Abstract
In this paper, an innovative method for the determination of the dynamic coefficients of tilting pad journal bearings (TPJBs) is described, and some of its characteristics are analyzed. The calculation is based on a parabolic modeling of the dependence of the dynamic coefficients on the excitation frequency, on the estimation of the forces acting on the bearing as a function of the estimated displacements using a linear model and, finally, on the search for the best estimate of the parabola coefficients by minimizing the sum of the squares of the normalized residuals of displacements and forces on the bearings. The normalization is performed by dividing the deviations (between the measured values and those calculated by the model) by an estimate of the standard deviation of the force and displacement measurements. The results for a flooded tilting pad journal bearing, TPJB, are presented and compared with those obtained using traditional methods. The synchronous coefficients are also calculated and compared with those determined by linear interpolation. A preliminary statistical analysis of the sensitivity of the results to the variation in the standard deviation of the forces and displacements is presented. An extension of the model is proposed so that the coefficients of the optimal parabolas can be estimated as a function of the shaft rotation frequency.
1. Introduction
Tilting pad journal bearings (TPJBs), with pads that can tilt on pivots of different types, are currently widely used in oil and gas applications thanks to their ability to reduce the destabilizing cross-coupled effects. An accurate determination of bearing stiffness and damping coefficients, which can be carried out both experimentally and numerically, is fundamental for a reliable prediction of turbomachinery rotordynamic behavior. The experimental results are particularly important also because they can be used for a fine-tuning of the numerical models, which can yield significant improvements in bearing design [1,2]. The techniques for processing experimental data are fundamental for the precision and accuracy in the determination of the bearing dynamic coefficients. A linear relationship between the applied forces and the related displacements is usually assumed in the computation. A well-assessed procedure is based on the Fourier Transform in the frequency domain of the data recorded in tests performed using single frequency or multifrequency excitations [3,4,5,6,7,8]. To find their synchronous values, at the rotor rotation frequency, a linear interpolation of coefficients at excitation frequencies slightly lower and higher than the synchronous frequency is considered a simple and practical estimation technique [9], thus avoiding the problem due to unbalance.
Actually the dependence of the dynamic coefficients on the excitation frequency is not exactly linear and can show a more or less nonlinear behavior [10]. Approximate curve-fitting of experimental coefficient results as functions of frequency, such as the KCM model [11,12,13,14], can be adopted to obtain frequency independent dynamic coefficients (stiffness, damping, mass coefficients). However, such a model, highly appreciated in industry for its simplicity, is satisfactory for excitation frequencies less than or equal to the shaft synchronous frequency and nearly rigid pivots [15,16]. A more common procedure neglects fluid inertia effects (no added mass) by including only the stiffness and damping matrices (KC model, [17]). The dynamic coefficients computed with the KC model exhibit a frequency dependency, particularly by increasing the ratio of excitation and the rotational frequency [18]. However, in the sub-synchronous frequency range (which is, practically, the most relevant) only a slight frequency dependency is usually observed [9]. The trend of the dynamic coefficients is therefore generally represented with a linear interpolation.
Particular attention is normally given to the synchronous coefficients (i.e., the ones measured at the rotational frequency) due to unbalance excitation. The synchronous coefficients can be used for simpler formulations of the system dynamic equations and solution techniques, connected to reduced computational and analysis time. The use of these coefficients is generally adequate for stability analyses with positively preloaded tilting pads [19], but it can be otherwise inadequate predicting significantly higher stability margins.
Asynchronous coefficients and frequency dependent properties are currently considered by both academia and industry [20,21]. They are also recommended by standards [22]. Vibration frequencies quite different from the rotational one can arise in turbomachinery and in other rotating machines due to excitations related to the presence of impellers, blades, and seals. For an accurate modeling of a tilting pad bearing system, frequency-dependent stiffness and damping matrices should be therefore considered [23], where data of the stiffness and damping coefficients can be fitted by analytical curves [16,18], functions of frequency. Further improvement can be obtained by adopting statistical models [24]. Moreover, new data processing techniques can be adopted to improve accuracy and precision in the determination of the bearing dynamic coefficients with advanced models adopting statistical techniques to increase the reliability of the results.
In the statistical model proposed in this paper, the forces are fitted as a function of the displacements, finding the best relationships (among a class of analytic functions) between the dynamic coefficients and the excitation frequency. Some preliminary results obtained using this statistical model were shown in [24,25]. This method needs to include an estimate of the uncertainties on the measured quantities and allows the use of analytical functions depending on several parameters, like polynomials. Compared with conventional KC and KCM models whose estimation procedures have closed forms, this statistical approach has a greater computational burden as it involves minimization of a cost function of 24 parameters. However, it has a greater robustness and accuracy to noisy measurements. Furthermore, our approach can model more complex frequency dependencies and can be extended to include also speed dependencies. This paper is an invited, revised, and expanded version of the paper presented at the IFIT 2024 conference held in Torino from 11 to 13 September [26]. Novel contributions of this version include a sensitivity analysis of the model to the uncertainty values, a more in-depth statistical analysis, a comparison with conventional KC and KCM models, a discussion on the non-stationarity and heteroscedasticity of measurements, an uncertainty quantification, and a preliminary investigation on a unified model in which dynamic coefficients are a function of excitation frequency and shaft speed.
2. Experimental Details
The static and dynamic characteristics of TPJBs are experimentally investigated using a test rig purposely designed and built for testing large journal bearings (up to 300 mm in diameter) [9]. Specifically, the TPJB under test, shown in Figure 1, is a flooded Rocker Back bearing with five tilting pads and a flooded lubrication layout.
Figure 1.
The TPJB under test.
The essential characteristics of the test rig and the procedures adopted for the identification of the dynamic coefficients of the bearings are reported below for readers’ convenience.
2.1. Experimental Apparatus
A photograph of the test rig and a schematic drawing of the experimental apparatus are shown in Figure 2a,b. A 630 kW electric motor with nominal torque of 3000 Nm, visible on the right, controlled by an inverter, is connected to a gear multiplier with a gear ratio 6:1 that drives the rotor of the bearing. Being the motor maximum rotational frequency 4000 rpm, the rotor rotational frequency can be varied continuously up to 24,000 rpm. A test section with a floating bearing housing is employed. Hydraulic actuators are connected to the housing, Figure 2b, in order to apply both the static and the dynamic loads.
Figure 2.
(a) Photograph of the test rig. (b) Test section of the experimental apparatus used for TPJB testing; first published in [26] by Springer Nature.
