Effects of Salt Stress on the Antioxidant Activity and Malondialdehyde, Solution Protein, Proline, and Chlorophyll Contents of Three Malus Species
Abstract
1. Introduction
2. Materials and Methods
2.1. Plant Materials
2.2. Experimental Design
2.3. Physiological Parameter Measurements
2.4. Statistical Analysis
3. Results
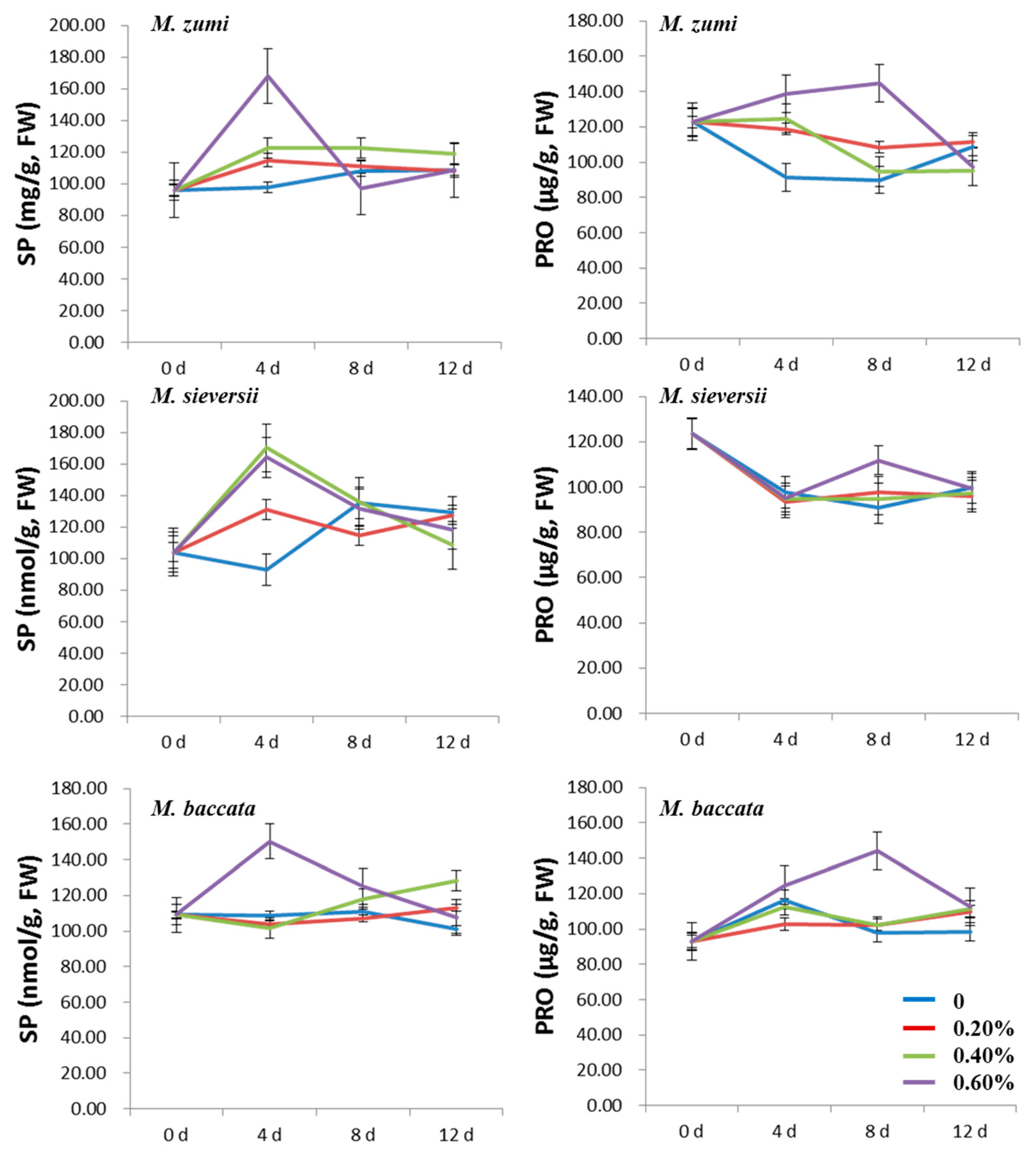
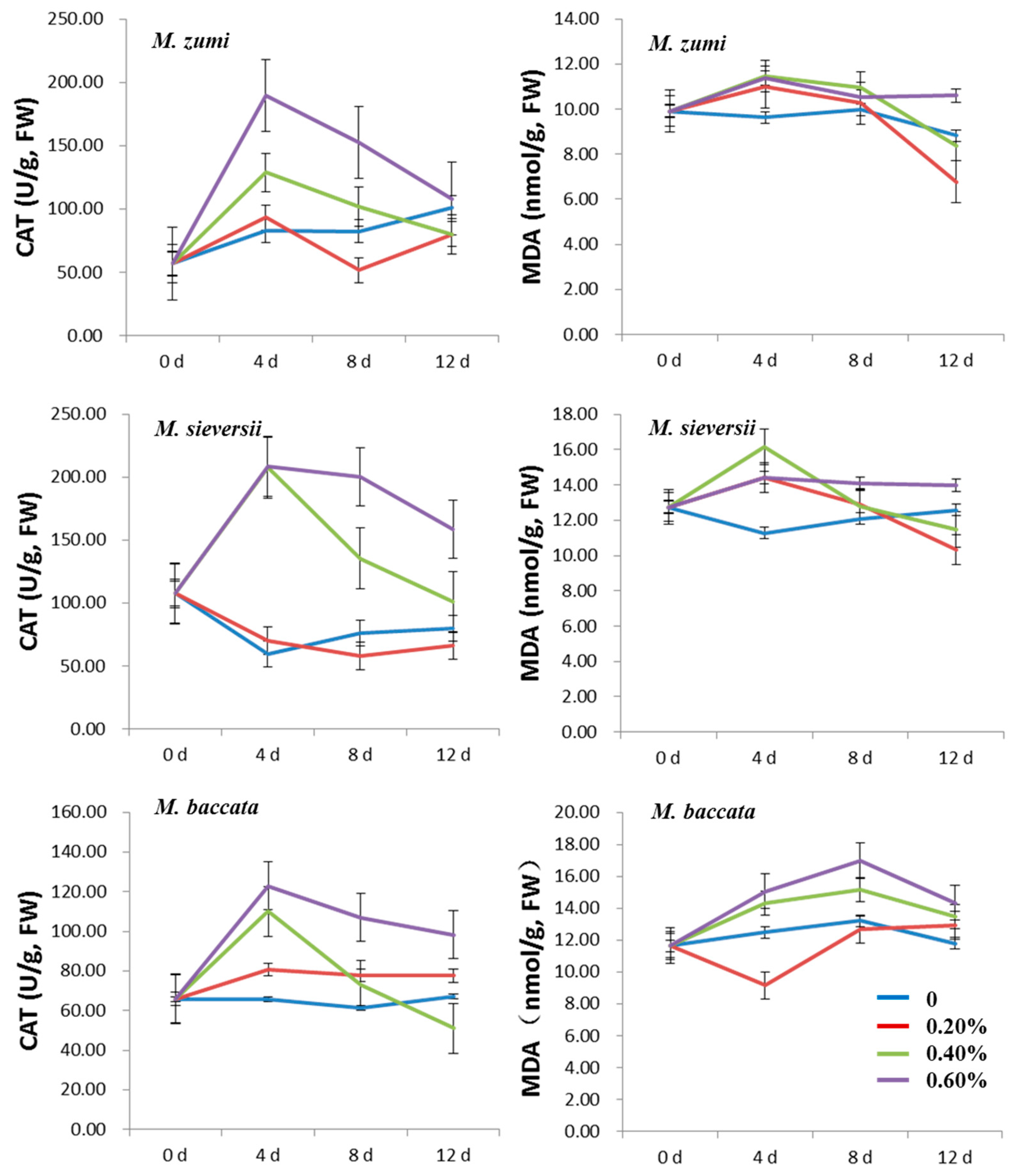
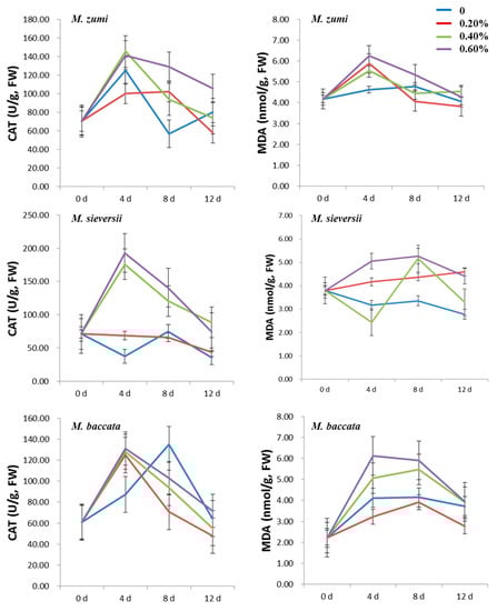
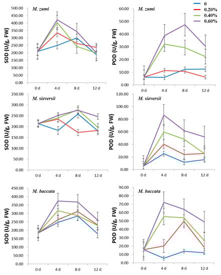
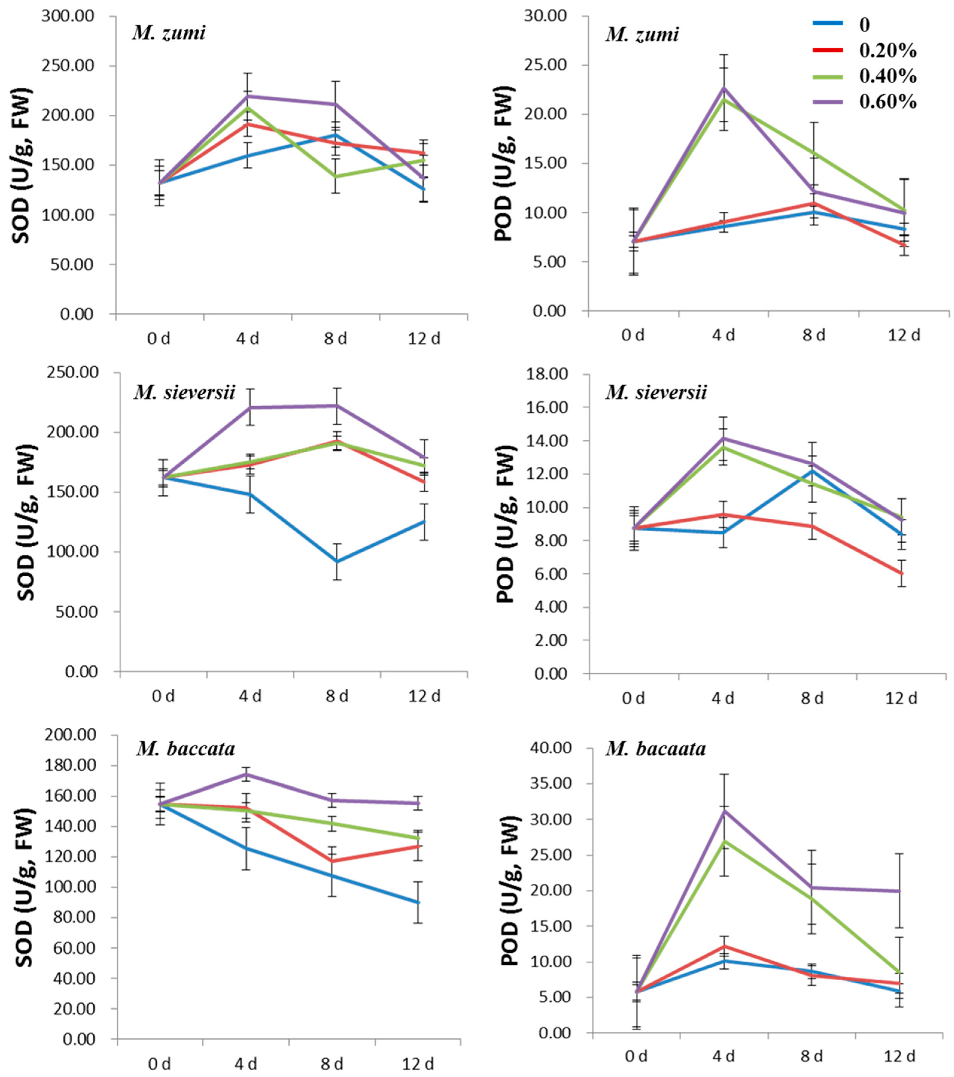
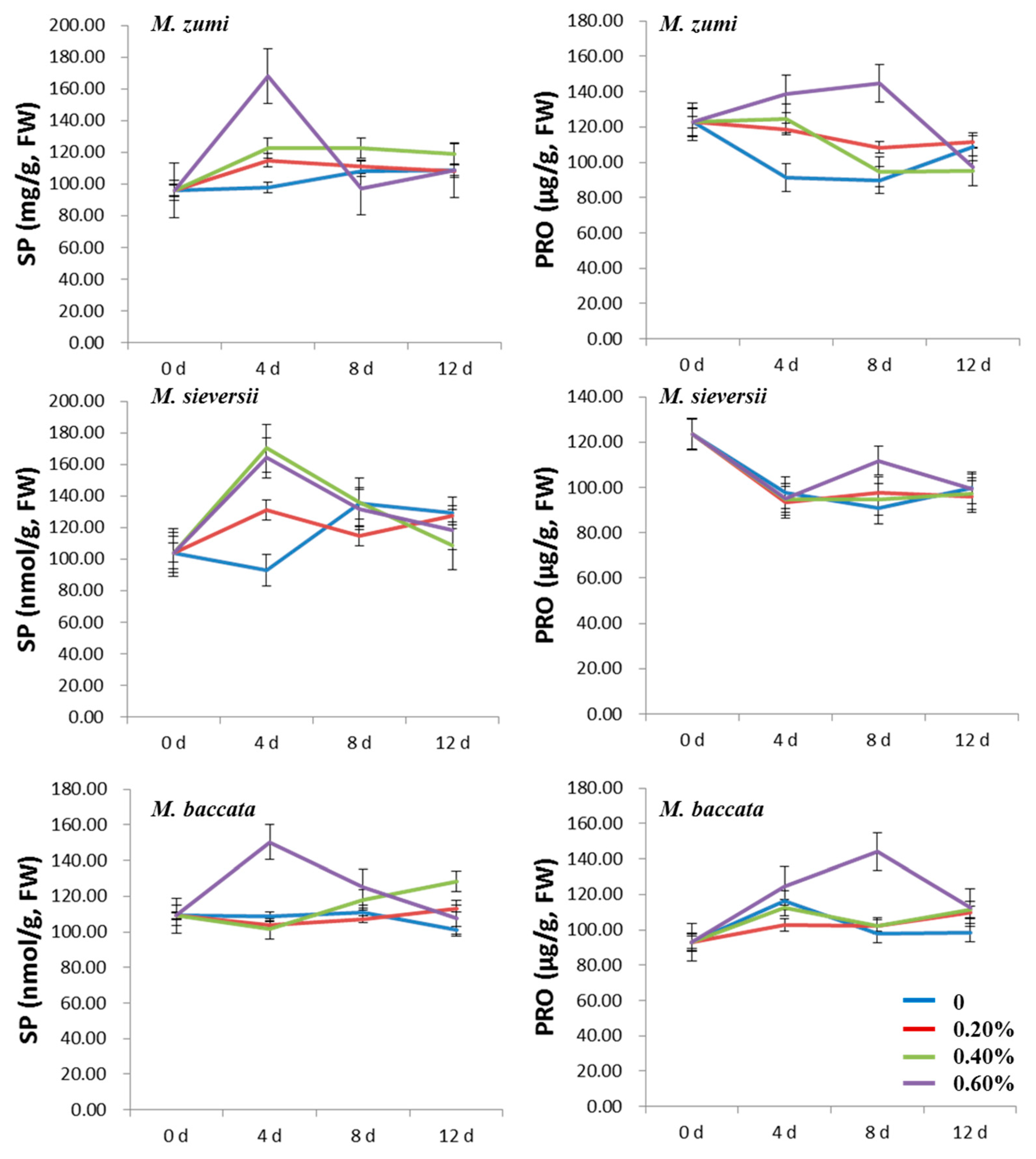
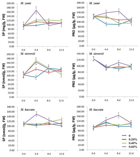
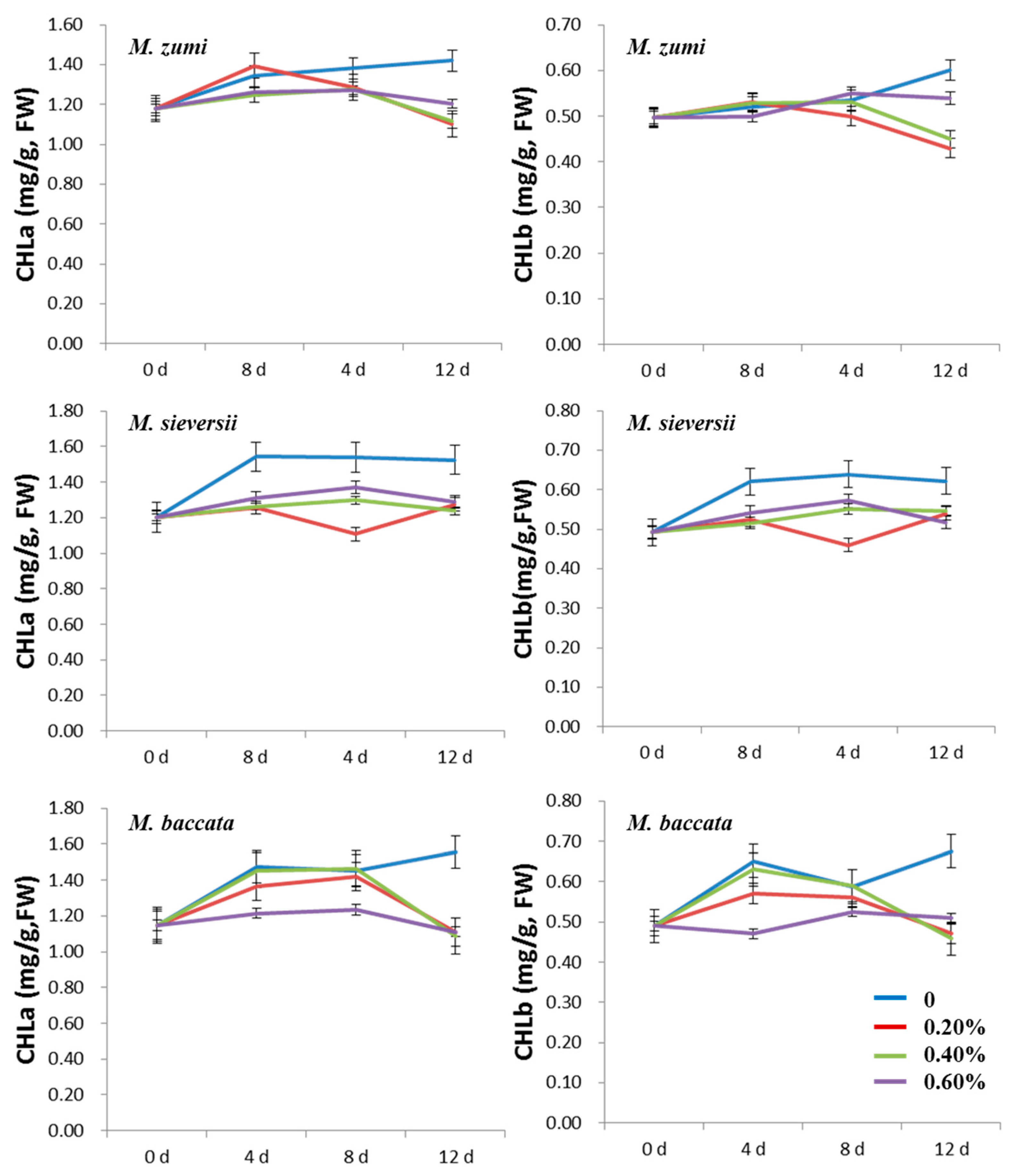
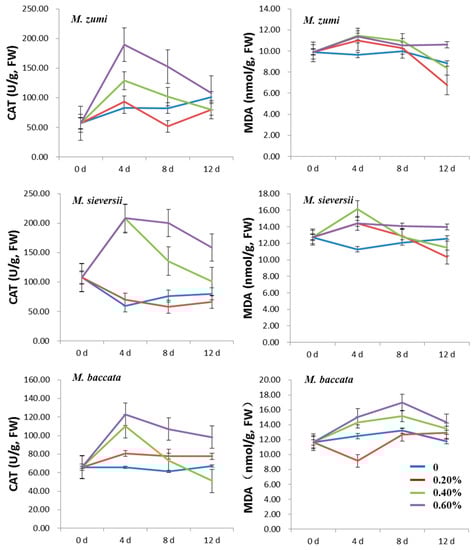
3.1. Dynamic Effects on Physiological Parameters of Leaves of Malus Plants under Salinity Stress
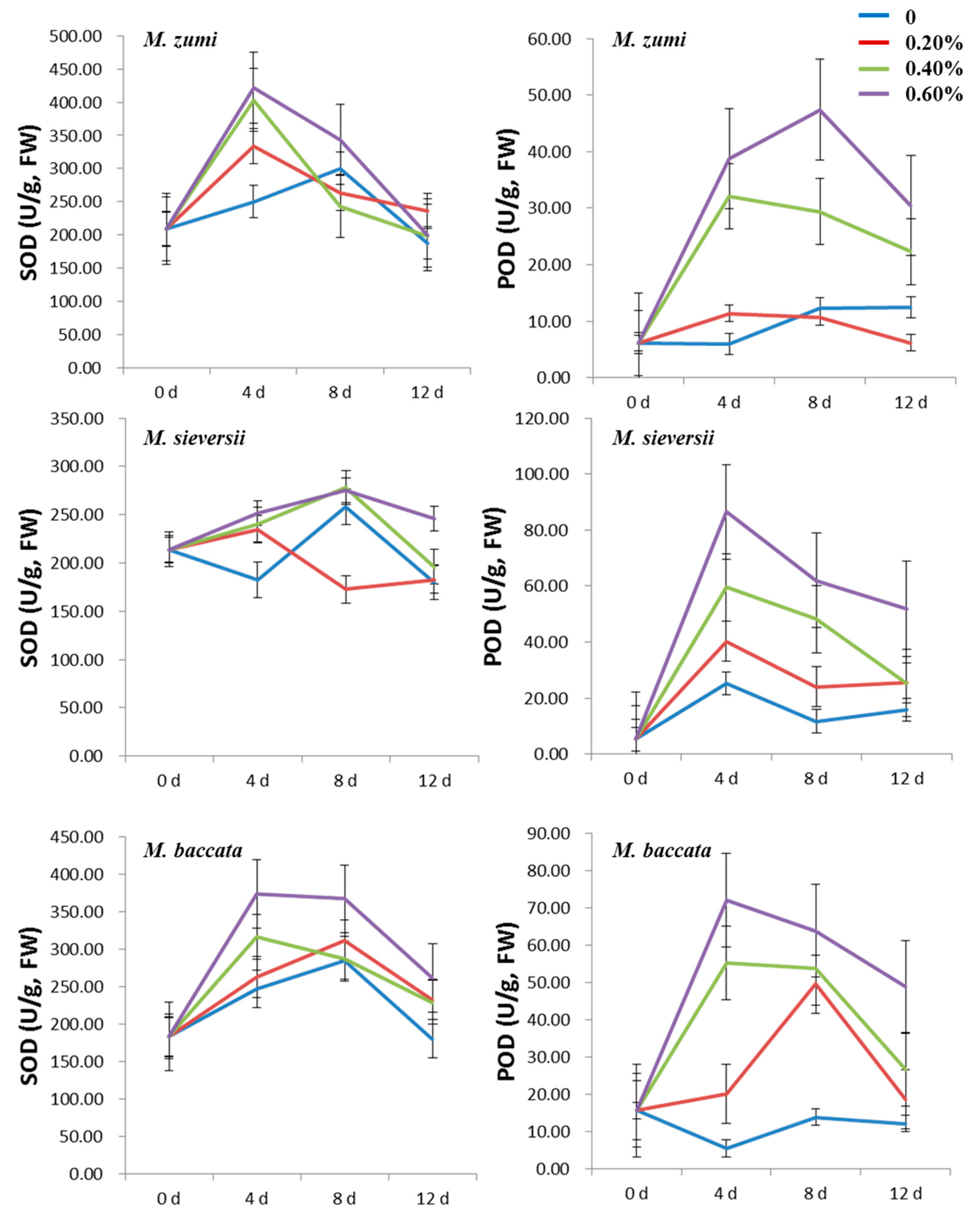
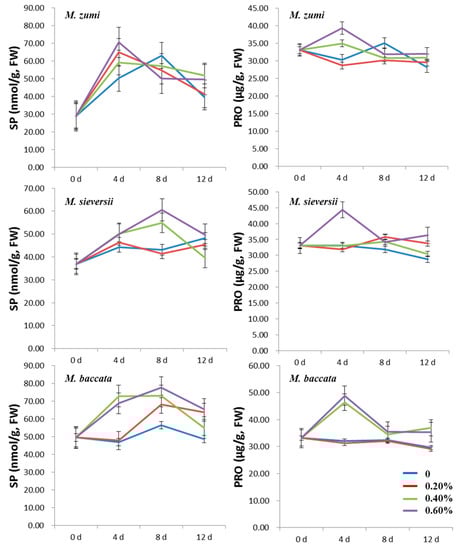
3.2. Dynamic Effects on Physiological Parameters of Malus Plant Roots under Salinity Stress
3.3. Comparing the Effects on Physiological Parameters of Roots and Leaves of Malus Plants under Salinity Stress
4. Discussion
5. Conclusions
Supplementary Materials
Author Contributions
Funding
Institutional Review Board Statement
Informed Consent Statement
Data Availability Statement
Conflicts of Interest
References
- Munns, R.; Tester, M. Mechanisms of salinity tolerance. Annu. Rev. Plant Biol. 2008, 59, 651–681. [Google Scholar] [CrossRef] [PubMed]
- FAO. Status of the World’s Soil Resources (SWSR)–Main Report; Food and Agriculture Organization of the United Nations and Intergovernmental Technical Panel on Soils; FAO: Rome, Italy, 2015; Volume 650. [Google Scholar]
- Jamil, A.; Riaz, S.; Ashraf, M.; Foolad, M.R. Gene expression profiling of plants under salt stress. Crit. Rev. Plant Sci. 2011, 30, 435–458. [Google Scholar] [CrossRef]
- Soltabayeva, A.; Ongaltay, A.; Omondi, J.O.; Srivastava, S. Morphological, physiological and molecular markers for salt-stressed plants. Plants 2021, 10, 243. [Google Scholar] [CrossRef] [PubMed]
