Abstract
Automotive suspension systems are key to improving ride comfort and handling stability. Over the past decades, active and semi-active suspensions have become a focal point in automotive engineering and have been widely adopted in the industry. Skyhook-based control and its related methodologies, as a mature and viable solution, have been extensively implemented in vehicles. Despite the large number of research papers available on this topic, there remains a lack of comprehensive and up-to-date surveys in the literature that compare various Skyhook-based suspension control systems and their effectiveness. To bridge this gap, this paper systematically reviews the research progress in active and semi-active suspension controllers based on Skyhook principles over recent decades. Representative methods within major control rules are reported, and their characteristics, along with critical performance metrics, are critically analyzed. This paper also explores the development trends of Skyhook-based control.
1. Introduction
The suspension system, a critical component of vehicles, significantly impacts ride comfort, handling stability, and safety. Therefore, an in-depth study of vehicle suspension is of great significance for improving the overall performance and quality of modern vehicles [1,2]. According to the control method, suspension can be categorized into passive suspension, active suspension, and semi-active suspension [3,4]. Passive suspension is simple, reliable, and widely used [5,6], but it cannot adapt flexibly to various driving conditions and arbitrary road excitations, and therefore cannot fully resolve the contradiction between ride comfort and handling stability [7,8]. However, semi-active and active suspensions have the ability of adjusting the damping coefficients or stiffness coefficients of the suspension system according to varying load and road conditions. With better performance than passive suspension, semi-active and active suspensions have become a major technical direction in the development of suspension systems [9,10,11,12]. Moreover, control algorithms are the key to enhancing the performance of semi-active and active suspensions, they can provide the vehicle with a smooth and constant ride quality [13,14].
There are plenty of suspension control strategies, which can be divided into three categories [15]. The first category is based on vehicle state judgment, the most classic and widely used is the Skyhook (SH) idea [16]. The second category is based on control theory, which is mainly divided into classical control theory and optimal control theory. The proportional–integral–derivative (PID) control algorithm is the most researched in classical control theory [17]. However, the PID control algorithm cannot coordinate the relationship between the driving performance of the vehicle well; in other words, the improvement of a certain index will cause the deterioration of another index. Optimal control theory is based on using state equations to optimize the suspension performance by solving the optimal value of the objective function, using, for example, the Linear Quadratic Regulator (LQR) [18], Active Disturbance Rejection Controller (ADRC) [19,20], or sliding mode control (SMC) algorithm [21,22]. However, the complexity of the theory and the unintuitive nature of the control parameters and their limitations in engineering applications have led to the algorithms being mainly limited to the theoretical analysis and simulation validation stages. In order to make up for the shortcomings of the above control strategies, many scholars have made significant efforts to solve problems in this regard. Liao et al. introduced a novel Infinite Horizon One-Step Model Predictive Control (IHOS-MPC) algorithm with linearized constraints, which combines an infinite predictive horizon with a control horizon of one, significantly reducing computational complexity while maintaining efficient, real-time control performance [23]. Tang et al. established a quarter car model and a Bouc–Wen-based magnetorheological (MR) damper model to combine the control of Particle Swarm Optimization (PSO) identification and the PSO-LQR controller in a semi-active suspension system, the results indicated that the optimization’s aims of accuracy in improving ride comfort and handling stability were successfully achieved using the PSO-tuned LQR approach [24]. The third category is the modern control strategies proposed in recent years, such as neural network control, preview control, etc. At present, the suspension control strategies widely used in practice are still the first and second control strategies and improved strategies extended based on them [25].
Notably, prior studies lack comprehensive reviews of research progress in active and semi-active suspension controllers based on Skyhook principles. In this paper, many Skyhook-based control strategies are introduced. Among these, Skyhook damping control and Skyhook inertance control are the classic ones. However, although the traditional Skyhook-based control theory has the advantages of simple calculation and easy implementation, the improvement in ride comfort is limited [26]. Therefore, some improved Skyhook-based control algorithms are presented to improve the control performance. Martellosio et al. proposed the SH-ADD control strategy with time-varying characteristics, which achieved good filtering performance in different road conditions and ensured the reduction of vertical vibration of the vehicle body [27]. However, traditional Skyhook-based control algorithms or improved Skyhook-based control algorithms can only improve the ride comfort of the vehicle, without improving driving safety and road-friendliness. In order to solve this problem, Groundhook and hybrid control strategies are presented. Díaz et al. fused Skyhook and Groundhook to design a hybrid control strategy, which provides a new perspective for developing an optimal suspension control system [28].
This paper is organized as follows: in Section 2, Skyhook-based control strategies are introduced; in Section 3, the Groundhook and hybrid control strategies are presented. A number of actuators are shown in Section 4. Section 5 discusses the main trends in Skyhook-based control strategies. Conclusions are drawn in Section 6.
2. Skyhook Controllers
2.1. Classical Skyhook Controllers
2.1.1. Skyhook Damping
Karnopp et al. developed the Skyhook damping control strategy in 1974 [29]. The earliest ideal Skyhook damping control involved installing a damper between the fixed point of the sky and the vehicle body, as shown in Figure 1. The vertical movement of the vehicle body can be suppressed by Skyhook dampers, thereby making the vehicle body more stable and improving the ride comfort and driving smoothness of the vehicle.
Figure 1.
The 2-DOF suspension model with ideal Skyhook damping controller.
According to the two-degree-of-freedom (2-DOF) suspension mathematical model in Figure 1, the dynamic equations for the damper of Skyhook control are established.
where ms is the sprung mass, mt is the unsprung mass, k is the equivalent stiffness of the suspension system, c is the damping coefficient of the suspension system, kt is the equivalent stiffness of the wheel, xs is the absolute displacement of the vehicle body, xt is the absolute displacement of the wheel, xr is the road excitation, and csky is the Skyhook damping coefficient.
According to the 2-DOF suspension model of ideal Skyhook damping in Figure 1, the active control force is defined by the following equation:
where Fa is the active force and Fa max is the maximum active force.
The semi-active control rules for Skyhook damping are divided into a continuous type and ON-OFF type. The semi-active continuous control rule can be expressed as
The semi-active ON-OFF control strategy follows the form
where cf is the damping of the output of the semi-active dampers, cf max is the maximum damping coefficient, and cf min is the minimum damping coefficient.
Savaresi et al. [30] proposed an innovative control strategy called Acceleration-Driven Damper (ADD) control. The control strategy is very simple, using the same sensors as the Skyhook algorithm and a simple two-state controllable damper, ADD can minimize vertical body acceleration. The semi-active continuous control rule can be expressed as
and the semi-active ON-OFF control strategy is expressed as
where badd is the ADD control coefficient.
2.1.2. Skyhook Inertance
The proposal of the inertance concept has attracted extensive attention from scholars. Hu et al. [16] proposed the Skyhook inertance control algorithm. Skyhook inertance control refers to installing an inerter between the fixed point of the sky and the vehicle body, as depicted in Figure 2. Skyhook inertance can increase the virtual mass of the vehicle body, enhancing the ride comfort of the vehicle.
Figure 2.
The 2-DOF suspension model with ideal Skyhook inertance controller.
According to the two-degree-of-freedom (2-DOF) suspension mathematical model in Figure 2, the dynamic equations for the inertance of Skyhook inertance control are established:
where bsky is the Skyhook inertance coefficient.
According to the 2-DOF suspension model of ideal Skyhook inertance in Figure 2, the active control force is defined by the following equation:
The Skyhook inertance control method uses an adjustable inerter as the actuator; the semi-active control rules for Skyhook inertance are divided into continuous type and ON-OFF type. The semi-active continuous control rule can be expressed as
The semi-active ON-OFF control strategy follows the form
where bf is the output of the semi-active inertance, bf max is the maximum inertance coefficient, and bf min is the minimum inertance coefficient.
Figure 3 shows the amplitude values of body acceleration of the four suspensions at various frequencies. Compared to passive suspension, active Skyhook inertance, semi-active Skyhook inertance, and ON-OFF Skyhook inertance control all induce a forward shift in the suspension system’s low-frequency resonance peak while enhancing ride comfort within the low-frequency resonant and mid-frequency ranges. However, the ON-OFF Skyhook inertance control method—which switches between maximum (bf max) and minimum (bf min) inertance coefficients—induces chattering phenomena under high-frequency excitation.
Figure 3.
Frequency responses of body acceleration.