The static load (270 kN maximum) is applied vertically upwards. The dynamic load is obtained by adding two sinusoidal forces generated by dynamic actuators (30 kN full scale) positioned at 45∘ with respect to the vertical direction. Specific amplitudes and frequencies (up to 350 Hz) are used in order to produce a vertical force (actuators operating in phase with equal amplitude and frequency) or a horizontal force (actuators operating in anti-phase with equal amplitude and frequency). Instrumented stingers are located between the actuators and the bearing housing in order to have high longitudinal stiffness and low transverse one. Different load cells, that also act as stingers, are used to measure both the static and the dynamic force components (Figure 2b). The static load is measured with an axial load cell while triaxial load cells are used to measure the dynamic load (40 kN full scale and 0.1% accuracy).
Eight high-resolution proximity sensors are positioned on two parallel planes orthogonal to the bearing axis in order to measure the radial relative displacements between the bearing housing and the rotor, with 0.8 mm full scale, resolution < 0.01% and linearity < ±0.2%, and temperature compensation between 20 °C and 80 °C. The acceleration of the bearing housing is measured by accelerometers with ±250 g full scale, with a 0.3% accuracy below 1000 Hz; see Figure 2b.
The tested bearing, the hydraulic actuators, and the gearbox are lubricated by three independent oil plants.
A control and data acquisition system is used to record both low-frequency signals (i.e., static forces, torque, rotational frequency, temperatures, flow rates, and pressures) and high-frequency signals, such as dynamic forces, displacements, and accelerations. Particularly the high-frequency data, necessary for the identification of the bearing stiffness and damping coefficients, are collected at adequate high sampling rates, usually 50 or 100 kHz.
Additional details on the experimental test rig can be found in [9].
2.2. Identification Procedure
The procedure used for the identification of the stiffness and damping coefficients (KC model), described in more detail in [14,24,27], is briefly reported below.
In order to obtain two linearly independent sets of data, necessary for the identification of the dynamic coefficients, an in-phase and an anti-phase test are performed for each working condition. Fast Fourier Transform (FFT) of the data is employed in order to perform the identification procedure in the frequency domain. The FFT amplitudes of the recorded forces, displacements, and accelerations are firstly used for the determination of the bearing oil film force components by subtracting the bearing housing inertia forces from the measured ones. By indicating with F the amplitude of the force FFT, M the stator mass, and A the amplitude of the acceleration FFT, and using the subscripts b and s for bearing and stator, x and y for the horizontal and vertical direction, and 1 and 2 for the anti-phase and in-phase tests, respectively, the bearing film forces can be evaluated as
In addition, the bearing film force components can be also evaluated by introducing a matrix that linearly relates them to the corresponding displacements, the so-called bearing impedance matrix, H:
(in the above formula, X and Y indicate the horizontal and vertical amplitudes of the displacement FFT, respectively).
Once the impedance matrix is created from the relation
the stiffness coefficients k and the damping coefficients c can be evaluated as the real and imaginary parts, respectively, of the elements of the impedance matrix:
where is the frequency of dynamic excitation.
Due to imbalance problems, the synchronous values of the dynamic coefficients are usually not directly obtained by testing at the rotational frequency but, as already stated in the Introduction paragraph, by interpolating results obtained in tests at frequencies approximately 0.8 and 1.2 times the rotational frequency (see, for instance, [27]).
3. The Statistical Procedure
A new identification procedure, based on a statistical approach, developed in [24] to improve the classical identification procedure, is employed. The statistical model was generalized in [25] simultaneously analyzing the measurements at all the excitation frequencies at a fixed shaft rotation frequency. Only a few preliminary results were presented in [25].
Let us introduce a notation in which the real and imaginary parts of forces and displacements are evidenced:
thus Equation (2) becomes
In order to obtain the best estimates of all the quantities: , , , , , , and , a constrained minimum of the following weighted sum of squared residuals S as a function of the dynamic coefficients, displacements, and forces is searched, in a similar way to what was already developed in [25]:
in which N is the total number of measurements (at all the excitation frequencies) and the are estimations of the random dispersion for both forces and displacements. In the experimental setup, 30 values of each quantity at five simultaneously excited frequencies can be obtained, therefore and, in the sum, summands are present with constraints. A tentative choice of the comes from a preliminary study shown in [24]: 50 N for all forces and 0.1 m for all displacements. This choice is consistent with sensor measurement accuracy and was also maintained in the present work to allow a comparison with the results shown in [25,26]. Although the specific values do depend on the sensors’ uncertainty, the methodology is general, so that it can be applied to a different test rig by changing the values of standard deviations of forces and displacements accordingly. For the minimization of S after substituting in Equation (7), the expressions for the estimation of the forces given by Equation (6), the eight partial derivatives of S with respect to the estimated displacements are computed for each . Setting to 0 all these derivatives, N linear systems, which can be solved analytically, are obtained, providing the expressions for the estimated displacements , , (both for in-phase and anti-phase tests) expressed as functions of the estimated dynamic coefficients and , of the measured displacements and forces and of . These expressions can be substituted in Equation (6) to obtain the expressions for estimated forces , (both for in-phase and anti-phase tests in both directions). Therefore, the value of S shown in Equation (7) can be computed, for each excitation frequency , as a function of the eight estimated values of and and, consequently, minimized.
At this point, a model can be introduced in which the and are expressed as functions of and all the measurements at the five excitation frequencies are analyzed together. In this work, a quadratic model is adopted for its simplicity, as a first attempt to test the method feasibility:
in which parameters are present. Therefore, the expression of S is a function of 24 parameters and the number of degrees of freedom (dof) in the statistical analysis is . If it is possible to assume that each of the summands is the square of a standard random variable, the estimation of the “best” value of S results would be a random variable with 1176 dof. If, however, each of the summands is not a standard Gaussian random variable, it is still possible to use the least squares method. It will no longer be possible to argue that minimizing the sum of squares is equivalent to maximizing a likelihood, and therefore it will be more laborious to conduct the statistical analysis of the results. In particular, the resulting estimators may be biased or have a higher variance when compared to those obtained with other methods. For this reason, we have developed a statistical analysis based on the bootstrap method, which will be applied to the single-frequency data analysis and described later.
