Fault Prediction of Rolling Element Bearings Using the Optimized MCKD–LSTM Model
Abstract
:1. Introduction
2. Correlation Method
2.1. Maximum Correlated Kurtosis Deconvolution
- (1)
- Determine the filter length L, the order of shift M, and period T of the impact signal.
- (2)
- Calculate X0 and matrices of the original signal x(n).
- (3)
- Obtain the filtered output signal y(n).
- (4)
- Calculate αm and β according to y(n).
- (5)
- Update the filter coefficient f.
2.2. Cuckoo Search
- (1)
- Each cuckoo lays only one egg at a time and places the eggs in a randomly selected nest, which is also known as a host nest.
- (2)
- The parasitic nest with the highest quality eggs will be retained for the next generation.
- (3)
- The number of possible nests is fixed, and the chance of discovering host eggs in a nest is p.
2.3. Long Short-Term Memory Recurrent Neural Network
2.3.1. Forward Calculation Method of LSTM
2.3.2. Reverse Computation Method of LSTM
- (1)
- The output value of each neuron is calculated forward f(y) = f(wTx)
- (2)
- The cost function is the mean square deviation function J, and the error term δj value of each neuron is calculated inversely as follows:
- (3)
- Reverse error gradient calculation from the following expression:
- (4)
- Determine the weight difference Δw:
3. Parameter Optimization Based on the Cuckoo Search
4. Experimental Signal Analysis
4.1. Data Preprocessing
4.2. Parameter Selection
4.3. Prediction Model
5. Conclusions
- (1)
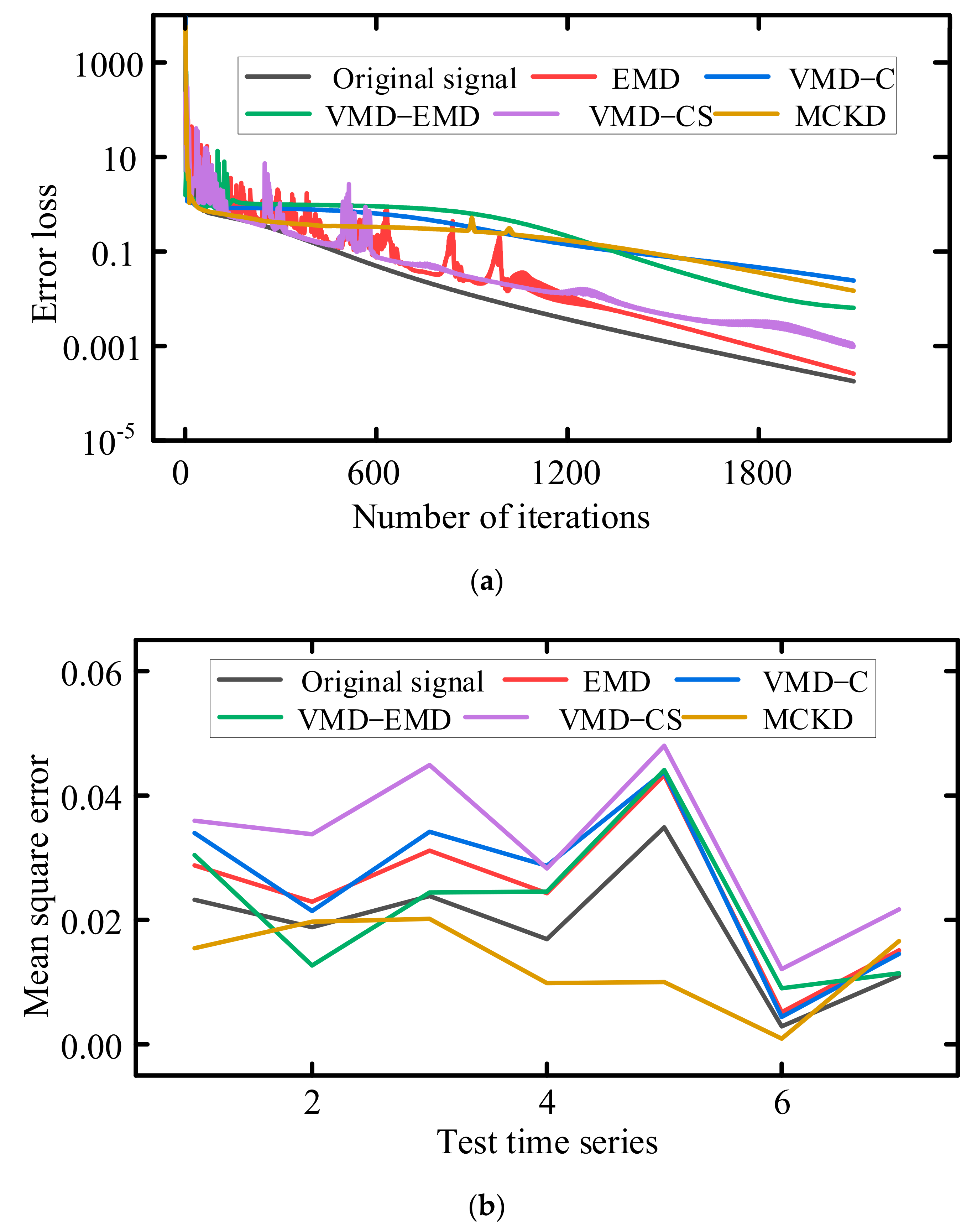
- When comparing the results of EMD, VMD–C, VMD–EMD, VMD–CS, and MCKD on the original time series, the impact component of the deconvolution time series obtained by optimizing MCKD was enhanced, and the fault characteristic frequency of the bearing outer ring was extracted.
- (2)
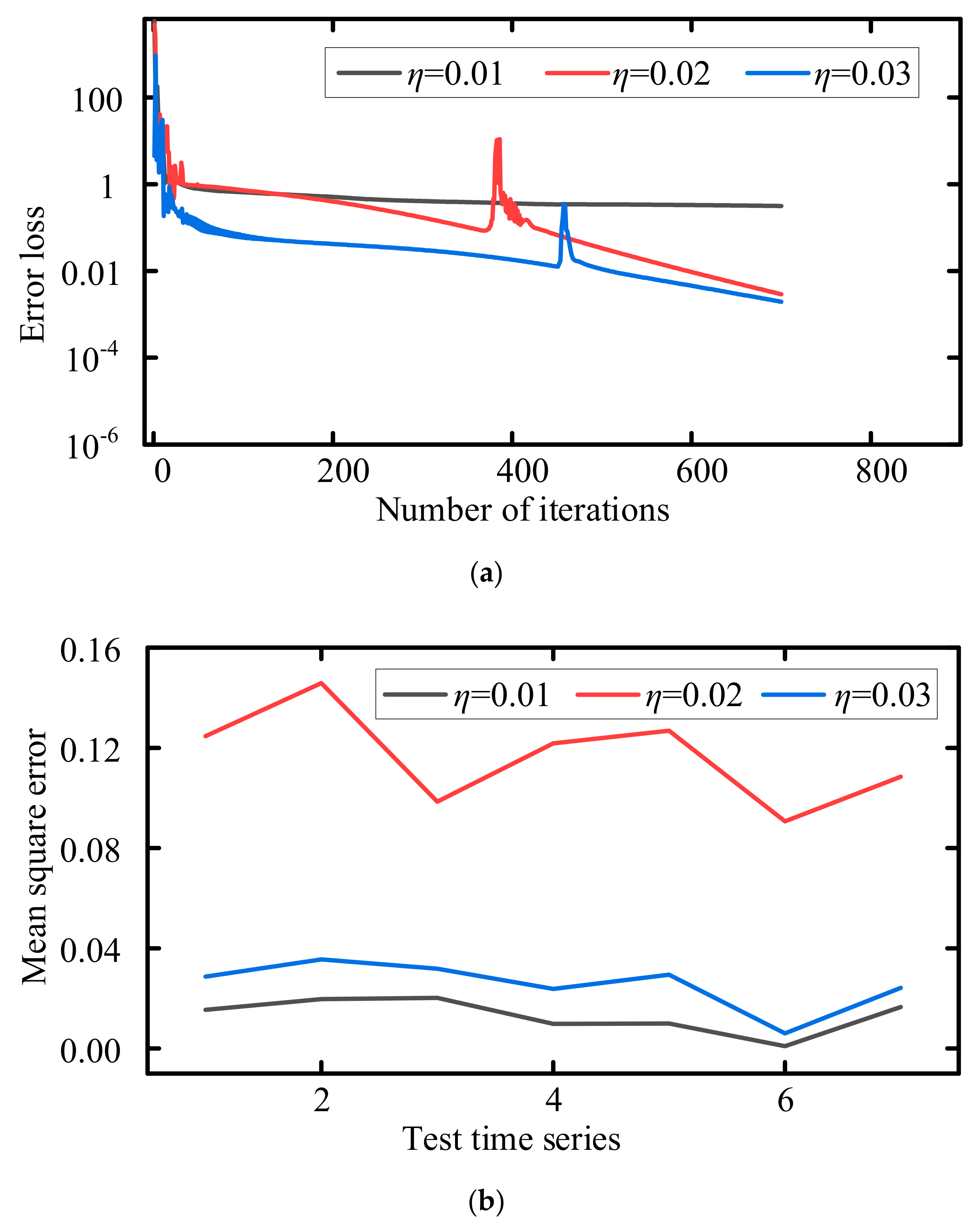
- The accuracy and loss change of the model is affected by the learning rate of the neural network. More specifically, when the change rate is too high or too low, over–fitting difficulties occur, which affects the efficiency and prediction ability of the model. Experiments revealed that the optimum learning rate of the LSTM prediction model of bearing time series was η = 0.01.