- Alasvandyari, F.; Mahdavi, B.; Hosseini, M.S. Glycine betaine affects the antioxidant system and ion accumulation and reduces salinity-induced damage in safflower seedlings. Arch. Biol. Sci. 2017, 69, 139–147. [Google Scholar] [CrossRef]
- Richard, P.M.; Gennaro, F. Apple rootstocks: History, physiology, management, and breeding. Hortic. Rev. 2018, 45, 197–312. [Google Scholar] [CrossRef]
- Chen, X.; Cheng, X.W.; Zhu, H.; Bañuelos, C.; Shutes, B.; Wu, H.T. Influence of salt stress on propagation, growth and nutrient uptake of typical aquatic plant species. Nord. J. Bot. 2019, 37, e02411. [Google Scholar] [CrossRef]
- Slama, I.; Abdelly, C.; Bouchereau, A.; Flowers, T.; Savoure, A. Diversity, distribution and roles of osmoprotective compounds accumulated in halophytes under abiotic stress. Ann. Bot. 2015, 115, 433–447. [Google Scholar] [CrossRef]
- Liang, W.J.; Ma, X.L.; Wan, P.; Liu, L.Y. Plant salt-tolerance mechanism: A review. Biochem. Biophys. Res. Commun. 2018, 495, 286–291. [Google Scholar] [CrossRef]
- Akter, S.; Huang, J.J.; Waszcazk, C.; Jacques, S.; Gevaert, K. Cysteines under ROS attack in plants: A proteomics view. J. Exp. Bot. 2015, 66, 2935–2941. [Google Scholar] [CrossRef]
- Sharp, R.E.; Hsiao, T.C.; Silk, W.K. Growth of the maize primary root at low water potentials: II. Role of growth and deposition of hexoes and potassium in osmotic adjustment. Plant Physiol. 1990, 93, 1337–1346. [Google Scholar] [CrossRef]
- Sudhakar, C.; Lakshmi, A.; Giridarakumar, S. Changes in the antioxidant enzyme efficacy in two high yielding genotypes of mulberry (Morus alba L.) under NaCl salinity. Plant Sci. 2001, 141, 613–619. [Google Scholar] [CrossRef]
- Rahnama, H.; Ebrahimzadeh, H. The effect of NaCl on proline accumulation in potato seedlings and calli. Acta Physiol. Plant 2004, 26, 263–270. [Google Scholar] [CrossRef]