2.2. Improved Skyhook Controllers
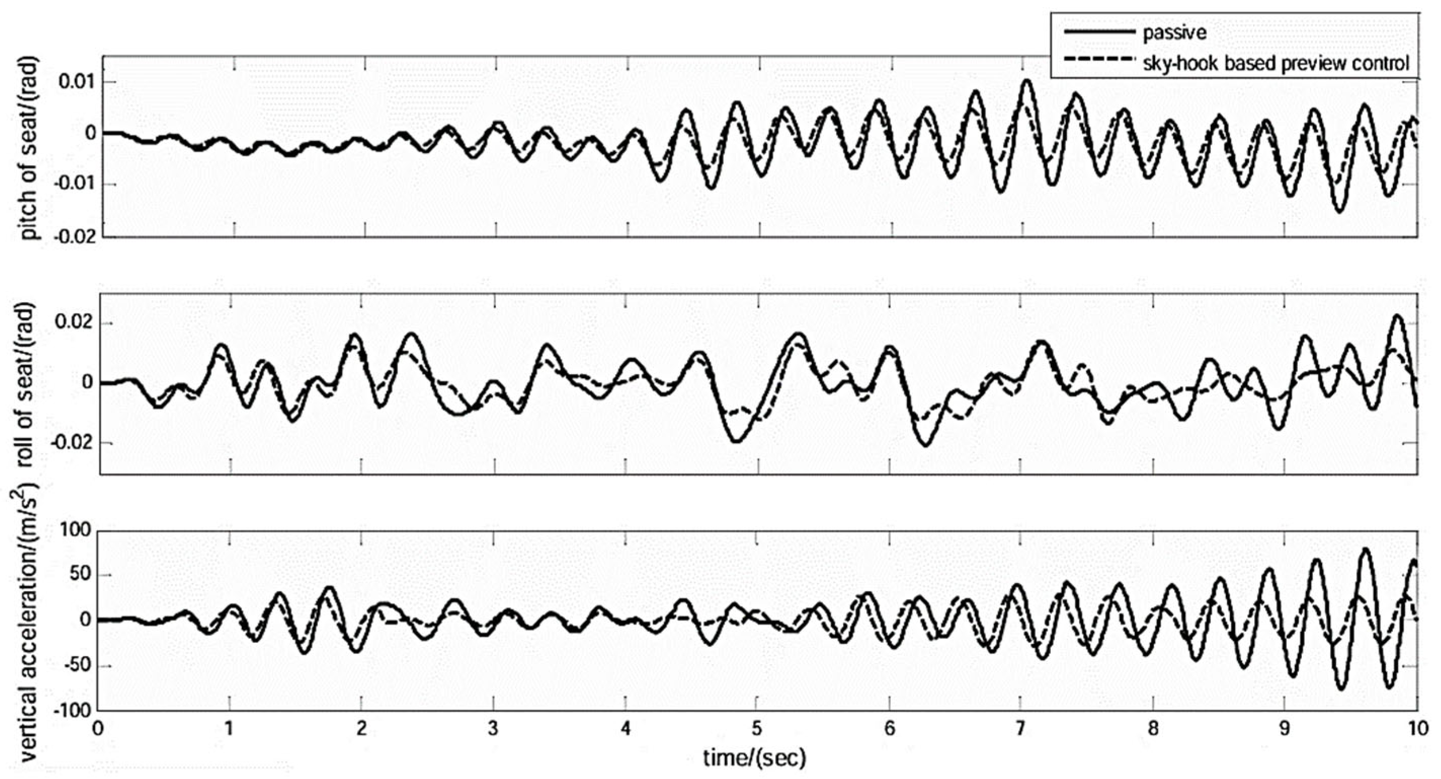
Research on traditional Skyhook-based control primarily focuses on how to use the sprung mass state (velocity and acceleration) to design the damping coefficient. Although these control methods have the advantages of simple calculation and easy implementation, the improvement in ride comfort is limited. Therefore, scholars have proposed many improved control algorithms based on the traditional Skyhook theory. For example, Yi et al. proposed a novel adaptive Skyhook damping control law and studied its impact on suspension performance [31]. To further enhance vehicle ride comfort, some scholars have integrated road preview systems with Skyhook damping control; for example, Song et al. designed Skyhook-based preview control; simulation results for a seat under different controls are shown in Figure 4 [32]. The simulation results show that Skyhook-based preview control can achieve significantly better ride comfort.
Figure 4.
Movements of seat under passive and Skyhook control. Reproduced with permission from [32].
In addition to the research on preview control, studies on suspension control algorithms from the perspective of energy transfer have also made progress. Liu et al. analyze the abilities of vehicular suspension components—the shock absorber and the spring—from the perspective of energy transfer between the sprung mass and the unsprung mass [33]. They propose a new sprung mass control algorithm named mixed Skyhook and power-driven damper (SH-PDD); the response under initial condition excitation is shown in Figure 5. It can be seen that the shock tests show that SH-PDD always performs better than SH and PDD across the whole frequency spectrum.
Figure 5.
Initial condition excitation. (a) I.C.: , ; (b) I.C.: , Reproduced with permission from [33].
Building on the advancements in suspension control algorithms, further refinements to the Skyhook control strategy itself have been explored to optimize vehicle dynamic performance [34]. Ding et al. proposed an improved Skyhook control strategy [35]. The frequency–amplitude response characteristics of each evaluation index under three different control methods (passive control, conventional Skyhook control, and improved Skyhook control) were compared. Compared with passive control, both the traditional Skyhook control and the improved Skyhook control can effectively improve dynamic performance (without resonance peaks) in the body resonance area. However, when traditional Skyhook control is used, the dynamic performance in the wheel resonance area deteriorates significantly (obvious resonance peaks appear), while the performance of the improved Skyhook control in this area remains unchanged [36]. These results show that compared with the traditional Skyhook control, the improved Skyhook control can balance ride comfort and road adhesion simultaneously, verifying the rationality of the selected control strategy.
Researchers have also explored the integration of distribution-based control methods to further enhance suspension performance [37]. Papaioannou et al. proposed a distribution-based semi-active suspension control strategy combined with Skyhook control, investigating the influence of using a cumulative distribution function (CDF) controller on suspension performance [38]. Savaresi S M combined ADD and Skyhook to propose a mixed SH-ADD control method, which suppresses body acceleration across the full frequency domain. The frequency-domain diagrams of the three control methods are shown in Figure 6 [39].
Figure 6.
Comparison of the filtering performance of SH, ADD, and mixed SH-ADD. Reproduced with permission from [39].
In addition to combining Skyhook control with distributed control, researchers have also focused on integrating Skyhook control with sliding mode control (SMC) to further optimize semi-active suspension systems and enhance ride comfort [40]. For example, Qiang Chen et al. proposed a new SH-SMC control method for semi-active seat suspension and carried out experimental verification [41]. Yi Chen designed the Skyhook-SMC damping controller and compared it with a fuzzy logic controller (FLC) and passive suspension. The result is shown in Figure 7 [42].
Figure 7.
The 2-DOF semi-active suspension system body acceleration response in frequency domain. Reproduced with permission from [42].
The above discussions show several typical improved Skyhook control strategies and their performance advantages. Other improved Skyhook control algorithms are shown in Table 1, which lists the types and functional principles of improved Skyhook control.
Table 1.
Types of improved Skyhook control.
The regulation timing and magnitude of forces in Skyhook-based control algorithms require determination through the state variables of the vehicle suspension system. Vehicle states are generally acquired by deploying measurement sensors on the system. Typically, three sensors are deployed in the vehicle suspension system to obtain three state variables: body vertical vibration acceleration, ; wheel vertical vibration acceleration, ; and relative displacement between body and wheel, . Other state variables must be obtained through integration or differentiation operations. The acquisition methods and complexity of suspension system state variables are classified as shown in Table 2.
Table 2.
Classification of suspension system state variables.
The 12 state variables in vehicle suspension systems can be divided into three categories: body related (, , , ); wheel related (, , , ); and relative motion related (, , , ). Among all nine derived states, only is calculated from the relative displacement , while the remaining eight state variables are derived from body vertical vibration acceleration and wheel vertical vibration acceleration .
Table 1 presents the required state inputs for each control method. Based on the required state quantities, Skyhook-based control methods can be broadly categorized into three types. Methods of the first type require more input states than classical Skyhook damping control; they include SH-ADD [48], SH-PDD [33], ID-Skyhook [50], H∞-SH [52], and SH-SMC [41]. These methods increase the demand for observed states and impose higher requirements on sensor precision and response by integrating Skyhook with other control approaches. Although suspension performance improves compared to classical Skyhook control, the increased computational load elevates engineering implementation difficulty. Methods of the second type require fewer input states than classical Skyhook damping control, often needing only body vertical acceleration; they include KF-SH [43], Adaptive Skyhook [44], Cost-effective Skyhook [47], and Skyhook-ADRC [61]. These methods use observers to estimate other required states from vertical body acceleration. While reducing sensor deployment lowers costs, these methods increase control complexity due to their dependence on the accuracy of suspension mathematical models in observers. The third type requires the same states as classical Skyhook damping control, and includes Fuzzy-Skyhook [49], Regenerative Skyhook [51], Energy-saving Skyhook [54], ESIF-SH [55], and Skyhook-CDF [38]. These methods generally improve Skyhook control from other perspectives (e.g., energy savings, actuator nonlinearity, Skyhook simplification); therefore, their suspension performance is nearly identical to classical Skyhook control.