The reason for our choice of a quadratic model is that it is a natural extension of the widely used KCM model. The KCM model assumes the following dependence on the excitation frequency :
where the KCM parameters have been denoted with the asterisk. It is then clear that our model reduces back to the KCM model if , and for and . While the KC model has 8 parameters, the KCM model has 12 parameters, and our model requires 24 parameters. Although possible, higher-order fits or spline modeling have been excluded here to maintain similarity with the KCM model. While we do not aim here to necessarily link our model parameters to specific physical mechanisms, complex frequency dependencies could be due to, for instance, fluid structure interactions [28,29,30], turbulent dissipation [31], cavitation [32], and non-Newtonian lubricants [33].
4. Experimental Estimation of Standard Deviations
We propose a method to estimate the standard deviations from the measurements. An analysis of the acquired data in the complex plane shows that the experimental points are not randomly distributed. The modulus is nearly constant or slowly varying along time; there is a phase shift nearly constant between two consecutive points. An example for displacement measurements at 2000 rpm and a frequency of 20 Hz is shown in Figure 3.
Figure 3.
An example of measurement of displacements in the complex plane.
The first step is to estimate the standard deviations of moduli and phases of all the eight complex quantities. A more in-depth analysis leads to the determination of a model that is substantially valid in all the examined cases:
where A, B, C, D, , and are parameters to be determined, and i is an integer ranging from 1 to 30. A best fit using Equation (10) is carried out on each of the 16 sets of 30 points for each of the five excitation frequency separately; an example of results for displacements at 2000 rpm and a frequency of 20 Hz is shown in Figure 4.
Figure 4.
An example of the measurement of the modulus and phase of a set of 30 displacement measurements.
The study of the fit residuals shows that the residuals of the moduli and phases can be assumed Gaussian (the lowest p-value for Kolmogorov–Smirnov test is 0.2) and that they can be considered uncorrelated (maximum correlation coefficient is 0.35). Therefore, an estimate of the standard deviations of the variables in Cartesian coordinates is now possible, assuming that the values predicted by the fit are the best estimates of the moduli and phases of all the (complex) measured points and that the standard deviations of the residuals of moduli and phases are considered to be the same for each group of 30 measurements. Examples of histograms of the residuals of modulus and phases of a set of 30 displacement measurements are shown in Figure 5, together with the best estimate of the Gaussian distribution.
Figure 5.
An example of distributions of the residuals of the modulus and phases of a set of 30 displacement measurements.
Given a random complex number , and the standard deviations of its modulus and phase, we can compute the standard deviations of real and imaginary parts in the following way. Let with , and with and . If e are independent random variables, we have . Let and . We compute and in the approximation , from which, expanding in Taylor series around , we obtain and with and .
Therefore, .
In conclusion, we obtain
In a similar way, we have .
In conclusion, we obtain
Equations (11) and (12) are applied to all the 16 groups of 30 measurements for each of the five excitation frequencies at a given shaft rotational frequency. The transformation from the polar to algebraic form of the complex numbers representing measured data, however, does not maintain Gaussianity. Since the distribution of the random variables describing displacements and forces is not easily obtainable, it will not be possible to easily use a Monte Carlo simulation, but rather it will be necessary to opt for an error estimate on the dynamic coefficients based on bootstrap techniques. In this paper we present in detail the results for 2000 rpm. An example of estimation of the standard deviations is shown in Figure 6. Note that the ratio between the maximum and minimum values of the standard deviation in this set of 30 measurements, for displacements at 2000 rpm and a frequency of 20 Hz, is about 5; it can reach the value of 7 in some cases.
Figure 6.
An example of estimation of standard deviations of the real (left) and imaginary (right) part of displacement measure .
5. Results
5.1. Data Analysis with KC and KCM Models
In a preliminary analysis, we show the results obtained by processing the data with the KC and KCM models. For the KC model, the 30 available values at each excitation frequency were averaged and the standard deviation was calculated assuming the validity of the Central Limit Theorem. For the KCM model, the mean values of the dynamic coefficients at the five excitation frequencies were fitted using Equation (9). The estimates of the dynamic coefficients as a function of the excitation frequency, at the six values of the shaft rotation frequency, are shown in Figure 7 and Figure 8.
Figure 7.
Determination of stiffness coefficients with KC (points) and KCM (lines) models.
Figure 8.
Determination of damping coefficients with KC (points) and KCM (lines) models.
5.2. Single-Frequency Data Analysis
A numerical code has been developed to minimize S. The method has been tested using the results obtained with a flooded Rocker Back tilting pad bearing with a diameter of 280 mm tested under flooded lubrication conditions in load between pad configuration, as reported in [9].
By setting the partial derivatives of S (with respect to the estimates of displacements) equal to zero, and considering the relationships in Equation (6) as exact, the estimates of the displacements and forces are determined as a function of their measured (known) values, of the uncertainties associated with them (which can be estimated from the data), and of the dynamic coefficients. Therefore, at fixed excitation frequency and shaft rotation fequency, S is a function of the eight dynamic coefficients, and the minimum of this function can be determined using a numerical optimization algorithm. The minimization of S has been carried out using the R environment and its built-in function optim.
To evaluate the standard deviations associated with the estimations of the dynamic coefficients, we used bootstrap, which is a statistical technique useful to estimate the distribution of a random quantity. Its main advantage is that it is not necessary to know the probability distribution describing the statistical sample. Moreover, the technique is applicable to general distributions, provided that the residuals have null mean. The bootstrap mean and standard deviation of a distribution can be easily calculated, based on a random sample, even if the sample size is small. The bootstrap technique works by drawing B independent samples, of the same numerosity as the original one, randomly extracted from the original dataset (drawing with replacement). For each random extraction, S is minimized and a bootstrap sample of impedance matrices , with is obtained. At the end of the procedure, a bootstrap mean and standard deviation for each element of H can be obtained using the relationships commonly used for samples.