- Neto, A.A.D.; Prisco, J.T.; Eneas-Filho, J.; Abreu, C.E.B.; Filho, G.E. Effect of salt stress on antioxidative enzymes and lipid peroxidation in leaves and roots of salt-tolerant and salt-sensitive maize genotypes. Environ. Exp. Bot. 2006, 56, 87–94. [Google Scholar] [CrossRef]
- Ashraf, M.; Foolad, M.R. Role of glycine betaine and proline in improving plant abiotic stress resistance. Environ. Exp. Bot. 2007, 59, 206–216. [Google Scholar] [CrossRef]
- Eraslan, F.; Inal, A.; Pilbeam, D.J.; Gunes, A. Interactive effects of salicylic acid and silicon on oxidative damage and antioxidant activity in spinach (Spinacia oleracea L. CV. Matador) grown under boron toxicity and salinity. Plant Growth Regul. 2008, 55, 207–219. [Google Scholar] [CrossRef]
- Ibrahimova, U.; Suleymanova, Z.; Brestic, M.; Mammadov, A.; Ali, O.M.; Latef, A.A.H.A.; Hossain, A. Assessing the adaptive mechanisms of two bread wheat (Triticum aestivum L.) genotypes to salinity stress. Agronomy 2021, 11, 1979. [Google Scholar] [CrossRef]
- Singh, A.; Shekhar, S.; Marker, S.; Ramteke, P.W. Changes in morpho-physiological attributes in nine genotypes of linseed (Linum usitatissimum L.) under different level of salt (NaCl) stress. Vegetos 2021, 34, 647–653. [Google Scholar] [CrossRef]
- Yasir, T.A.; Khan, A.; Skalicky, M.; Wasaya, A.; Rehmani, M.I.A.; Sarar, N.; Mubeen, K.; Aziz, M.; Hassan, M.M.; Hassan, F.A.S.; et al. Exogenous sodium nitroprusside mitigates salt stress in lentil (Lens culinaris Medik.) by affecting the growth, yield, and biochemical properties. Molecules 2021, 26, 2576. [Google Scholar] [CrossRef]
- Hossain, A.; Azeem, F.; Shahriar, S.M.; Islam, M.T. Regulation of Proline Transporters in Salt Stress Response in Plants. Transporters and Plant Osmotic Stress, 1st ed.; Elsevier: Amsterdam, The Netherlands, 2021; pp. 291–306. [Google Scholar] [CrossRef]
- Rady, M.M.; Taha, R.S.; Mahdi, A.H.A. Proline enhances growth, productivity and anatomy of two varieties of Lupinus termis L. grown under salt stress. S. Afr. J. Bot. 2016, 102, 221–227. [Google Scholar] [CrossRef]