2.3. Conclusions on Skyhook Control
In summary, Skyhook theory is a suspension control strategy aimed at improving ride comfort. Skyhook damping control uses vehicle body velocity as the input of the control system, reduces low-frequency vibration greatly, and improves ride comfort obviously [63]. The Skyhook inertance reduces high-frequency vibration through the Skyhook inertance force related to the vehicle body acceleration. With research development, Skyhook theory has been combined with advanced methods like sliding mode control, fuzzy logic, and machine learning. Compared with other control strategies, Skyhook-based control is distinguished by its clear logic and simple calculations. Therefore, Skyhook-based control remains a practical and popular design method for suspension systems.
3. Groundhook and Hybrid Controllers
3.1. Groundhook Controllers
3.1.1. Groundhook Control Proposed by Valášek
The concept of Groundhook control was first proposed by Valášek in 1996 [64], drawing an analogy to classical Skyhook control theory, this study innovatively adopted road-friendliness as the optimization objective for control strategy. Its core concept involves introducing a virtual damping between the unsprung mass and the ground, as illustrated in the 2-DOF suspension models shown in Figure 8.
Figure 8.
The 2-DOF suspension model with ideal Valášek Groundhook controller.
Classical road-friendliness and handling stability-oriented Groundhook control strategies are widely used in active and semi-active suspension control systems. According to the two ideal Groundhook 2-DOF suspension models of Figure 8, implemented in active form, there can be the following control rules:
Continuous control is usually realized by a continuously adjustable damper:
where cgnd is the Groundhook damping coefficient. The Groundhook ON-OFF control algorithm is usually equipped with a graded adjustable damper, and that switch control rule can be expressed as
3.1.2. Groundhook Control Proposed by Paré
Notably, significant discrepancies exist between the Groundhook control model described by Paré in 1998 and Valášek’s original concept [65], as shown in Figure 9.
Figure 9.
The 2-DOF suspension model with ideal Paré Groundhook controller.
Paré’s approach transfers the virtual damping between the sprung mass and a fixed inertial reference in classical Skyhook damping control to the unsprung mass, establishing virtual damping between the unsprung mass and the fixed point. In terms of active realization, the control law can be expressed as
where cgnd denotes the Groundhook damping coefficient. Semi-active control is usually divided into continuous control and ON-OFF control; the control laws are expressed as
and
Experimental studies have demonstrated that both Groundhook control strategies effectively suppress dynamic tire displacement [66,67]. However, Valášek’s scheme requires real-time acquisition of ground-displacement integration as a control input, which presents practical implementation challenges in engineering applications. In contrast, Paré’s scheme only requires unsprung mass velocity parameters, offering superior engineering feasibility. This explains why subsequent research predominantly adopted the second control architecture.
Regarding control algorithm improvement, Koo and Ahmadian proposed the Displacement Groundhook (DGH) algorithm based on the Velocity Groundhook (VGH) framework. Through systematic comparison of displacement transfer characteristics among four control modes (ON-OFF VGH, ON-OFF DGH, continuous VGH, and continuous DGH), their research revealed that DGH control demonstrates more significant improvements in reducing system resonance peaks [68]. It should be noted that while individual Groundhook control can optimize tire dynamic displacement, it may adversely affect vehicle ride comfort [69]. Consequently, current research predominantly employs Skyhook–Groundhook control (hybrid control) strategies to reconcile the conflict between ride comfort and handling stability; this is the focus of subsequent discussions.
3.2. Hybrid Controllers
3.2.1. Classical Hybrid Controllers
The main objective of traditional Skyhook damping control is to improve riding comfort, while the main objective of traditional Groundhook damping control is to improve driving safety and road-friendliness. Professor Ahmadian proposed hybrid control (HC) [69,70], which combines the effects of Skyhook and Groundhook damping control according to the designed ratio by introducing a weight factor α.
According to the established 2-DOF model of Figure 10, the ideal Skyhook damping force acting on the vehicle body is
the ideal Groundhook damping force acting on the wheel is
Figure 10.
The 2-DOF suspension model with ideal hybrid controller.
After hybridizing the Skyhook and Groundhook damping strategies, the active control force applied to the system can be expressed as
where α denotes the weighting factor (0 ≤ α ≤ 1) governing the hybrid control balance between the Skyhook and Groundhook strategies.
Considering the semi-active output direction and output range, the actual hybrid control discriminant is as follows:
The hybrid control method balances suspension ride comfort and handling stability using a weighting factor α. The random road response curves for the passive suspension, Skyhook damping suspension, and hybrid suspension are shown in Figure 11.
Figure 11.
Random excitation response of hybrid suspension. (a) Body acceleration; (b) dynamic tire load.
Figure 11 shows that the hybrid suspension exhibits ride comfort performance comparable to the Skyhook damping suspension. Furthermore, by incorporating the Groundhook control method, the hybrid suspension demonstrates more favorable handling stability than the Skyhook damping suspension. In order to improve human–vehicle road-friendliness, Bao et al. proposed GH-ADD and SH-GH-ADD control to solve the problem that hybrid control cannot reasonably select control strategies for human body and vehicle vibration frequencies. The control principles are as follows [71]:
and
where is the semi-active actuator damping coefficient, and is the frequency (circular frequency) switching coefficient.
Figure 12 shows the dynamic load of the right front tire, it can be seen from Figure 12 that the root mean square value of the tire dynamic load under various control strategies is improved compared with that of passive suspension, and SH-GH-ADD greatly improves the tire dynamic load of the right front tire.
Figure 12.
Dynamic load of right front tire. Reproduced with permission from [71].
3.2.2. Improved Hybrid Control
For the traditional hybrid theory, the research mostly focuses on how to match the Skyhook, Groundhook damping coefficients, csky, cgnd, and damping distribution coefficient with the whole vehicle [72,73]. Because there are some defects in control algorithms in traditional Skyhook damping control theory and traditional Groundhook damping theory, the traditional Groundhook damping extended according to these two theories cannot avoid these limitations, so scholars put forward some improved control algorithms based on traditional Groundhook damping theory. Ha et al. combined Skyhook damping control with Groundhook control, achieving flexible switching between the two control strategies through fuzzy logic-based dynamic adjustment of weighting factors. This approach enhanced the comprehensive performance of high-speed rail vehicle suspension systems, including both vehicle stability and ride comfort [74].
Nugroho et al. [75] proposed an ANFIS-augmented fuzzy hybrid control for semi-active suspensions with MR dampers, with hybrid control weight adaptation governed by Takagi–Sugeno–Kang fuzzy rules. By modeling the damper’s hysteresis via ANFIS-based inverse dynamics, the control force–current mapping is linearized, enabling real-time computation of optimal damping currents. The response of the system under sinusoidal disturbance is shown in Figure 13; the performance of the system clearly indicates that the ANFIS scheme was much better than its counterparts at accommodating the introduced conditions.
Figure 13.
Graphs of responses under sine wave function road model. (a) Sprung mass acceleration; (b) tire deflection. Reproduced with permission from [75].
Ata and Salem [76] introduced fuzzy-based hybrid control into semi-active suspension systems for tracked vehicles; the fuzzy hybrid controller offers an excellent integrated performance in reducing body accelerations compared with the classical Skyhook damping and hybrid controllers. Turnip and Panggabean [77] devised a lookup table-based hybrid control method for quarter-vehicle suspension systems utilizing MR dampers; simulations indicate that the proposed hybrid control lookup table provides better vibration isolation capability than other methods. Liu et al. [78] proposed the general Skyhook–Groundhook hybrid (GenHook) principle based on the electrical–mechanical analogy and control principle to break the limitations of conventional hybrid theory. The strategy enhances both suspension comfort and road-friendliness while theoretically enriching hybrid control structural representations. Experimental validation using controllable inerters and dampers confirmed its practical feasibility and robustness across diverse operating conditions, demonstrating promising engineering applicability. Lim et al. [79] presented a proportional–derivative (PD) hybrid controller for magnetorheological (MR) dampers in semi-active suspensions; by adding a derivative action to the classical hybrid logic, the proposed method enhances high-frequency damping and stabilizes transition behaviors, and this control achieves performance boosts in both ride comfort and road handling.