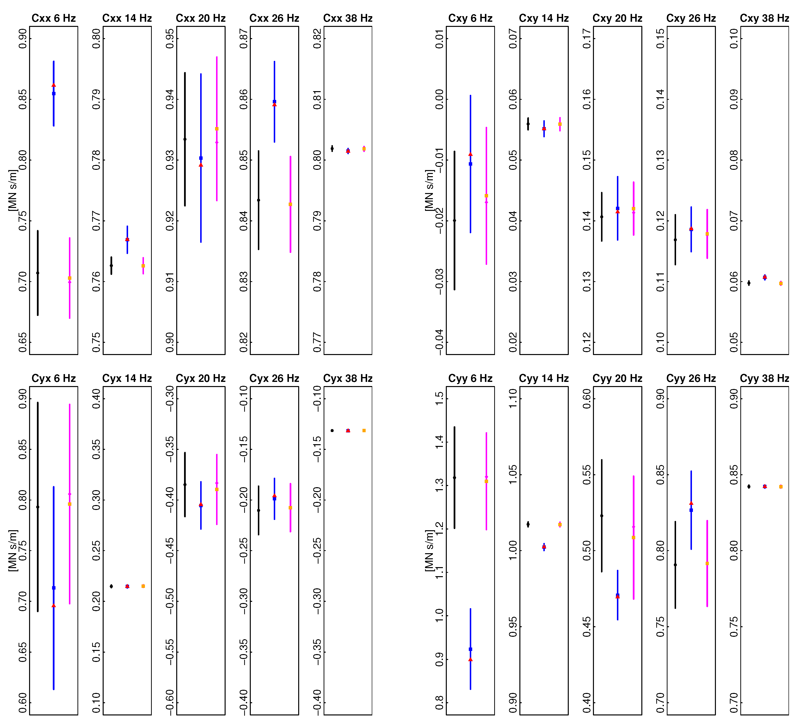
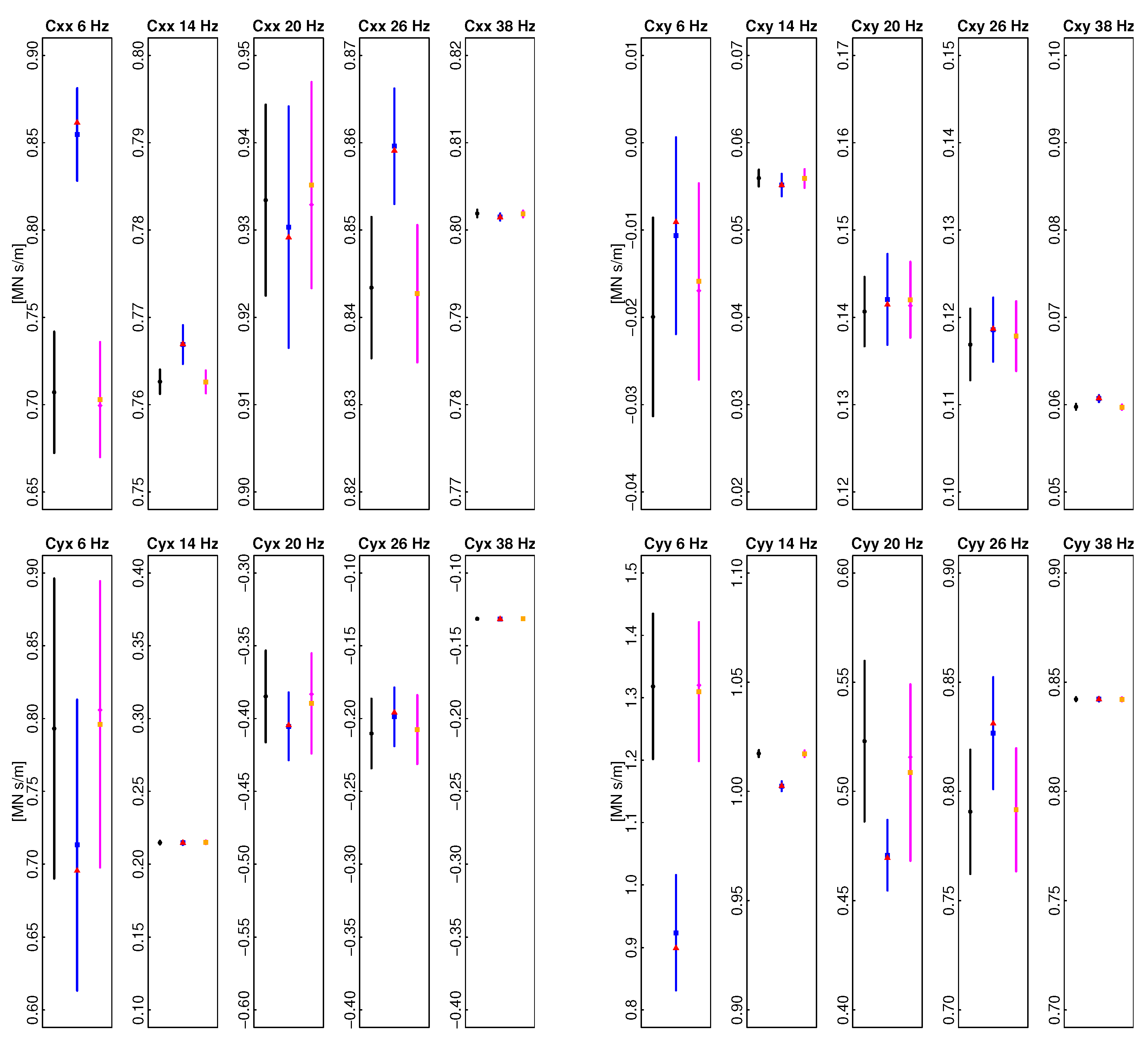
This procedure was applied both in the case of constant standard deviation values (0.1 m e 50 N) and in the case of adapted standard deviations (estimated with the procedure described in Section 4). An example of results, for each of the five excitation frequencies and at a shaft rotation frequency of 2000 rpm, is shown in Figure 9 and Figure 10. In these figures, for greater clarity, each subfigure has its own scale whose amplitude, where possible, has been left unchanged so that comparisons can be made. It is observed that the estimate of the mean of the bootstrap distribution and standard deviations is reasonably close to the value obtained from the data, a sign that the bootstrap method used is unbiased. The standard deviations are generally quite independent of the method used, while the mean values have variations that are almost always within the variation given by the standard deviation. Significant differences among the three methods are noted only for the lowest excitation frequency.

Figure 9.
Stiffness coefficients at the 5 excitation frequencies. In black are the mean values and standard deviations obtained using the KC model. In blue are the same quantities obtained with our statistical model and variable standard deviations. In magenta, the same quantities are obtained with our statistical model and constant standard deviations. The red triangles and the orange squares indicate the only value obtained from the data actually available.
Figure 10.
Damping coefficients at the 5 excitation frequencies. In black, mean values and standard deviations obtained using the KC model. In blue are the same quantities obtained using our statistical model and variable standard deviations. In magenta are the same quantities obtained using our statistical model and constant standard deviations. The red triangles and the orange squares indicate the only value obtained from the data actually available.
