Next Article in Journal
Prediction and Optimization of Interference Fit Level in Slug Riveted Structure with Deep Learning Enhanced Genetic Algorithm
Next Article in Special Issue
The Influence of Suspension Elastokinematics on Vehicle Handling and Stability
Previous Article in Journal
Design and Optimization of Lightweight Electromagnetic Valves for High-Altitude Latex Balloons
Previous Article in Special Issue
Skyhook-Based Techniques for Vehicle Suspension Control: A Review of the State of the Art
 
 
Font Type:
Arial Georgia Verdana
Font Size:
Aa Aa Aa
Line Spacing:
Column Width:
Background:
Article

PSO-LQR Control of ISD Suspension for Vehicle Coupled with Bridge Considering General Boundary Conditions

by
Buyun Zhang
1,*,
Shipeng Dai
1,
Yunshun Zhang
1,2 and
Chin An Tan
3
1
Automotive Engineering Research Institute, Jiangsu University, Zhenjiang 212013, China
2
Institute of Industrial Science, The University of Tokyo, Tokyo 153-8505, Japan
3
Department of Mechanical Engineering, Wayne State University, Detroit, MI 48202, USA
*
Author to whom correspondence should be addressed.
Machines 2025, 13(10), 935; https://doi.org/10.3390/machines13100935
Submission received: 5 September 2025 / Revised: 30 September 2025 / Accepted: 9 October 2025 / Published: 10 October 2025
(This article belongs to the Special Issue Advances in Vehicle Suspension System Optimization and Control)

Abstract

With the rapid development of transportation infrastructure, bridges increasingly face prominent issues of dynamic response and fatigue damage induced by vehicle–bridge interaction (VBI). To effectively suppress the coupled vibrations and enhance both vehicle ride comfort and bridge service life, this paper proposes an active inerter-spring-damper (ISD) suspension system based on Particle Swarm Optimization (PSO) algorithm and Linear Quadratic Regulator (LQR) control. By establishing a VBI model considering general boundary conditions and employing the modal superposition method to solve the system response, an LQR controller is designed for multi-objective optimization targeting the vehicle body acceleration, suspension dynamic travel, and tire dynamic load. To further improve control performance, the PSO algorithm is utilized to globally optimize the LQR weighting matrices. Numerical simulation results demonstrate that, compared to passive suspension and unoptimized LQR active suspension, the PSO-LQR control strategy significantly reduces vertical body acceleration and tire dynamic load, while also improving the convergence and stability of the suspension dynamic travel. This research provides a new insight into the control method for VBI systems, possessing both theoretical and practical engineering application value.

1. Introduction

With the rapid development in the sector of transportation infrastructure, the number of bridges has been steadily increasing. The trends of modern bridge construction and design focus more and more on refinement [1], intelligence [2], and low-carbon sustainability [3,4]. However, the issues arising from vehicle–bridge interaction (VBI) have also become increasingly prominent, such as bridge fatigue damage [5], vehicle–bridge resonance [6], and the impact on vehicle performance [7]. Bridges are often subjected to dynamic loads induced by vertical vibrations of moving vehicles [8], which not only significantly affect the dynamic response of the bridge structure but also threaten its operational safety, shorten its service life, and compromise structural integrity. An in-depth investigation of the coupled vibration mechanisms between vehicles and bridges is essential for achieving effective bridge health monitoring and damage assessment [9], as well as improving the ride comfort and safety of vehicles traveling over bridges [10,11,12,13]. As a result, the dynamics of vehicle–bridge interaction has attracted widespread research attention.
In existing studies on vibration mitigation of bridges considering VBI, the installation of dampers or vibration absorbers on the bridge structure is a commonly adopted vibration control strategy. These devices can effectively suppress the bridge’s vibration responses under various loading conditions within a certain range [14,15]. However, such passive or semi-active damping devices typically suffer from inherent limitations, including restricted service life, high maintenance costs, and limited adaptability to complex operating conditions [16,17]. In light of these drawbacks, researchers have proposed that suppressing the vibration source, i.e., the vehicle itself, may serve as a more effective approach to mitigating vehicle–bridge coupled vibrations [18,19].
A growing number of studies have shifted focus toward optimizing vehicle suspension systems [20,21,22]. By adjusting and fine-tuning suspension parameters, such as stiffness and damping characteristics, within the VBI dynamic framework [23,24,25,26], these approaches aim to simultaneously enhance vehicle ride quality and effectively reduce the dynamic loads imparted on bridge structures. In particular, the development of inerter-based (inerter-spring-damper, ISD) suspension systems [27,28] has shown significant promise in improving the performance of vehicles traveling over bridges. However, existing research on ISD suspension systems has adopted a relatively narrow perspective, primarily focusing on the structural design of the suspension and its control over vehicle body vibrations, while failing to adequately incorporate interactions between the vehicle, road surface, and bridge (particularly vehicle–bridge coupled vibrations). Consequently, the influence of road surface vibrations—as a critical external excitation—on the dynamic characteristics of the suspension system has often been overlooked. Therefore, in our previous work [29], we conducted a characteristic analysis and parameter optimization study of an inerter-based suspension system. By establishing a vehicle–bridge interaction model and applying the fixed-point theory, the optimal damping parameters for the system were determined. The results demonstrated that the proposed optimization method effectively improves ride comfort while simultaneously reducing the dynamic response of the bridge structure. However, this study had two main limitations. First, the dynamic model relied on simplified assumptions, such as a simply supported beam and a single-mass vehicle model, which cannot fully capture the complex boundary conditions in practical engineering or the multi-body dynamics of real vehicles. Second, the system under investigation was a passive suspension, whose vibration suppression performance is constrained by the inherent characteristics of passive components. Compared to active suspension systems with higher control authority, its overall vibration mitigation effectiveness remains significantly limited. In addition to suspension optimization, researchers have also explored advanced control strategies [30,31]. Yin et al. [32] proposed a decentralized cooperative control framework, which effectively enhances the lateral stability, ride comfort and roll safety of vehicles during road travel through a multi-constrained distributed model predictive control approach. Chen et al. [33] introduced a neuron-based adaptive PID control algorithm into the electronically controlled air suspension system of agricultural transport vehicles, achieving active regulation of vehicle body height. Zhang et al. [34] proposed an active suspension control method for heavy vehicles based on linear quadratic regulator (LQR) theory. By incorporating time-freezing techniques, they transformed a linear time-varying system into a linear time-invariant one to analyze the VBI system. The study demonstrated that the proposed LQR-based control strategy significantly improved ride comfort while reducing the dynamic response of the road structure. Despite the effectiveness of these suspension optimization approaches in suppressing vehicle–bridge coupled vibrations, most existing methods are prone to converging on locally optimal solutions, and the coupled vehicle–bridge models employed are often simplified.
On the other hand, current studies on VBI systems commonly adopt the Euler–Bernoulli beam model [35] or the Timoshenko beam model [36] to represent the bridge. Most existing coupled models simplify the bridge boundary conditions by assuming idealized simply supported or clamped configurations. However, such simplifications do not accurately reflect the multi-degree-of-freedom (MDOF) constraints of real-world bridges, thereby limiting the fidelity of the model. For example, Shi and Uddin [37] developed vehicle–bridge interaction models under various boundary conditions, including fully clamped, clamped–simply supported, and cantilevered configurations. They conducted a comparative analysis of the dynamic responses under different boundary conditions and quantitatively evaluated how different vehicle parameters influence the identification of multiple bridge natural frequencies from vehicle response data. In contrast, Cheng et al. [38] investigated the structural traveling wave problem in a tensioned Euler–Bernoulli beam subjected to phase-controlled excitation, using the complex mode expansion method under general viscoelastic boundary conditions. Their work provides a more accurate dynamic framework for analyzing VBI vibrations.
In summary, the main contributions and innovations of this study lie in the development of a VBI system model that incorporates realistic and complex boundary constraints of the bridge. A novel active suspension control strategy based on LQR is proposed and designed to address these complexities. For the purpose of determining the optimal control parameters and ensuring the real-time [39] capability of the active control force for vehicles in motion, the weighting matrices of the LQR controller were optimized using the Particle Swarm Optimization (PSO) algorithm. Simulation results demonstrate that the proposed optimized control strategy not only significantly improves vehicle ride comfort and handling stability, but also effectively suppresses the dynamic response of the bridge structure.
The structure of this paper is organized as follows. In Section 2, we present the modeling of the VBI system under general boundary conditions, describe the solution method for the governing differential equations, and propose the design strategy for the LQR controller. In Section 3, a particle swarm optimization (PSO) method is introduced to determine the optimal weighting parameters of the controller, including the algorithm workflow, fitness function formulation, and implementation details. Section 4 provides numerical simulations to verify the performance of the PSO-LQR controller. Finally, conclusions are drawn in Section 5.