3.3. Conclusions on Groundhook and Hybrid Control
In summary, Groundhook control is a strategy focused on road adhesion. Compared to Skyhook theory and hybrid theory, research on Groundhook control remains relatively limited. However, studies in integrated chassis control reveal that suspension systems significantly impact road-friendliness and even handling stability. Consequently, recent years have seen scholars enhance traditional Groundhook theory to improve its performance. Hybrid control integrates the advantages of Skyhook damping and Groundhook damping through a weighting factor α that proportionally combines their effects. Despite its advantages, inherent structural and algorithmic limitations exist. Current research hotspots focus on integrating hybrid control with modern control theories, while some scholars have transcended traditional hybrid limitations, enriching the theoretical framework of mechanical vibration-suppression mechanisms. These advancements will enable future refined hybrid control to better achieve ride comfort and road-friendliness.
4. Actuator for Skyhook-Based Control
Building upon the preceding theoretical framework, the basic principles and methodologies of Skyhook, Groundhook, and hybrid control systems were systematically explored [80,81]. These explorations revealed their respective control strategies and system characteristics. These contents have laid a theoretical foundation for the subsequent in-depth analysis of the specific applications of the actuator [82]. As the key execution unit, the actuator’s performance and design directly impact the efficacy of the entire suspension control system [83]. On the basis of the essential features of the suspension actuator, researchers have designed and analyzed different kinds of actuator. Classical actuator mainly include hydraulic systems, electromagnetic systems, and MR/ER fluid systems [84]. A visualization of actuator configurations in the literature is presented in Table 3.
4.1. Hydraulic Actuators
The development of adjustable dampers can be traced back to the 1970s, when Karnopp et al. [29] from the University of California designed a two-stage adjustable damper. However, experimental results demonstrated limited improvement in vehicle performance. Early hydraulic suspension systems employed discrete damping modulation strategies [85]. Sugasawa et al.’s seminal work [86] implemented stepped orifice control via stepper motor-driven rotating shafts, achieving discrete damping states through mechanical flow path alternation. While effective for racing applications, this binary switching mechanism induced undesirable transient oscillations due to abrupt fluid momentum changes at orifice boundaries.
Subsequent research focused on electronically controlled continuous damping control (CDC) systems. These retain the basic twin-tube structure of conventional dampers but incorporate an intermediate chamber and an electro-hydraulic control valve. The piston valve and base valve form the fundamental valve system, while the electro-hydraulic control valve (typically a proportional relief or pilot-operated relief valve) serves as the core component. These valves feature complex structures requiring high manufacturing precision. In 1997, Thomas and Raulf [87] at Mannesmann developed CDC systems for passenger and commercial vehicles using proportional damping control valves. By modulating the valve orifice openings, they achieved continuous damping control in both internally and externally mounted configurations.
Young-Hwan et al. [88] developed an inversely proportional solenoid valve damper where the current magnitude inversely correlates with valve opening. Vehicle testing validated both its performance superiority and design simplicity. Krasnicki [89] and Patten et al. [90] created dampers comprising hydraulic actuators and electro-hydraulic servo valves regulating the orifice area. Bilstein’s DampTronic-Select damper [91] bridges traditional passive dampers and sophisticated electronic continuously variable dampers. Its internally mounted valve provides two distinct adaptive damping characteristics within an extremely compact envelope. ZF Friedrichshafen developed a passenger car CDC damper that modulates damping force by controlling solenoid valve orifice area. In addition, Nie et al.’s [53] inertance-damper actuator combines fluidic inertia from helical metal tubing with conventional damping mechanisms, resulting in a 58% improvement in low-frequency vibration isolation. Zhang et al. [92] proposed a new adjustable device combining an inerter and a damper that aims to simultaneously adjust the inertance and damping. After decades of development, CDC dampers now feature in multiple production vehicles, including the Mercedes-Benz S-Class and Li Xiang L9.
Parallel to CDC systems, Adaptive Variable Suspension (AVS) technologies represent OEM-customized implementations with enhanced scenario adaptability. Toyota’s AVS integrates steering angle and G-sensor inputs to dynamically adjust damping maps across driving modes (Comfort/Sport/Sport+).
4.2. Electromagnetic Actuators
To address the contradiction between ride comfort and handling performance in vehicle suspension, researchers have progressively developed various electromagnetic suspension actuators [93].
Weeks et al. [94] introduced an electromagnetic linear actuator for military applications that combined rack-and-pinion transmission with gear reduction. Building on this foundation, Gupta et al. [95] designed two novel electromagnetic regenerative shock absorbers. In parallel, Ebrahimi et al. [96] proposed a novel eddy current damper (ECD) through a non-contact configuration comprising permanent magnet (PM) arrays and conductive hollow cylinders. However, recognizing the limitations of purely ECD systems, the same research group [97] subsequently proposed a hybrid electromagnetic damper that strategically combined active electromagnetic control with passive eddy current effects. Amati et al. [98] designed an electromagnetic shock absorber that can achieve semi-active control by combining a rotating permanent magnet motor with mechanical transmission. This development demonstrated how electromagnetic systems could achieve adaptive suspension behavior while maintaining lightweight advantages. Concurrently, Klimenko et al. [99] designed a reluctance inductor linear motor (RILM), for active suspension systems in electric vehicles, employing an open magnetic system solenoid configuration.
4.3. MR/ER Fluid Actuator
Magnetorheological fluids (MRFs) are suspensions of magnetically responsive particles in a liquid carrier, which is characterized as a class of smart fluid for its capability of producing the MR effect, widely applied in vibration control. Unsal [100] designed a mixed-mode integrated magnetorheological fluid (MRF) damper featuring an annular gap between the magnetic outer housing and the core bobbin. Building on this foundation, Sassi et al. [101] designed and validated a novel MR damper where the electromagnetic coil axis is perpendicular to the damper axis. Hu et al. [102] developed an innovative magnetorheological fluid (MRF) damper featuring a bypass configuration with stationary electromagnetic windings surrounding porous structural matrices, building upon Cook et al.’s [103] foundational work. This specialized damper architecture can generate a large damping force and a broad output force range within a narrow and compact volume.
Ebrahimi et al. [104] described a novel magnetic spring–damper, which offered an alternative solution: combining eddy current damping with magnetic spring effects. Ashfak et al. [105] proposed an innovative design scheme for a semi-active damper based on magnetorheological (MR) fluids. The core innovation lies in the hollow piston rod with an embedded electromagnetic coil structure. In the realm of flow path innovation, Hu et al. [106] designed a ring–radial hole composite flow magnetorheological valve. This magnetorheological valve demonstrates how hybrid channel topologies could collaboratively improve magnetic efficiency and pressure drop characteristics. These cumulative advancements in flow field optimization laid the groundwork for the negative stiffness mechanism designed by Yang et al. [107], ultimately overcoming the limitations that restrict the generation of the main driving force in traditional semi-active systems.
Table 3.
Visualization of actuator configurations in the literature.
Table 3.
Visualization of actuator configurations in the literature.
| Type | Prototype | Reference |
|---|---|---|
| Electronically adjustable dampers | ![]() | [ThyssenKrupp. DampTronic®, online] |
| Fluid inerter integrated with shock absorber | ![]() | Ref. [53], Figure 8 |
| A new adjustable device combining an inerter and a damper | ![]() | Ref. [92], Figure 2 |
| Prototype electromagnetic (EM) linear actuator | ![]() | Ref. [94], Figure 9 |
| The MRF bypass damper | ![]() | Ref. [108], Figure 20 |
| ER damper | ![]() | Ref. [109], Figure 1 |
| MR damper with negative stiffness component | ![]() | Ref. [107], Figure 1 |
5. Industrial Implementation and Development Trends in Skyhook-Based Control
5.1. Industrial Implementation
Compared to alternative control strategies such as preview control, LQG control, neural network control (NNC), and optimal control, Skyhook damping algorithms offer the advantageous attributes of computational simplicity, high reliability, and proven maturity. These characteristics have established Skyhook damping as a widely adopted solution for modern suspension control systems. As evidenced in Table 4, multiple premium vehicle platforms and adjustable damper prototypes leverage Skyhook-based algorithms for performance enhancement, demonstrating both the technological maturity and reliability of this approach.
Table 4.
Implementation cases.
5.2. Development Trends of Skyhook-Based Control
5.2.1. Collaborative Optimization of Multiple Control Methods
Integrating adaptive neuro-fuzzy algorithms [46], sliding mode control [42], and nonlinear state estimation technology [55] has significantly improved the stability of Skyhook damping control under complex road conditions. For example, Priyandoko et al. combined Skyhook damping control with adaptive neuro-fuzzy systems to achieve real-time adjustment of the dynamic stiffness of active suspension; Chen et al. proposed a Skyhook–sliding mode control (SH-SMC) strategy to effectively reduce the acceleration of sprung mass under variable road conditions. Compared with fuzzy logic control (FLC) and traditional passive suspension, this strategy reduced the root mean square value of sprung mass acceleration by about 19.8%, and had a more significant effect on suppressing resonance peaks in the low-frequency band (1–10 Hz) [42]. In addition, the introduction of fuzzy logic control [49,110] and multi-objective optimization algorithm [111] enables the system to dynamically adjust the damping coefficient, improving ride comfort while taking into account vehicle handling performance. The hybrid control strategy [28] optimizes the vertical and wheel–ground dynamics performance by adjusting the weighting coefficient α, thereby improving vehicle driving stability and tire contact performance. The integration of Skyhook-based control with other strategies marks a clear trend toward achieving higher levels of system robustness and ride performance.
