neural Network. J. Healthc. Eng. 2021, 2021, 9946596. [Google Scholar] [CrossRef] [PubMed]
- Pucer, J.F.; Kukar, M. A topological approach to delineation and arrhythmic beats detection in unprocessed long-term ECG signals. Comput. Methods Programs Biomed. 2018, 164, 159–168. [Google Scholar] [CrossRef] [PubMed]
- Xie, T.; Li, R.; Shen, S.; Zhang, X.; Zhou, B.; Wang, Z. Intelligent Analysis of Premature Ventricular Contraction Based on Features and Random Forest. J. Healthc. Eng. 2019, 2019, 5787582. [Google Scholar] [CrossRef] [PubMed]
- Zhou, Z.; Zhai, X.; Tin, C. Fully Automatic Electrocardiogram Classification System based on Generative Adversarial Network with Auxiliary Classifier. Expert Syst. Appl. 2021, 174, 114809. [Google Scholar] [CrossRef]





| S. No | Feature | Sen % | Acc % | Der % |
|---|---|---|---|---|
| 1 | QRS complex | 99.99 | 99.99 | 0.002 |
| 2 | P-wave | 99.90 | 99.99 | 0.001 |
| 3 | T-wave | 99.92 | 99.98 | 0.002 |
| 4 | The previous R-R interval | 99.99 | 99.98 | 0.001 |
| 5 | The subsequent R-R interval | 99.97 | 99.98 | 0.001 |
| 6 | The standard deviation of successive difference (SDSD) | 99.99 | 99.99 | 0.002 |
| Total/Average Performance | 99.96 | 99.98 | 0.0015 | |
| Dataset | SVM | KNN | ||||
|---|---|---|---|---|---|---|
| MIT-BIH | Acc (%) | Sen (%) | PPV (%) | Acc (%) | Sen (%) | PPV (%) |
| Normal | 0.92 | 0.98 | 0.98 | 0.94 | 0.97 | 0.92 |
| PVC | 1.00 | 1.00 | 1.00 | 0.98 | 0.95 | 0.97 |
| PACE | 0.95 | 0.97 | 0.99 | 0.99 | 0.94 | 0.96 |
| AFIB | 0.98 | 0.99 | 0.96 | 0.98 | 0.93 | 0.98 |
| APC | 0.99 | 0.98 | 0.97 | 0.99 | 0.96 | 0.99 |
| SPNH | ||||||
| GSVT | 0.70 | 0.71 | 0.68 | 0.59 | 0.80 | 0.87 |
| AFIB | 0.83 | 0.82 | 0.87 | 0.85 | 0.88 | 0.89 |
| SB | 0.82 | 0.84 | 0.90 | 0.91 | 0.92 | 0.89 |
| SR | 0.78 | 0.79 | 0.75 | 0.74 | 0.79 | 0.78 |
Publisher’s Note: MDPI stays neutral with regard to jurisdictional claims in published maps and institutional affiliations. |
© 2022 by the authors. Licensee MDPI, Basel, Switzerland. This article is an open access article distributed under the terms and conditions of the Creative Commons Attribution (CC BY) license (https://creativecommons.org/licenses/by/4.0/).
Share and Cite
Mastoi, Q.-u.-a.; Wah, T.Y.; Mohammed, M.A.; Iqbal, U.; Kadry, S.; Majumdar, A.; Thinnukool, O. Novel DERMA Fusion Technique for ECG Heartbeat Classification. Life 2022, 12, 842. https://doi.org/10.3390/life12060842
Mastoi Q-u-a, Wah TY, Mohammed MA, Iqbal U, Kadry S, Majumdar A, Thinnukool O. Novel DERMA Fusion Technique for ECG Heartbeat Classification. Life. 2022; 12(6):842. https://doi.org/10.3390/life12060842
Chicago/Turabian StyleMastoi, Qurat-ul-ain, Teh Ying Wah, Mazin Abed Mohammed, Uzair Iqbal, Seifedine Kadry, Arnab Majumdar, and Orawit Thinnukool. 2022. "Novel DERMA Fusion Technique for ECG Heartbeat Classification" Life 12, no. 6: 842. https://doi.org/10.3390/life12060842
APA StyleMastoi, Q.-u.-a., Wah, T. Y., Mohammed, M. A., Iqbal, U., Kadry, S., Majumdar, A., & Thinnukool, O. (2022). Novel DERMA Fusion Technique for ECG Heartbeat Classification. Life, 12(6), 842. https://doi.org/10.3390/life12060842