- Du, Z.J.; Zhai, H.; Luo, X.S.; Cheng, S.H.; Pan, Z.Y. Field identification of salt tolerance of apple rootstocks. China Fruits 2001, 2, 1–4. [Google Scholar]
- Fang, H.L.; Liu, G.H.; Kearney, M. Georelational analysis of soil type, soil salt content, landform, and land use in the Yellow River Delta, China. Environ. Manag. 2005, 35, 72–83. [Google Scholar] [CrossRef] [PubMed]
- Wang, Y.G.; Li, Y.; Xiao, D.N. Catchment scale spatial variability of soil salt content in agricultural oasis, Northwest China. Environ. Geol. 2008, 56, 439–446. [Google Scholar] [CrossRef]
- Li, F.Z.; Huang, Z.B.; Ma, Y.; Sun, Z.J. Improvement effects of different environmental materials on coastal saline-alkali soil in Yellow River Delta. Mater. Sci. Forum 2018, 913, 879–886. [Google Scholar] [CrossRef]
- Wu, Z.Y.; Peter, H.R.; Hong, D.Y. Flora of China; Science Press: Beijing, China, 2003; Volume 9, pp. 179–189. [Google Scholar]
- Gu, Y.L.; Zhao, H.X.; Ma, J.L.; Zhou, S.W. The adaption and application area on the salinity for Malus zumi Mats. J. Tianjin Agric. Coll. 1996, 3, 48–52. [Google Scholar]
- Wang, Y.Z.; Feng, X.Z.; Luo, J.L. Multi-purpose and salt-tolerant economic tree-Malus zumi. For. Sci. Technol. 1999, 24, 53–55. [Google Scholar]
- Zhao, K.F. Adaptation of plants to saline stress. Bull. Biol. 2002, 51, 7–10. [Google Scholar]
- Beacham, A.M.; Hand, P.; Pink, D.A.; Monaghan, J.M. Analysis of Brassica oleracea early stage abiotic stress responses reveals tolerance in multiple crop types and for multiple sources of stress. J. Sci. Food Agric. 2017, 97, 5271–5277. [Google Scholar] [CrossRef]
- Saeed, A.; Khan, A.A.; Saeed, N.; Saleem, M.F. Screening and evaluation of tomato germplasm for NaCl tolerance. Acta Agric. Scand. Sect. B-Soil Plant Sci. 2010, 60, 69–77. [Google Scholar] [CrossRef]
- Zuo, Q. Guidance of Plant Physiology and Biochemistry Experiment; China Agriculture Press: Beijing, China, 1995; pp. 59–99. [Google Scholar]