2. Modelling VBI System with General Boundary Conditions and Control Strategy

2.1. Modeling the VBI System and Governing Equations

When a vehicle travels over a bridge, its vertical motion is primarily influenced by road surface irregularities and bridge deformations. Road roughness characterizes the unevenness of the bridge deck and is generally modeled as a stochastic process represented by a power spectral density (PSD) function. Bridge deformation, on the other hand, results from both self-weight and vehicle-induced loads; however, the effect of self-weight is typically neglected in dynamic analyses, as it is assumed to be balanced out in the static equilibrium configuration. The deformation of the bridge is affected not only by the vehicle load but also by the boundary conditions of the bridge.
Figure 1 illustrates a Euler–Bernoulli beam model of a bridge with general boundary conditions at both ends and length L. The translational constraints at the ends are denoted by k t and c t , while the rotational constraints are represented by k r and c r , respectively. A two-DOF quarter-car model, consisting of a sprung mass m s and an unsprung mass m u , travels over the bridge at a constant speed v . The vertical displacements of the sprung and unsprung masses are denoted by u s and u u , respectively. The interaction force between the wheel and the bridge surface is denoted as F d , with k u and c u representing the tire stiffness and damping, respectively. The suspension system, which connects the sprung and unsprung masses, consists of a stiffness element k s , a damping element c s , and an inerter element b s . Since this study investigates active suspension systems, the model also includes a control force F a , which is generated by the actuator based on the output of a control strategy.
First, the road surface roughness is represented by a PSD function, and its spatial profile is calculated using the trigonometric series superposition method [40] as
ξ ( x ) = i = 1 + 4 S d ( f i ) Δ f cos ( 2 π f i x + θ i ) ,     x [ 0 , L ] ,
where S d ( f i ) denotes the power spectral density of the road surface roughness; f i represents the i - th   ( i = 1 , 2 , , N ) specific frequency within the PSD; Δ f is the frequency resolution; and θ i [ 0 , 2 π ] is the corresponding random phase angle. Taking the static position under the bridge’s self-weight as the equilibrium position, the governing differential equation for the vertical vibration of the bridge is given by
ρ A 2 t 2 w ( x , t ) + E I 4 x 4 w ( x , t ) = F d ( t ) δ ( x x c ) ,
where w ( x , t ) denotes the vertical displacement of the bridge; ρ is the density of the bridge; A represents the cross-sectional area; E I is the bending stiffness; and δ ( x ) is the Dirac delta function, x c = v t indicating the instantaneous position of the vehicle or the point of vehicle–bridge interaction force. The coupling contact force on the right-hand side of Equation (2) is expressed as
F d ( t ) = c t u ˙ u ( t ) ξ ˙ ( t ) w ˙ ( x c , t ) + k t u u ( t ) ξ ( x c ) w ( x c , t ) .
The boundary conditions of the beam and the initial conditions of the coupled system are given by
w , x x ( 0 , t ) = k r w , x ( 0 , t ) + c r w , x t ( 0 , t ) + I 0 w , x t t ( 0 , t ) w , x x x ( 0 , t ) = [ k t w ( 0 , t ) + c t w , t ( 0 , t ) + M 0 w , t t ( 0 , t ) ] w , x x ( L , t ) = [ k r w , x ( L , t ) + c r w , x t ( L , t ) + I 0 w , x t t ( L , t ) ] w , x x x ( L , t ) = k t w ( L , t ) + c t w , t ( L , t ) + M 0 w , t t ( L , t ) .
Based on Newton’s second law, the equations of motion for the vehicle body are derived by
m s u ¨ s + b s ( u ¨ s u ¨ u ) + c s ( u ˙ s u ˙ u ) + k s ( u s u u ) = F a ,
as well as the equations of motion for the unsprung mass
m u u ¨ u + b s ( u ¨ u u ¨ s ) + c s ( u ˙ u u ˙ s ) + k s ( u u u s )         + c t [ u ˙ u ξ ˙ ( x c ) w , t ( x c , t ) ] + k t [ u u ξ ( v t ) w ( x c , t ) ] = F a .
In summary, Equations (2)–(6) comprehensively describe the differential equations of motion, zero initial conditions, and boundary conditions for the coupled system shown in Figure 1. The vertical displacement of the bridge vibration, w ( x , t ) , can be expressed using the modal superposition method as
w ( x , t ) = i = 1 N φ i ( x ) q i ( t )
where φ i ( x ) denotes the i-th mode shape of the beam, and q i ( t ) is the generalized coordinate corresponding to the beam displacement. Substituting Equation (7) into Equations (2) and (6) yields the system of differential equations governing the motions of the bridge and the unsprung mass
ρ A i = 1 N φ i ( x ) q ¨ i + c t i = 1 N φ i ( x c ) δ ( x x c ) q ˙ i + E I i = 1 N φ i ( 4 ) ( x ) + v c t i = 1 N φ i ( x c ) δ ( x x c ) + k t i = 1 N φ i ( x c ) δ ( x x c ) q i = [ c t u ˙ u + k t u u c t v ξ ˙ ( x c ) k t ξ ( x c ) ] δ ( x x c )
m u u ¨ u + b s ( u ¨ u u ¨ s ) + c s ( u ˙ u u ˙ s ) + k s ( u u u s ) c t i = 1 N φ i ( x c ) q ˙ i v c t i = 1 N φ i ( x c ) q i k t i = 1 N φ i ( x c ) q i + c t u ˙ u + k t u u = c t v ξ ˙ ( x c ) + k t ξ ( x c ) F a
Utilizing the orthogonality property of the mode shapes, Equation (8) is multiplied by φ j ( x ) ,   ( j = 1 , 2 , , N ) on both sides and then integrated over the domain from 0 to L, resulting in
ρ A 0 L φ j 2 ( x ) d x q ¨ j + c t i = 1 N φ j ( x c ) φ i ( x c ) q ˙ j + E I 0 L φ j ( x ) φ j ( 4 ) ( x ) d x + v c t i = 1 N φ j ( x c ) φ i ( x c ) + k t i = 1 N φ j ( x c ) φ i ( x c ) q j c t φ j ( x c ) u ˙ u k t φ j ( x c ) u u = c t v φ j ( x c ) ξ ˙ ( x c ) k t φ j ( x c ) ξ ( x c )         ( j = 1 , 2 , , N )
Let the generalized mass and stiffness corresponding to the j -th mode be denoted as M j = ρ A 0 L φ j 2 ( x ) d x and K j = E I 0 L φ j ( x ) φ j ( 4 ) ( x ) d x , respectively. Define the state increment vector as q = [ q 1   q 2     q N   u s   u u ] T . By combining Equations (5), (9) and (10), the controlled equations of motion for the vehicle–bridge coupled vibration system can be expressed as
M q ¨ + C q ˙ + K q = D α ξ + D β F a
where M denotes the system mass matrix, C the damping matrix, and K the stiffness matrix. Their detailed expressions are provided in Appendix A.
D = c t v φ 1 ( x c ) k t φ 1 ( x c ) 0 c t v φ 2 ( x c ) k t φ 2 ( x c ) 0 c t v φ N ( x c ) k t φ N ( x c ) 0 0 0 1 c t v k t 1 ,     ξ = ξ ˙ ( x c ) ξ ( x c ) ,   α = 1 0 0 1 0 0 ,   β = 0 0 1 .
Equation (11) can be expressed in the form of a differential equation as
z ˙ ( t ) = A ( t ) z ( t ) + B ( t ) u ( t )
where the state-space vector is defined as z ( t ) = [ q ( t )     q ˙ ( t ) ] T , thus we have
z ( 0 ) = [ q ( 0 )     q ˙ ( 0 ) ] T ; u ( t ) = [ ξ F a ] T ; A ( t ) = 0 I M 1 K M 1 C ; B ( t ) = 0 0 M 1 D α M 1 D β .

