Modeling and Analysis of Clutch Nonlinear Behavior in an Automotive Driveline for Suppressing Torsional Vibration
Abstract
1. Introduction
2. Analytical Model of Powertrain System
2.1. Driveline Model
2.2. Transient Engine Torque
2.3. Nonlinear Clutch Model
2.3.1. Clutch Friction Model
2.3.2. Model of the Multi-Stage Clutch Damper
2.4. Tire Slip Model
2.5. Resistance Torque
3. Experimental Validations of 7DOF Powertrain Model
3.1. Experiment Setup
3.2. Model Validation
4. Natural Characteristics of Driveline System
5. Influence of Clutch Parameters on the Torsional Vibration
6. Applications
6.1. Design of an Optimized Clutch
6.2. Measurement of the Optimized Clutch
7. Conclusions
- (1)
- This article proposes a 7 DOF nonlinear model of powertrain system, considering transient engine torque, nonlinear characteristics of multi-stage clutch and tire slip. Taking a generic driveline of a light-loaded commercial vehicle as an example, the dynamic responses of driveline are calculated with numerical methods based on the proposed model. On the real vehicle, an experiment of torsional vibration is conducted under the fourth gear WOT condition. The experimental results validate the precision of the proposed model.
- (2)
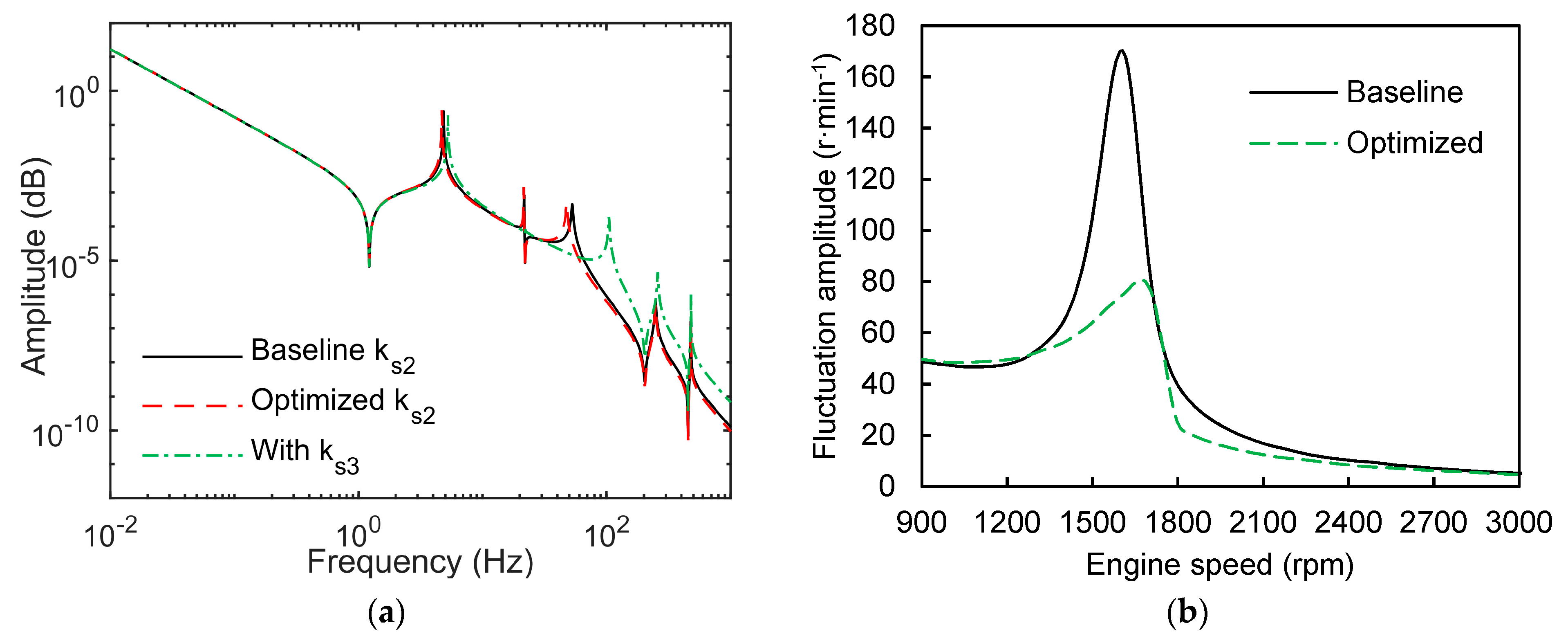
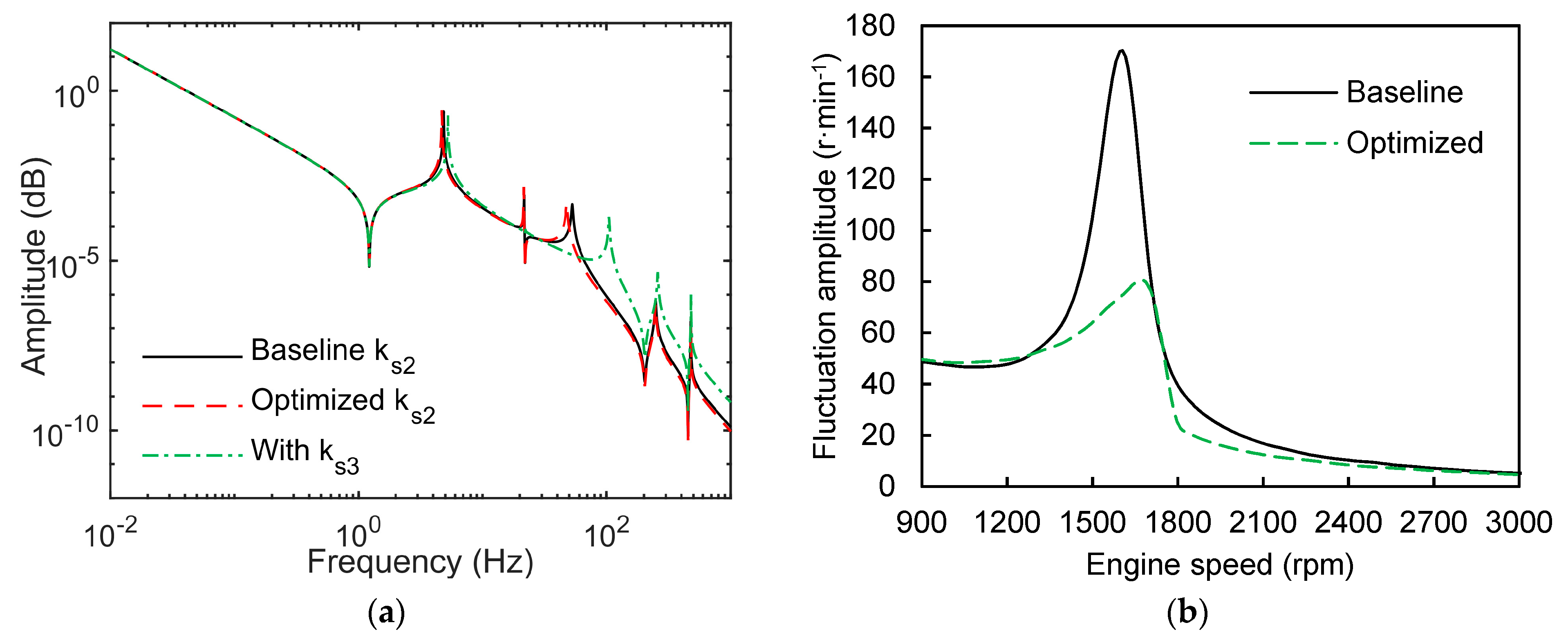
- The clutch parameters have significant influence on the driveline torsional vibration. A decrease of the second stage stiffness or an increase of the second stage hysteresis will reduce the second order speed fluctuation of driveline. Increasing the first end-stop angle or reducing the second end-stop angle can mitigate the torsional resonance amplitude of driveline due to the hardening type nonlinear behavior of the clutch damper. Based on the nonlinear vibration characteristics of the clutch damper, an optimized clutch is designed and tested on the vehicle. The numerical and experimental results demonstrate the analytical results in this study.