- (3)
- When the learning rate η was set to 0.01, the highest prediction accuracy occurred in the optimized MCKD–LSTM model, being 26% higher than the prediction accuracy of the original time series. It was found that the prediction results tracked the real fault data accurately.
- (4)
- However, the proposed method also has disadvantages. Firstly, due to noise generation inherent to the operation of rotating systems in industrial environments, the existence of the preprocessing aspect of this study engendered a whole-life prediction framework, rather than an end-to-end learning framework. Therefore, the preprocessing part may introduce additional errors that could affect the overall life-prediction performance. Secondly, the use and implementation of CS as a tool to search the optimal hyperparameter may pose a challenge to industrial maintenance practitioners, because a priori knowledge is required. Finally, the prediction model is trained through supervised learning, but it is difficult to obtain the ground truth value with low noise in practical application, because large rotating machinery is always accompanied by significant noise. The proposed bearing-fault time series prediction model is designed to analyze bearing faults. The framework allows the fault time series prediction of metallic, hybrid, and ceramic bearings to be considered. In this sense, future work, taking into account the development of the evolving learning system, can further address the end–to–end model of bearing-fault time series prediction and study the unsupervised learning model through novel learning methods for the purpose of bearing-fault time series prediction.
Author Contributions
Funding
Institutional Review Board Statement
Informed Consent Statement
Data Availability Statement
Conflicts of Interest
References
- Yang, Y.; Yang, W.; Jiang, D. Simulation and experimental analysis of rolling element bearing fault in rotor-bearing-casing system. Eng. Fail. 2018, 92, 205–221. [Google Scholar] [CrossRef]
- Dhanola, A.; Garg, H.C. Tribological challenges and advancements in wind turbine bearings: A review-sciencedirect. Eng. Fail. Anal. 2020, 118, 104885. [Google Scholar] [CrossRef]
- Liu, S.; Jiang, H.; Wu, Z.; Li, X. Data synthesis using deep feature enhanced generative adversarial networks for rolling bearing imbalanced fault diagnosis. Mech. Syst. Signal Process. 2022, 163, 108139. [Google Scholar] [CrossRef]
- Mao, W.; Feng, W.; Liu, Y.; Zhang, D.; Liang, X. A new deep auto-encoder method with fusing discriminant information for bearing fault diagnosis. Mech. Syst. Signal Process. 2021, 150, 107233. [Google Scholar] [CrossRef]
- Su, H.; Xiang, L.; Hu, A.; Gao, B.; Yang, X. A novel hybrid method based on KELM with SAPSO for fault diagnosis of rolling bearing under variable operating conditions. Measurement 2021, 177, 109276. [Google Scholar] [CrossRef]
- Patel, S.P.; Upadhyay, S.H. Euclidean distance based feature ranking and subset selection for bearing fault diagnosis. Expert Syst. Appl. 2020, 154, 113400. [Google Scholar] [CrossRef]
- Zhao, L.; Li, Q.; Feng, J.; Zheng, S.; Liu, X. Research on prediction method of hub-bearing service life under random road load. J. Mech. Eng. 2021, 57, 77–86. [Google Scholar]