5.2.2. Data-Driven Optimization and Model Accuracy Improvement
Ma et al. used neural networks to construct an inverse model of magnetorheological dampers and optimized the control input through data-driven methods, designing an optimized fuzzy Skyhook damping controller based on the grey wolf optimizer (GWO) algorithm [56]. Savaia et al. also combined machine learning with the Skyhook damping control algorithm [112] to achieve accurate suppression of high-frequency vibrations in complex road environments. This approach proposes a novel control strategy based on a sequential learning framework, which selects the most important feedback measurements in semi-active control and learns the optimal policy from data. This reflects a development in Skyhook-based control toward leveraging data-driven techniques to improve model fidelity and real-time adaptability.
5.2.3. Expansion of Application Fields
The application of Skyhook damping control is gradually expanding from traditional passenger car suspension to special vehicles, rail transit, and more cross-industry scenarios, showing strong adaptability. In the field of engineering machinery, Park et al. introduced Skyhook damping control into the hydropneumatics strut suspension system to improve the attitude stability of special equipment in rugged terrain. In the field of rail transit [113], Li et al. studied the effects of linear and nonlinear Skyhook damping laws on the vertical and lateral dynamics of trains [43]. Leblebici and Türkay designed a Skyhook damping controller that integrates vertical and lateral dynamics for high-speed train trailers [114]. Simulation results show that the system can significantly reduce the vertical and pitch accelerations of the vehicle body, both of which are reduced by more than 30%, thereby effectively improving the smoothness and stability of high-speed trains under complex working conditions. In terms of off-road vehicles, Nie et al. designed a reduced-order passive Skyhook damping system based on the Routh stability criterion and Padé approximation technology [53]. Tiwari et al. introduced inerter-based delay control [50] to enhance the response capability of heavy vehicles in the face of sudden strong disturbances (such as craters). Expanding applications across transportation and engineering sectors illustrates the increasing versatility and adaptability of Skyhook-based control.
6. Conclusions
This paper presented a comprehensive overview of Skyhook-based techniques for vehicle suspension control, including a critical analysis of the most relevant aspects, with the following main conclusions:
- (1)
- The Skyhook theory is a suspension control strategy which aims at improving the comfort of riding; such controllers can be classified as classical Skyhook controllers or improved Skyhook controllers. Skyhook-based control is distinguished by its clear logic and computational simplicity. With the development of sliding mode control, fuzzy logic, and machine learning, Skyhook-based control is combined with these new theories to achieve better ride comfort.
- (2)
- Groundhook control is oriented to vehicle handling stability, and hybrid control is mainly used to balance the contradiction between ride comfort and handling stability of vehicle suspension. In this paper, the concepts of Groundhook control and hybrid control, as well as related improved models, are analyzed and discussed in detail.
- (3)
- Suspension actuators have been improved and upgraded based on the development of the hydraulic industry, electromagnetic industry, and MR/ER fluid industry. Many different kinds of actuator have been designed and analyzed to address the contradiction between ride comfort and handling performance in vehicle suspensions.
- (4)
- There are some essential problems and challenges that need to be further investigated. Future research should focus on integrating Skyhook-based control with other algorithms to achieve smoother and more consistent ride quality. Furthermore, Skyhook-based control shows potential for application in other industrial fields.
In conclusion, this paper has attempted to summarize the main achievements on the classification, actuators, and theory of Skyhook-based control. In addition, future research directions are discussed. The authors hope that this paper will initiate many new ideas and inspiration for continual Skyhook-based control research and applications.
Author Contributions
Conceptualization, X.Z. and J.W.; methodology, J.W.; software, J.W.; validation, X.Z., J.W. and Z.H.; formal analysis, J.W. and Z.H.; investigation, X.Z., J.W., H.H. and W.S.; resources, X.Z., J.W. and S.Y.; data curation, X.Z. and J.W.; writing—original draft preparation, J.W.; writing—review and editing, X.Z. and J.W.; visualization, X.Z. and J.W.; supervision, X.Z. and J.W.; project administration, X.Z.; funding acquisition, X.Z. All authors have read and agreed to the published version of the manuscript.
Funding
This research was funded by the National Natural Science Foundation of China, grant number 51875257.
Data Availability Statement
Data sharing not applicable.
Acknowledgments
The authors are grateful to the editor and anonymous reviewers for their constructive comments and suggestions which have improved this paper.
Conflicts of Interest
Author Z.H. was employed by the CATARC Component Technology (Tianjin) Co. The remaining authors declare that the research was conducted in the absence of any commercial or financial relationships that could be construed as a potential conflict of interest.
References
- Chen, Y.X.; Chen, L.; Wang, R.C.; Xu, X.; Shen, Y.J.; Liu, Y.L. Modeling and test on height adjustment system of electrically-controlled air suspension for agricultural vehicles. Int. J. Agric. Biol. Eng. 2016, 9, 40–47. [Google Scholar] [CrossRef]
- Wang, X.; Hong, T.; Fang, W.; Chen, X. Optimized Design for Vibration Reduction in a Residual Film Recovery Machine Frame Based on Modal Analysis. Agriculture 2024, 14, 543. [Google Scholar] [CrossRef]
- Cui, L.; Xue, X.; Le, F.; Mao, H.; Ding, S. Design and experiment of electro hydraulic active suspension for controlling the rolling motion of spray boom. Int. J. Agric. Biol. Eng. 2019, 12, 72–81. [Google Scholar] [CrossRef]
- Venhovens, P.T. The development and implementation of adaptive semi-active suspension control. Veh. Syst. Dyn. 1994, 23, 211–235. [Google Scholar] [CrossRef]
- Popp, K.; Schiehlen, W. Ground Vehicle Dynamics; Springer Science & Business Media: Berlin/Heidelberg, Germany, 2010. [Google Scholar]
- Pacejka, H. Tire and Vehicle Dynamics; Elsevier: Amsterdam, The Netherlands, 2005. [Google Scholar]
- Gao, Y.; Yang, Y.; Fu, S.; Feng, K.; Han, X.; Hu, Y.; Zhu, Q.; Wei, X. Analysis of vibration characteristics of tractor–rotary cultivator combination based on time domain and frequency domain. Agriculture 2024, 14, 1139. [Google Scholar] [CrossRef]
- Chen, S.; Zhou, Y.; Tang, Z.; Lu, S. Modal vibration response of rice combine harvester frame under multi-source excitation. Biosyst. Eng. 2020, 194, 177–195. [Google Scholar] [CrossRef]
- Crosby, M.; Karnopp, D.C. The active damper: A new concept for shock and vibration control. Shock Vib. Bull. 1973, 43, 119–133. [Google Scholar]
- Hidaka, S.; Ahn, Y.K.; Morishita, S. Adaptive vibration control by a variable-damping dynamic absorber using ER fluid. J. Vib. Acoust. 1999, 121, 373–378. [Google Scholar] [CrossRef]