Author Contributions
Funding
Data Availability Statement
Conflicts of Interest
Appendix A. Variables and Values
| Variable | Value | Variable | Value | Variable | Value |
|---|---|---|---|---|---|
| (kg·m2) | 7.14 × 10−1 | 0.05 | (mm) | 124.6 | |
| (kg·m2) | 1.9 × 10−2 | 1 | 0.28 | ||
| (kg·m2) | 2.38 × 10−2 | 2 | (Nm/°) | 0.5 | |
| (kg·m2) | 8.63 × 10−3 | 0.05 | (Nm/°) | 56 | |
| (kg·m2) | 7.62 × 10−3 | (kg·m−1·s−1) | 0.015 | (Nm/°) | 291 |
| (kg·m2) | 3.49 × 10−1 | (kPa) | 20 | (Nm) | 4 |
| (kg·m2) | 13.96 | (mm) | 6 | (Nm) | 36 |
| (Nm·rad−1) | 3.89 × 105 | 2 | (Nm) | 94 | |
| (Nm·rad−1) | 2.07 × 105 | 3 | (°) | 5 | |
| (Nm·rad−1) | 1.07 × 103 | (mm) | 4 | (°) | 16 |
| (Nm·s·rad−1) | 0.01 | (m) | 2 × 10−6 | (°) | 5 |
| (Nm·s·rad−1) | 0.01 | (m) | 0.15 | (°) | 12 |
| (Nm·s·rad−1) | 0.25 | 2 | (N) | 8 × 104 | |
| (mm) | 51 | (N) | 300 | (m) | 0.376 |
| (mm) | 155.5 | (m) | 0.06 | (m) | 0.6 |
| (mm) | 104 | 2 | (kg) | 3450 | |
| (kg) | 0.45 | (N) | 1 × 104 | 0.7 | |
| 32 | (mm) | 95 | (m2) | 4.1 | |
| 0.05 | (mm) | 150 | (N·s2·m−4) | 1.2258 |
References
- Wang, Y.; Qin, X.; Huang, S.; Deng, S. Design and analysis of a multi-stage torsional stiffness dual mass flywheel based on vibration control. Appl. Acoust. 2016, 104, 172–181. [Google Scholar] [CrossRef]
- Li, L.H.; Singh, R. Analysis of start-up transient for a powertrain system with a nonlinear clutch damper. Mech. Syst. Signal Processing 2015, 62–63, 460–479. [Google Scholar] [CrossRef]
- Gao, P.; Xiang, C.; Liu, H.; Zhou, H. Reducing variable frequency vibrations in a powertrain system with an adaptive tuned vibration absorber group. J. Sound Vib. 2018, 425, 82–101. [Google Scholar] [CrossRef]
- Castellazzi, L.; Tonoli, A.; Amati, N.; Galliera, E. A study on the role of powertrain system dynamics on vehicle driveability. Veh. Syst. Dyn. 2017, 55, 1012–1028. [Google Scholar] [CrossRef]
- Markert, R.; Seidler, M. Analytically based estimation of the maximum amplitude during passage through resonance. Int. J. Solids Struct. 2001, 38, 1975–1992. [Google Scholar] [CrossRef]
- Li, L.H.; Singh, R. Analysis of vibration amplification in a multi-staged clutch damper during engine start-up. Proc. Inst. Mech. Eng. Part D J. Automob. Eng. 2015, 229, 1406–1418. [Google Scholar] [CrossRef]
- Li, L.H.; Singh, R. Analysis of speed-dependent vibration amplification in a nonlinear driveline system using Hilbert Transform. SAE Int. J. Passeng. Cars-Mech. Syst. 2013, 6, 1120–1126. [Google Scholar] [CrossRef]
- Idehara, S.J.; Flach, F.L.; Lemes, D. Modeling of nonlinear torsional vibration of the automotive powertrain. J. Vib. Control. 2018, 24, 1774–1786. [Google Scholar] [CrossRef]
- Liu, X.-L.; Shangguan, W.-B.; Jing, X.; Ahmed, W. Vibration isolation analysis of clutches based on trouble shooting of vehicle accelerating noise. J. Sound Vib. 2016, 382, 84–99. [Google Scholar] [CrossRef]
- Crowther, A.R.; Zhang, N. Torsional finite elements and nonlinear numerical modelling in vehicle powertrain dynamics. J. Sound Vib. 2005, 284, 825–849. [Google Scholar] [CrossRef]
- Wei, Z.; Shangguan, W.-B.; Liu, X.; Hou, Q. Modeling and analysis of friction clutches with three stages stiffness and damping for reducing gear rattles of unloaded gears at transmission. J. Sound Vib. 2020, 483, 115469. [Google Scholar] [CrossRef]
- Shangguan, W.-B.; Liu, X.-L.; Yin, Y.; Rakheja, S. Modeling of automotive driveline system for reducing gear rattles. J. Sound Vib. 2018, 416, 136–153. [Google Scholar] [CrossRef]
- Yucesan, A.; Sezer, S. Vibration isolation with clutch disk pre-damper mechanism for the idle rattle phenomenon. J. Vib. Control. 2018, 24, 1518–1534. [Google Scholar] [CrossRef]
- Li, L.P.; Lu, Z.J.; Liu, X.L. Modeling and analysis of friction clutch at a driveline for suppressing car starting judder. J. Sound Vib. 2018, 424, 335–351. [Google Scholar] [CrossRef]
- Rezeka, S.F.; Henein, N.A. A new approach to evaluate instantaneous friction and its components in internal combustion engines. SAE Trans. 1984, 93, 932–944. [Google Scholar]