2.2. Design of LQR Controller for VBI System

LQR control aims to achieve effective regulation of a given objective function with minimal control input, as illustrated in the flowchart shown in Figure 2. Taking the vehicle active suspension system as an example, its primary goal is to enhance ride comfort while ensuring driving safety. Specifically, it seeks to reduce the vehicle body vertical acceleration and tire dynamic load as much as possible without increasing the suspension dynamic deflection. Therefore, this study employs an LQR control algorithm to actively adjust the actuator force of the suspension system.
The vehicle body acceleration u ¨ s is used to represent ride comfort, while the relative displacement between the sprung and unsprung masses, u s u u , characterizes he redundancy of the suspension moving space. The lateral deformation of the road surface is incorporated into the tire dynamic load calculation by defining the relative displacement between the tire and the bridge surface at the contact point, U C R D = u u ξ ( t ) w ( v t , t ) . Consequently, the objective function is formulated as follows:
J = lim T 1 T 0 T θ 1 u ¨ s 2 + θ 2 ( u s u u ) 2 + θ 3 U C R D 2 d t
where q 1 , q 2 , q 3 denote the weighting coefficients for the vehicle body vertical acceleration, suspension dynamic deflection, and tire dynamic travel, respectively, which influence the optimization and control of the target performance. The control output vector is defined as follows:
Y = [ u ¨ s u s u u U C R D ] T
Combining with Equation (12), the above expression can be transformed into the state-space form as follows:
Y = E z ( t ) + F u ( t ) ,
where
E = H b s k t φ T H k s m u H ( k s m u b s k t ) H b s c t φ T H ( c s m u + b s c t ) H c s m u 0 1 × N 1 1 0 1 × N 0 0 φ T ( x c ) 0 1 0 1 × N 0 0 , , F = b s c t b s k t m u 0 0 0 0 1 0 ,
and H = [ m s m u + b s ( m s + m u ) ] 1 . By combining Equations (14)–(16), Equation (14) can be expressed in matrix form as follows:
J = lim T 1 T 0 T u ¨ s u s u u U C R D Q 0 u ¨ s u s u u U C R D d t = lim T 1 T 0 T [ z T Q z + u T R u + 2 z T N u ] d t ,
where Q = E T Q 0 E ; R = F T Q 0 F ; N = E T Q 0 F ; Q 0 = d i a g [ θ 1 θ 2 θ 3 ] .
The performance of the LQR controller is largely determined by the weighting coefficient matrix Q 0 . In the multi-objective optimization design of control systems, selecting appropriate weighting matrices often presents a challenging parameter tuning problem. Traditional methods primarily rely on manual trial-and-error or exhaustive parameter scanning. Such heuristic search strategies suffer from dual limitations: on one hand, they lead to prolonged design cycles and significant resource consumption; on the other hand, due to the non-convex nature of the parameter space, experience-driven searches struggle to guarantee global optimality and may easily become trapped in local optima.
To address this control parameter optimization issue, this study proposes a PSO framework. By incorporating a dynamic inertia weight adjustment strategy and an elite particle preservation mechanism, the method develops an intelligent optimization algorithm with adaptive exploration–exploitation balance. The novelty of this approach lies in transforming the weighting coefficient selection into a convergent convex optimization problem, theoretically ensuring the asymptotic optimality of the LQR controller performance index within the Hilbert space.

2.3. Results of LQR Control

This study employs an ISD suspension in a parallel configuration, designs an LQR controller, and intends to optimize the control matrices using the PSO algorithm. Based on the VBI model established in Section 2.1, the vehicle travels at 20 m/s on a Class C road surface. The excitation in displacement that acts on the vehicle is shown in Figure 3. To verify the effectiveness of the proposed method, we first compare the passive suspension with the active ISD suspension, analyzing indicators such as the vehicle body acceleration in the vertical direction, suspension dynamic deflection, and tire dynamic load. In existing studies on bridge modeling, fixed-fixed or fixed-pinned boundary conditions are commonly adopted. However, these two cases represent only specific examples under general boundary conditions. While their advantage lies in computational simplicity, they are primarily suitable for simplified analysis of small-span bridges and exhibit limited generality. Therefore, this study employs a beam model with translational mass-spring-damper boundary constraints. This model allows for a more accurate representation of the actual boundary characteristics of bridge structures, thereby better aligning with the requirements of vehicle–bridge interaction dynamics and enhancing the engineering applicability and accuracy of the research. The parameters of the coupled vibration system are shown in Table 1.
The VBI system is essentially a linear time-varying system, and obtaining its precise solution faces challenges in computational complexity and time-consuming. It is important to balance computational efficiency and solution accuracy. As illustrated in the previous section, the bridge modes are calculated using the finite element method (Ansys Workbench 2023R1), and the first five modes and frequencies are shown in Figure 4. Theoretically, the computational accuracy of the modal superposition method increases with the number of modes included, but the computational time also increases significantly. Therefore, selecting an appropriate number of modes is crucial to avoid excessive computational cost while ensuring result accuracy.
On the other hand, human perception of vibration exhibits significant frequency dependence. Under most nonstationary driving conditions, the frequency range of vibration to which the human body is sensitive is mainly concentrated in the low-frequency region. The increase in vehicle’s speed leads to a broadening of the resonance frequency band of its suspension system; whereas under constant speed conditions, this resonance band is relatively stable. Therefore, we select the target frequency band, 0–25 Hz, for active control in this work. This frequency range effectively covers the main frequencies of occupant discomfort and the key resonance regions of the suspension system, thereby ensuring the effectiveness of the proposed control strategy in improving vehicle ride comfort. To this end, the first five modes of the bridge are used for calculation through finite element analysis and considering the frequency band requirements. This number of modes satisfies the analysis accuracy requirements for vibration responses within the 0–25 Hz while ensuring a faster computation.
Figure 5, Figure 6 and Figure 7 show the comparison of key performance indicators between the ISD suspension with LQR controller and the passive system in the time domain. Figure 5 and Figure 6 shows that compared to the passive system, the LQR algorithm significantly reduces the amplitude of the tire dynamic load and the peak level of the vertical acceleration of the vehicle body. The reduction in tire dynamic load directly implies a decrease in the force exerted by the vehicle on the bridge, helping to mitigate the potential damage risk to the bridge caused by the vehicle loads. Simultaneously, the significant suppression of vertical acceleration of the vehicle body is a key factor in improving the ride comfort, indicating a clear advantage of the LQR control strategy in enhancing the driving and riding experience.
However, as shown in Figure 7 due to the intervention of active control forces, the suspension dynamic travel of the LQR-controlled active suspension exhibits a trend distinct from that of the passive suspension. Notably, its peak value is significantly reduced compared to the passive system—this parameter is an important indicator in vehicle suspension systems, describing the maximum displacement range of the suspension during extension and compression. The reduction in suspension dynamic travel theoretically decreases the impact loads on suspension components, thereby mitigating the risk of mechanical failure or fatigue damage to some extent. Furthermore, it can be observed that the LQR-active suspension demonstrates improved convergence and stability, and its smaller amplitude vibrations contribute positively to enhancing vehicle ride comfort.
Based on the above discussion, it can be concluded that the application of LQR control strategy can effectively improve the vehicle’s performance even under the consideration of vehicle–bridge coupling effect. Its advantages are mainly reflected in significantly reducing the tire dynamic load (protecting the bridge structure) and suppressing the vertical acceleration of vehicle body (improving ride comfort). Although there is an increase in suspension dynamic travel, the resulting improvement in stability and fast convergence characteristics partially offset the potential risks.
Overall, the LQR control strategy demonstrates good potential for comprehensive performance improvement. However, the increase in suspension dynamic travel also reveals some room for optimization in the constraint conditions or objective function setting of this control strategy. Future research could consider introducing multi-objective optimization or constraint handling mechanisms to further suppress the increase in dynamic travel while ensuring performance advantages, achieving more comprehensive performance improvement.