5.3. Dynamic Coefficients Estimation as a Function of the Excitation Frequency
The data obtained at six shaft rotational frequencies (1000, 2000, 3000, 4000, 5000, and 6100 rpm) at a constant static load of 58 kN have been analyzed as a function of the excitation frequency using our statistical method (i.e., minimizing S) and maintaining the same standard deviations for all the displacements and all the forces. In our model, the dynamic coefficients are parabolic functions of the excitation frequency, as shown in Equation (8); therefore S depends on 24 parameters.
The estimation of the coefficients of the parabolas , , allows for obtaining the relationships that provide dynamic coefficients as a function of the excitation frequency and, in particular, the synchronous ones. The results are shown in Figure 11 for the stiffness coefficients and in Figure 12 for the damping coefficients. The dots represent the estimates of the dynamic coefficients obtained by inverting and then averaging Equation (2) separately for each excitation frequency; the lines are the parabolas obtained with the statistical procedure.
Figure 11.
Stiffness coefficients as a function of the relative excitation frequency for various shaft rotation frequencies. First published in [26] by Springer Nature.
Figure 12.
Damping coefficients as a function of the relative excitation frequency for various shaft rotation frequencies. First published in [26] by Springer Nature.
5.4. Synchronous Dynamic Coefficients
Figure 13 shows the synchronous dynamic coefficients predicted by the statistical model. They are determined by calculating the values of the various parabolas shown in Figure 11 and Figure 12 at an excitation frequency equal to the rotational frequency.
Figure 13.
(a) Synchronous stiffness coefficients. (b) Synchronous damping coefficients. Both are plotted as a function of the shaft rotation frequency.
In order to evaluate the deviation from the values of the synchronous dynamic coefficients obtainable by linear interpolation of two values slightly below and above the synchronous frequency, the (normalized) differences between the values estimated by the two methods have been calculated. The results are shown in Figure 14; for most shaft rotational frequencies, the normalized differences do not exceed 5% for stiffness coefficient and 20% for direct damping coefficients.
Figure 14.
(a) Normalized deviations of stiffness coefficients. (b) Normalized deviations of damping coefficients. Both are plotted as a function of the shaft rotation frequency.
5.5. Sensitivity of Dynamic Coefficients to Standard Deviations
The values of the standard deviations of the displacements and of the forces used to obtain the results shown in Figure 11 and Figure 12 have been reasonably estimated from the knowledge of the experimental apparatus and the conditions in which the tests are carried out. It is nevertheless important to evaluate the influence of the estimate of the uncertainties on the values of the dynamic coefficients obtainable using the statistical model. When all the standard deviations of displacements and forces are equal, what matters for the minimization of the S is the ratio . If both the standard deviations are multiplied by the same factor a, the value of S is reduced by a constant factor . Therefore the values of the parameters at which the minimum of S is attained are the same. In the results presented so far, we always set Nm. To evaluate the influence of this value on the estimates of the dynamic coefficients, the calculations were repeated both by increasing tenfold, so that we have Nm, and by increasing tenfold, so that we have Nm. The variations that were found were so small that it made their visualization impossible in the same figure for all the rotational regimes. In addition, we also calculated the curves of the dynamic coefficients using the estimates of the standard deviations obtained by analyzing the acquired data.
The dynamic coefficients curves, at a rotational frequency of 2000 rpm only, were obtained at the three chosen values of R, using the standard deviations estimated from the data are presented in Figure 15 and Figure 16. Note that the vertical scale is enlarged, with respect to the Figure 11 and Figure 12, to highlight the small differences in the values of the dynamic coefficients in the four presented cases.
Figure 15.
Stiffness coefficients obtained using the statistical technique, at various values of R and using variable ’s, at a rotational frequency of 2000 rpm. The blue triangles indicate the values of the dynamic coefficients obtained with the KC method.
Figure 16.
Damping coefficients obtained using the statistical technique, at various values of R and using variable ’s, at a rotational frequency of 2000 rpm. The blue triangles indicate the values of the dynamic coefficients obtained with the KC method.
Percentage deviations were calculated by comparing values obtained at different R to reference values ( Nm). They show for the stiffness coefficients a variation always lower than 1%, while for the damping coefficients it usually does not exceed 5%, except in the case of the crossed coefficients, which show very large deviations when the value of the damping crossed coefficient is close to 0. This result highlights a certain robustness of the statistical model and can therefore be considered a strong point. Despite this positive aspect, which could be considered a point of arrival of the work, it is important to correctly evaluate the influence of standard deviations to understand whether the estimates of the displacement and force distributions are accurate or not. The curves obtained using the standard deviations estimated experimentally and shown in Figure 15 and Figure 16 are a first step in this direction. They highlight, as expected, the tendency of the parabolas to be closer to the points corresponding to the second and the fifth excitation frequency, for which the dynamic coefficients have a smaller standard deviation (as can be seen from Figure 9 and Figure 10). An accurate estimate of forces and displacements, together with the comparison with experimental values, is the starting point to evaluate, in a future development of this work, the uncertainty on the dynamic coefficients using the bootstrap technique as already carried out in the single-frequency analysis.
5.6. Evaluation of Displacements and Forces Predictions
The aim of the S minimization process is to obtain a distribution of the residuals exhibiting statistical properties in accordance with the theory of least squares regressions, i.e., Gaussian and with standard deviations comparable to their a priori estimation. This goal is difficult to achieve. In fact, in this analysis, all the standard deviations (both for the forces and for the displacements) are set equal for all the measurements in the various regimes, independently of the experimental conditions. An example of comparison between measured and predicted displacements is shown in Figure 17. In the complex plane, the real and imaginary part of 30 measured displacements at the excitation frequency of 13 Hz and at fixed rotational frequency of 1000 rpm (black circles) are plotted and compared with the corresponding estimated values (blue triangles). Thus we obtain 30 couples of points joined by red segments that highlight the difference between the experimental and estimated values. It is observed again that the 30 experimental points are not randomly distributed, but follow an arc-shaped trajectory. This could be due to a lack of the phase control during the measurement; therefore, there is a shift in the argument of the complex number over time. This example makes it clear that, if one wants to maintain the model described by Equation (6) in Cartesian coordinates, it is not possible to assign the same standard deviations to all the measurements, but that it is necessary to introduce some changes that take into account this phase shift. In Section 4 we have shown an improvement of the model, where a standard deviation properly estimated from the data is assigned to each deviation, together with some preliminary results.
Figure 17.