- Yu, F.; Zhang, Y.; Zhang, G. Review on vehicle electromagnetic suspension technology. Automot. Eng. 2012, 34, 569–574. [Google Scholar]
- Isa, H.M.; Mahadi, W.N.L.; Ramli, R.; Abidin, M.A. A review on electromagnetic suspension systems for passenger vehicle. In Proceedings of the International Conference on Electrical, Control and Computer Engineering 2011 (InECCE), Pahang, Malaysia, 21–22 June 2011; IEEE: New York, NY, USA, 2011; pp. 399–403. [Google Scholar]
- Zhu, Y.; Cui, B.; Yu, Z.; Gao, Y.; Wei, X. Tillage Depth Detection and Control Based on Attitude Estimation and Online Calibration of Model Parameters. Agriculture 2024, 14, 2130. [Google Scholar] [CrossRef]
- Xu, L.; Chai, X.; Gao, Z.; Li, Y.; Wang, Y. Experimental study on driver seat vibration characteristics of crawler-type combine harvester. Int. J. Agric. Biol. Eng. 2019, 12, 90–97. [Google Scholar] [CrossRef]
- Pang, J.; Li, Y.; Ji, J.; Xu, L. Vibration excitation identification and control of the cutter of a combine harvester using triaxial accelerometers and partial coherence sorting. Biosyst. Eng. 2019, 185, 25–34. [Google Scholar] [CrossRef]
- Hu, Y.; Chen, M.Z.; Sun, Y. Comfort-oriented vehicle suspension design with skyhook inerter configuration. J. Sound Vib. 2017, 405, 34–47. [Google Scholar] [CrossRef]
- Shafiei, B. A review on PID control system simulation of the active suspension system of a quarter car model while hitting road bumps. J. Inst. Eng. (India) Ser. C 2022, 103, 1001–1011. [Google Scholar] [CrossRef]
- Harly, M. Model of Integrated of Car Brake-Active Suspension of Quarter Car Model By Using LQR Control Under Periodic Road Excitation. IOP Conf. Ser. Mater. Sci. Eng. 2021, 1152, 012023. [Google Scholar] [CrossRef]
- Gu, S.; Zhang, J. Variable gain ADRC for delta parallel manipulators with disturbances. Control Eng. Pract. 2024, 145, 105877. [Google Scholar] [CrossRef]
- Zhang, S.; Xue, X.; Chen, C.; Sun, Z.; Sun, T. Development of a low-cost quadrotor UAV based on ADRC for agricultural remote sensing. Int. J. Agric. Biol. Eng. 2019, 12, 82–87. [Google Scholar] [CrossRef]
- Liu, H.; Yan, S.; Shen, Y.; Li, C.; Zhang, Y.; Hussain, F. Model predictive control system based on direct yaw moment control for 4WID self-steering agriculture vehicle. Int. J. Agric. Biol. Eng. 2021, 14, 175–181. [Google Scholar] [CrossRef]
- Lu, E.; Xue, J.; Chen, T.; Jiang, S. Robust trajectory tracking control of an autonomous tractor-trailer considering model parameter uncertainties and disturbances. Agriculture 2023, 13, 869. [Google Scholar] [CrossRef]
- Liao, Y.; Ning, D.; Du, H. Infinite horizon one-step MPC with linearised constraints for electrically interconnected suspension system. Mech. Syst. Signal Process. 2025, 229, 112521. [Google Scholar] [CrossRef]
- Tang, L.; Ren, N.L.; Funkhouser, S. Semi-active suspension control with PSO tuned LQR controller based on MR damper. Int. J. Automot. Mech. Eng. 2023, 20, 10512–10522. [Google Scholar] [CrossRef]
- Ding, Z.; Tang, Z.; Zhang, B.; Ding, Z. Vibration Response of Metal Plate and Shell Structure under Multi-Source Excitation with Welding and Bolt Connection. Agriculture 2024, 14, 816. [Google Scholar] [CrossRef]
- Wang, B.; Chen, S.; Wang, G.; Tang, Z.; Ding, H. Damping optimization method of combine harvester frame undergoing multi-source excitation. Agriculture 2024, 14, 815. [Google Scholar] [CrossRef]
- Martellosio, C.; Marini, G.; Corno, M.; Panzani, G.; Savaia, G.; Savaresi, S.M. Continuously Modulating Mixed SkyHook-ADD Suspension Control: Implementation, Performance and Sensor Reduction. IFAC-Pap. 2023, 56, 4935–4940. [Google Scholar] [CrossRef]
- Díaz-Choque, C.S.; Félix-Herrán, L.; Ramírez-Mendoza, R.A. Optimal skyhook and groundhook control for semiactive suspension: A comprehensive methodology. Shock Vib. 2021, 2021, 8084343. [Google Scholar] [CrossRef]
- Karnopp, D.; Crosby, M.J.; Harwood, R.A. Vibration control using semi-active force generators. J. Manuf. Sci. Eng. 1974, 147, 619–626. [Google Scholar] [CrossRef]
- Savaresi, S.M.; Silani, E.; Bittanti, S. Acceleration-driven-damper (ADD): An optimal control algorithm for comfort-oriented semiactive suspensions. J. Dyn. Syst. Meas. Control 2005, 127, 218–229. [Google Scholar] [CrossRef]
- Yi, K.; Song, B. A new adaptive sky-hook control of vehicle semi-active suspensions. Proc. Inst. Mech. Eng. Part D J. Automob. Eng. 1999, 213, 293–303. [Google Scholar] [CrossRef]
- Song, S.; Jiang, F.; Shi, H.; Peng, Y. Skyhook-based body-seat system preview control for a semi-active suspension tractor. Sens. Transducers 2014, 179, 60. [Google Scholar]
- Liu, Y.; Zuo, L. Mixed skyhook and power-driven-damper: A new low-jerk semi-active suspension control based on power flow analysis. J. Dyn. Syst. Meas. Control 2016, 138, 081009. [Google Scholar] [CrossRef]
- Yang, Y.; Liu, C.; Chen, L.; Zhang, X. Phase deviation of semi-active suspension control and its compensation with inertial suspension. Acta Mech. Sin. 2024, 40, 523367. [Google Scholar] [CrossRef]
- Ding, R.; Wang, R.; Meng, X.; Chen, L. A new hybrid electromagnetic actuator for a modified skyhook control strategy with energy reduction. Proc. Inst. Mech. Eng. Part D J. Automob. Eng. 2020, 234, 2025–2037. [Google Scholar] [CrossRef]
- Liu, C.; Lai, S.-K.; Ni, Y.-Q.; Chen, L. Dynamic modelling and analysis of a physics-driven strategy for vibration control of railway vehicles. Veh. Syst. Dyn. 2024, 63, 1080–1110. [Google Scholar] [CrossRef]
- Yang, Y.; Liu, C.; Lai, S.-K.; Chen, Z.; Chen, L. Frequency-dependent equivalent impedance analysis for optimizing vehicle inertial suspensions. Nonlinear Dyn. 2025, 113, 9373–9398. [Google Scholar] [CrossRef]
- Papaioannou, G.; Koulocheris, D.; Velenis, E. Skyhook control strategy for vehicle suspensions based on the distribution of the operational conditions. Proc. Inst. Mech. Eng. Part D J. Automob. Eng. 2021, 235, 2776–2790. [Google Scholar] [CrossRef]
- Savaresi, S.M.; Spelta, C. Mixed sky-hook and ADD: Approaching the filtering limits of a semi-active suspension. J. Dyn. Sys. Meas. Control 2007, 129, 382–392. [Google Scholar] [CrossRef]
- Wang, R.; Zhang, K.; Ding, R.; Jiang, Y.; Jiang, Y. A Novel Hydraulic Interconnection Design and Sliding Mode Synchronization Control of Leveling System for Crawler Work Machine. Agriculture 2025, 15, 137. [Google Scholar] [CrossRef]
- Chen, Q.; Zhang, Y.; Zhu, C.; Wu, J.; Zhuang, Y. A sky-hook sliding mode semiactive control for commercial truck seat suspension. J. Vib. Control 2021, 27, 1201–1211. [Google Scholar] [CrossRef]
- Chen, Y. Skyhook surface sliding mode control on semi-active vehicle suspension systems for ride comfort enhancement. Engineering 2009, 1, 23–32. [Google Scholar] [CrossRef]
- Li, H.; Goodall, R.M. Linear and non-linear skyhook damping control laws for active railway suspensions. Control Eng. Pract. 1999, 7, 843–850. [Google Scholar] [CrossRef]
- Hong, K.-S.; Sohn, H.-C.; Hedrick, J.K. Modified skyhook control of semi-active suspensions: A new model, gain scheduling, and hardware-in-the-loop tuning. J. Dyn. Sys. Meas. Control 2002, 124, 158–167. [Google Scholar] [CrossRef]
- Mei, T.; Goodall, R. Stability control of railway bogies using absolute stiffness: Sky-hook spring approach. Veh. Syst. Dyn. 2006, 44 (Suppl. 1), 83–92. [Google Scholar] [CrossRef]
- Priyandoko, G.; Mailah, M.; Jamaluddin, H. Vehicle active suspension system using skyhook adaptive neuro active force control. Mech. Syst. Signal Process. 2009, 23, 855–868. [Google Scholar] [CrossRef]