3. Optimization for the Parameters of LQR Controller

The performance of an LQR controller is highly dependent on the selection of the weighting coefficients θ. Traditionally, these coefficients are typically determined through trial-and-error or analytical methods—a process that is not only tedious and time-consuming but also often fails to guarantee the global optimality of the system performance. Given the high dimensionality and structural complexity of the system model, this paper employs the offline Particle Swarm Optimization (PSO) algorithm to systematically optimize the LQR controller parameters. Leveraging its global search capability and dynamic feedback mechanism, the PSO algorithm effectively enhances the response speed and overall performance of the active control system.

3.1. PSO Algorithm Flow

The PSO algorithm is inspired by the patterns of bird flocking activities and uses swarm intelligence to establish a simplified model. Based on observations of animal swarm behavior, it utilizes information sharing among individuals in the group to evolve the movement of the entire group from disorder to order within the problem-solving space, thereby obtaining the optimal solution. The PSO method features a small number of parameter settings, a clear algorithm structure, fast convergence speed, and strong global optimization capability, effectively overcoming the subjectivity dependence of traditional parameter tuning methods and significantly improving the comprehensive performance of the control system. The flowchart for optimizing the LQR controller weight parameters using the PSO algorithm, called PSO-LQR controller, is shown in Figure 8.
First, the PSO initializes a population of random particles (random solutions). It then finds the optimal solution through iteration. In each iteration, particles update themselves by tracking two “extrema” (pbest, gbest). After finding these two optimal values, the particle updates its velocity and position using the following formulas:
v i = ω × v i + c 1 × r a n d ( ) × ( p b e s t i x i ) + c 2 × r a n d ( ) × ( g b e s t i x i ) x i = x i + v i
where ω is the inertia factor, a non-negative value; v i is the particle velocity; x i is the current particle position; rand() is a random number between (0, 1); c 1 and c 2 are learning factors.
In this study, the particles in the swarm correspond to the weighted coefficients q 1 ,   q 2 ,   q 3 of the LQR controller. The control system then performs a simulation, obtains the calculated U C R D , vehicle body acceleration, and suspension dynamic travel for that set of coefficients, and passes them back to the particle swarm for comparison with the set fitness function. The optimization algorithm exits when the termination conditions are met, outputting the best set of weighting coefficients. The particle swarm algorithm has advantages such as simple structure, fast convergence speed, and ease of implementation. It can also fall into local optima, but the parameters that need optimization in this paper are only the weighting coefficients, effectively avoiding this issue.

3.2. Fitness Function

Within the framework of the particle swarm optimization algorithm, the fitness function, as a quality assessment operator for the swarm state, has a strict dual relationship with the objective function of the control system in terms of functional extremum properties. Based on optimal control theory, this study selects the objective function as the fitness function for the multi-objective optimization problem of the active suspension system, which can be expressed as
H = M 1 P 1 + M 2 P 2 + M 3 P 3 , s . t . M 1 < P 1 , M 2 < P 2 , M 3 < P 3
where M 1 and P 1 are the root mean square (RMS) values of the body vertical acceleration for the active and passive suspensions, respectively; M 2 and P 2 are the RMS values of the dynamic travel for the active and passive suspensions, respectively; M 3 and P 3 are the RMS values of the U C R D (tire dynamic load) for the active and passive suspensions, respectively.

3.3. Implementation of Particle Swarm Algorithm

There are N particles in D-dimensional space. X i = ( X 1 , X 2 , X 3 , , X D ) represents the position of the i -th particle, with each particle representing a set of LQR parameters; V i = ( V 1 , V 2 , V 3 , , V D ) represents the velocity of the i -th particle, i.e., the update speed of the LQR controller weight parameters; the individual best position is p b e s t i = ( P i 1 , P i 2 , P i 3 , , P i D ) , which is the set of LQR parameters with the best fitness function found by the particle before or during the iteration; the global best position is g b e s t i = ( G i 1 , G i 2 , G i 3 , , G i D ) , which is the set of LQR parameters with the best fitness function found by the entire particle swarm before or during the iteration. The PSO algorithm flow (Algorithm 1) is as follows:
Algorithm 1: PSO-LQR control algorithm for ISD suspension
Machines 13 00935 i001

4. Simulation Cases

4.1. Optimized Weighting Parameters for the Controller

The PSO algorithm parameters are set as follows: population size (number of particles) is 100, inertia weight ω is 0.8, maximum number of iterations is 100, learning factors c 1 ,   c 2 are both 1.5. The selection range for the weight parameters is set as: θ i = [ 10 5     10 15 ] ,   i = 1 ,   2 ,   3 . By executing the PSO algorithm with the above parameter configuration to optimize the objective function, a set of optimal weight coefficients is finally obtained: θ 1 = 1.096 × 10 14 , θ 2 = 8.542 × 10 9 , θ 3 = 1.448 × 10 6 .This optimization process aims to systematically select the optimal weight distribution in the LQR controller to achieve the best balance among multiple performance indicators, thereby providing a theoretical basis and parameter foundation for subsequent vehicle–bridge coupled vibration control. The above parameter configuration balances the algorithm’s convergence speed and global search capability, helping to improve the comprehensive performance of the control system.