Example of comparison between measured (black circles) and predicted (blue triangles) values of real and imaginary parts of displacements at the excitation frequency of 13 Hz and at fixed rotational frequency of 1000 rpm. The black crosses indicate the a priori estimates of their standard deviations. The red segments highlight the deviation between experimental measurements and their model estimations.
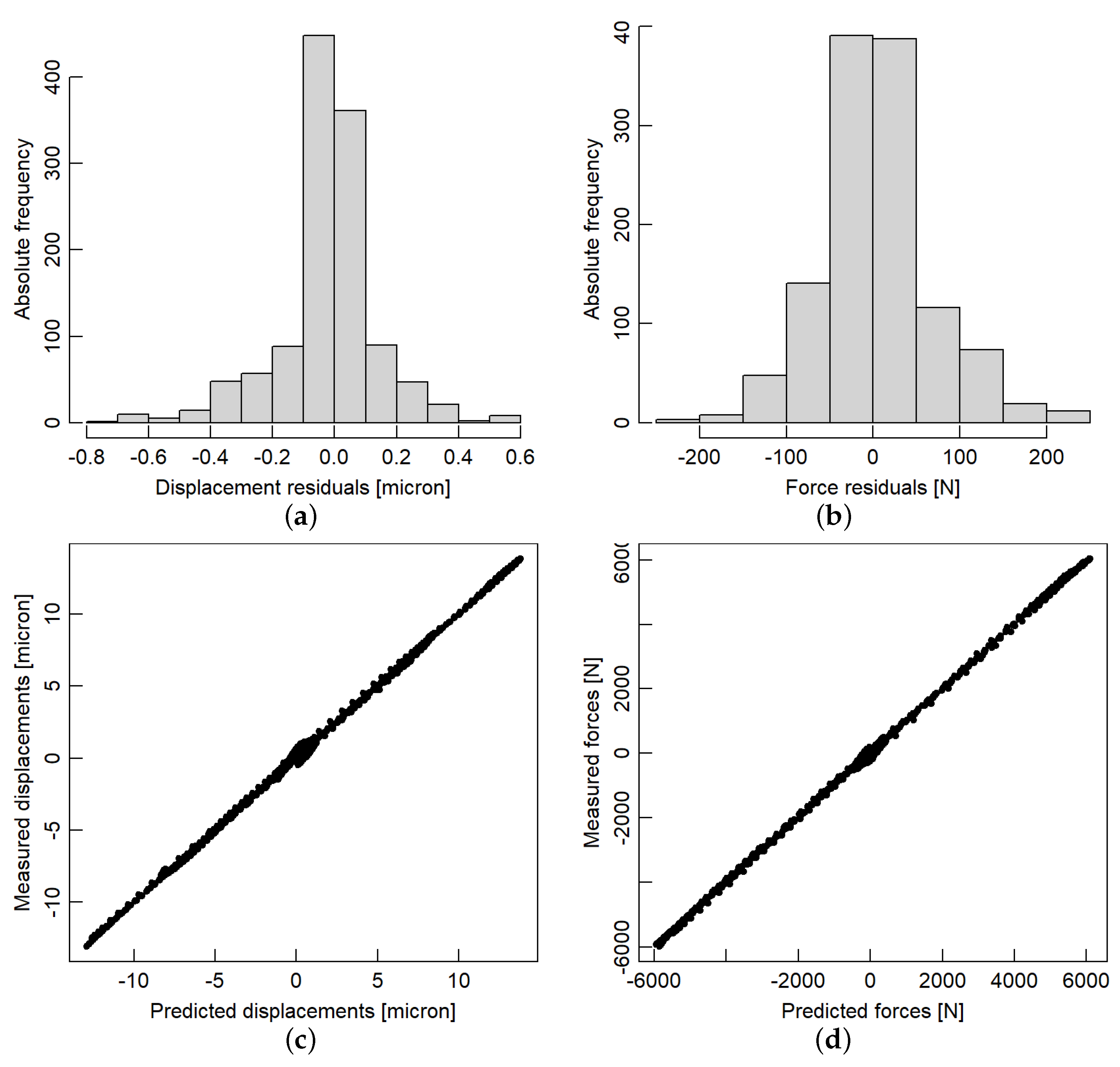
An analysis of the residuals and a comparison between estimated and measured values of all the displacements and forces (at all the five excitation frequencies), for a shaft rotational frequency of 2000 rpm, is shown in Figure 18. In the two top subfigures the absolute frequencies of the residuals (difference between estimated and measured values) are shown. A Kolmogorov–Smirnov test, which evaluates the overall fit between the empirical and theoretical cumulative distributions, shows that the distribution of the residuals, standardized with the estimated standard deviation, is not Gaussian. This is a further indication of the need to find a method for estimating the standard deviations of the distributions, different for the various measured points (both for forces and displacements). In the two bottom subfigures, the experimental values of all the forces and displacements measured at a given rotational frequency (2000 rpm) are compared with the corresponding values predicted by the model. In a perfect model, all the points should lay on the bisecting line. The fact that the plotted points always remain fairly close to the bisector, and uniformly throughout the measurement range both for forces and displacements confirms the validity of the statistical model and an incentive to try to improve it to eliminate some of its shortcomings.
Figure 18.
Histograms of non-normalized residuals of (a) displacements and (b) forces; both for all 1200 measurements at a shaft rotational frequency of 2000 rpm. (c) Comparison between predicted and measured values of displacements and (d) forces.
5.7. Evaluation of Fit Parameters as a Function of the Shaft Rotational Frequency
The statistical method of estimation of the dynamic coefficients developed in this work, based on their explicit relationship as a function of the excitation frequency, allows an extension to include the effect of the shaft rotation frequency f in the model. It is in fact possible to consider the various coefficients , , and (defined in Equation (8)) as a function of f. By choosing appropriate functions (for example polynomials) it is possible to transform Equation (8) into
and therefore it becomes possible to obtain all the dynamic coefficients, at the six shaft rotation frequencies, with a unique minimization process, considering the measurements in the different experimental conditions as a whole. In this work we present, in Figure 19, a preliminary result obtained with an a posteriori fitting of the parabolas coefficients , and (previously computed using the statistical method), as a function of the shaft rotational frequency, using a cubic function. Although this result has a rather low statistical significance (4 parameters for 6 points), it shows that it is possible to extend the model in order to identify functions that allow the determination of the coefficients of the parabolas as a function of the shaft speed. It is highlighted that the maximum deviation is about 10%. This suggests that, with an appropriate choice of polynomial functions (for example by appropriately varying their degree) it is possible to obtain a unified model in which all the dynamic coefficients can be estimated with a single function.