- Wang, H.; Ni, G.; Chen, J.; Qu, J. Research on Rolling Bearing State Health Monitoring and Life Prediction Based on PCA and Internet of Things with Multi-sensor. Measurement 2020, 157, 107657. [Google Scholar] [CrossRef]
- Zhao, Z.; Qiao, B.; Wang, S. A weighted multi-scale dictionary learning model and its applications on bearing fault diagnosis. J. Sound Vib. 2019, 446, 429–452. [Google Scholar] [CrossRef]
- Dong, X.; Li, G.; Jia, Y.; Li, B.; He, K. Non-iterative denoising algorithm for mechanical vibration signal using spectral graph wavelet transform and detrended fluctuation analysis. Mech. Syst. Signal Process. 2021, 149, 107202. [Google Scholar] [CrossRef]
- Yan, Z.; Chao, P.; Ma, J.; Cheng, D.; Liu, C. Discrete convolution wavelet transform of signal and its application on BEV accident data analysis. Mech. Syst. Signal Process. 2021, 159, 107823. [Google Scholar] [CrossRef]
- Wang, X.; Tian, M.; Song, J.; He, Y.; Feng, J.; Lin, L. Feature extraction of vibration signals based on empirical wavelet transform. J. Vib. Shock 2021, 40, 261–266. [Google Scholar]
- Sharmaa, V.; Parey, A. Extraction of weak fault transients using variational mode decomposition for fault diagnosis of gearbox under varying speed. Eng. Fail. Anal. 2020, 107, 104204. [Google Scholar] [CrossRef]
- Bagheri, A.; Ozbulut, O.E.; Harris, D.K. Structural system identification based on variational mode decomposition. J. Sound Vib. 2018, 417, 182–197. [Google Scholar] [CrossRef]
- Zhang, Y.; Ren, G.; Wu, D.; Wang, H. Rolling bearing fault diagnosis utilizing variational mode decomposition based fractal dimension estimation method. Measurement 2021, 181, 109614. [Google Scholar] [CrossRef]
- Zhao, X.; Wu, P.; Yin, X. A quadratic penalty item optimal variational mode decomposition method based on single-objective salp swarm algorithm. Mech. Syst. Signal Process. 2020, 138, 106567.1–106567.12. [Google Scholar] [CrossRef]
- Feng, G.; Wei, H.; Qi, T.; Pei, X.; Wang, H. A transient electromagnetic signal denoising method based on an improved variational mode decomposition algorithm. Measurement 2021, 184, 109815. [Google Scholar] [CrossRef]
- Wang, J.; Hu, J.; Cao, J.; Huang, T. Multi-fault diagnosis of rolling bearing based on adaptive VMD and IELM. J. Jilin Univ. (Eng. Tech. Ed.) 2018, 18, 1210. [Google Scholar] [CrossRef]
- Mcdonald, G.L.; Zhao, Q.; Zuo, M.J. Maximum correlated kurtosis deconvolution and application on gear tooth chip fault detection. Mech. Syst. Signal Process. 2012, 33, 237–255. [Google Scholar] [CrossRef]
- Sun, W.; Jin, X.; Huang, J.; Zhang, X. Fault diagnosis method for helicopter swash-plate rolling bearings based on the MCKD and envelope cepstrum. J. Vib. Shock 2019, 38, 159–163. [Google Scholar]
- Hong, L.; Liu, X.; Zuo, H. Compound faults diagnosis based on customized balanced multiwavelets and adaptive maximum correlated kurtosis deconvolution. Measurement 2019, 146, 87–100. [Google Scholar] [CrossRef]
- Zhang, Q.; Jiang, W.; Li, H. Combined MCKD-Teager energy operator with LSTM for rolling bearing fault diagnosis. J. Harbin Inst. Tech. 2021, 53, 68–76, 83. [Google Scholar]
- Lyu, X.; Hu, Z.; Zhou, H.; Wang, Q. Application of improved MCKD method based on QGA in planetary gear compound fault diagnosis. Measurement 2019, 139, 236–248. [Google Scholar] [CrossRef]
- Miao, Y.; Zhao, M.; Lin, J.; Lei, Y. Application of an improved maximum correlated kurtosis deconvolution method for fault diagnosis of rolling element bearings. Mech. Syst. Signal Process. 2017, 92, 173–195. [Google Scholar] [CrossRef]