4.2. Reuslts Comparison

Figure 9, Figure 10 and Figure 11 show the dynamic performance indicators for the active suspension system with PSO-LQR controller, LQR-controller, and the passive suspension system. Figure 9 in the Time Domain Diagram shows that the PSO-LQR based active suspension system significantly outperforms the LQR-controlled suspension and the passive suspension in terms of tire dynamic loads. Its peak load decreases from 9.4708 × 10 4   N before optimization to 8.2469 × 10 4   N , a reduction of approximately 12.7%. Figure 9 in the Frequency Domain Diagram further indicates that the optimized suspension demonstrates a more stable dynamic load profile, with its amplitude significantly lower than that of the passive suspension beyond 12 Hz. This smoother response characteristic confirms the notable advantage of the PSO-LQR control strategy in enhancing vehicle ride comfort and reducing road excitation transmission. The overall response is smoother, indicating that the PSO-LQR control strategy has obvious advantages in improving vehicle ride comfort and reducing the transmission of road excitation.
Figure 10 in the time domain diagram shows that the vertical acceleration of the vehicle body after PSO is further reduced compared to the LQR suspension. The maximal acceleration decreases from 18.4143 m/s2 to 9.7957 m/s2, a reduction of approximately 46.8%. Figure 10 in the frequency domain shows that the peak acceleration of the optimized suspension is significantly lower than that of the passive suspension beyond 5 Hz, with a more stable variation trend compared to the pre-optimized case.
Although the response approaches that of the passive suspension after 18 Hz, the PSO-optimized LQR active suspension demonstrates a notable reduction in body acceleration overall. This improvement effectively attenuates the vibrational intensity of the vehicle body, thereby contributing to enhanced driving and riding comfort. This improvement significantly reduces the vibration intensity of the vehicle body, contributing to enhanced driving and riding comfort.
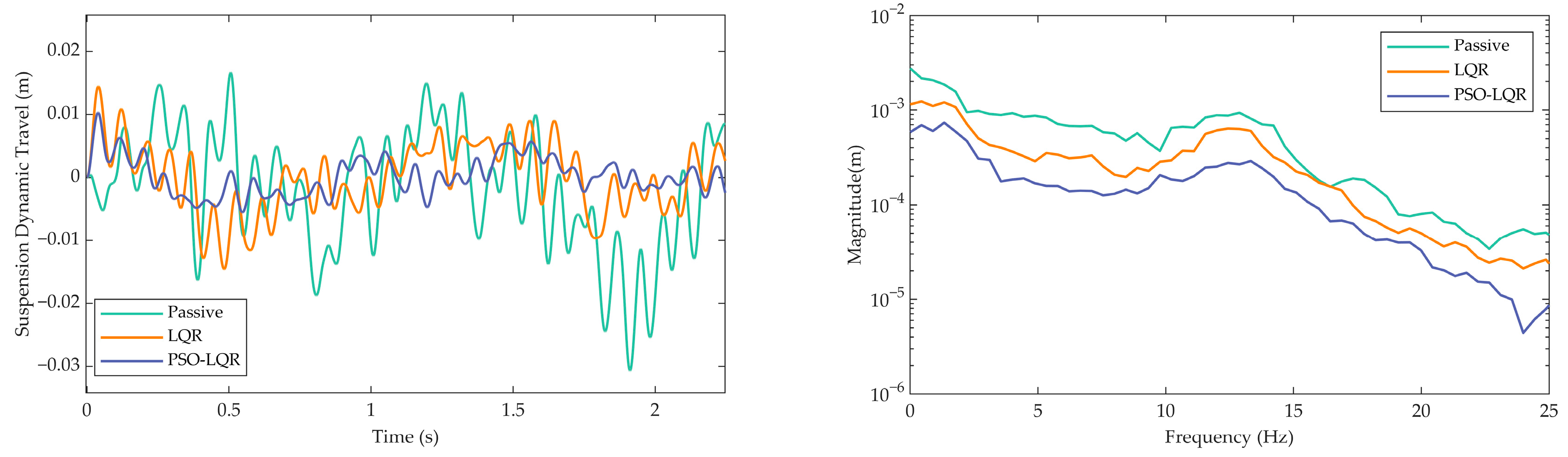
Figure 11 shows that the suspension dynamic travel response after PSO exhibits better convergence and stability. Its transient oscillation is significantly weakened, and the amplitude is much smaller than that of the passive suspension system, and also improved compared to the LQR control. This result indicates that the PSO-LQR control strategy limits excessive suspension displacement, avoids hitting the suspension limit stops, while simultaneously considering ride comfort and handling stability.
To quantitatively evaluate the comprehensive performance of different suspension systems, Table 2 lists the RMS values of the performance indicators for each system under the same road excitation. The results show that compared to the passive suspension, the PSO-LQR control strategy reduces tire dynamic load by 5.27%. Compared to the LQR control, the reduction is 3.04%. The vertical acceleration of vehicle body is reduced by 62.70% and 46.67%, respectively. The suspension dynamic travel was reduced by 68.2% and 45.1%, respectively. It can be concluded that the LQR active suspension optimized by the PSO algorithm demonstrates enhanced capability in reducing the dynamic interaction forces between the vehicle and bridge, as well as the vertical acceleration of the vehicle body. This contributes to improved ride comfort while mitigating potential damage to the bridge structure. Furthermore, the reduction in suspension dynamic travel effectively decreases mechanical fatigue risk, thereby extending the service life of the suspension system. All three performance indicators are significantly improved, effectively addressing the limitations of control algorithms that rely on empirical parameter tuning.
Figure 12 and Figure 13 show the displacements of the bridge at the contact between the vehicle’s wheel and the bridge deck and at the midpoint of the bridge, respectively. Overall, the bridge displacement gradually increases as the vehicle travels on the bridge, and the vibration response tends to stabilize, and shows relatively obvious fluctuations. As the vehicle leaves the bridge, the vibration gradually attenuates and eventually stabilizes. According to Figure 12, the peak value of bridge displacement at the wheel-deck contact point for the PSO-LQR suspension is 5.0132 × 10 8   m ,which is about 48.14% lower than that of the passive suspension but about 20.45% higher than that of the LQR control strategy. To further evaluate the overall vibration suppression effect, the RMS value of the bridge displacement response is also calculated. The results show that the optimized bridge displacement RMS value is 1.27 × 10 8   m , which is about 54.48% lower than that of the passive suspension 2.79 × 10 8   m , and about 13.01% lower than that of the pre-optimization LQR control 1.46 × 10 8   m .
The displacement response at the bridge midpoint in Figure 13 is also quantified using RMS. The optimized value is 0.985 × 10 8   m , which is about 60.39% and 33.45% lower than that of the passive suspension and the pre-optimization LQR control, respectively. These results consistently indicate that the PSO-LQR suspension system exhibits superior vibration suppression capability at these two key locations, with displacement amplitudes significantly lower than those of the passive suspension and the unoptimized LQR active suspension. This suggests that the proposed control strategy can effectively attenuate vehicle–bridge coupled vibrations and reduce the dynamic response of the bridge structure.
This vibration control effect is consistent with the reduction in tire dynamic load shown in Figure 9, further validating the effectiveness of PSO-LQR control in improving vehicle–bridge dynamic interaction. The reduction in tire dynamic load directly reduces the local impact on the bridge deck, thereby significantly alleviating the transient vibration of the bridge structure.
In summary, by comparing multiple performance indicators of the PSO-optimized, LQR, and passive suspension systems, this study demonstrates that the PSO-LQR control strategy has significant comprehensive optimization effects in the vehicle–bridge coupled system. It outperforms the comparison systems in reducing tire dynamic load, suppressing the acceleration of vehicle body, and improving suspension dynamic travel, while effectively attenuating the vibration response at key bridge locations. The reduction in tire dynamic load further decreases the impact on the bridge deck, synergistically enhancing vehicle ride comfort and bridge structural durability. The results show that the proposed control method achieves a good balance among multiple performance indicators, possessing both theoretical and practical engineering application value.