- Hammerschmidt, R.; Nuckles, E.M.; Kuc, J. Association of enhanced peroxidase activity with induced systemic resistance of cucumber to Colletotrichum lagenarium. Physiol. Plant Pathol. 1982, 20, 73–76. [Google Scholar] [CrossRef]
- Rajeswari, V.; Paliwal, K. Peroxidase and catalase changes during in vitro adventitious shoot organogenesis from hypocotyls of Albizia odoratissima L.f. (Benth). Acta Physiol. Plant. 2008, 30, 825–832. [Google Scholar] [CrossRef]
- Lu, J.J.; Duo, L.A.; Liu, X.J. Changes in SOD and POD activity and free proline content of Lolium perenne and Festuca elata leaves under different levels of salt stress. Bull. Bot. Res. 2004, 24, 115–119. [Google Scholar]
- Kaur, H.; Sirhindi, G.; Bhardwaj, R.; Alyemeni, M.N.; Siddique, K.H.M.; Ahmad, P. 28-homobrassinolide regulates antioxidant enzyme activities and gene expression in response to salt- and temperature-induced oxidative stress in Brassica juncea. Sci. Rep. 2018, 8, 8735. [Google Scholar] [CrossRef]
- Zhang, Z.H.; Cao, B.L.; Gao, S.; Xu, K. Grafting improves tomato drought tolerance through enhancing photosynthetic capacity and reducing ROS accumulation. Protoplasma 2019, 256, 1013–1024. [Google Scholar] [CrossRef]
- Attia, H.; Al-Yasi, H.; Alamer, K.; Ali, E.; Hassan, F.; Elshazly, S.; Hessini, K. Induced anti-oxidation efficiency and others by salt stress in Rosa damascena Miller. Sci. Hortic. 2020, 274, 109681. [Google Scholar] [CrossRef]
- Ahmad, P.; Jaleel, C.A.; Salem, M.A.; Nabi, G.; Sharma, S. Roles of enzymatic and nonenzymatic antioxidants in plants during abiotic stress. Crit. Rev. Biotechnol. 2010, 30, 161–175. [Google Scholar] [CrossRef]
- Hassan, F.; Al-Yasi, H.; Ali, E.; Alamer, K.; Hessini, K.; Attia, H.; El-Shazly, S. Mitigation of salt-stress effects by moringa leaf extract or salicylic acid through motivating antioxidant machinery in damask rose. Can. J. Plant Sci. 2021, 101, 157–165. [Google Scholar] [CrossRef]