Figure 19.
(a) , (b) , and (c) coefficients for as a function of the shaft rotational frequency (black dots). The blue line represents the a posteriori best-fit cubic function, the blue dots indicate the best-estimates of , , and at the various shaft rotational frequencies predicted by the cubic fit.
6. Conclusions
In this study, we have developed an innovative statistical technique for determining the dynamic coefficients of tilted pad journal bearings (TPJBs) as a function of excitation frequency. Our results are consistent with those previously reported in [9]. The significant advantage of this statistical approach lies in its ability to create and validate models that reliably calculate dynamic coefficients based on excitation frequency robust to noisy measurements, with the potential to extend this capability to include shaft rotation frequency in the future.
Furthermore, this method enables us to incorporate uncertainties in measured quantities, such as forces and displacements, directly into our calculations. We examined how variations in these uncertainties affect the determination of dynamic coefficients and the models used for estimating displacements and forces.
Our findings clearly indicate that the estimation of dynamic coefficients through this statistical method remains unaffected by a variation in the standard deviations of the measurements. Nonetheless, it is critical to implement an accurate technique for establishing the standard deviations associated with the statistical distributions of various measurements. Such attribution is essential for obtaining accurate model estimates of forces and displacements, which will serve as a reliable starting point for Monte Carlo simulations.
This work represents a step in understanding the influence of measurement uncertainties on the uncertainties of dynamic coefficients as calculated by the model. We will continue to explore these factors in future developments. Additionally, we demonstrated that the coefficients of the parabolas can be effectively modeled as a function of the shaft rotation frequency using relatively low-degree polynomials. By taking this crucial next step, we will be able to produce a unified model applicable across all dynamic operating conditions while maintaining the same static load. These aspects will be examined in future developments of this work.
Author Contributions
Conceptualization, M.B. and A.B.; Methodology, M.B. and A.B.; Software, M.B.; Data Curation, M.N.; Writing—Original Draft Preparation, M.B., A.B., E.C. and P.F.; Writing—Review and Editing, M.B., A.B., E.C. and P.F.; Visualization, M.B., A.B., E.C. and P.F.; Supervision, E.C. and P.F.; Project Administration, M.B. and E.C.; Funding Acquisition, E.C. All authors have read and agreed to the published version of the manuscript.
Funding
This study received funding from the European Union—Next-GenerationEU—National Recovery and Resilience Plan (NRRP)—MISSION 4 COMPONENT 2, INVESTIMENT N. 1.1, CALL PRIN 2022 D.D. 104 02-02-2022—(2022LS338H - ESABEA) CUP N.I53D23001810006.
Data Availability Statement
No new data were created or analyzed in this study. Data sharing is not applicable to this article.
Acknowledgments
The authors thank the three anonymous referees whose comments helped improve this article.
Conflicts of Interest
Author Matteo Nuti was employed by the company AM Testing. The remaining authors declare that the research was conducted in the absence of any commercial or financial relationships that could be construed as a potential conflict of interest.
Abbreviations
The following abbreviations are used in this manuscript:
| FFT | Fast Fourier Transform |
| KC | Stiffness–Damping model for dynamic coefficients |
| KCM | Stiffness–Damping–Inertia model for dynamic coefficients |
| TPJB | Tilting Pad Journal Bearing |
References
- Waldemar, D.; Dadouche, A.; Fillon, M. Numerical study of the sensitivity of tilting-pad journal bearing performance characteristics to manufacturing tolerances: Dynamic analysis. Trib. Trans. 2008, 51, 573–580. [Google Scholar]
- Betti, A.; Forte, P.; San Andrés, L.; Delgado, A.; Ciulli, E. Comparison between numerical and experimental static performance and sensitivity study on a tilting pad journal bearing in a load on pad configuration. In Proceedings of the International Tribology Symposium of IFToMM, Salerno, Italy, 6–8 May 2024; Springer: Cham, Switzerland, 2024; pp. 223–234. [Google Scholar]
- Tiwari, R.; Lees, A.; Friswell, M. Identification of dynamic bearing parameters: A review. Shock Vib. Dig. 2004, 36, 99–124. [Google Scholar] [CrossRef]
- Nordmann, R.; Schollhorn, K. Identification of stiffness and damping coefficients of journal bearings by means of the impact method. Dyn. Rot. 1984, 113, 335–342. [Google Scholar]
- Goodwin, M. Experimental techniques for bearing impedance measurement. J. Manuf. Sci. Eng. 1991, 113, 335–342. [Google Scholar] [CrossRef]
- Dimond, T.W.; Sheth, P.N.; Allaire, P.E.; He, M. Identification methods and test results for tilting pad and fixed geometry journal bearing dynamic coefficients—A review. Shock Vib. 2009, 16, 13–43. [Google Scholar] [CrossRef]
- Childs, D.W.; Hale, K. A Test Apparatus and Facility to Identify the Rotordynamic Coefficients of High-Speed Hydrostatic Bearings. J. Tribol. 1994, 116, 337–343. [Google Scholar] [CrossRef]
- Chatterton, S.; Pennacchi, P.; Dang, P.V.; Vania, A. Identification Dynamic Force Coefficients of a Five-Pad Tilting-Pad Journal Bearing. In Proceedings of the 9th IFToMM International Conference on Rotor Dynamics(IFToMM), Milan, Italy, 22–25 September 2014; Pennacchi, P., Ed.; Mechanisms and Machine Science. Springer: Cham, Switzerland, 2015; Volume 21, pp. 931–941. [Google Scholar]
- Ciulli, E.; Ferraro, R.; Forte, P.; Innocenti, A.; Nuti, M. Experimental Characterization of Large Turbomachinery Tilting Pad Journal Bearings. Machines 2021, 9, 273. [Google Scholar] [CrossRef]