5. Conclusions

This study addresses the issues of vehicle–bridge coupled vibration by proposing a PSO-LQR control system for an ISD active suspension. By establishing a VBI model considering general boundary conditions, multi-objective optimal control of the system’s performances was achieved. Compared to the passive suspension, the PSO-LQR control strategy reduces tire dynamic load by 5.27% and vertical body acceleration by 40.98%, while effectively suppressing the fluctuation amplitude of suspension dynamic travel. The RMS values of dynamic displacement responses at key bridge locations decrease over 50%, indicating that this method significantly mitigates the risk of fatigue damage in bridge structures. The PSO algorithm successfully addresses the global optimization of LQR weighting matrices, overcoming the tendency of traditional trial-and-error methods to converge to local optima, thereby enhancing the convergence and stability of the suspension system. The proposed strategy not only improves vehicle ride comfort but also reduces the dynamic impact of vehicle loads on the bridge deck, offering technical support for extending the service life of bridges. The theoretical framework and optimization methodology presented in this study provide new insights into the intelligent control of complex coupled vibration systems. Interdisciplinary collaboration will be essential to promote their large-scale application in smart transportation infrastructure.
Despite the promising results, it is important to acknowledge the limitations of this study. The validation of the proposed PSO-LQR control strategy is currently based on a simulation model. While the VBI model was established with careful consideration of general boundary conditions and system dynamics, a purely simulation-based approach inherently lacks the ability to capture all the intricacies of a real-world environment, such as unmodeled nonlinearities, sensor inaccuracies, and practical implementation delays. These factors could influence the controller’s performance in practical applications. Therefore, the findings presented herein should be interpreted within the context of a simulation study. To bridge this gap, our future work will focus on experimental validation, including hardware-in-the-loop (HIL) testing and field experiments with a scaled or full-scale prototype, to further verify the efficacy and robustness of the proposed control system under more realistic conditions.

Author Contributions

Conceptualization, B.Z. and S.D.; methodology, S.D.; software, S.D.; validation, S.D. and C.A.T.; formal analysis, B.Z. and S.D.; investigation, S.D.; resources, B.Z.; data curation, S.D.; writing—original draft preparation, S.D.; writing—review and editing, B.Z. and C.A.T.; supervision, B.Z.; project administration, B.Z. and Y.Z.; funding acquisition, B.Z. and Y.Z. All authors have read and agreed to the published version of the manuscript.

Funding

This research was funded by the 2024 Basic Research Special Project, grant number JC2024009, and Jiangsu Provincial Science and Technology Plan Special Fund, grant number BZ2024028.

Data Availability Statement

The data presented in this study are available on request from the corresponding author.

Conflicts of Interest

The authors declare no conflicts of interest.

Appendix A

M = M 1 M 2 M N m s + b s b s b s m u + b s ; C = c t φ 1 2 ( x c ) c t φ 1 ( x c ) φ 2 ( x c ) c t φ 1 ( x c ) φ N ( x c ) 0 c t φ 1 ( x c ) c t φ 2 ( x c ) φ 1 ( x c ) c t φ 2 2 ( x c ) c t φ 2 ( x c ) φ N ( x c ) 0 c t φ 2 ( x c ) c t φ N ( x c ) φ 1 ( x c ) c t φ N ( x c ) φ 2 ( x c ) c t φ N 2 ( x c ) 0 c t φ N ( x c ) 0 0 0 c s c s c t φ 1 ( x c ) c t φ 2 ( x c ) c t φ N ( x c ) c s c s + c t ;  
K = K 1 + v c t φ 1 ( x c ) φ 1 ( x c ) + k t φ 1 2 ( x c ) v c t φ 1 ( x c ) φ 2 ( x c ) + k t φ 1 ( x c ) φ 2 ( x c ) v c t φ 1 ( x c ) φ N ( x c ) + k t φ 1 ( x c ) φ N ( x c ) 0 k t φ 1 ( x c ) v c t φ 2 ( x c ) φ 1 ( x c ) + k t φ 2 ( x c ) φ 1 ( x c ) K 2 + v c t φ 2 ( x c ) φ 2 ( x c ) + k t φ 2 2 ( x c ) v c t φ 2 ( x c ) φ N ( x c ) + k t φ 2 ( x c ) φ N ( x c ) 0 k t φ 2 ( x c ) v c t φ N ( x c ) φ 1 ( x c ) + k t φ N ( x c ) φ 1 ( x c ) v c t φ N ( x c ) φ 2 ( x c ) + k t φ N ( x c ) φ 2 ( x c ) K N + v c t φ N ( x c ) φ N ( x c ) + k t φ N 2 ( x c ) 0 k t φ N ( x c ) 0 0 0 k s k s v c t φ 1 ( x c ) k t φ 1 ( x c ) v c t φ 2 ( x c ) k t φ 2 ( x c ) v c t φ N ( x c ) k t φ N ( x c ) k s k t + k s
F s a = c t v φ 1 ( x c ) ξ ˙ ( x c ) k t φ 1 ( x c ) ξ ( x c ) c t v φ 2 ( x c ) ξ ˙ ( x c ) k t φ 2 ( x c ) ξ ( x c ) c t v φ N ( x c ) ξ ˙ ( x c ) k t φ N ( x c ) ξ ( x c ) F a c t v ξ ˙ ( x c ) + k t ξ ( x c ) F a = c t v φ 1 ( x c ) k t φ 1 ( x c ) 0 c t v φ 2 ( x c ) k t φ 2 ( x c ) 0 c t v φ N ( x c ) k t φ N ( x c ) 0 0 0 1 c t v k t 1 ξ ˙ ( x c ) ξ ( x c ) F a = c t v φ 1 ( x c ) k t φ 1 ( x c ) 0 c t v φ 2 ( x c ) k t φ 2 ( x c ) 0 c t v φ N ( x c ) k t φ N ( x c ) 0 0 0 1 c t v k t 1 ξ ˙ ( x c ) ξ ( x c ) 0 + 0 0 1 F a
D = c t v φ 1 ( x c ) k t φ 1 ( x c ) 0 c t v φ 2 ( x c ) k t φ 2 ( x c ) 0 c t v φ N ( x c ) k t φ N ( x c ) 0 0 0 1 c t v k t 1 ,     ξ = ξ ˙ ( x c ) ξ ( x c ) ,   α = 1 0 0 1 0 0 ,   β = 0 0 1 ,   F s a = D ( α ξ + β F a ) = D α ξ + D β F a .