- Khalafallah, A.A.; Tawfik, K.M.; Abd El-Gawad, Z.A. Tolerance of seven faba bean varieties to drought and salt stresses. Res. J. Agric. Biol. Sci. 2008, 4, 175–186. [Google Scholar]
- Bornare, S.S.; Prasad, L.C.; Kumar, S. Comparative study of biochemical indicators of salinity tolerance of barley (Hordeum vulgare L.) with other crops: A review. Can. J. Plant Breed. 2013, 1, 97–102. [Google Scholar]
- Bharathkumar, S.; Jena, P.P.; Kumar, J.; Baksh, S.; Reddy, J.N. Identification of new alleles in salt tolerant rice germplasm lines through phenotypic and genotypic screening. Int. J. Agric. Biol. 2016, 18, 441–448. [Google Scholar] [CrossRef]
- Yuan, L.; Ali, K.; Zhang, L.Q. Effects of NaCl Stress on active oxygen metabolism and membrane stability in Pistacia vera seedlings. Acta Phytoecol. Sinica 2005, 29, 985–991. [Google Scholar]
- Ma, H.X.; Meng, C.M.; Zhang, K.X.; Wang, K.Y.; Fan, H.; Li, Y.B. Study on physiological mechanism of using cottonseed meal to improve salt–alkali tolerance of cotton. J. Plant Growth Regul. 2020, 40, 126–136. [Google Scholar] [CrossRef]
- Ahmad, P.; Latef, A.A.A.; Allah, A.E.F.; Hashem, A.; Sarwat, M.; Anjum, N.A.; Gucel, S. Calcium and potassium supplementation enhanced growth, osmolyte secondary metabolite production, and enzymatic antioxidant machinery in cadmium-exposed chickpea (Cicer arietinum L.). Front Plant Sci. 2016, 7, 513. [Google Scholar] [CrossRef] [PubMed]
- Li, N.; Cao, B.L.; Chen, Z.J.; Xu, K. Root morphology ion absorption and antioxidative defense system of two Chinese cabbage cultivars (Brassica rapa L.) reveal the different adaptation mechanisms to salt and alkali stress. Protoplasma 2021, 259, 1–14. [Google Scholar] [CrossRef] [PubMed]
- Hannachi, S.; Van Labeke, M.-C. Salt stress affects germination, seedling growth and physiological responses differentially in eggplant cultivars (Solanum melongena L.). Sci. Hortic. 2018, 228, 56–65. [Google Scholar] [CrossRef]