- Song, X. Cost-effective skyhook control for semiactive vehicle suspension applications. Open Mech. Eng. J. 2009, 3, 17–25. [Google Scholar] [CrossRef]
- Savaresi, S.M.; Poussot-Vassal, C.; Spelta, C.; Sename, O.; Dugard, L. Semi-Active Suspension Control Design for Vehicles; Elsevier: Amsterdam, The Netherlands, 2010. [Google Scholar]
- Hudha, K.; Jamaluddin, H. Simulation and experimental evaluation on a skyhook policy-based fuzzy logic control for semi-active suspension system. Int. J. Struct. Eng. 2011, 2, 243–272. [Google Scholar]
- Tiwari, A.; Lathkar, M.; Shendge, P.; Phadke, S. Skyhook control for active suspension system of heavy duty vehicles using inertial delay control. In Proceedings of the 2016 IEEE 1st International Conference on Power Electronics, Intelligent Control and Energy Systems (ICPEICES), Delhi, India, 4–6 July 2016; IEEE: New York, NY, USA, 2016; pp. 1–6. [Google Scholar]
- Hsieh, C.-Y.; Huang, B.; Golnaraghi, F.; Moallem, M. Regenerative skyhook control for an electromechanical suspension system using a switch-mode rectifier. IEEE Trans. Veh. Technol. 2016, 65, 9642–9650. [Google Scholar] [CrossRef]
- Leblebici, A.S.; Türkay, S. An H∞ and skyhook controller design for a high speed railway vehicle. IFAC-Paper 2018, 51, 156–161. [Google Scholar] [CrossRef]
- Nie, J.; Yang, Y.; Jiang, T.; Zhang, H. Passive skyhook suspension reduction for improvement of ride comfort in an off-road vehicle. IEEE Access 2019, 7, 150710–150719. [Google Scholar] [CrossRef]
- Ding, R.; Wang, R.; Meng, X.; Chen, L. A modified energy-saving skyhook for active suspension based on a hybrid electromagnetic actuator. J. Vib. Control 2019, 25, 286–297. [Google Scholar] [CrossRef]
- Lee, A.S.; Gadsden, S.A.; Al-Shabi, M. Application of nonlinear estimation strategies on a magnetorheological suspension system with skyhook control. In Proceedings of the 2020 IEEE International IOT, Electronics and Mechatronics Conference (IEMTRONICS), Vancouver, BC, Canada, 9–12 September 2020; IEEE: New York, NY, USA; 2020; pp. 1–6. [Google Scholar]
- Ma, T.; Bi, F.; Wang, X.; Tian, C.; Lin, J.; Wang, J.; Pang, G. Optimized fuzzy skyhook control for semi-active vehicle suspension with new inverse model of magnetorheological fluid damper. Energies 2021, 14, 1674. [Google Scholar] [CrossRef]
- Zając, K.; Kowal, J.; Konieczny, J. Skyhook control law extension for suspension with nonlinear spring characteristics. Energies 2022, 15, 754. [Google Scholar] [CrossRef]
- Lu, Y.; Khajepour, A.; Soltani, A.; Li, R.; Zhen, R.; Liu, Y.; Wang, M. Gain-adaptive Skyhook-LQR: A coordinated controller for improving truck cabin dynamics. Control Eng. Pract. 2023, 130, 105365. [Google Scholar] [CrossRef]
- Han, J.; Maeda, T.; Itakura, H.; Kitazawa, D. Experimental study on the motion reduction performance of a small suspension catamaran exploiting an active skyhook control strategy. Ocean Eng. 2023, 281, 114642. [Google Scholar] [CrossRef]
- Farah, F.; Moreau, X.; Daou, R.A.Z. Comparative Study of Two Sky Hook Strategies analyzed from a control theory perspective. In Proceedings of the 2024 28th International Conference on Methods and Models in Automation and Robotics (MMAR), Miedzyzdroje, Poland, 27–30 August 2024; IEEE: New York, NY, USA, 2024; pp. 131–136. [Google Scholar]
- Wang, Y.; Dong, L.; Chen, Z.; Sun, M.; Long, X. Integrated skyhook vibration reduction control with active disturbance rejection decoupling for automotive semi-active suspension systems. Nonlinear Dyn. 2024, 112, 6215–6230. [Google Scholar] [CrossRef]
- Yang, X.; Zeng, S.; Liu, C.; Liu, X.; Wang, Z.; Yang, Y. Optimal design and performance evaluation of HMDV inertial suspension based on generalized skyhook control. Int. J. Struct. Stab. Dyn. 2025, 25, 2550069. [Google Scholar] [CrossRef]
- Tang, Z.; Zhang, B.; Wang, M.; Zhang, H. Damping behaviour of a prestressed composite beam designed for the thresher of a combine harvester. Biosyst. Eng. 2021, 204, 130–146. [Google Scholar] [CrossRef]
- Valasek, M.; Novak, M. Ground hook for semi-active damping of truck’s suspension. In Proceedings of the CTU Workshop, Brno, Czech Republic, 22–24 January 1996; Volume 96, pp. 467–468. [Google Scholar]
- Pare, C.A. Experimental Evaluation of Semiactive Magneto-Rheological Suspensions for Passenger Vehicles; Virginia Tech: Blacksburg, Virginia, 1998. [Google Scholar]
- Valá ek, M.; Stejskal, V.; ika, Z.; Vaculin, O. Control concepts of semi-active damping of truck suspension for road friendliness. Veh. Syst. Dyn. 1998, 29 (Suppl. 1), 766–771. [Google Scholar] [CrossRef]
- Valášek, M.; Kortüm, W.; Šika, Z.; Magdolen, L.; Vaculın, O. Development of semi-active road-friendly truck suspensions. Control Eng. Pract. 1998, 6, 735–744. [Google Scholar] [CrossRef]
- Koo, J.-H.; Ahmadian, M.; Setareh, M.; Murray, T. In search of suitable control methods for semi-active tuned vibration absorbers. J. Vib. Control 2004, 10, 163–174. [Google Scholar] [CrossRef]
- Ahmadian, M.; Pare, C.A. A quarter-car experimental analysis of alternative semiactive control methods. J. Intell. Mater. Syst. Struct. 2000, 11, 604–612. [Google Scholar] [CrossRef]
- Ahmadian, M.; Vahdati, N. Transient dynamics of semiactive suspensions with hybrid control. J. Intell. Mater. Syst. Struct. 2006, 17, 145–153. [Google Scholar] [CrossRef]
- Bao, Y.; Yang, M.; Huang, H.; Liu, L.; Zhu, H.; Ding, W. Research on Human-Vehicle-Road Friendliness Based on Improved SH-GH-ADD Control. Sound Vib. 2023, 57, 45–68. [Google Scholar] [CrossRef]
- Kou, F.; Jing, Q.; Chen, C.; Wu, J. Endocrine Composite Skyhook-Groundhook Control of Electromagnetic Linear Hybrid Active Suspension. Shock Vib. 2020, 2020, 3402168. [Google Scholar] [CrossRef]
- Chen, J.P.; Qiao, Y.H.; Feng, W.T.; Guo, W.S. Research of Self-Adjust Compromise Control Strategy about Comfort and Stability of Quarter Vehicle. Appl. Mech. Mater. 2014, 464, 265–272. [Google Scholar]
- Ha, S.; Choi, S.; Lee, G.; Yoo, W. Control performance evaluation of railway vehicle MR suspension using fuzzy sky-ground hook control algorithm. J. Phys. Conf. Ser. 2013, 412, 012042. [Google Scholar] [CrossRef]
- Nugroho, P.W.; Li, W.; Du, H.; Alici, G.; Yang, J. An adaptive neuro fuzzy hybrid control strategy for a semiactive suspension with magneto rheological damper. Adv. Mech. Eng. 2014, 6, 487312. [Google Scholar] [CrossRef]
- Ata, W.; Salem, A. Semi-active control of tracked vehicle suspension incorporating magnetorheological dampers. Veh. Syst. Dyn. 2017, 55, 626–647. [Google Scholar] [CrossRef]
- Turnip, A.; Panggabean, J.H. Hybrid controller design based magneto-rheological damper lookup table for quarter car suspension. Int. J. Artif. Intell. 2020, 18, 193–206. [Google Scholar]
- Liu, C.; Chen, L.; Lee, H.P.; Yang, Y.; Zhang, X. Generalized skyhook-groundhook hybrid strategy and control on vehicle suspension. IEEE Trans. Veh. Technol. 2022, 72, 1689–1700. [Google Scholar] [CrossRef]
- Lim, H.; Lee, J.W.; Choi, S.-B.; Choi, J.B. PD-Skygroundhook Controller for Semi-Active Suspension System Using Magnetorheological Fluid Dampers. arXiv 2025, arXiv:2503.12891. [Google Scholar]
- Li, J.; Nie, Z.; Chen, Y.; Ge, D.; Li, M. Development of boom posture adjustment and control system for wide spray boom. Agriculture 2023, 13, 2162. [Google Scholar] [CrossRef]
- Liu, J.; Xia, C.; Jiang, D.; Sun, Y. Development and testing of the power transmission system of a crawler electric tractor for greenhouses. Appl. Eng. Agric. 2020, 36, 797–805. [Google Scholar] [CrossRef]