References

  1. Lane, J.; Bessant, E.G. The development of RL loading for bridges on the London Underground network. Proc. Inst. Civ. Eng.-Bridge Eng. 2025, in press. [Google Scholar] [CrossRef]
  2. Nepomuceno, D.T.; Bennetts, J.; Pregnolato, M.; Tryfonas, T.; Vardanega, P.J. Development of a schema for the remote inspection of bridges. Proc. Inst. Civ. Eng. -Bridge Eng. 2025, 178, 36–51. [Google Scholar] [CrossRef]
  3. He, J.; Wang, S.; Liu, Y.; Dai, L.; Lyu, Z.; Li, C.; Xin, H.; Tan, C. The development of composite bridges with corrugated steel webs in China. Proc. Inst. Civ. Eng. -Bridge Eng. 2020, 174, 28–44. [Google Scholar] [CrossRef]
  4. Zhu, Z.; Yang, Y.; Wang, D.; Cai, Y.; Lai, L. Energy saving performance of agricultural tractor equipped with mechanic-electronic-hydraulic powertrain system. Agriculture 2022, 12, 436. [Google Scholar] [CrossRef]
  5. Ge, B.; Ma, R.; Zhu, Q.; Chen, A.; Chang, H. Fatigue life prediction of corroded hangers with parallel steel wire in a network arch bridge under vehicle-bridge interaction based on a novel noniterative simplified method. Int. J. Fatigue 2024, 187, 108457. [Google Scholar] [CrossRef]
  6. Li, H.; Wang, T.; Wu, G. A Bayesian deep learning approach for random vibration analysis of bridges subjected to vehicle dynamic interaction. Mech. Syst. Signal Process. 2022, 170, 108799. [Google Scholar] [CrossRef]
  7. Fu, Y.; Wu, F.; Chai, C.; Cui, W.; Li, Y.; Zhao, L. Assessment of driving safety and comfort during vortex-induced vibrations in a long-span bridge considering wind-vehicle-bridge interactions. J. Wind Eng. Ind. Aerodyn. 2025, 257, 106007. [Google Scholar] [CrossRef]
  8. Wang, C.; Zhang, P.; Wu, G.; Li, P. Thermal fatigue load models for fatigue design of steel box girder bridges. J. Constr. Steel Res. 2022, 198, 107560. [Google Scholar] [CrossRef]
  9. Xu, H.; Huang, C.C.; Wang, Z.L.; Shi, K.; Wu, Y.T.; Yang, Y.B. Damped test vehicle for scanning bridge frequencies: Theory, simulation and experiment. J. Sound Vib. 2021, 506, 116155. [Google Scholar] [CrossRef]
  10. Deng, Y.; Ding, Y.; Li, A.; Zhou, G. Fatigue reliability assessment for bridge welded details using long-term monitoring data. Sci. China Technol. Sci. 2011, 54, 3371–3381. [Google Scholar] [CrossRef]
  11. Zhou, Y.; Chen, S. Vehicle ride comfort analysis with whole-body vibration on long-span bridges subjected to crosswind. J. Wind Eng. Ind. Aerodyn. 2016, 155, 126–140. [Google Scholar] [CrossRef]
  12. Ding, Z.; Tang, Z.; Zhang, B.; Ding, Z. Vibration Response of Metal Plate and Shell Structure under Multi-Source Excitation with Welding and Bolt Connection. Agriculture 2024, 14, 816. [Google Scholar] [CrossRef]
  13. Wang, X.; Hong, T.; Fang, W.; Chen, X. Optimized Design for Vibration Reduction in a Residual Film Recovery Machine Frame Based on Modal Analysis. Agriculture 2024, 14, 543. [Google Scholar] [CrossRef]
  14. Dai, J.; Xu, Z.-D.; Gai, P.-P. Parameter determination of the tuned mass damper mitigating the vortex-induced vibration in bridges. Eng. Struct. 2020, 221, 111084. [Google Scholar] [CrossRef]
  15. Dai, J.; Xu, Z.-D.; Gai, P.-P.; Xu, Y.-W. Mitigation of Vortex-Induced Vibration in Bridges Using Semiactive Tuned Mass Dampers. J. Bridge Eng. 2021, 26, 05021003. [Google Scholar] [CrossRef]
  16. Tang, Q.-C.; Zhu, L.; Li, J.-Z. Hybrid control of steel-concrete composite girder bridges considering the slip and shear-lag effects with MR–TMD based on train-bridge interactions. Structures 2023, 47, 2300–2318. [Google Scholar] [CrossRef]
  17. Liu, J.; Wang, H.; Guo, T.; Xia, Y.; Wang, L. Vibration reduction for expansion joints of long-span suspension bridges using frictional dampers. Eng. Struct. 2025, 326, 119579. [Google Scholar] [CrossRef]
  18. Li, Q.; Zhou, M. Resonance and cancellation in vibration of girder bridges with corrugated steel webs under moving train loads. Structures 2025, 74, 108425. [Google Scholar] [CrossRef]
  19. Song, J.; Fang, X.; Bi, K.; Ding, H.; Qin, H. Tuned inerter damper for adjacent bridges vibration control considering nonlinearities. Eng. Struct. 2025, 325, 119504. [Google Scholar] [CrossRef]
  20. Chen, S.; Zhou, Y.; Tang, Z.; Lu, S. Modal vibration response of rice combine harvester frame under multi-source excitation. Biosyst. Eng. 2020, 194, 177–195. [Google Scholar] [CrossRef]
  21. Gao, Y.; Yang, Y.; Fu, S.; Feng, K.; Han, X.; Hu, Y.; Zhu, Q.; Wei, X. Analysis of Vibration Characteristics of Tractor–Rotary Cultivator Combination Based on Time Domain and Frequency Domain. Agriculture 2024, 14, 1139. [Google Scholar] [CrossRef]
  22. Awais, M.; Li, W.; Hussain, S.; Cheema, M.J.M.; Li, W.; Song, R.; Liu, C. Comparative evaluation of land surface temperature images from unmanned aerial vehicle and satellite observation for agricultural areas using in situ data. Agriculture 2022, 12, 184. [Google Scholar] [CrossRef]
  23. Lizhang, X.; Xiaoyu, C.; Zhipeng, G.; Yaoming, L.; Yading, W. Experimental study on driver seat vibration characteristics of crawler-type combine harvester. Int. J. Agric. Biol. Eng. 2019, 12, 90–97. [Google Scholar] [CrossRef]
  24. Dai, D.; Chen, D.; Wang, S.; Li, S.; Mao, X.; Zhang, B.; Wang, Z.; Ma, Z. Compilation and Extrapolation of Load Spectrum of Tractor Ground Vibration Load Based on CEEMDAN-POT Model. Agriculture 2023, 13, 125. [Google Scholar] [CrossRef]
  25. Yang, X.; Sun, R.; Yang, Y.; Liu, Y.; Hong, J.; Liu, C. Enhanced Seat Suspension Performance Through Positive Real Network Optimization and Skyhook Inertial Control. Machines 2025, 13, 222. [Google Scholar] [CrossRef]
  26. Zhu, S.; Wang, B.; Pan, S.; Ye, Y.; Wang, E.; Mao, H. Task Allocation of Multi-Machine Collaborative Operation for Agricultural Machinery Based on the Improved Fireworks Algorithm. Agronomy 2024, 14, 710. [Google Scholar] [CrossRef]
  27. Shen, Y.; Hua, J.; Fan, W.; Liu, Y.; Yang, X.; Chen, L. Optimal design and dynamic performance analysis of a fractional-order electrical network-based vehicle mechatronic ISD suspension. Mech. Syst. Signal Process. 2023, 184, 109718. [Google Scholar] [CrossRef]
  28. Shen, Y.; Li, J.; Huang, R.; Yang, X.; Chen, J.; Chen, L.; Li, M. Vibration control of vehicle ISD suspension based on the fractional-order SH-GH stragety. Mech. Syst. Signal Process. 2025, 234, 112880. [Google Scholar] [CrossRef]
  29. Zhang, B.; Xu, Y.; Tan, C.A. Optimal Tuning of Inerter–Spring–Damper Vehicle Suspension for Mitigation of Bridge Response. Int. J. Struct. Stab. Dyn. 2024, 2550239. [Google Scholar] [CrossRef]
  30. Hui, L.; Shicheng, Y.; Yue, S.; Chiheng, L.; Yafei, Z.; Fida, H. Model predictive control system based on direct yaw moment control for 4WID self-steering agriculture vehicle. Int. J. Agric. Biol. Eng. 2021, 14, 175–181. [Google Scholar] [CrossRef]
  31. Jin, Z.; Li, X.; Cao, S. Multi-Objective Parameter Optimization of Electro-Hydraulic Energy-Regenerative Suspension Systems for Urban Buses. Machines 2025, 13, 488. [Google Scholar] [CrossRef]
  32. Liang, J.; Lu, Y.; Pi, D.; Yin, G.; Zhuang, W.; Wang, F.; Feng, J.; Zhou, C. A Decentralized Cooperative Control Framework for Active Steering and Active Suspension: Multi-Agent Approach. IEEE Trans. Transp. Electrif. 2022, 8, 1414–1429. [Google Scholar] [CrossRef]
  33. Chen, Y.; Chen, L.; Wang, R.; Xing, X.; Shen, Y.; Yanling, L. Modeling and test on height adjustment system of electrically-controlled air suspension for agricultural vehicles. Int. J. Agric. Biol. Eng. 2016, 9, 40–47. [Google Scholar] [CrossRef]
  34. Zhang, B.; Li, Z.; Tan, C.A.; Liu, Z. LQR-Based Suspension for Heavy Vehicles Considering the Time-Varying Characteristics of Vehicle–Road Interaction. Int. J. Struct. Stab. Dyn. 2023, 24, 2450256. [Google Scholar] [CrossRef]
  35. Lin, K.; Tan, C.A.; Ge, C.; Lu, H. Time-Varying Transmissibility Analysis of Vehicle–Bridge Interaction Systems with Application to Bridge-Friendly Vehicles. Int. J. Struct. Stab. Dyn. 2021, 22, 22500225. [Google Scholar] [CrossRef]
  36. Ding, H.; Yang, Y.; Chen, L.-Q.; Yang, S.-P. Vibration of vehicle–pavement coupled system based on a Timoshenko beam on a nonlinear foundation. J. Sound Vib. 2014, 333, 6623–6636. [Google Scholar] [CrossRef]
  37. Shi, Z.; Uddin, N. Theoretical vehicle bridge interaction model for bridges with non-simply supported boundary conditions. Eng. Struct. 2021, 232, 111839. [Google Scholar] [CrossRef]
  38. Cheng, X.; McFarland, D.M.; Hua, X.; Lu, H.; Tan, C.A. Traveling waves in tensioned Euler-Bernoulli beams with viscoelastic boundary conditions. Int. J. Mech. Sci. 2025, 294, 110248. [Google Scholar] [CrossRef]
  39. Ren, B.; Gao, Z.; Li, Y.; You, C.; Chang, L.; Han, J.; Li, J. Real-time continuous gesture recognition system based on PSO-PNN. Meas. Sci. Technol. 2024, 35, 056122. [Google Scholar] [CrossRef]
  40. Xing, J.; Cheng, Z.; Ye, S.; Liu, S.; Lin, J. Road Roughness Recognition: Feature Extraction and Speed-Adaptive Classification Based on Simulation and Real-Vehicle Tests. Machines 2025, 13, 391. [Google Scholar] [CrossRef]
Figure 1. Vehicle–bridge coupled vibration model with general boundary conditions.
Figure 1. Vehicle–bridge coupled vibration model with general boundary conditions.
Machines 13 00935 g001
Figure 2. LQR control block diagram.
Figure 2. LQR control block diagram.
Machines 13 00935 g002
Figure 3. Road roughness in displacement of Class C level.
Figure 3. Road roughness in displacement of Class C level.
Machines 13 00935 g003
Figure 4. First five natural frequencies and modes of the bridge under general boundary conditions.
Figure 4. First five natural frequencies and modes of the bridge under general boundary conditions.
Machines 13 00935 g004
Figure 5. Tire dynamic load of the vehicle with passive suspension and LQR active suspension.
Figure 5. Tire dynamic load of the vehicle with passive suspension and LQR active suspension.
Machines 13 00935 g005
Figure 6. Vertical acceleration of the vehicle with passive suspension and LQR active suspension.
Figure 6. Vertical acceleration of the vehicle with passive suspension and LQR active suspension.
Machines 13 00935 g006
Figure 7. Comparison of passive suspension and LQR active suspension moving stroke.
Figure 7. Comparison of passive suspension and LQR active suspension moving stroke.
Machines 13 00935 g007
Figure 8. Flowchart of PSO-LQR Controller.
Figure 8. Flowchart of PSO-LQR Controller.
Machines 13 00935 g008
Figure 9. Tire dynamic load of the vehicle with PSO-LQR suspension, LQR suspension and passive suspension system.
Figure 9. Tire dynamic load of the vehicle with PSO-LQR suspension, LQR suspension and passive suspension system.
Machines 13 00935 g009
Figure 10. Vertical acceleration of the vehicle body with PSO-LQR suspension, LQR suspension and passive suspension system.
Figure 10. Vertical acceleration of the vehicle body with PSO-LQR suspension, LQR suspension and passive suspension system.
Machines 13 00935 g010
Figure 11. Suspension dynamic travel with PSO-LQR suspension, LQR suspension and passive suspension system.
Figure 11. Suspension dynamic travel with PSO-LQR suspension, LQR suspension and passive suspension system.
Machines 13 00935 g011
Figure 12. Displacement of the bridge at the contact point between the tire and bridge.
Figure 12. Displacement of the bridge at the contact point between the tire and bridge.
Machines 13 00935 g012
Figure 13. Displacement at the midpoint of the bridge.
Figure 13. Displacement at the midpoint of the bridge.
Machines 13 00935 g013
Table 1. Parametric configuration for the VBI system.
Table 1. Parametric configuration for the VBI system.
Vehicle Parameters Configuration
ParameterSymbolUnitValue
Sprung mass m s kg1460
Unsprung mass m u kg80
Suspension stiffness k s N/m2.944 × 104
Suspension damping c s Ns/m8760
Tire stiffness k u N/m2.5 × 106
Tire damping c u Ns/m 700
Coefficient of inerter b s kg400
Bridge Parameters Configuration
ParameterSymbolUnitValue
LengthLm45
Heighthm1.8
Widthbm9.8
Density ρ kg/m32500
Elastic modulusEGPa7
Boundary translation stiffness k t N/m4.5 × 1010
Boundary translation damping c t N·s/m1 × 105
Boundary rotational stiffness k r N·m/rad8.6 × 1012
Boundary rotation damping c r N·m·s/rad2.5 × 108
Table 2. Comparison of the Performance Indicator RMS.
Table 2. Comparison of the Performance Indicator RMS.
RMSPassiveLQRPSO-LQR
Vehicle–bridge force 49,436.04   N 48,300.27   N 46,828.94   N
Suspension acceleration 8.15   m / s 2 5.70   m / s 2 3.04   m / s 2
Suspension displacement 0.964   c m 0.539   c m 0.296   c m
Disclaimer/Publisher’s Note: The statements, opinions and data contained in all publications are solely those of the individual author(s) and contributor(s) and not of MDPI and/or the editor(s). MDPI and/or the editor(s) disclaim responsibility for any injury to people or property resulting from any ideas, methods, instructions or products referred to in the content.