- Wu, H.W.; Wu, G.Q. Driveline torsional analysis and clutch damper optimization for reducing gear rattle. Shock. Vib. 2016, 2016, 8434625. [Google Scholar] [CrossRef]
- Bartram, M.; Mavros, G.; Biggs, S. A study on the effect of road friction on driveline vibrations. Proc. Inst. Mech. Eng. Part K J. Multi-Body Dyn. 2010, 224, 321–340. [Google Scholar] [CrossRef]
- Jurmu, L.; Robinette, D.; Blough, J.; Gehringer, M. Design and test of a torsional vibration absorber in series with a planetary gearset. J. Vib. Control. 2021, 27, 1498–1510. [Google Scholar] [CrossRef]
- Yang, C.; Tan, X.D.; Hua, L. Multi objective optimization of parameters of torsional vibration dampers considering damping effect and light weight design. Int. J. Veh. Struct. Syst. 2019, 11, 1–6. [Google Scholar] [CrossRef]
- Steinel, K. Clutch Tuning to Optimize Noise and Vibration Behavior in Trucks and Buses; SAE Technical Paper Series; SAE International: Warrendale, PA. USA, 2000; p. 3292. [Google Scholar]
- Chen, L.; Shi, W.K.; Chen, Z.Y. Research on dynamic behavior of torsional absorber in powertrain system considering nonlinear factors. J. Vib. Control. 2021, 27, 1656–1667. [Google Scholar]
- Yoon, J.Y.; Yoon, H.S. Nonlinear frequency response analysis of a multistage clutch damper with multiple nonlinearities. J. Comput. Nonlinear Dyn. 2014, 9, 031007. [Google Scholar] [CrossRef]
- Kim, T.C.; Rook, T.E.; Singh, R. Effect of smoothening functions on the frequency response of an oscillator with clearance non-linearity. J. Sound Vib. 2003, 263, 665–678. [Google Scholar] [CrossRef]
- Ranjbarzadeh, H.; Kakavand, F. Determination of nonlinear vibration of 2DOF system with an asymmetric piecewise-linear compression spring using incremental harmonic balance method. Eur. J. Mech. A: Solids 2019, 73, 161–168. [Google Scholar] [CrossRef]
- Krak, M.; Dreyer, J.; Singh, R. Development of a non-linear clutch damper experiment exhibiting transient dynamics. SAE Int. J. Passeng. Cars Mech. Syst. 2015, 8, 754–761. [Google Scholar] [CrossRef]
- Saleh, A.; Krak, M.; Dreyer, J.; Singh, R. Development of refined clutch-damper subsystem dynamic models suitable for time domain studies. SAE Int. J. Passeng. Cars Mech. Syst. 2015, 8, 733–741. [Google Scholar] [CrossRef][Green Version]
- Liu, H.; Xiang, C.L.; Zheng, M.Q. Sensitivity analysis and dynamic modification of natural characteristic in vehicle powertrain. Automot. Eng. 2003, 25, 591–594. (In Chinese) [Google Scholar]
- Feldman, L. Hilbert transform in vibration analysis. Mech. Syst. Signal Processing 2010, 25, 735–802. [Google Scholar] [CrossRef]
















| Parameters | Baseline | Optimized | Manufactured |
|---|---|---|---|
| Second stiffness (Nm/°) | 56 | 42 | 40.6 |
| Second end-stop (°) | 16 | 13 | 12.9 |
Publisher’s Note: MDPI stays neutral with regard to jurisdictional claims in published maps and institutional affiliations. |
© 2022 by the authors. Licensee MDPI, Basel, Switzerland. This article is an open access article distributed under the terms and conditions of the Creative Commons Attribution (CC BY) license (https://creativecommons.org/licenses/by/4.0/).
Share and Cite
Qu, J.; Shi, W.; Wang, J.; Chen, Z. Modeling and Analysis of Clutch Nonlinear Behavior in an Automotive Driveline for Suppressing Torsional Vibration. Machines 2022, 10, 819. https://doi.org/10.3390/machines10090819
Qu J, Shi W, Wang J, Chen Z. Modeling and Analysis of Clutch Nonlinear Behavior in an Automotive Driveline for Suppressing Torsional Vibration. Machines. 2022; 10(9):819. https://doi.org/10.3390/machines10090819
Chicago/Turabian StyleQu, Junlong, Wenku Shi, Juncheng Wang, and Zhiyong Chen. 2022. "Modeling and Analysis of Clutch Nonlinear Behavior in an Automotive Driveline for Suppressing Torsional Vibration" Machines 10, no. 9: 819. https://doi.org/10.3390/machines10090819
APA StyleQu, J., Shi, W., Wang, J., & Chen, Z. (2022). Modeling and Analysis of Clutch Nonlinear Behavior in an Automotive Driveline for Suppressing Torsional Vibration. Machines, 10(9), 819. https://doi.org/10.3390/machines10090819