- Hagemann, T.; Schwarze, H. A Theoretical Study on Frequency Effects on Tilting-Pad Journal Bearing Dynamic Coefficients. In Proceedings of the 9th IFToMM International Conference on Rotor Dynamics, Milan, Italy, 22–25 September 2014; Springer: Cham, Switzerland, 2015; Volume 21, pp. 1069–1080. [Google Scholar]
- San Andrés, L.; De Santiago, O. Identification of Journal Bering Force Coefficients under High Dynamic Loading Centered Static Operation. Trib. Trans. 2005, 48, 9–17. [Google Scholar] [CrossRef]
- Childs, D.; Harris, J. Static Performance Characteristics and Rotordynamic Coefficints for a Four-Pad Ball-In-Socket Tilting Pad Journal Bearing. J. Eng. Gas Turb. Pow. 2009, 131, 062502. [Google Scholar] [CrossRef]
- Rodriguez, L.; Childs, D. Frequency dependency of measured and predicted rotordynamic coefficients for a load-on-pad flexible-pivot tilting-pad bearing. J. Trib. 2006, 128, 388–395. [Google Scholar] [CrossRef]
- Rouvas, C.; Childs, D.W. A Parameter Identification Method for the Rotordynamic Coefficients of a High Reynolds Number Hydrostatic Bearing. J. Vib. Acoust. 1993, 115, 264–270. [Google Scholar] [CrossRef]
- San Andres, L.; Tao, Y. The role of pivot stiffness on the dynamic force coefficients of tilting pad journal bearings. J. Eng. Gas Turbines Power 2013, 135, 112505. [Google Scholar] [CrossRef]
- Zemella, P.; Hagemann, T.; Pfau, B.; Schwarze, H. Identification of Dynamic Coefficients of a Five-Pad Tilting Pad Journal Bearing Up to Highest Surface Speeds. J. Eng. Gas Turbines Power 2021, 143, 081013. [Google Scholar] [CrossRef]
- Lund, J.W. Spring and Damping Coefficients for the Tilting-Pad Journal Bearing. ASLE Trans. 1964, 7, 342–352. [Google Scholar] [CrossRef]
- Zemella, P.; Vetter, D.; Hagemann, T.; Schwarze, H. A Contribution to Experimental Identification of Frequency Dependent Dynamic Coefficients of Tilting-Pad Journal Bearings with Centered and Off-Centered Pivot. Lubricants 2023, 11, 428. [Google Scholar] [CrossRef]
- Parsell, J.K.; Allaire, P.E.; Barrett, L.E. Frequency Effects in Tilting-Pad Journal Bearing Dynamic Coefficients. ASLE Trans. 1983, 26, 222–227. [Google Scholar] [CrossRef]
- Wilkes, J.; Childs, D. Tilting Pad Journal Bearings—A discussion on stability calculation, frequency dependence, and pad and pivot. J. Eng. Gas Turb. Pow. 2012, 134, 122508. [Google Scholar] [CrossRef]
- Pettinato, B.; Flack, R.; Barrett, L. Effects of excitation frequency and orbit magnitude on the dynamic characteristics of a highly preloaded three-lobe journal bearing. Trib. Trans. 2008, 44, 575–582. [Google Scholar] [CrossRef]
- American Petroleum Institute. Axial and Radial Compressors and Expander-Compressors, Vibration Specifications, 8th ed.; API STD 617; API Publishing Services: Washington, DC, USA, 2014. [Google Scholar]
- Wagner, L.F.; Allaire, P.E. Tilting-Pad Journal Bearings-Frequency-Dependent Dynamic Coefficients and Pivot Flexibility Effects. Lubricants 2022, 10, 20. [Google Scholar] [CrossRef]
- Barsanti, M.; Ciulli, E.; Forte, P. Random error propagation and uncertainty analysis in the dynamic characterization of Tilting Pad Journal Bearings. J. Phys. Conf. Ser. 2019, 1264, 012035. [Google Scholar] [CrossRef]
- Barsanti, M.; Ciulli, E.; Forte, P.; Nuti, M. Influence of different fitting methods on the identification of the synchronous dynamic coefficients of tilting pad journal bearings. In Proceedings of the Abstract Book of the 25th International Congress of Theoretical and Applied Mechanics, Virtual, 22–27 August 2021; pp. 1649–1650. [Google Scholar]
- Barsanti, M.; Ciulli, E. A Statistical Method to Compute the Dynamic Coefficients of a Tilting Pad Journal Bearing. In Proceedings of the Fifth International Conference of the IFToMM Italy (IFIT 2024), Torino, Italy, 11–13 September 2024. [Google Scholar]
- Childs, D.W.; Delgado, A.; Vannini, G. Tilting-pad Bearings: Measured frequency characteristics of their rotordynamic coefficients. In Proceedings of the Fortieth Turbomachinery Symposium, Houston, TX, USA, 12–15 September 2011; pp. 33–45. [Google Scholar]
- Vetter, D.; Zemella, P.; Hagemann, P.; Schwarze, H. The Impact of Pad Elasticity on Frequency-Dependent Linear Dynamic Coefficients of Tilting-Pad Journal Bearings. J. Eng. Gas Turb. Pow. 2025, 147, 061024. [Google Scholar] [CrossRef]
- Vetter, D.; Zemella, P.; Hagemann, T.; Schwarze, H. Dynamic coefficients of tilting-pad journal bearings considering coupling between pads by supporting ring and housing elasticity. Mech. Sys. Sign. Proc. 2025, 236, 113010. [Google Scholar]
- Rendl, J.; Dyk, Š.; Smolík, L. Nonlinear dynamic analysis of a tilting pad journal bearing subjected to pad fluttering. Nonlinear Dyn. 2021, 105, 2133–2156. [Google Scholar] [CrossRef]
- Han, D.; Bi, C.; Chen, C.; Yang, J. Dynamic Coefficients of Tilting Pad Bearing by Perturbing the Turbulence Model. Appl. Sci. 2022, 12, 6348. [Google Scholar] [CrossRef]
- Sawicki, J. Cavitation Effects on the Dynamics of Journal Bearings. Int. J. Appl. Mech. Eng. 2005, 10, 515–526. [Google Scholar]
- Dang, R.; Goyal, D.; Chauhan, A.; Dhami, S. Effect of non-newtonian lubricants on static and dynamic characteristics of journal bearings. Mater. Today Proc. 2020, 28, 1345–1349. [Google Scholar] [CrossRef]
Disclaimer/Publisher’s Note: The statements, opinions and data contained in all publications are solely those of the individual author(s) and contributor(s) and not of MDPI and/or the editor(s). MDPI and/or the editor(s) disclaim responsibility for any injury to people or property resulting from any ideas, methods, instructions or products referred to in the content. |
© 2025 by the authors. Licensee MDPI, Basel, Switzerland. This article is an open access article distributed under the terms and conditions of the Creative Commons Attribution (CC BY) license (https://creativecommons.org/licenses/by/4.0/).



