- Yang, B.; Zhang, J.; Fan, G.; Wang, J. Application of OPMCKD and ELMD in bearing compound fault diagnosis. J. Vib. Shock 2019, 38, 59–67. [Google Scholar]
- Pan, W.; Feng, L.; Zhang, L.; Cai, L.; Shen, C. Time-series interval prediction under uncertainty using modified double multiplicative neuron network. Expert Syst. Appl. 2021, 184, 115478. [Google Scholar] [CrossRef]
- Raubitzek, S.; Neubauer, T. A fractal interpolation approach to improve neural network predictions for difficult time series data. Expert Syst. Appl. 2021, 169, 114474. [Google Scholar] [CrossRef]
- Liu, Y.; Gong, C.; Yang, L.; Chen, Y. DSTPRNN: A dual-stage two-phase attention-based recurrent neural network for long-term and multivariate time series prediction. Expert Syst. Appl. 2020, 143, 113082. [Google Scholar] [CrossRef]
- Savadkoohi, M.; Oladunni, T.; Thompson, L.A. Deep neural networks for human’s fall-risk prediction using force-plate time series signal. Expert Syst. Appl. 2021, 182, 115220. [Google Scholar] [CrossRef]
- Zhang, Y.; Yan, B.; Memon, A. A novel deep learning framework: Prediction and analysis of financial time series using CEEMD and LSTM. Expert Syst. Appl. 2020, 159, 113609. [Google Scholar] [CrossRef]
- Che, C.; Wang, H.; Ni, X.; Lin, R.; Xiong, M. Residual life prediction of aeroengine based on 1D-CNN and Bi-LSTM. J. Mech. Eng. 2021, 38, 867–875. Available online: https://kns.cnki.net/kcms/detail/11.2187.TH.20210617.1133.026.html (accessed on 21 March 2022).
- Niu, G.; Yang, B. Dempster-Shafer regression for multi-step-ahead time-series prediction towards data-driven machinery prognosis. Mech. Syst. Signal Process. 2009, 23, 740–751. [Google Scholar] [CrossRef]
- Yang, X.S.; Deb, S. Cuckoo Search via Lévy Flights. In Proceedings of the 2009 World Congress on Nature & Biologically Inspired Computing, Coimbatore, India, 9–11 December 2009; pp. 210–214. [Google Scholar]
- Hochreiter, S.; Schmidhuber, J. Long short-term memory. Neural Comput. 1997, 9, 1735–1780. [Google Scholar] [CrossRef] [PubMed]
- Zhang, L.; Xiong, G.; Huang, W. New procedure and index for the parameter optimization of complex wavelet based resonance demodulation. J. Mech. Eng. 2015, 51, 129–138. [Google Scholar] [CrossRef]
- Saucedo-Dorantes, J.J.; Arellano-Espitia, F. Delgado-Prieto, Diagnosis Methodology Based on Deep Feature Learning for Fault Identification in Metallic, Hybrid and Ceramic Bearings. Sensors 2021, 21, 5832. [Google Scholar] [CrossRef]
- Wang, B.; Lei, Y.; Li, N.; Li, N. A hybrid prognostics approach for estimating remaining useful life of rolling element bearings. IEEE Trans. Reliab. 2018, 69, 1–12. [Google Scholar] [CrossRef]
- Ma, T.; Zhang, X.; Jiang, H.; Wang, K.; Xia, L.; Cuan, X. Early fault diagnosis of shaft crack based on double optimization maximum correlated kurtosis deconvolution and variational mode decomposition. IEEE Access 2021, 9, 14971–14982. [Google Scholar] [CrossRef]
- Shen, Y.; Zhang, X.; Jiang, H.; Zhou, J. Comparative study on dynamic characteristics of two-stage gear system with gear and shaft cracks considering the shaft flexibility. IEEE Access 2020, 8, 133681–133699. [Google Scholar] [CrossRef]











| Method | EMD | VMD–C | VMD–EMD | VMD–CS | MCKD | 
|---|---|---|---|---|---|