- Yu, Y.; Wang, G.; Tang, Z.; Cao, Y.; Zhao, Y. Structural Form and Field Operation Effect of Crawler Type Broccoli Harvester. Eng. Agríc. 2023, 43, e20230132. [Google Scholar] [CrossRef]
- Cui, L.; Mao, H.; Xue, X.; Ding, S.; Qiao, B. Optimized design and test for a pendulum suspension of the crop spray boom in dynamic conditions based on a six DOF motion simulator. Int. J. Agric. Biol. Eng. 2018, 11, 76–85. [Google Scholar]
- Zhang, Z.; Chen, C.; Li, H.; Xia, H. Design and evaluation of a control system for the fertigation device. J. ASABE 2022, 65, 1293–1302. [Google Scholar] [CrossRef]
- Han, L.; Liu, Y.; Mo, M.; Ma, H.; Kumi, F.; Mao, H. Development and Evaluation of a Walking Type Two-row Semi-automatic Transplanter for Vegetable Plug Seedlings. Ama-Agric. Mech. Asia Afr. Lat. Am. 2023, 54, 57–67. [Google Scholar]
- Sugasawa, F.; Kobayashi, H.; Kakimoto, T.; Shiraishi, Y.; Tateishi, Y. Electronically controlled shock absorber system used as a road sensor which utilizes super sonic waves. SAE Trans. 1985, 94, 15–25. [Google Scholar]
- Kutsche, T.; Raulf, M. Optimised ride control for passenger cars and commercial vehicles. ATZ Worldw. 2001, 103, 10–12. [Google Scholar] [CrossRef]
- Oh, S.K.; Yoon, Y.H.; Yun, J.H. A study on the tuning parameter of continuous variable valve for reverse continuous damper. In Proceedings of the 5th International Conference on Heat Transfer, Fluid Mechanics and Thermodynamics, Sun city, South Africa, 1–4 July 2007. [Google Scholar]
- Krasnicki, E. The experimental performance of an on-off active damper. Shock Vib. Bull. 1981, 51, 125–131. [Google Scholar]
- Patten, W.; Mo, C.; Kuehn, J.; Lee, J. A primer on design of semiactive vibration absorbers (SAVA). J. Eng. Mech. 1998, 124, 61–68. [Google Scholar] [CrossRef]
- Soliman, A.; Kaldas, M. Semi-active suspension systems from research to mass-market–A review. J. Low Freq. Noise Vib. Act. Control 2021, 40, 1005–1023. [Google Scholar] [CrossRef]
- Zhang, X.L.; Zhu, J.; Nie, J.; Gene Liao, Y.; Lu, X. Analysis of inertance and damping double-skyhook control strategies for a semi-active device combining an adjustable inerter and damper. Struct. Control Health Monit. 2022, 29, e3040. [Google Scholar] [CrossRef]
- Faheem, M.; Liu, J.; Chang, G.; Ahmad, I.; Peng, Y. Hanging force analysis for realizing low vibration of grape clusters during speedy robotic post-harvest handling. Int. J. Agric. Biol. Eng. 2021, 14, 62–71. [Google Scholar] [CrossRef]
- Weeks, D.; Bresie, D.; Beno, J.; Guenin, A. The design of an electromagnetic linear actuator for an active suspension. SAE Trans. 1999, 108, 1264–1274. [Google Scholar]
- Gupta, A.; Jendrzejczyk, J.; Mulcahy, T.; Hull, J. Design of electromagnetic shock absorbers. Int. J. Mech. Mater. Des. 2006, 3, 285–291. [Google Scholar] [CrossRef]
- Ebrahimi, B.; Khamesee, M.B.; Golnaraghi, M.F. Design and modeling of a magnetic shock absorber based on eddy current damping effect. J. Sound Vib. 2008, 315, 875–889. [Google Scholar] [CrossRef]
- Ebrahimi, B.; Khamesee, M.B.; Golnaraghi, F. Eddy current damper feasibility in automobile suspension: Modeling, simulation andtesting. Smart Mater. Struct. 2008, 18, 015017. [Google Scholar] [CrossRef]
- Amati, N.; Festini, A.; Tonoli, A. Design of electromagnetic shock absorbers for automotive suspensions. Veh. Syst. Dyn. 2011, 49, 1913–1928. [Google Scholar] [CrossRef]
- Klimenko, Y.I.; Batishchev, D.; Pavlenko, A.; Grinchenkov, V. Design of a linear electromechanical actuator with an active vehicle suspension system. Russ. Electr. Eng. 2015, 86, 588–593. [Google Scholar] [CrossRef]
- Unsal, M. Semi-Active Vibration Control of a Parallel Platform Mechanism Using Magnetorheological Damping; University of Florida: Gainesville, FL, USA, 2006. [Google Scholar]
- Sassi, S.; Cherif, K.; Mezghani, L.; Thomas, M.; Kotrane, A. An innovative magnetorheological damper for automotive suspension: From design toexperimental characterization. Smart Mater. Struct. 2005, 14, 811. [Google Scholar] [CrossRef]
- Hu, W.; Robinson, R.; Wereley, N.M. A design strategy for magnetorheological dampers using porous valves. J. Phys. Conf. Ser. 2009, 149, 012056. [Google Scholar] [CrossRef]
- Cook, E.; Hu, W.; Wereley, N.M. Magnetorheological bypass damper exploiting flow through a porous channel. J. Intell. Mater. Syst. Struct. 2007, 18, 1197–1203. [Google Scholar] [CrossRef]
- Ebrahimi, B.; Bolandhemmat, H.; Khamesee, M.B.; Golnaraghi, F. A hybrid electromagnetic shock absorber for active vehicle suspension systems. Veh. Syst. Dyn. 2011, 49, 311–332. [Google Scholar] [CrossRef]
- Ashfak, A.; Saheed, A.; Rasheed, K.A.; Jaleel, J.A. Design, fabrication and evaluation of MR damper. Int. J. Aerosp. Mech. Eng. 2011, 1, 27–33. [Google Scholar]
- Hu, G.; Liao, M.; Li, W. Analysis of a compact annular-radial-orifice flow magnetorheological valve and evaluation of its performance. J. Intell. Mater. Syst. Struct. 2017, 28, 1322–1333. [Google Scholar] [CrossRef]
- Yang, J.; Ning, D.; Sun, S.; Zheng, J.; Lu, H.; Nakano, M.; Zhang, S.; Du, H.; Li, W. A semi-active suspension using a magnetorheological damper with nonlinear negative-stiffness component. Mech. Syst. Signal Process. 2021, 147, 107071. [Google Scholar] [CrossRef]
- Liao, C.; Zhao, D.; Xie, L.; Liu, Q. A design methodology for a magnetorheological fluid damper based on a multi-stage radial flow mode. Smart Mater. Struct. 2012, 21, 085005. [Google Scholar] [CrossRef]
- Sung, K.-G.; Han, Y.-M.; Cho, J.-W.; Choi, S.-B. Vibration control of vehicle ER suspension system using fuzzy moving sliding mode controller. J. Sound Vib. 2008, 311, 1004–1019. [Google Scholar] [CrossRef]
- Soliman, M.; Kaldas, M.M.; Barton, D.C.; Brooks, P.C. Fuzzy-skyhook control for active suspension systems applied to a full vehicle model. Int. J. Eng. Technol. Innov. 2012, 2, 85. [Google Scholar]
- Chen, Y.; Wang, Z.-L.; Qiu, J.; Huang, H.-Z. Hybrid fuzzy skyhook surface control using multi-objective microgenetic algorithm for semi-active vehicle suspension system ride comfort stability analysis. J. Dyn. Sys. Meas. Control 2012, 134, 041003. [Google Scholar] [CrossRef]
- Savaia, G.; Formentin, S.; Panzani, G.; Corno, M.; Savaresi, S.M. Enhancing skyhook for semi-active suspension control via machine learning. IFAC J. Syst. Control 2021, 17, 100161. [Google Scholar] [CrossRef]
- Park, S.; Turnip, A.; Hong, K.-S. Modified skyhook control of a suspension system with hydraulic strut mount. In Proceedings of the 2009 ICCAS-SICE, Fukuoka, Japan, 18–21 August 2009; IEEE: New York, NY, USA, 2009; pp. 1347–1352. [Google Scholar]
- Leblebici, A.S.; Türkay, S. Skyhook Controller Design for the Lateral and Vertical Suspension of a Railway Trailer. In Proceedings of the 2024 IEEE 18th International Conference on Control & Automation (ICCA), Reykjavík, Iceland, 18–21 June 2024; IEEE: New York, NY, USA, 2024; pp. 264–269. [Google Scholar]
Disclaimer/Publisher’s Note: The statements, opinions and data contained in all publications are solely those of the individual author(s) and contributor(s) and not of MDPI and/or the editor(s). MDPI and/or the editor(s) disclaim responsibility for any injury to people or property resulting from any ideas, methods, instructions or products referred to in the content. |
© 2025 by the authors. Licensee MDPI, Basel, Switzerland. This article is an open access article distributed under the terms and conditions of the Creative Commons Attribution (CC BY) license (https://creativecommons.org/licenses/by/4.0/).