- Ahanger, M.A.; Qin, C.; Qi, M.D.; Dong, X.X.; Ahmad, P.; Abd Allah, E.F.; Zhang, L. Spermine application alleviates salinity induced growth and photosynthetic inhibition in Solanum lycopersicum by modulating osmolyte and secondary metabolite accumulation and differentially regulating antioxidant metabolism. Plant Physiol. Biochem. 2019, 144, 1–13. [Google Scholar] [CrossRef]
- Pan, R.Z. Plant Physiology, 4th ed.; Higher Education Press: Beijing, China, 2001; pp. 279–293. [Google Scholar]
- Zhao, F.G.; Liu, Y.L.; Zhang, W.H. Proline metabolism in the leaves of barley seedlings and its relation to salt tolerance. J. Nanjing Agric. Univ. 2002, 25, 7–10. [Google Scholar]
- Chen, Y.H.; Yan, Z.L.; Li, Y.H. Study on the characteristic of proline accumulation and active oxygen metabolism in Rhizophora stylosa under salt stress. J. Xiamen Univ. (Nat. Sci. Edi.) 2004, 43, 402–405. [Google Scholar]
- Zhao, H.G.; Liu, Y.L. Advances in study on metabolism and regulation of proine in higher plants under stress. Chin. Bull. Bot. 1999, 16, 540–546. [Google Scholar]
- Liu, E.E.; Zong, H.; Guo, Z.F. Effects of drought, salt and chilling stresses on proline accumulation shoot of rice seedlings. J. Trop. Subtrop. Bot. 2000, 8, 235–238. [Google Scholar]
- Yang, H.B.; Han, Z.H.; Xu, X.F. Effects of NaCl and iso-osmotic polyethylene glycol on free proline content of Malus. Plant Physiol. Commun. 2005, 41, 157–162. [Google Scholar]
- Dogan, M.; Tipirdamaz, R.U.K.I.Y.E.; Demir, Y. Salt resistance of tomato species grown in sand culture. Plant Soil Environ. 2010, 56, 499–507. [Google Scholar] [CrossRef]
- Parvin, K.; Hasanuzzaman, M.; Bhuyan, M.H.; Nahar, K.; Mohsin, S.M.; Fujita, M. Comparative physiological and biochemical changes in tomato (Solanum lycopersicum L.) under salt stress and recovery: Role of antioxidant defense and glyoxalase systems. Antioxidants 2019, 8, 350. [Google Scholar] [CrossRef]