| Training Set | 6 × 1000 | 6 × 1000 | 6 × 1000 | 6 × 1000 | 6 × 1000 | 
| Test Set | 7 × 100 | 7 × 100 | 7 × 100 | 7 × 100 | 7 × 100 | 
| Method | EMD | VMD–C | VMD–EMD | VMD–CS | MCKD | 
|---|---|---|---|---|---|
| Definition | (Empirical mode decomposition, EMD) | (Variational mode decomposition, VMD) | (Variational mode decomposition–Empirical mode decomposition, VMD–EMD) | (Variational mode decomposition–cuckoo search, VMD–CS) | (Maximum correlated kurtosis deconvolution, MCKD) | 
| Characteristics | Fault signal preprocessing by EMD | The central frequency method is used to optimize the hyperparameter [k, α] of VMD, and then the fault signal is preprocessed by VMD–C | EMD is used to find the optimal hyperparameter k of VMD, and then the fault signal is preprocessed by VMD-EMD | CS is used to find the optimal hyperparameter combination [k, α] of VMD, and then the fault signal is preprocessed by VMD–CS | Taking advantage of both the impact and periodicity of the signal, MCKD preprocesses the fault time series signal | 
| Model Learning Rate | Test Time Series | ||||||
|---|---|---|---|---|---|---|---|
| 1 | 2 | 3 | 4 | 5 | 6 | 7 | |
| Mean Square Error | |||||||
| 0.01 | 0.01544 | 0.01972 | 0.02019 | 0.00986 | 0.01002 | 0.00089 | 0.01660 | 
| 0.02 | 0.12468 | 0.14582 | 0.09857 | 0.12179 | 0.12682 | 0.09063 | 0.10852 | 
| 0.03 | 0.02869 | 0.03561 | 0.03181 | 0.02381 | 0.02946 | 0.00608 | 0.02420 | 
| Model | Test Time Series | ||||||
|---|---|---|---|---|---|---|---|
| 1 | 2 | 3 | 4 | 5 | 6 | 7 | |
| Mean Square Error | |||||||
| Original signal | 0.02327 | 0.01883 | 0.02384 | 0.01691 | 0.0349 | 0.00287 | 0.01101 | 
| EMD | 0.02875 | 0.02292 | 0.03114 | 0.0243 | 0.04327 | 0.0052 | 0.01509 | 
| VMD-C | 0.02756 | 0.02089 | 0.02828 | 0.02296 | 0.03895 | 0.00481 | 0.01344 | 
| VMD-EMD | 0.03043 | 0.01268 | 0.02442 | 0.02456 | 0.04411 | 0.00899 | 0.01143 | 
| VMD-CS | 0.03596 | 0.03376 | 0.0449 | 0.02826 | 0.04799 | 0.01213 | 0.0217 | 
| MCKD | 0.01544 | 0.01972 | 0.02019 | 0.00986 | 0.01002 | 8.95153 × 10−4 | 0.0166 | 
| Publisher’s Note: MDPI stays neutral with regard to jurisdictional claims in published maps and institutional affiliations. | 
© 2022 by the authors. Licensee MDPI, Basel, Switzerland. This article is an open access article distributed under the terms and conditions of the Creative Commons Attribution (CC BY) license (https://creativecommons.org/licenses/by/4.0/).
Share and Cite
Ma, L.; Jiang, H.; Ma, T.; Zhang, X.; Shen, Y.; Xia, L. Fault Prediction of Rolling Element Bearings Using the Optimized MCKD–LSTM Model. Machines 2022, 10, 342. https://doi.org/10.3390/machines10050342
Ma L, Jiang H, Ma T, Zhang X, Shen Y, Xia L. Fault Prediction of Rolling Element Bearings Using the Optimized MCKD–LSTM Model. Machines. 2022; 10(5):342. https://doi.org/10.3390/machines10050342
Chicago/Turabian StyleMa, Leilei, Hong Jiang, Tongwei Ma, Xiangfeng Zhang, Yong Shen, and Lei Xia. 2022. "Fault Prediction of Rolling Element Bearings Using the Optimized MCKD–LSTM Model" Machines 10, no. 5: 342. https://doi.org/10.3390/machines10050342
APA StyleMa, L., Jiang, H., Ma, T., Zhang, X., Shen, Y., & Xia, L. (2022). Fault Prediction of Rolling Element Bearings Using the Optimized MCKD–LSTM Model. Machines, 10(5), 342. https://doi.org/10.3390/machines10050342
 
         
                                                

 
       