Share and Cite

MDPI and ACS Style

Zhang, B.; Dai, S.; Zhang, Y.; Tan, C.A. PSO-LQR Control of ISD Suspension for Vehicle Coupled with Bridge Considering General Boundary Conditions. Machines 2025, 13, 935. https://doi.org/10.3390/machines13100935

AMA Style

Zhang B, Dai S, Zhang Y, Tan CA. PSO-LQR Control of ISD Suspension for Vehicle Coupled with Bridge Considering General Boundary Conditions. Machines. 2025; 13(10):935. https://doi.org/10.3390/machines13100935

Chicago/Turabian Style

Zhang, Buyun, Shipeng Dai, Yunshun Zhang, and Chin An Tan. 2025. "PSO-LQR Control of ISD Suspension for Vehicle Coupled with Bridge Considering General Boundary Conditions" Machines 13, no. 10: 935. https://doi.org/10.3390/machines13100935

APA Style

Zhang, B., Dai, S., Zhang, Y., & Tan, C. A. (2025). PSO-LQR Control of ISD Suspension for Vehicle Coupled with Bridge Considering General Boundary Conditions. Machines, 13(10), 935. https://doi.org/10.3390/machines13100935

Note that from the first issue of 2016, this journal uses article numbers instead of page numbers. See further details here.

Article Metrics

Back to TopTop