- Wang, Y.; Nii, N. Changes in chlorophyll, ribulose bisphosphate carboxylase-oxygenase, glycine betaine content, photosynthesis and transpiration in Amaranthus tricolor leaves during salt stress. J. Hortic. Sci. Biotechnol. 2000, 75, 623–627. [Google Scholar] [CrossRef]
- Gou, W.; Zheng, P.; Zheng, P.; Wang, K.; Zhang, L.; Akram, N.A. Salinity-induced callus browning and re-differentiation, root formation by plantlets and anatomical structures of plantlet leaves in two Malus species. Pak. J. Bot. 2016, 48, 1393–1398. [Google Scholar]








Publisher’s Note: MDPI stays neutral with regard to jurisdictional claims in published maps and institutional affiliations. |
© 2022 by the authors. Licensee MDPI, Basel, Switzerland. This article is an open access article distributed under the terms and conditions of the Creative Commons Attribution (CC BY) license (https://creativecommons.org/licenses/by/4.0/).
Share and Cite
Wang, D.; Gao, Y.; Sun, S.; Lu, X.; Li, Q.; Li, L.; Wang, K.; Liu, J. Effects of Salt Stress on the Antioxidant Activity and Malondialdehyde, Solution Protein, Proline, and Chlorophyll Contents of Three Malus Species. Life 2022, 12, 1929. https://doi.org/10.3390/life12111929
Wang D, Gao Y, Sun S, Lu X, Li Q, Li L, Wang K, Liu J. Effects of Salt Stress on the Antioxidant Activity and Malondialdehyde, Solution Protein, Proline, and Chlorophyll Contents of Three Malus Species. Life. 2022; 12(11):1929. https://doi.org/10.3390/life12111929
Chicago/Turabian StyleWang, Dajiang, Yuan Gao, Simiao Sun, Xiang Lu, Qingshan Li, Lianwen Li, Kun Wang, and Jihong Liu. 2022. "Effects of Salt Stress on the Antioxidant Activity and Malondialdehyde, Solution Protein, Proline, and Chlorophyll Contents of Three Malus Species" Life 12, no. 11: 1929. https://doi.org/10.3390/life12111929
APA StyleWang, D., Gao, Y., Sun, S., Lu, X., Li, Q., Li, L., Wang, K., & Liu, J. (2022). Effects of Salt Stress on the Antioxidant Activity and Malondialdehyde, Solution Protein, Proline, and Chlorophyll Contents of Three Malus Species. Life, 12(11), 1929. https://doi.org/10.3390/life12111929

